Understanding Dense Time Series of Sentinel-1 Backscatter from Rice Fields: Case Study in a Province of the Mekong Delta, Vietnam
Abstract
1. Introduction
- The first category uses supervised classification algorithms which require a large number of training samples of the same rice season. Machine learning techniques such as Random Forest or Support-Vector Machines have been used for rice mapping in India [8], in Myanmar [9], in Vietnam [10], in France [11], in China [12], and in Brazil [13]). More classical methods such as K-means have also been used, for example in India [14] and in China [15].
- The second category uses Rule-based detection algorithms based on knowledge of temporal signatures of rice fields in the study regions. This requires prior analysis of the backscatter of a number of monitored fields to derive feature descriptors, such as the modeled temporal curves, and the maximum, minimum, maximum increase of VV, VH, and VV/VH. Examples of such algorithms can be found in [16,17,18,19,20], and applications to Sentinel-1 can be found in [21,22,23,24,25,26].
2. Study Area and Data
2.1. Study Area
2.2. Ground Data
| 1: seedling, emergence | 5: stem elongation | 9. milky stage |
| 2: 2/3 leaves | 6: booting | 10. milky-hard stage |
| 3: tillering start | 7. heading | 11. maturing |
| 4: tillering max | 8. flowering | 12. maturity |
2.3. SAR Data
3. Results
3.1. Ground Data Analysis
- 1–2 weeks before sowing, the fields were flooded in order to prevent self-propagating vegetation and pests. 1–2 days before sowing, the fields were drained (Figure 5a). Rice seeds were directly sown on wet soil by drilling (precision equipment) or broadcasting (hand). 3–4 days after sowing, the fields were irrigated (2–3 cm) just for 1 day then drained to ensure sufficient soil moisture to facilitate seed germination.
- 10–15 days after sowing (stage 2, plant height at about 15–20 cm, 2–3 leaves). The fields were inundated during this period for the roots to grow smoothly.
- 15–25 days after sowing (stage 3, plant height at about 20–35 cm, beginning of tillering). During the tillering period, the rice grows rapidly and strongly in roots and leaves. This period is the key in the development of the number of leaves, leaf area and number of effective tillers (for the number of future panicles). The duration of the tillering phase depends on the variety, cultivation methods and environmental conditions. In favorable solar radiation and nutritional conditions, this period lasts about 20–25 days. The fields were irrigated 2–3 times for about 5–10 cm of water layer and water kept for 2–3 days each time. It is important to note that about 20 days after sowing, the rice plant loses its vertical structure.
- 25–35 days after sowing (stage 4, the plant height is at about 35–45 cm, and the plant reaches the end of tillering). Farmers keep only 3–5 effective tillers per plant and eliminate the others to optimize the nutrition consumption as well as avoiding pest infestation. The fields were irrigated during fertilizing for a couple of days then drained to kill pest. Alternate wet/dry irrigation (AWD) was applied (mostly in the dry season) from this stage to save irrigation water.
- 35–45 days after sowing (stage 5, stem elongation, plant height is at about 45–58 cm, and the plant reaches stem elongation). Plant is growing straight up and denser.
- 45–58 days after sowing (stage 6, the plant height is at about 58–70 cm, the plant is at booting stage). The first step is the process of differentiation and formation of reproductive organs, and this process directly affects the rice yield. During this period, rice has significant changes in morphology, leaf color, physiology, and resistance to external circumstances. The initial panicle has been formed and prepared for heading. From the panicle initiation stage, three more leaves have been formed. Until this stage, the rice plants finish the vegetative phase (tillering, elongation, and booting) which is characterized by an increase of the plant height, an increase of the number of tillers, and a development of leaves.
- 58–65 days after sowing (stage 7, heading). When the booting period is finished, the heading starts the reproductive phase. The entire panicles are heading from the leaf sheath. The process is finished within 4–6 days.
- 65–75 days after sowing (stage 8, plant height at about 70–80 cm, flowering). It takes about a week for the flowers on the same panicle to blossom. After 10 days, all the flowers are fertilized and begin to develop into seeds.
- 75–85 days after sowing (stages 9, 10, milky stage). The biomass of grains strongly increases during this period, reaching 70–80% of the final grain biomass. The heavy panicle curls down.
- 85–100 days after sowing (stage 11, 12): maturity stage.
3.2. Sentinel-1 Time Series Analysis and Physical Interpretation
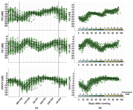
3.2.1. Seasonal Variation with Regard to the Phenological Stages
3.2.2. Inter-Season Stability
3.2.3. Comparison with Optical Time Series
3.2.4. Effect of Short/Long Cycle Duration, Effect of Water Management
- For the period before the start of season, VV and VH differ notably due to field preparation. For direct seeding, short cycle rice, fields are usually inundated for a few days to eliminate weeds, before drainage occurs, and direct seeding is done on wet soil. In the transplanting method associated to long cycle rice, fields are inundated just before transplantation. Moreover, as described in Section 3.1, the paddy fields of long cycle rice had very short recuperation periods (7–10 days) between two consecutive rice growing seasons. The maturity stage of rice of the previous rice season explains for the high backscatter values of long cycle rice in the period of -20 days to -10 days before the sowing date compared to short cycle rice where the rice fields were already harvested.
- At the beginning of the season, lower backscatter is observed in short cycle rice about 2–3 dB compared to long cycle rice. The direct seeding of short cycle rice is done on bare wet soil while the plants are already at 10–15 cm at transplantation for long cycle rice, this explains for this lower backscatter in short cycle rice. However, the differences between the backscatter curves are difficult to interpret either due to inundation status or due to rice varieties. For short cycle rice, for which the AWD method is applied, the duration of field inundation periods during the rice season is relatively short: 4–5 days at the beginning of the season, and before flowering. For the first flooding period, when the plants are small, the minimum backscatter is detected, but for the second period, when the plants are fully grown, the difference in backscatter with or without inundation is likely small (1–2 dB) and difficult to interpret. Moreover, with a repeat cycle of 6 day, it is not clear if Sentinel-1 can capture the field inundation states. For the long cycle rice, which is continuously flooded, at the start of the season, the plants are already at 10–15 cm at transplantation, the backscatter values are higher than that in short cycle rice, which is observed over several years.
- About 60 days after sowing, a clear difference between long and short cycle rice at VH and VV backscatter can be observed (Figure 10a,b). For short cycle rice, VH and VV start increasing after 60 days while for long cycle rice, they continue to decrease until 75 days then start increasing again.
- About 100 days after sowing, the VV and VH backscatter of short cycle rice decreases drastically, whereas the backscatter of long cycle rice continues its course.
- For VH/VV, the two rice types show quite similar temporal variations (Figure 10c) until the harvest of the short cycle rice.
3.2.5. Comparison between Cropping Systems
- The VH backscatter has a large variability, and increases of about 10 dB in the season, from very low values (slightly higher than water) at the beginning of the season to high values shortly before harvest (Figure 11a).
- The VH/VV ratio is also very variable with a 10 dB dynamic range in the season from −13 dB to −3 dB, while it is remarkably stable in the −3 dB to −6 dB range for the other LULC classes (Figure 11c).
4. Discussion
4.1. Rice Mapping
4.2. Determination of Sowing Date
4.3. Mapping of Short/Long Cycle Rice
4.4. Phenological Stage Mapping
4.5. Plant Height
4.6. Production Timing
- For rice mapping, it is possible to detect rice fields already at an early stage (less than 24 days after sowing), however such early detections must be confirmed with the next Sentinel-1 acquisitions.
- The sowing date can be estimated only after about 24 days (corresponding to 4 Sentinel-1 images of 6 days revisit), as it is necessary to wait until the VH/VV ratio reaches its minimum and start increasing again. When the sowing date is detected, the age of the plant can be calculated.
- The distinction between short and long cycle rice can be done after about 65 days, when the backscatter temporal profiles of the two groups start to differ.
5. Conclusions
Author Contributions
Funding
Institutional Review Board Statement
Informed Consent Statement
Data Availability Statement
Acknowledgments
Conflicts of Interest
References
- Food Security. Rice in the Global Economy. Available online: https://agris.fao.org/agris-search/search.do?recordID=XF2015023402 (accessed on 20 April 2019).
- Laborte, A.G.; Gutierrez, M.A.; Balanza, J.G.; Saito, K.; Zwart, S.J.; Boschetti, M.; Murty, M.; Villano, L.; Aunario, J.K.; Reinke, R.; et al. RiceAtlas, a spatial database of global rice calendars and production. Sci. Data 2017, 4, 1–10. [Google Scholar] [CrossRef] [PubMed]
- North Africa and Latin America. PART 3 Feeding the World. 2007. Available online: http://www.fao.org/3/i2490e/i2490e03a.pdf (accessed on 20 April 2019).
- IPCC. Methane Emissions from Rice cultivation: Flooded Rice Fields. In Revised 1996 IPCC Guidelines for National Greenhouse Gas Inventories Refinement; IPCC: Geneva, Switzerland, 1996; Volume 3, pp. 53–75. [Google Scholar]
- Dong, J.; Xiao, X.; Menarguez, M.A.; Zhang, G.; Qin, Y.; Thau, D.; Biradar, C.; Moore, B., III. Mapping paddy rice planting area in northeastern Asia with Landsat 8 images, phenology-based algorithm and Google Earth Engine. Remote Sens. Environ. 2006, 185, 142–154. [Google Scholar] [CrossRef]
- Kuenzer, C.; Knauer, K. Remote sensing of rice crop areas—A Review. Int. J. Remote Sens. 2013, 34, 2101–2139. [Google Scholar] [CrossRef]
- Mosleh, M.K.; Hassan, Q.K.; Chowdhury, E.H. Application of Remote Sensors in Mapping Rice Area and Forecasting Its Production: A Review. Sensors 2015, 15, 769–791. [Google Scholar] [CrossRef]
- Ferrant, S.; Selles, A.; Le Page, M.; Herrault, P.-A.; Pelletier, C.; Al-Bitar, A.; Mermoz, S.; Gascoin, S.; Bouvet, A.; Saqalli, M.; et al. Detection of Irrigated Crops from Sentinel-1 and Sentinel-2 Data to Estimate Seasonal Groundwater Use in South India. Remote Sens. 2017, 9, 1119. [Google Scholar] [CrossRef]
- Torbick, N.; Chowdhury, D.; Salas, W.; Qi, J. Monitoring Rice Agriculture across Myanmar Using Time Series Sentinel-1 Assisted by Landsat-8 and PALSAR-2. Remote Sens. 2017, 9, 119. [Google Scholar] [CrossRef]
- Lasko, K.; Vadrevu, K.P.; Tran, V.T.; Justice, C. Mapping Double and Single Crop Paddy Rice with Sentinel-1A at Varying Spatial Scales and Polarizations in Hanoi, Vietnam. IEEE J. Sel. Top. Appl. Earth Obs. Remote Sens. 2018, 11, 498–512. [Google Scholar] [CrossRef] [PubMed]
- Ndikumana, E.; Minh, D.H.T.; Nguyen, H.T.D.; Baghdadi, N.; Courault, D.; Hossard, L.; El Moussawi, I. Estimation of Rice Height and Biomass Using Multitemporal SAR Sentinel-1 for Camargue, Southern France. Remote Sens. 2018, 10, 1394. [Google Scholar] [CrossRef]
- Cai, Y.; Lin, H.; Zhang, M. Mapping paddy rice by the object-based random forest method using time series Sentinel-1/Sentinel-2 data. Adv. Space Res. 2019, 64, 2233–2244. [Google Scholar] [CrossRef]
- De Castro Filho, H.C.; de Carvalho Júnior, O.A.; de Carvalho, O.L.F.; de Bem, P.P.; dos Santos de Moura, R.; de Albuquerque, A.O.; Rosa Silva, C.; Ferreira, P.H.G.; Guimaraes, R.F.; Trancoso Gomes, R.A. Rice crop detection using LSTM, Bi-LSTM, and machine learning models from Sentinel-1 time series. Remote Sens. 2020, 12, 2655. [Google Scholar] [CrossRef]
- Mandal, D.; Kumar, V.; Bhattacharya, A.; Rao, Y.S.; Siqueira, P.; Bera, S. Sen4Rice: A Processing Chain for Differentiating Early and Late Transplanted Rice Using Time-Series Sentinel-1 SAR Data With Google Earth Engine. IEEE Geosci. Remote Sens. Lett. 2018, 15, 1947–1951. [Google Scholar] [CrossRef]
- Tian, H.; Wu, M.; Wang, L.; Niu, Z. Mapping Early, Middle and Late Rice Extent Using Sentinel-1A and Landsat-8 Data in the Poyang Lake Plain, China. Sensors 2018, 18, 185. [Google Scholar] [CrossRef] [PubMed]
- Le Toan, T.; Ribbes, F.; Wang, L.-F.; Floury, N.; Ding, K.-H.; Kong, J.A.; Fujita, M.; Kurosu, T. Rice crop mapping and monitoring using ERS-1 data based on experiment and modeling results. IEEE Trans. Geosci. Remote Sens. 1997, 35, 41–56. [Google Scholar] [CrossRef]
- Le Toan, T.; Lam-Dao, N.; Apan, A.A.; Bouvet, A.; Young, F.; Le-Van, T. Effects of changing rice cultural practices on C-band synthetic aperture radar backscatter using Envisat advanced synthetic aperture radar data in the Mekong River Delta. J. Appl. Remote Sens. 2009, 3, 033563. [Google Scholar] [CrossRef]
- Bouvet, A.; Le Toan, T. Use of ENVISAT/ASAR wide-swath data for timely rice fields mapping in the Mekong River Delta. Remote Sens. Environ. 2011, 115, 1090–1101. [Google Scholar] [CrossRef]
- Nelson, A.; Setiyono, T.; Rala, A.B.; Quicho, E.D.; Raviz, J.V.; Abonete, P.J.; Maunahan, A.A.; Garcia, C.A.; Bhatti, H.Z.M.; Villano, L.S.; et al. Towards an Operational SAR-Based Rice Monitoring System in Asia: Examples from 13 Demonstration Sites across Asia in the RIICE Project. Remote Sens. 2014, 6, 10773–10812. [Google Scholar] [CrossRef]
- Phan, H.; Le Toan, T.; Bouvet, A.; Nguyen, L.D.; Duy, T.P.; Zribi, M. Mapping of Rice Varieties and Sowing Date Using X-Band SAR Data. Sensors 2018, 18, 316. [Google Scholar] [CrossRef]
- Clauss, K.; Ottinger, M.; Leinenkugel, P.; Kuenzer, C. Estimating rice production in the Mekong Delta, Vietnam, utilizing time series of Sentinel-1 SAR data. Int. J. Appl. Earth Obs. Geoinf. 2018, 73, 574–585. [Google Scholar] [CrossRef]
- Phan, H.; Bouvet, A.; Le Toan, T. Sentinel-1 and Radarsat 2 data for rice monitoring in the Mekong delta, Vietnam. In Proceedings of the IGARSS 2015, Milan, Italy, 26–31 July 2015. [Google Scholar]
- Nguyen, D.B.; Gruber, A.; Wagner, W. Mapping rice extent and cropping scheme in the Mekong Delta using Sentinel-1A data. Remote Sens. Lett. 2016, 7, 1209–1218. [Google Scholar] [CrossRef]
- Dunn, A.M.; Hofmann, O.S.; Waters, B.; Witchel, E. Cloaking malware with the trusted platform module. In Proceedings of the 20th USENIX Security Symposium, San Francisco, CA, USA, 8–12 August 2011; pp. 395–410. [Google Scholar]
- Zhan, P.; Zhu, W.; Li, N. Remote Sensing of Environment An automated rice mapping method based on flooding signals in synthetic aperture radar time series. Remote Sens. Environ. 2020, 252, 112112. [Google Scholar] [CrossRef]
- Hoang-Phi, P.; Lam-Dao, N.; Pham-Van, C.; Chau-Nguyen-Xuan, Q.; Nguyen-Van-Anh, V.; Gummadi, S.; Le-Van, T. Sentinel-1 SAR Time Series-Based Assessment of the Impact of Severe Salinity Intrusion Events on Spatiotemporal Changes in Distribution of Rice Planting Areas in Coastal Provinces of the Mekong Delta, Vietnam. Remote Sens. 2020, 12, 3196. [Google Scholar] [CrossRef]
- ESA. Available online: https://scihub.copernicus.eu/dhus/#/home (accessed on 26 September 2020).
- Koleck, W.; Ballère, T.; Marie-Sainte, M. S1Tiling, A Multipurpose Open Source Processing Chain for Sentinel-1 Time Series. In Proceedings of the Living Planet, Milan, Italy, 13–17 May 2019. [Google Scholar]
- CNES. Available online: https://peps.cnes.fr/ (accessed on 26 September 2020).
- Shaun, Q.; Yu, J.J. Filtering of multichannel SAR images. IEEE Trans. Geosci. Remote Sens. 2001, 39, 2373–2379. [Google Scholar] [CrossRef]
- Bruniquel, J.; Lopes, A. Multi-variate optimal speckle reduction in SAR imagery. Int. J. Remote Sens. 1997, 18, 603–627. [Google Scholar] [CrossRef]
- FAO. Rice Market Monitor; FAO: Rome, Italy, 2017. [Google Scholar]
- Picard, G.; Le Toan, T.; Mattia, F. Understanding c-band radar backscatter from wheat canopy using a multiple-scattering coherent model. IEEE Trans. Geosci. Remote Sens. 2003, 41, 1583–1591. [Google Scholar] [CrossRef]
- Veloso, A.; Mermoz, S.; Bouvet, A.; Le Toan, T.; Planells, M.; Dejoux, J.-F.; Ceschia, E. Understanding the temporal behavior of crops using Sentinel-1 and Sentinel-2-like data for agricultural applications. Remote Sens. Environ. 2017, 199, 415–426. [Google Scholar] [CrossRef]
- Koay, J.-Y.; Tan, C.-P.; Lim, K.-S.; Bin Abu Bakar, S.B.; Ewe, H.-T.; Chuah, H.-T.; Kong, J.-A. Paddy Fields as Electrically Dense Media: Theoretical Modeling and Measurement Comparisons. IEEE Trans. Geosci. Remote Sens. 2007, 45, 2837–2849. [Google Scholar] [CrossRef]
- Inoue, Y.; Kurosu, T.; Maeno, H.; Uratsuka, S.; Kozu, T.; Dabrowska-Zielinska, K.; Qi, J. Season-long daily measurements of multifrequency (Ka, Ku, X, C, and L) and full-polarization backscatter signatures over paddy rice field and their relationship with biological variables. Remote Sens. Environ. 2002, 81, 194–204. [Google Scholar] [CrossRef]
- Minasny, B.; Shah, R.M.; Soh, N.C.; Arif, C.; Setiawan, B.I. Automated Near-Real-Time Mapping and Monitoring of Rice Extent, Cropping Patterns, and Growth Stages in Southeast Asia Using Sentinel-1 Time Series on a Google Earth Engine Platform. Remote Sens. 2019, 11, 1666. [Google Scholar] [CrossRef]
- Inoue, S.; Ito, A.; Yonezawa, C. Mapping Paddy Fields in Japan by Using a Sentinel-1 SAR Time Series Supplemented by Sentinel-2 Images on Google Earth Engine. Remote Sens. 2020, 12, 1622. [Google Scholar] [CrossRef]
- Inoue, Y.; Sakaiya, E.; Wang, C. Capability of C-band backscattering coefficients from high-resolution satellite SAR sensors to assess biophysical variables in paddy rice. Remote Sens. Environ. 2014, 140, 257–266. [Google Scholar] [CrossRef]
- Viovy, N.; Arino, O.; Belward, A.S. The Best Index Slope Extraction (BISE): A method for reducing noise in NDVI time-series. Int. J. Remote Sens. 1992, 13, 1585–1590. [Google Scholar] [CrossRef]
- Chang, L.; Chen, Y.-T.; Wang, J.-H.; Chang, Y.-L. Rice-Field Mapping with Sentinel-1A SAR Time-Series Data. Remote Sens. 2020, 13, 103. [Google Scholar] [CrossRef]











| Rice Seasons | IR 50404 | Glutinous | Jasmine | Taiwan | OM 5451 | Others | Total |
|---|---|---|---|---|---|---|---|
| Summer–Autumn 2016 | 32 | 5 | 2 | 11 | 4 | 6 | 60 |
| Autumn–Winter 2016 | 34 | 4 | 4 | 11 | 3 | 4 | 60 |
| Winter–Spring 2017 | 33 | 5 | 10 | 9 | 2 | 1 | 60 |
| Autumn–Winter 2017 | 5 | 22 | 8 | 0 | 21 | 4 | 60 |
| Winter–Spring 2018 | 25 | 26 | 7 | 0 | 0 | 2 | 60 |
| Total | 129 (43%) | 62 (20.67%) | 31 (10.3%) | 31 (10.3%) | 30 (10%) | 17 (5.67%) | 300 |
| Rice–cycle variety | Short–cycle | Short–cycle | Long–cycle | Long–cycle | Short–cycle | ||
| Rice cycle duration (day) | 85–100 | 90–103 | 97–110 | 100–120 | 90–100 | 85–100 | |
| Planting method | Direct seeding | Direct seeding | Transplanting | Transplanting | Direct seeding | Direct seeding | |
| Seeding density (kg∙ha–1) | 22–30 | 25–30 | 10–12 | 8–15 | 20–30 |
| Rice Seasons | Sowing Period | Harvesting Period |
|---|---|---|
| Summer–Autumn 2016 | 29th March to 6th May 2016 (38 days) | 29th June to 12th August 2016 (44 days) |
| Autumn–Winter 2016 | 5th August to 20th August 2016 (15 days) | 1st November to 14th December 2016 (43 days) |
| Winter–Spring 2017 | 29th November to 26th December 2016 (27 days) | 5th March to 15th April 2017 (41 days) |
| Autumn–Winter 2017 | 16th August to 10th September 2017 (25 days) | 15th November to 20th December 2017 (35 days) |
| Winter–Spring 2018 | 15th December 2017 to 6th January 2018 (22 days) | 18th March to 25th April 2018 (38 days) |
Publisher’s Note: MDPI stays neutral with regard to jurisdictional claims in published maps and institutional affiliations. |
© 2021 by the authors. Licensee MDPI, Basel, Switzerland. This article is an open access article distributed under the terms and conditions of the Creative Commons Attribution (CC BY) license (http://creativecommons.org/licenses/by/4.0/).
Share and Cite
Phan, H.; Le Toan, T.; Bouvet, A. Understanding Dense Time Series of Sentinel-1 Backscatter from Rice Fields: Case Study in a Province of the Mekong Delta, Vietnam. Remote Sens. 2021, 13, 921. https://doi.org/10.3390/rs13050921
Phan H, Le Toan T, Bouvet A. Understanding Dense Time Series of Sentinel-1 Backscatter from Rice Fields: Case Study in a Province of the Mekong Delta, Vietnam. Remote Sensing. 2021; 13(5):921. https://doi.org/10.3390/rs13050921
Chicago/Turabian StylePhan, Hoa, Thuy Le Toan, and Alexandre Bouvet. 2021. "Understanding Dense Time Series of Sentinel-1 Backscatter from Rice Fields: Case Study in a Province of the Mekong Delta, Vietnam" Remote Sensing 13, no. 5: 921. https://doi.org/10.3390/rs13050921
APA StylePhan, H., Le Toan, T., & Bouvet, A. (2021). Understanding Dense Time Series of Sentinel-1 Backscatter from Rice Fields: Case Study in a Province of the Mekong Delta, Vietnam. Remote Sensing, 13(5), 921. https://doi.org/10.3390/rs13050921

