A Detection of Convectively Induced Turbulence Using in Situ Aircraft and Radar Spectral Width Data
Abstract
1. Introduction
2. Case Investigation
2.1. In Situ Aircraft Data
2.2. Radar Data
3. Radar SW-Based EDR Estimation
3.1. Methodology for EDR Conversion
3.2. SW-Derived EDR
4. Model-Based EDR Estimation
4.1. Experimental Design
4.2. EDR Converted from the Modeled TKE
4.3. EDR Converted from NWP-Based Turbulence Diagnostics
5. Discussion
6. Summary
- The CIT occurred at an altitude of about 2.2 km within shallow convective bands near Seoul around 05:42 UTC on 28 October 2018.
- In situ flight data detected the CIT occurrence with a variation in vertical acceleration more than 1 g. In situ flight data were rescaled using the inertial range technique and recorded a 0.33–0.37 EDR, which is MOD–SEV intensity.
- 3D radar mosaic data showed shallow convective bands, which indicated high reflectivity in the lower part of the convective cloud and a high spectral width (SW) of more than 4 m s−1 in the middle part. The high spectral width area coincided with the incident point in the horizontal and vertical directions.
- Using the simple statistical lognormal mapping technique (LMT) based on a lognormal distribution, SW was rescaled to EDR with more clear separations of high values and low values removed. The 0.3–0.35 EDR of SW near the turbulence spot is comparable to the 0.33–0.37 EDR from the aircraft data.
- Our numerical simulation used a WRF model with a 3 km resolution to simulate the convection system with time delay. Despite the systematic delay in the time, the model showed well-structured convective clouds, showing a similar intensity to radar reflectively.
- The strong turbulence appeared ahead (first) and along (second) the convection system, which were observed in the unresolved and resolved TKEs, respectively. The EDR scale of total TKE showed the comparable turbulence intensity (0.3–0.4 EDR), inferring the CIT occurrence near the incident location.
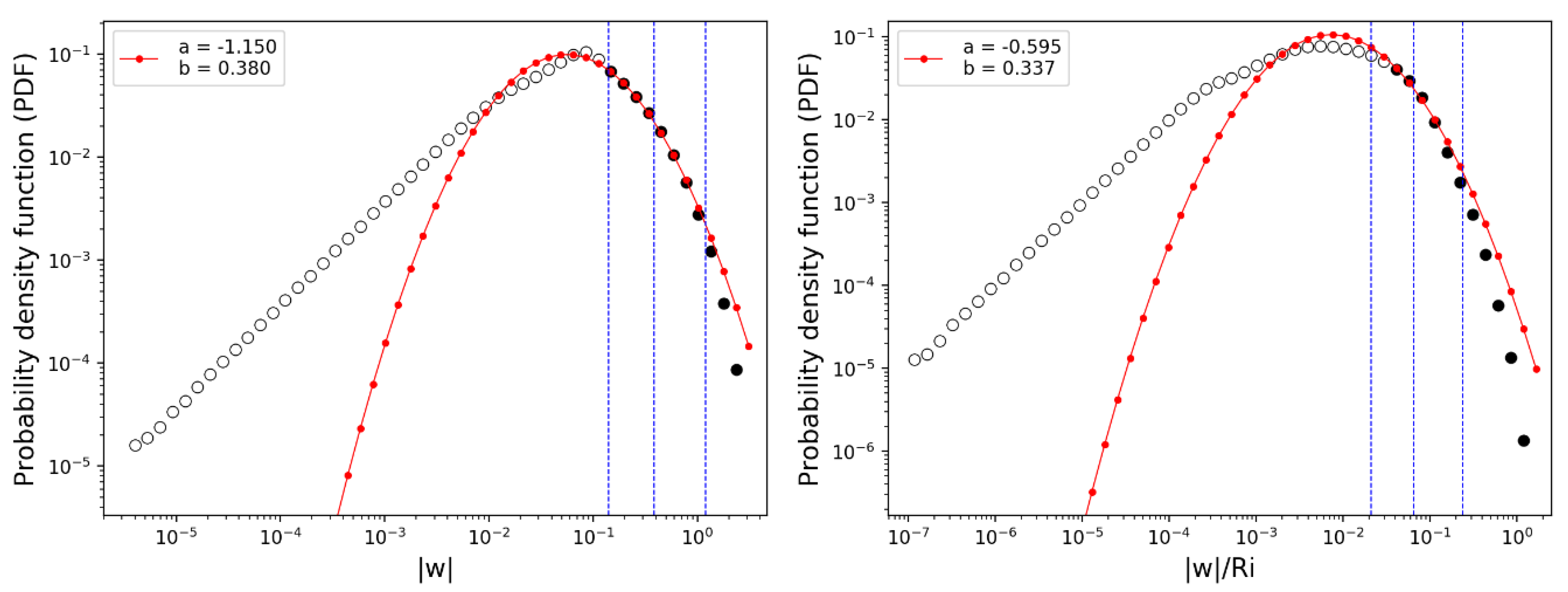
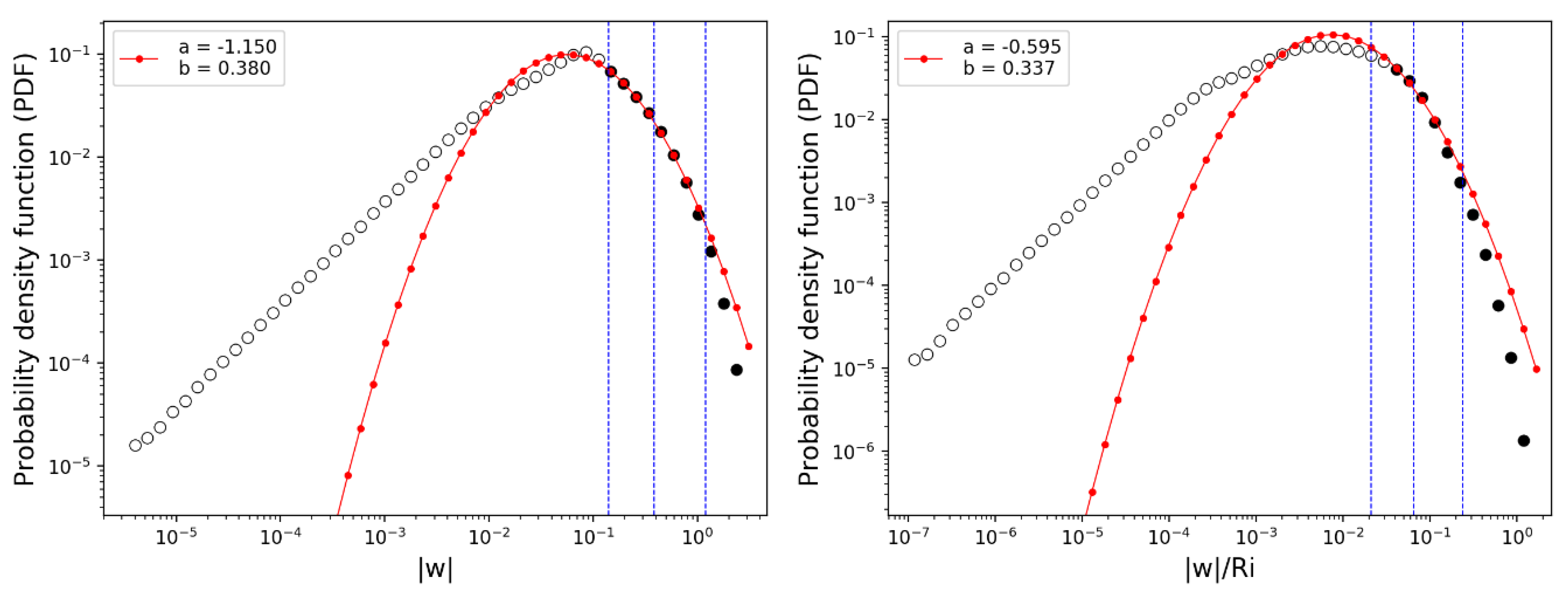
- For objective comparison in terms of the turbulence intensity, model-derived turbulence indicators were also remapped to EDR scale using the LMT and compared with the observation data, which included the absolute vertical velocity |w| and |w| divided by the Richardson number.
- Applying two diagnostic indices using the vertical velocity can provide a suitable indicator since high vertical velocity is common inside convection, which is one of the factors causing severe aviation incidents. Both diagnostics detected in-cloud CIT near the site. In |w|/Ri, however, turbulence intensity seemed to be too wide when the environment effect due to shear instability was considered.
Author Contributions
Funding
Informed Consent Statement
Data Availability Statement
Acknowledgments
Conflicts of Interest
References
- Tvaryanas, A.P. Epidemiology of turbulence-related injuries in airline cabin crew, 1992–2001. Aviat. Space Environ. Med. 2003, 74, 970–976. [Google Scholar]
- Sharman, R.; Lane, T. Aviation Turbulence; Springer International Publishing: Geneva, Switzerland, 2016; p. 523. [Google Scholar]
- Kim, J.-H.; Sharman, R.; Strahan, M.; Scheck, J.W.; Bartholomew, C.; Cheung, J.C.H.; Buchanan, P.; Gait, N. Improvements in nonconvective aviation turbulence prediction for the world area forecast system. Bull. Am. Meteorol. Soc. 2018, 99, 2295–2311. [Google Scholar] [CrossRef]
- Lester, P.F. Turbulence: A New Perspective for Pilots; Jeppesen Sanderson: Englewood, NJ, USA, 1994; p. 212. [Google Scholar]
- Wolff, J.K.; Sharman, R.D. Climatology of upper-level turbulence over the contiguous United States. J. Appl. Meteorol. Clim. 2008, 47, 2198–2214. [Google Scholar] [CrossRef]
- Kim, J.-H.; Chun, H.-Y. Statistics and possible sources of aviation turbulence over South Korea. J. Appl. Meteorol. Clim. 2011, 50, 311–324. [Google Scholar] [CrossRef]
- Kim, S.-H.; Chun, H.-Y. Aviation turbulence encounters detected from aircraft observations: Spatiotemporal characteristics and application to Korean Aviation turbulence guidance. Meteorol. Appl. 2016, 23, 594–604. [Google Scholar] [CrossRef]
- Ellrod, G.P.; Knapp, D.I. An objective clear-air turbulence forecasting technique: Verification and operational use. Weather. Forecast. 1992, 7, 150–165. [Google Scholar] [CrossRef]
- Kim, J.-H.; Chun, H.-Y. A numerical study of clear-air turbulence (CAT) encounters over South Korea on 2 April 2007. J. Appl. Meteorol. Clim. 2010, 49, 2381–2403. [Google Scholar] [CrossRef]
- Lee, D.-B.; Chun, H.-Y. A numerical study of aviation turbulence encountered on 13 February 2013 over the Yellow Sea between China and the Korean Peninsula. J. Appl. Meteorol. Clim. 2018, 57, 1043–1060. [Google Scholar] [CrossRef]
- Knox, J.A. Possible mechanisms of clear-air turbulence in strongly anticyclonic flows. Mon. Weather. Rev. 1997, 125, 1251–1259. [Google Scholar] [CrossRef]
- Knox, J.A.; McCann, D.W.; Williams, P.D. Application of the lighthill–ford theory of spontaneous imbalance to clear-air turbulence forecasting. J. Atmos. Sci. 2008, 65, 3292–3304. [Google Scholar] [CrossRef]
- Kim, J.-H.; Chun, H.-Y.; Sharman, R.D.; Trier, S.B. The role of vertical shear on aviation turbulence within cirrus bands of a simulated western Pacific Cyclone. Mon. Weather. Rev. 2014, 142, 2794–2813. [Google Scholar] [CrossRef]
- Lane, T.P.; Doyle, J.D.; Plougonven, R.; Shapiro, M.A.; Sharman, R.D. Observations and numerical simulations of inertia–gravity waves and shearing instabilities in the vicinity of a jet stream. J. Atmos. Sci. 2004, 61, 2692–2706. [Google Scholar] [CrossRef]
- Koch, S.E.; Jamison, B.D.; Lu, C.; Smith, T.L.; Tollerud, E.I.; Girz, C.; Wang, N.; Lane, T.P.; Shapiro, M.A.; Parrish, D.D.; et al. Turbulence and gravity waves within an upper-level front. J. Atmos. Sci. 2005, 62, 3885–3908. [Google Scholar] [CrossRef]
- Sharman, R.; Doyle, J.D.; Shapiro, M.A. An investigation of a commercial aircraft encounter with severe clear-air turbulence over Western Greenland. J. Appl. Meteorol. Clim. 2012, 51, 42–53. [Google Scholar] [CrossRef]
- Lane, T.P.; Doyle, J.D.; Sharman, R.D.; Shapiro, M.A.; Watson, C.D. Statistics and dynamics of aircraft encounters of turbulence over Greenland. Mon. Weather. Rev. 2009, 137, 2687–2702. [Google Scholar] [CrossRef]
- Elvidge, A.D.; Vosper, S.B.; Wells, H.; Cheung, J.C.H.; Derbyshire, S.H.; Turp, D. Moving towards a wave-resolved approach to forecasting mountain wave induced clear air turbulence. Meteorol. Appl. 2017, 24, 540–550. [Google Scholar] [CrossRef]
- Grabowski, W.W.; Clark, T.L. Cloud–environment interface instability: Rising thermal calculations in two spatial dimensions. J. Atmos. Sci. 1991, 48, 527–546. [Google Scholar] [CrossRef]
- Lane, T.P.; Sharman, R.D.; Clark, T.L.; Hsu, H.-M. An Investigation of turbulence generation mechanisms above deep convection. J. Atmos. Sci. 2003, 60, 1297–1321. [Google Scholar] [CrossRef]
- Sharman, R.D.; Trier, S.B. Influences of gravity waves on convectively induced turbulence (CIT): A review. Pure Appl. Geophys. PAGEOPH 2018, 176, 1923–1958. [Google Scholar] [CrossRef]
- Kim, J.-H.; Chun, H.-Y. A numerical simulation of convectively induced turbulence above deep convection. J. Appl. Meteorol. Clim. 2012, 51, 1180–1200. [Google Scholar] [CrossRef]
- Lane, T.P.; Sharman, R.D.; Trier, S.B.; Fovell, R.G.; Williams, J.K. Recent Advances in the understanding of near-cloud turbulence. Bull. Am. Meteorol. Soc. 2012, 93, 499–515. [Google Scholar] [CrossRef]
- Sharman, R.; Trier, S.B.; Lane, T.P.; Doyle, J.D. Sources and dynamics of turbulence in the upper troposphere and lower stratosphere: A review. Geophys. Res. Lett. 2012, 39. [Google Scholar] [CrossRef]
- Trier, S.B.; Sharman, R.D.; Lane, T.P. Influences of moist convection on a cold-season outbreak of clear-air turbulence (CAT). Mon. Weather. Rev. 2012, 140, 2477–2496. [Google Scholar] [CrossRef]
- Kim, S.-H.; Chun, H.-Y.; Sharman, R.D.; Trier, S.B. Development of near-cloud turbulence diagnostics based on a convective gravity wave drag parameterization. J. Appl. Meteorol. Clim. 2019, 58, 1725–1750. [Google Scholar] [CrossRef]
- Sharman, R.D.; Pearson, J.M. Prediction of energy dissipation rates for aviation turbulence. Part I: Forecasting nonconvective turbulence. J. Appl. Meteorol. Clim. 2017, 56, 317–337. [Google Scholar] [CrossRef]
- Pearson, J.M.; Sharman, R.D. Prediction of energy dissipation rates for aviation turbulence. Part II: Nowcasting convective and nonconvective turbulence. J. Appl. Meteorol. Clim. 2017, 56, 339–351. [Google Scholar] [CrossRef]
- Gultepe, I.; Sharman, R.; Williams, P.D.; Zhou, B.; Ellrod, G.; Minnis, P.; Trier, S.; Griffin, S.; Yum, S.S.; Gharabaghi, B.; et al. A review of high impact weather for aviation meteorology. Pure Appl. Geophys. 2019, 176, 1869–1921. [Google Scholar] [CrossRef]
- Sharman, R.; Tebaldi, C.; Wiener, G.; Wolff, J. An integrated approach to mid- and upper-level turbulence forecasting. Weather. Forecast. 2006, 21, 268–287. [Google Scholar] [CrossRef]
- Kim, J.-H.; Chun, H.-Y. Development of the Korean Aviation Turbulence Guidance (KTG) System using the Operational Unified Model (UM) of the Korea Meteorological Administration (KMA) and Pilot Reports (PIREPs). J. Korean Soc. Aviat. Aeronaut. 2012, 20, 76–83. [Google Scholar] [CrossRef]
- Lee, D.-B.; Chun, H.-Y. Development of the Global-Korean Aviation Turbulence Guidance (Global-KTG) System Using the Global Data Assimilation and Prediction System (GDAPS) of the Korea Meteorological Administration (KMA). Atmosphere 2018, 28, 223–232. (In Korean) [Google Scholar] [CrossRef]
- Cho, J.Y.N.; Lindborg, E. Horizontal velocity structure functions in the upper troposphere and lower stratosphere: 1. Observations. J. Geophys. Res. Space Phys. 2001, 106, 10223–10232. [Google Scholar] [CrossRef]
- Nastrom, G.D.; Gage, K.S. A climatology of atmospheric wavenumber spectra of wind and temperature observed by com-mercial aircraft. J. Atmos. Sci. 1985, 42, 950–960. [Google Scholar] [CrossRef]
- International Civil Aviation Organization. Meteorological Service for International Air Navigation: Annex 3 to the Convention on International Civil Aviation, 14th ed.; ICAO International Standards and Recommended Practices: Montréal, QC, Canada, 2001; p. 128. [Google Scholar]
- International Civil Aviation Organization. Meteorological Service for International Air Navigation: Annex 3 to the Convention on the International Civil Aviation, 17th ed.; ICAO International Standards and Recommended Practices: Montréal, QC, Canada, 2010; p. 206. [Google Scholar]
- Kim, J.-H.; Chan, W.N.; Sridhar, B.; Sharman, R.D. Combined winds and turbulence prediction system for automated air-traffic management applications. J. Appl. Meteorol. Clim. 2015, 54, 766–784. [Google Scholar] [CrossRef]
- Williams, J.K. Using random forests to diagnose aviation turbulence. Mach. Learn. 2014, 95, 51–70. [Google Scholar] [CrossRef]
- Moninger, W.R.; Mamrosh, R.D.; Pauley, P.M. Automated meteorological reports from commercial aircraft. Bull. Am. Meteorol. Soc. 2003, 84, 203–216. [Google Scholar] [CrossRef]
- Cornman, L.B.; Morse, C.S.; Cunning, G. Real-time estimation of atmospheric turbulence severity from in-situ aircraft meas-urements. J. Aircr. 1995, 32, 171–177. [Google Scholar] [CrossRef]
- Sharman, R.D.; Cornman, L.B.; Meymaris, G.; Pearson, J.; Farrar, T. Description and Derived climatologies of automated in situ eddy-dissipation-rate reports of atmospheric turbulence. J. Appl. Meteorol. Clim. 2014, 53, 1416–1432. [Google Scholar] [CrossRef]
- Cornman, L.B. Airborne In Situ Measurements of Turbulence; Springer International Publishing: Geneva, Switzerland, 2016; pp. 97–120. [Google Scholar]
- Strauss, L.; Serafin, S.; Haimov, S.; Grubišić, V. Turbulence in breaking mountain waves and atmospheric rotors estimated from airborne in situ and Doppler radar measurements. Q. J. R. Meteorol. Soc. 2015, 141, 3207–3225. [Google Scholar] [CrossRef]
- Champagne, F.H. The fine-scale structure of the turbulent velocity field. J. Fluid Mech. 1978, 86, 67–108. [Google Scholar] [CrossRef]
- Piper, M.; Lundquist, J.K. Surface layer turbulence measurements during a frontal passage. J. Atmos. Sci. 2004, 61, 1768–1780. [Google Scholar] [CrossRef]
- Kolmogorov, A.N. Dissipation of energy in the locally isotropic turbulence. Proc. R. Soc. Lond. Ser. A Math. Phys. Sci. 1991, 434, 15–17. [Google Scholar] [CrossRef]
- Kolmogorov, A.N. The local structure of turbulence in incompressible viscous fluid for very large Reynolds numbers. Proc. R. Soc. Lond. Ser. A Math. Phys. Sci. 1991, 434, 9–13. [Google Scholar] [CrossRef]
- Oncley, S.P.; Friehe, C.A.; Larue, J.C.; Businger, J.A.; Itsweire, E.C.; Chang, S.S. Surface-layer fluxes, profiles, and turbulence measurements over uniform terrain under near-neutral conditions. J. Atmos. Sci. 1996, 53, 1029–1044. [Google Scholar] [CrossRef]
- Muñoz-Esparza, D.; Sharman, R.D.; Lundquist, J.K. Turbulence Dissipation rate in the atmospheric boundary layer: Observations and WRF mesoscale modeling during the XPIA field campaign. Mon. Weather. Rev. 2018, 146, 351–371. [Google Scholar] [CrossRef]
- Ye, B.-Y.; Lee, G.; Park, H.-M. Identification and Removal of Non-Meteorological Echoes in Dual-Polarization Radar Data Based on a Fuzzy Logic Algorithm. Adv. Atmos. Sci. 2015, 32, 1217–1230. [Google Scholar] [CrossRef]
- Muñoz-Esparza, D.; Sharman, R. An improved algorithm for low-level turbulence forecasting. J. Appl. Meteorol. Clim. 2018, 57, 1249–1263. [Google Scholar] [CrossRef]
- Kim, S.-H.; Chun, H.-Y.; Kim, J.-H.; Sharman, R.D.; Strahan, M. Retrieval of eddy dissipation rate from derived equivalent vertical gust included in Aircraft Meteorological Data Relay (AMDAR). Atmos. Meas. Tech. 2020, 13, 1373–1385. [Google Scholar] [CrossRef]
- Skamarock, W.; Klemp, J.B.; Dudhia, J.; Gill, D.O.; Barker, D.; Duda, D.M.; Huang, X.; Wang, W.; Powers, J.G. A Description of the Advanced Research WRF Version 3. NCAR Techical Note NCAR/TN475+STR; University Corporation for Atmospheric Research: Boulder, CO, USA, 2008; p. 113. [Google Scholar]
- Trier, S.B.; Sharman, R.D. Convection-permitting simulations of the environment supporting widespread turbulence within the upper-level outflow of a mesoscale convective system. Mon. Weather. Rev. 2009, 137, 1972–1990. [Google Scholar] [CrossRef]
- Trier, S.B.; Sharman, R.D. Mechanisms influencing cirrus banding and aviation turbulence near a convectively enhanced upper-level jet stream. Mon. Weather. Rev. 2016, 144, 3003–3027. [Google Scholar] [CrossRef]
- Thompson, G.; Field, P.R.; Rasmussen, R.M.; Hall, W.D. Explicit Forecasts of winter precipitation using an improved bulk microphysics scheme. Part II: Implementation of a new snow parameterization. Mon. Weather. Rev. 2008, 136, 5095–5115. [Google Scholar] [CrossRef]
- Nakanishi, M.; Niino, H. An improved mellor–yamada level-3 model: Its numerical stability and application to a regional prediction of advection fog. Bound. Layer Meteorol. 2006, 119, 397–407. [Google Scholar] [CrossRef]
- Iacono, M.J.; Delamere, J.S.; Mlawer, E.J.; Shephard, M.W.; Clough, S.A.; Collins, W.D. Radiative forcing by long-lived greenhouse gases: Calculations with the AER radiative transfer models. J. Geophys. Res. Space Phys. 2008, 113, D13103. [Google Scholar] [CrossRef]
- Ek, M.B.; Mitchell, K.E.; Lin, Y.; Rogers, E.; Grunmann, P.; Koren, V.; Gayno, G.; Tarpley, J.D. Implementation of Noah land surface model advances in the National Centers for environmental prediction operational mesoscale Eta model. J. Geophys. Res. Space Phys. 2003, 108, 8851. [Google Scholar] [CrossRef]
- Kain, J.S. The kain–fritsch convective parameterization: An update. J. Appl. Meteorol 2004, 43, 170–181. [Google Scholar] [CrossRef]
- Park, S.; Kim, J.; Sharman, R.D.; Klemp, J.B. Update of upper level turbulence forecast by reducing unphysical components of topography in the numerical weather prediction model. Geophys. Res. Lett. 2016, 43, 7718–7724. [Google Scholar] [CrossRef]
- Park, S.-H.; Klemp, J.B.; Kim, J.-H. Hybrid mass coordinate in WRF-ARW and Its impact on upper-level turbulence forecasting. Mon. Weather. Rev. 2019, 147, 971–985. [Google Scholar] [CrossRef]
- Kim, J.-H.; Sharman, R.D.; Benjamin, S.G.; Brown, J.M.; Park, S.-H.; Klemp, J.B.; Benjamin, S.; Klemp, J. Improvement of mountain-wave turbulence forecasts in NOAA’s Rapid refresh (RAP) model with the hybrid vertical coordinate system. Weather. Forecast. 2019, 34, 773–780. [Google Scholar] [CrossRef]
- Beck, J.; Brown, J.; Dudhia, J.; Gill, D.; Hertneky, T.; Klemp, J.; Wang, W.; Williams, C.; Hu, M.; James, E.; et al. An evaluation of a hybrid, terrain-following vertical coordinate in the WRF-based RAP and HRRR models. Weather. Forecast. 2020, 35, 1081–1096. [Google Scholar] [CrossRef]
- Gultepe, I.; Starr, D.O. Dynamical structure and turbulence in cirrus clouds: Aircraft observations during fire. J. Atmos. Sci. 1995, 52, 4159–4182. [Google Scholar] [CrossRef]
















| Zone and Options | Specific Settings | ||
|---|---|---|---|
| Domain 1 | Domain 2 | ||
| Resolution | Horizontal | 9 km | 3 km |
| Vertical | 73 η layers | ||
| Zone | 1-way nesting and lambert conformal projection centered point (38°N and 126°E) | ||
| Number of grid points | |||
| 401 × 401 | 391 × 472 | ||
| Time step | 30 s | 10 s | |
| Microphysical scheme | Thompson [55] | ||
| Boundary layer scheme | Mellor–Yamada Nakanishi Niino (MYNN) [56] | ||
| Radiation scheme | Long- and short-wave radiation: Rapid radiative transfer model for general circulation (RRTMG) [57] | ||
| Land surface process | Unified Noah land-surface model [58] | ||
| Cumulus parameterization scheme | Kain–Fritsch [59] | ||
Publisher’s Note: MDPI stays neutral with regard to jurisdictional claims in published maps and institutional affiliations. |
© 2021 by the authors. Licensee MDPI, Basel, Switzerland. This article is an open access article distributed under the terms and conditions of the Creative Commons Attribution (CC BY) license (http://creativecommons.org/licenses/by/4.0/).
Share and Cite
Kim, J.-H.; Park, J.-R.; Kim, S.-H.; Kim, J.; Lee, E.; Baek, S.; Lee, G. A Detection of Convectively Induced Turbulence Using in Situ Aircraft and Radar Spectral Width Data. Remote Sens. 2021, 13, 726. https://doi.org/10.3390/rs13040726
Kim J-H, Park J-R, Kim S-H, Kim J, Lee E, Baek S, Lee G. A Detection of Convectively Induced Turbulence Using in Situ Aircraft and Radar Spectral Width Data. Remote Sensing. 2021; 13(4):726. https://doi.org/10.3390/rs13040726
Chicago/Turabian StyleKim, Jung-Hoon, Ja-Rin Park, Soo-Hyun Kim, Jeonghoe Kim, Eunjeong Lee, SeungWoo Baek, and Gyuwon Lee. 2021. "A Detection of Convectively Induced Turbulence Using in Situ Aircraft and Radar Spectral Width Data" Remote Sensing 13, no. 4: 726. https://doi.org/10.3390/rs13040726
APA StyleKim, J.-H., Park, J.-R., Kim, S.-H., Kim, J., Lee, E., Baek, S., & Lee, G. (2021). A Detection of Convectively Induced Turbulence Using in Situ Aircraft and Radar Spectral Width Data. Remote Sensing, 13(4), 726. https://doi.org/10.3390/rs13040726

