A Model to Estimate Leaf Area Index in Loblolly Pine Plantations Using Landsat 5 and 7 Images
Abstract
1. Introduction
2. Materials and Methods
2.1. Study Site
2.2. Satellite Data
| Vegetation Index | Equation | Source |
|---|---|---|
| Normalized Difference Vegetation Index (NDVI) | [34] | |
| Simple Ratio (SR) | [35] | |
| Simple Ratio 2 (SR2) | [53] | |
| Enhanced Vegetation Index (EVI) | [54] | |
| Soil Adjusted Vegetation Index (SAVI) | [55] | |
| Modified Soil Adjusted Vegetation Index (MSAVI) | [56] | |
| Normalized Difference Moisture Index (NDMI) | [57] | |
| Normalized Burn Index (NBI) | [58] | |
| Chlorophyll Index Green (CIG) | [59] | |
| Modified Chlorophyll Absorption in Reflectance Index (MCARI) | [60] | |
| Modified Chlorophyll Absorption in Reflectance Index 2 (MCARI2) | [60] | |
| Pan Normalized Difference Vegetation Index (PanNDVI) | [61] | |
| Green Ratio Vegetation Index (GR) | [62] |
2.3. LAI Estimation Model
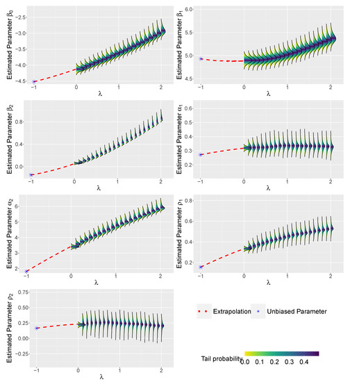
2.4. Measurement Error Estimation
2.5. Bias Correction
3. Results
4. Discussion
5. Conclusions
Author Contributions
Funding
Acknowledgments
Conflicts of Interest
References
- Waring, R. Estimating Forest Growth and Efficiency in Relation to Canopy Leaf Area. In Advances in Ecological Research; MacFadyen, A., Ford, E., Eds.; Academic Press: Cambridge, MA, USA, 1983; Volume 13, pp. 327–354. [Google Scholar] [CrossRef]
- Shi, K.; Cao, Q.V. Predicted leaf area growth and foliage efficiency of loblolly pine plantations. For. Ecol. Manag. 1997, 95, 109–115. [Google Scholar] [CrossRef]
- Gower, S.T.; Kucharik, C.J.; Norman, J.M. Direct and indirect estimation of leaf area index, fAPAR, and net primary production of terrestrial ecosystems. Remote Sens. Environ. 1999, 70, 29–51. [Google Scholar] [CrossRef]
- Claverie, M.; Vermote, E.F.; Franch, B.; Masek, J.G. Evaluation of the Landsat-5 TM and Landsat-7 ETM+ surface reflectance products. Remote Sens. Environ. 2015, 169, 390–403. [Google Scholar] [CrossRef]
- Masek, J.G.; Vermote, E.F.; Saleous, N.E.; Wolfe, R.; Hall, F.G.; Huemmrich, K.F.; Gao, F.; Kutler, J.; Lim, T.K. A Landsat surface reflectance dataset for North America, 1990–2000. IEEE Geosci. Remote. Sens. Lett. 2006, 3, 68–72. [Google Scholar] [CrossRef]
- Flores, F.J. Using Remote Sensing Data To Estimate Leaf Area Index and Foliar Nitrogen of Loblolly Pine Plantations. Ph.D. Thesis, North Carolina State University, Raleigh, NC, USA, 2003. [Google Scholar]
- Fox, T.R.; Allen, H.L.; Albaugh, T.J.; Rubilar, R.; Carlson, C.A. Tree nutrition and forest fertilization of pine plantations in the southern United States. South. J. Appl. For. 2007, 31, 5–11. [Google Scholar] [CrossRef]
- Oswalt, S.N.; Smith, W.B.; Miles, P.D.; Pugh, S.A. Forest Resources of the United States, 2012: A Technical Document Supporting the Forest Service 2010 Update of the RPA Assessment; General Technical Report WO-91; US Department of Agriculture, Forest Service: Washington, DC, USA, 2014; 218p. [CrossRef]
- Parresol, B.R.; Scott, D.A.; Zarnoch, S.J.; Edwards, L.A.; Blake, J.I. Modeling forest site productivity using mapped geospatial attributes within a South Carolina Landscape, USA. For. Ecol. Manag. 2017, 406, 196–207. [Google Scholar] [CrossRef]
- Coleman, T.; Gudapati, L.; Derrington, J. Monitoring forest plantations using Landsat Thematic Mapper data. Remote Sens. Environ. 1990, 33, 211–221. [Google Scholar] [CrossRef]
- Flores, F.J.; Allen, H.L.; Cheshire, H.M.; Davis, J.M.; Fuentes, M.; Kelting, D. Using multispectral satellite imagery to estimate leaf area and response to silvicultural treatments in loblolly pine stands. Can. J. For. Res. 2006, 36, 1587–1596. [Google Scholar] [CrossRef]
- Iiames, J.S.; Congalton, R.G.; Pilant, A.N.; Lewis, T.E. Leaf area index (LAI) change detection analysis on loblolly pine (Pinus taeda) following complete understory removal. Photogramm. Eng. Remote Sens. 2008, 74, 1389–1400. [Google Scholar] [CrossRef]
- Iverson, L.R.; Graham, R.L.; Cook, E.A. Applications of satellite remote sensing to forested ecosystems. Landsc. Ecol. 1989, 3, 131–143. [Google Scholar] [CrossRef]
- Sivanpillai, R.; Smith, C.T.; Srinivasan, R.; Messina, M.G.; Wu, X.B. Estimation of managed loblolly pine stand age and density with Landsat ETM+ data. For. Ecol. Manag. 2006, 223, 247–254. [Google Scholar] [CrossRef]
- Stein, B.R.; Thomas, V.A.; Lorentz, L.J.; Strahm, B.D. Predicting macronutrient concentrations from loblolly pine leaf reflectance across local and regional scales. GISci. Remote Sens. 2014, 51, 269–287. [Google Scholar] [CrossRef]
- Yang, Y.; Anderson, M.C.; Gao, F.; Hain, C.R.; Semmens, K.A.; Kustas, W.P.; Noormets, A.; Wynne, R.H.; Thomas, V.A.; Sun, G. Daily Landsat-scale evapotranspiration estimation over a forested landscape in North Carolina, USA, using multi-satellite data fusion. Hydrol. Earth Syst. Sci. 2017, 21, 1017–1037. [Google Scholar] [CrossRef]
- Blinn, C.E.; Albaugh, T.J.; Fox, T.R.; Wynne, R.H.; Stape, J.L.; Rubilar, R.A.; Allen, H.L. A Method for Estimating Deciduous Competition in Pine Stands Using Landsat. South. J. Appl. For. 2012, 36, 71–78. [Google Scholar] [CrossRef]
- Vose, J.M.; Allen, H.L. Leaf area, stemwood growth, and nutrition relationships in loblolly pine. For. Sci. 1988, 34, 547–563. [Google Scholar] [CrossRef]
- Albaugh, T.J.; Allen, H.L.; Dougherty, P.M.; Kress, L.W.; King, J.S. Leaf area and above- and belowground growth responses of loblolly pine to nutrient and water additions. For. Sci. 1998, 44, 317–328. [Google Scholar] [CrossRef]
- Peduzzi, A.; Wynne, R.H.; Fox, T.R.; Nelson, R.F.; Thomas, V.A. Estimating leaf area index in intensively managed pine plantations using airborne laser scanner data. For. Ecol. Manag. 2012, 270, 54–65. [Google Scholar] [CrossRef]
- Monteith, J.L. Solar Radiation and Productivity in Tropical Ecosystems. J. Appl. Ecol. 1972, 9. [Google Scholar] [CrossRef]
- Vose, J.M.; Swank, W.T. A Conceptual Model of Forest Growth Emphasizing Stand Leaf Area. In Process Modeling of Forest Growth Responses to Environmental Stress; Dixon, R.K., Meldahl, R.S., Ruark, G.A., Warren, W.G., Eds.; Timber Press, Inc.: Portland, OR, USA, 1990; pp. 278–287. [Google Scholar]
- Mahowald, N.; Lo, F.; Zheng, Y.; Harrison, L.; Funk, C.; Lombardozzi, D.; Goodale, C. Projections of leaf area index in earth system models. Earth Syst. Dyn. 2016, 7, 211–229. [Google Scholar] [CrossRef]
- Teskey, R.O.; Bongarten, B.C.; Cregg, B.M.; Dougherty, P.M.; Hennessey, T.C. Physiology and genetics of tree growth response to moisture and temperature stress: An examination of the characteristics of loblolly pine (Pinus taeda L.). Tree Physiol. 1987, 3, 41–61. [Google Scholar] [CrossRef]
- Jokela, E.J.; Martin, T.A. Effects of ontogeny and soil nutrient supply on production, allocation, and leaf area efficiency in loblolly and slash pine stands. Can. J. For. Res. 2000, 30, 1511–1524. [Google Scholar] [CrossRef]
- Gonzalez-Benecke, C.A.; Jokela, E.J.; Martin, T.A. Modeling the effects of stand development, site quality, and silviculture on leaf area index, litterfall, and forest floor accumulations in loblolly and slash pine plantations. For. Sci. 2012, 58, 457–471. [Google Scholar] [CrossRef]
- Dalla-Tea, F.; Jokela, E. Needlefall, Canopy Light Interception, and Productivity of Young Intensively Managed Slash and Loblolly Pine. For. Sci. 1991, 37, 1298–1313. [Google Scholar] [CrossRef]
- Albaugh, T.J.; Lee Allen, H.; Dougherty, P.M.; Johnsen, K.H. Long term growth responses of loblolly pine to optimal nutrient and water resource availability. For. Ecol. Manag. 2004, 192, 3–19. [Google Scholar] [CrossRef]
- Jokela, E.J.; Dougherty, P.M.; Martin, T.A. Production dynamics of intensively managed loblolly pine stands in the southern United States: A synthesis of seven long-term experiments. For. Ecol. Manag. 2004, 192, 117–130. [Google Scholar] [CrossRef]
- Sampson, D.A.; Amatya, D.M.; Lawson, C.D.B.; Skaggs, R.W. Leaf Area Index (LAI) of Loblolly Pine and Emergent Vegetation Following a Harvest. Trans. ASABE 2011, 54, 2057–2066. [Google Scholar] [CrossRef]
- Yang, W.; Tan, B.; Huang, D.; Rautiainen, M.; Shabanov, N.V.; Wang, Y.; Privette, J.L.; Huemmrich, K.F.; Fensholt, R.; Sandholt, I.; et al. MODIS leaf area index products: From validation to algorithm improvement. IEEE Trans. Geosci. Remote Sens. 2006, 44, 1885–1898. [Google Scholar] [CrossRef]
- Qi, J.; Kerr, Y.; Moran, M.; Weltz, M.; Huete, A.; Sorooshian, S.; Bryant, R. Leaf Area Index Estimates Using Remotely Sensed Data and BRDF Models in a Semiarid Region. Remote Sens. Environ. 2000, 73, 18–30. [Google Scholar] [CrossRef]
- Shoemaker, D.A.; Cropper, W.P. Prediction of leaf Area Index for Southern Pine Plantations from Satellite Imagery Using Regression and Artificial Neural Networks. In Proceedings of the 6th Southern Forestry and Natural Resources GIS Conference, Orlando, FL, USA, 24–26 March 2008; pp. 139–160. [Google Scholar]
- Rouse, J.; Hass, R.; Deering, D.; Shell, J.; Harlan, J. Monitoring the Vernal Advancement and Retrogradation (Green Wave Effect) of Natural Vegetation; Report; NASA: Washington, DC, USA, 1974.
- Chen, J.M.; Cihlar, J. Retrieving leaf area index of boreal conifer forests using landsat TM images. Remote Sens. Environ. 1996, 55, 153–162. [Google Scholar] [CrossRef]
- Wang, Q.; Adiku, S.; Tenhunen, J.; Granier, A. On the relationship of NDVI with leaf area index in a deciduous forest site. Remote Sens. Environ. 2005, 94, 244–255. [Google Scholar] [CrossRef]
- Qu, Y.; Zhuang, Q. Modeling leaf area index in North America using a process-based terrestrial ecosystem model. Ecosphere 2018, 9. [Google Scholar] [CrossRef]
- Curran, P. Multispectral remote sensing of vegetation amount. Prog. Phys. Geogr. Earth Environ. 1980, 4, 315–341. [Google Scholar] [CrossRef]
- Knipling, E.B. Physical and physiological basis for the reflectance of visible and near-infrared radiation from vegetation. Remote Sens. Environ. 1970, 1, 155–159. [Google Scholar] [CrossRef]
- Roy, D.; Zhang, H.; Ju, J.; Gomez-Dans, J.; Lewis, P.; Schaaf, C.; Sun, Q.; Li, J.; Huang, H.; Kovalskyy, V. A general method to normalize Landsat reflectance data to nadir BRDF adjusted reflectance. Remote Sens. Environ. 2016, 176, 255–271. [Google Scholar] [CrossRef]
- Vermote, E.; Tanre, D.; Deuze, J.; Herman, M.; Morcette, J.J. Second Simulation of the Satellite Signal in the Solar Spectrum, 6S: An overview. IEEE Trans. Geosci. Remote. Sens. 1997, 35, 675–686. [Google Scholar] [CrossRef]
- Huete, A.R.; Liu, H.Q.; van Leeuwen, W.J.D. The use of vegetation indices in forested regions: Issues of linearity and saturation. In Proceedings of the IGARSS’97, 1997 IEEE International Geoscience and Remote Sensing Symposium Proceedings. Remote Sensing—A Scientific Vision for Sustainable Development, Singapore, 3–8 August 1997; Volume 4, pp. 1966–1968. [Google Scholar]
- Huete, A.; Justice, C.; van Leeuwen, W. MODIS Vegetation Index (MOD 13) Algorithm Theoretical Basis Document; Report; NASA Goddard Space Flight Center: Greenbelt, MD, USA, 1999.
- Mutanga, O.; Skidmore, A.K. Narrow band vegetation indices overcome the saturation problem in biomass estimation. Int. J. Remote Sens. 2004, 25, 3999–4014. [Google Scholar] [CrossRef]
- Gholz, H.L. Crown and Canopy Structure in Relation to Productivity. In Crown and Canopy Structure in Relation to Productivity; Fujimori, T., Whitehead, D., Eds.; Forestry Products Research Institute: Ibaraki, Japan, 1986; pp. 224–242. [Google Scholar]
- Gitelson, A.A.; Kaufman, Y.J.; Merzlyak, M.N. Use of a green channel in remote sensing of global vegetation from EOS-MODIS. Remote Sens. Environ. 1996, 58, 289–298. [Google Scholar] [CrossRef]
- Lunetta, R.S.; Congalton, R.G.; Fenstermaker, L.K.; Jensen, J.R.; McGwire, K.C.; Tinny, L.R. Remote sensing and geographic information system data integration: Error sources and research issues. Photogramm. Eng. Remote Sens. 1991, 57, 677–687. [Google Scholar]
- Fernandes, R.; Leblanc, S.G. Parametric (modified least squares) and non-parametric (Theil–Sen) linear regressions for predicting biophysical parameters in the presence of measurement errors. Remote Sens. Environ. 2005, 95, 303–316. [Google Scholar] [CrossRef]
- Curran, P.J.; Hay, A.M. The importance of measurement error for certain procedures in remote sensing at optical wavelengths. Photogramm. Eng. Remote Sens. 1986, 52, 229–241. [Google Scholar]
- Cook, J.R.; Stefanski, L.A. Simulation-Extrapolation Estimation in Parametric Measurement Error Models. J. Am. Stat. Assoc. 1994, 89. [Google Scholar] [CrossRef]
- Li-Cor. LAI-2000 Plant Canopy Analyzer Instruction Manual; LI-COR Biosciences: Lincoln, NE, USA, 1991. [Google Scholar]
- Gorelick, N.; Hancher, M.; Dixon, M.; Ilyushchenko, S.; Thau, D.; Moore, R. Google Earth Engine: Planetary-scale geospatial analysis for everyone. Remote Sens. Environ. 2017, 202, 18–27. [Google Scholar] [CrossRef]
- Shibayama, M.; Salli, A.; Häme, T.; Iso-Iivari, L.; Heino, S.; Alanen, M.; Morinaga, S.; Inoue, Y.; Akiyama, T. Detecting Phenophases of Subarctic Shrub Canopies by Using Automated Reflectance Measurements. Remote Sens. Environ. 1999, 67, 160–180. [Google Scholar] [CrossRef]
- Huete, A.; Didan, K.; Miura, T.; Rodriguez, E.; Gao, X.; Ferreira, L. Overview of the radiometric and biophysical performance of the MODIS vegetation indices. Remote Sens. Environ. 2002, 83, 195–213. [Google Scholar] [CrossRef]
- Huete, A.R. A soil-adjusted vegetation index (SAVI). Remote Sens. Environ. 1988, 25, 295–309. [Google Scholar] [CrossRef]
- Qi, J.; Chehbouni, A.; Huete, A.R.; Kerr, Y.H.; Sorooshian, S. A modified soil adjusted vegetation index. Remote Sens. Environ. 1994, 48, 119–126. [Google Scholar] [CrossRef]
- Hardisky, M.; Klemas, V.; Smart, R. The influence of soil salinity, growth form, and leaf moisture on the spectral radiance of Spartina. Photogramm. Eng. Remote Sens. 1983, 49, 77–83. [Google Scholar]
- Key, C.H.; Benson, N.C. Landscape assessment (LA). In FIREMON: Fire Effects Monitoring and Inventory System; General Technical Report, RMRS-GTR-164; Lutes, D.C., Keane, R.E., Caratti, J.F., Key, C.H., Benson, N.C., Sutherland, S., Gangi, L.J., Eds.; US Department of Agriculture, Forest Service, Rocky Mountain Research Station: Fort Collins, CO, USA, 2006; pp. 1–55. [Google Scholar]
- Gitelson, A.A.; Viña, A.; Arkebauer, T.J.; Rundquist, D.C.; Keydan, G.; Leavitt, B. Remote estimation of leaf area index and green leaf biomass in maize canopies. Geophys. Res. Lett. 2003, 30. [Google Scholar] [CrossRef]
- Haboudane, D. Hyperspectral vegetation indices and novel algorithms for predicting green LAI of crop canopies: Modeling and validation in the context of precision agriculture. Remote Sens. Environ. 2004, 90, 337–352. [Google Scholar] [CrossRef]
- Wang, F.M.; Huang, J.F.; Tang, Y.L.; Wang, X.Z. New Vegetation Index and Its Application in Estimating Leaf Area Index of Rice. Rice Sci. 2007, 14, 195–203. [Google Scholar] [CrossRef]
- Gitelson, A.A.; Kaufman, Y.J.; Stark, R.; Rundquist, D. Novel algorithms for remote estimation of vegetation fraction. Remote Sens. Environ. 2002, 80, 76–87. [Google Scholar] [CrossRef]
- Kalman, R.E. A new approach to linear filtering and prediction problems. J. Basic Eng. 1960, 82, 35–45. [Google Scholar] [CrossRef]
- Maybeck, P.S. Stochastic Models, Estimation and Control: Volume 1; Academic Press, Inc.: New York, NY, USA, 1979. [Google Scholar]
- Montes, C.R. A Resource Driven Growth and Yield Model for Loblolly Pine Plantations. Ph.D. Thesis, North Carolina State University, Raleigh, NC, USA, 2012. [Google Scholar]
- Ponzi, E.; Keller, L.F.; Muff, S.; Hansen, T. The simulation extrapolation technique meets ecology and evolution: A general and intuitive method to account for measurement error. Methods Ecol. Evol. 2019, 10, 1734–1748. [Google Scholar] [CrossRef]
- Misumi, M.; Furukawa, K.; Cologne, J.B.; Cullings, H.M. Simulation–extrapolation for bias correction with exposure uncertainty in radiation risk analysis utilizing grouped data. J. R. Stat. Soc. Ser. C 2017, 67, 275–289. [Google Scholar] [CrossRef]
- He, W.; Yi, G.Y.; Xiong, J. Accelerated failure time models with covariates subject to measurement error. Stat. Med. 2007, 26, 4817–4832. [Google Scholar] [CrossRef]
- Lederer, W.; Seibold, H. Simex: SIMEX- And MCSIMEX-Algorithm for Measurement Error Models, R package version 1.5; 2013. [Google Scholar]
- Blinn, C.; House, M.; Wynne, R.; Thomas, V.; Fox, T.; Sumnall, M. Landsat 8 Based Leaf Area Index Estimation in Loblolly Pine Plantations. Forests 2019, 10, 222. [Google Scholar] [CrossRef]
- Horler, D.N.H.; Ahern, F.J. Forestry information content of Thematic Mapper data. Int. J. Remote Sens. 1986, 7, 405–428. [Google Scholar] [CrossRef]
- Caccamo, G.; Chisholm, L.; Bradstock, R.; Puotinen, M. Assessing the sensitivity of MODIS to monitor drought in high biomass ecosystems. Remote Sens. Environ. 2011, 115, 2626–2639. [Google Scholar] [CrossRef]
- Gu, Y.; Brown, J.F.; Verdin, J.P.; Wardlow, B. A five-year analysis of MODIS NDVI and NDWI for grassland drought assessment over the central Great Plains of the United States. Geophys. Res. Lett. 2007, 34. [Google Scholar] [CrossRef]
- Gao, B.C. NDWI—A normalized difference water index for remote sensing of vegetation liquid water from space. Remote Sens. Environ. 1996, 58, 257–266. [Google Scholar] [CrossRef]
- Tucker, C.J. Remote sensing of leaf water content in the near infrared. Remote Sens. Environ. 1980, 10, 23–32. [Google Scholar] [CrossRef]
- Ahamed, T.; Tian, L.; Zhang, Y.; Ting, K.C. A review of remote sensing methods for biomass feedstock production. Biomass Bioenergy 2011, 35, 2455–2469. [Google Scholar] [CrossRef]
- Wilson, E.H.; Sader, S.A. Detection of forest harvest type using multiple dates of Landsat TM imagery. Remote Sens. Environ. 2002, 80, 385–396. [Google Scholar] [CrossRef]
- Cibula, W.G.; Zetka, E.F.; Rickman, D.L. Response of thematic mapper bands to plant water stress. Int. J. Remote Sens. 1992, 13, 1869–1880. [Google Scholar] [CrossRef]
- Maier, C.A.; Palmroth, S.; Ward, E. Short-term effects of fertilization on photosynthesis and leaf morphology of field-grown loblolly pine following long-term exposure to elevated CO(2) concentration. Tree Physiol. 2008, 28, 597–606. [Google Scholar] [CrossRef]
- Gough, C.M.; Seiler, J.R.; Maier, C.A. Short-term effects of fertilization on loblolly pine (Pinus taeda L.) physloiogy. Plant Cell Environ. 2004, 27, 876–886. [Google Scholar] [CrossRef]
- King, J.S.; Albaugh, T.J.; Allen, H.L.; Kress, L.W. Stand-level allometry in Pinus taeda as affected by irrigation and fertilization. Tree Physiol. 1999, 19, 769–778. [Google Scholar] [CrossRef]
- Al-Abbas, A.H.; Barr, R.; Hall, J.D.; Crane, F.L.; Baumgardner, M.F. Spectra of Normal and Nutrient-Deficient Maize Leaves. Agron. J. 1974, 66, 16–20. [Google Scholar] [CrossRef]
- Martin, T.A.; Jokela, E.J. Developmental patterns and nutrition impact radiation use efficiency components in southern pine stands. Ecol. Appl. 2004, 14, 1839–1854. [Google Scholar] [CrossRef]
- Wightman, M.; Martin, T.; Gonzalez-Benecke, C.; Jokela, E.; Cropper, W.; Ward, E. Loblolly Pine Productivity and Water Relations in Response to Throughfall Reduction and Fertilizer Application on a Poorly Drained Site in Northern Florida. Forests 2016, 7, 214. [Google Scholar] [CrossRef]
- Walburg, G.; Bauer, M.E.; Daughtry, C.S.T.; Housley, T.L. Effects of Nitrogen Nutrition on the Growth, Yield, and Reflectance Characteristics of Corn Canopies1. Agron. J. 1982, 74, 677–683. [Google Scholar] [CrossRef]
- Ahlrichs, J.S.; Bauer, M.E. Relation of Agronomic and Multispectral Reflectance Characteristics of Spring Wheat Canopies1. Agron. J. 1983, 75, 987–993. [Google Scholar] [CrossRef]
- Hinzman, L.; Bauer, M.; Daughtry, C. Effects of nitrogen fertilization on growth and reflectance characteristics of winter wheat. Remote Sens. Environ. 1986, 19, 47–61. [Google Scholar] [CrossRef]
- Zhang, H.K.; Roy, D.P. Landsat 5 Thematic Mapper reflectance and NDVI 27-year time series inconsistencies due to satellite orbit change. Remote Sens. Environ. 2016, 186, 217–233. [Google Scholar] [CrossRef]
- Roy, D.P.; Li, Z.; Zhang, H.K.; Huang, H. A conterminous United States analysis of the impact of Landsat 5 orbit drift on the temporal consistency of Landsat 5 Thematic Mapper data. Remote Sens. Environ. 2020, 240, 111701. [Google Scholar] [CrossRef]
- Cohrs, C.W.; Cook, R.L.; Gray, J.M.; Albaugh, T.J. Sentinel-2 Leaf Area Index Estimation for Pine Plantations in the Southeastern United States. Remote Sens. 2020, 12, 1406. [Google Scholar] [CrossRef]









| Model Number | Model Form | Error Model |
|---|---|---|
| 0 | ||
| 1 | ||
| 2 | ||
| 3 | ||
| 4 | ||
| 5 | ||
| 6 | ||
| 7 | ||
| 8 | ||
| 9 |
| Model Number | AIC | BIC | RMSE | Bias | -LogLik | Number of Parameters |
|---|---|---|---|---|---|---|
| 0 | 227.74 | 236.87 | 0.4948 | 2.05E-07 | 110.87 | 3 |
| 1 | 225.13 | 237.30 | 0.4954 | −0.00117 | 108.57 | 4 |
| 2 | 233.94 | 249.16 | 0.4983 | −0.00421 | 111.97 | 5 |
| 3 | 227.14 | 245.40 | 0.4993 | −6.99E-05 | 107.57 | 6 |
| 4 | 223.92 | 239.14 | 0.4947 | 2.15E-05 | 106.96 | 5 |
| 5 | 223.60 | 238.81 | 0.4948 | −1.74E-05 | 106.80 | 5 |
| 6 | 224.46 | 239.68 | 0.4950 | −4.29E-05 | 107.23 | 5 |
| 7 | 176.74 | 195.00 | 0.4118 | −0.0004 | 82.37 | 6 |
| 8 | 175.83 | 194.09 | 0.4136 | 7.34E-03 | 81.91 | 6 |
| 9 | 167.82 | 189.12 | 0.3988 | 8.28E-04 | 76.91 | 7 |
Publisher’s Note: MDPI stays neutral with regard to jurisdictional claims in published maps and institutional affiliations. |
© 2021 by the authors. Licensee MDPI, Basel, Switzerland. This article is an open access article distributed under the terms and conditions of the Creative Commons Attribution (CC BY) license (http://creativecommons.org/licenses/by/4.0/).
Share and Cite
Kinane, S.M.; Montes, C.R.; Albaugh, T.J.; Mishra, D.R. A Model to Estimate Leaf Area Index in Loblolly Pine Plantations Using Landsat 5 and 7 Images. Remote Sens. 2021, 13, 1140. https://doi.org/10.3390/rs13061140
Kinane SM, Montes CR, Albaugh TJ, Mishra DR. A Model to Estimate Leaf Area Index in Loblolly Pine Plantations Using Landsat 5 and 7 Images. Remote Sensing. 2021; 13(6):1140. https://doi.org/10.3390/rs13061140
Chicago/Turabian StyleKinane, Stephen M., Cristian R. Montes, Timothy J. Albaugh, and Deepak R. Mishra. 2021. "A Model to Estimate Leaf Area Index in Loblolly Pine Plantations Using Landsat 5 and 7 Images" Remote Sensing 13, no. 6: 1140. https://doi.org/10.3390/rs13061140
APA StyleKinane, S. M., Montes, C. R., Albaugh, T. J., & Mishra, D. R. (2021). A Model to Estimate Leaf Area Index in Loblolly Pine Plantations Using Landsat 5 and 7 Images. Remote Sensing, 13(6), 1140. https://doi.org/10.3390/rs13061140

