A Global Climatology of Dust Aerosols Based on Satellite Data: Spatial, Seasonal and Inter-Annual Patterns over the Period 2005–2019
Abstract
1. Introduction
2. Data and Methodology
2.1. MODIS and OMI Satellite Data
2.2. Methodology
3. Results and Discussion
3.1. Global Results
3.1.1. Geographical Distribution
3.1.2. Intra-Annual and Inter-Annual Cycles
3.2. Regional Results
3.2.1. East Sahara
3.2.2. West Sahara
3.2.3. East Tropical Atlantic Ocean
3.2.4. West Tropical Atlantic
3.2.5. Gulf of Guinea
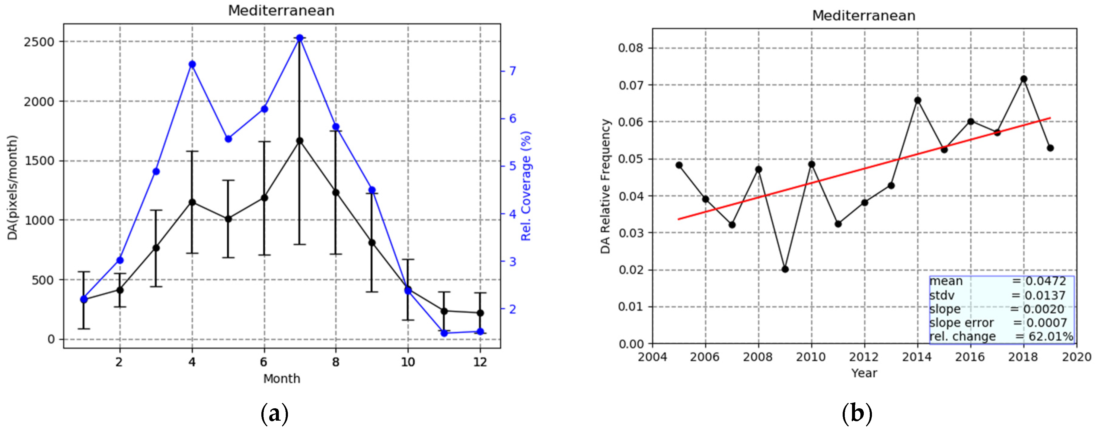
3.2.6. Mediterranean Basin
3.2.7. Taklamakan Desert
3.2.8. Gobi Desert
3.2.9. Thar Desert
3.2.10. North Middle East
3.2.11. South Middle East–Arabia
4. Conclusions
- The greatest frequencies of occurrence of dust (40–165 days/year) were observed over the North Hemisphere, across the Global Dust Belt (GDB) extending from the western coast of North Africa to China, including the regions of Middle East and Central and Southern Asia. GDB includes the greatest world deserts, namely the Sahara, Middle East, Arabian, Taklamakan and Gobi, from which dust aerosols are transported to remote regions such as the Tropical Atlantic Ocean and the Mediterranean Basin. The maximum frequencies (165 days/year) were observed over the western part of the Sahara and the broader Bodélé area, whereas very high frequencies were observed over the Taklamakan (140 days/year) and Gobi (110 days/year) deserts in Asia. High frequencies of DA (80 days/year) were also observed over the northern part of Middle East as well as over the eastern part of Sahara. Over all these areas, dust aerosols were encountered in more than 50% of the days for which the satellite algorithm operated.
- A notable seasonal and inter-annual variability of dust aerosols was revealed by the results of the satellite algorithm. In general, the strongest frequency of occurrence on a global basis was observed in boreal summer, and more specifically in June, when dust aerosols were detected in more than 10 days/month over extended desert areas, namely the Sahara, Middle East and Asian deserts. During June, dust aerosols cover about 3.6% of the global areas for which the algorithm operated (i.e., 633,463 grid cells). On the other hand, the minimum frequencies of DA were observed in boreal winter, and more specifically in November, when dust was observed over desert areas only on a few days (mainly up to 2 or 3 days/month). This seasonal variability of DA on a global basis slightly differs from one region to another. Thus, DA frequencies are maximum in spring (mainly late) over East Sahara, Taklamakan, Gobi, Thar and North Middle East deserts, and in (mainly early) summer over West Sahara, Tropical Atlantic Ocean and the South Middle East desert. Double maximum frequencies, primarily in summer and secondary in spring were are observed over the Mediterranean basin.
- The frequency of DA changes year by year, even on a global scale. Thus, during the 15-year study period, the lowest frequency of global DA was observed in 2007 (0.0143) and 2009 (0.0146) and the highest one (0.0290) in 2018. During the period of 2005–2019, the global dust frequency fluctuated, showing an increased trend equal to 56.2%, which is not statistically significant according to the applied Mann–Kendal test but marginally significant according to the slope error. Increasing trends of the frequency of occurrence of dust were observed for all the selected study regions, except for the North Middle East, where decreasing trend was noted. The strongest increase, equal to 92% (statistically significant according to the applied Mann–Kendal test) was observed over the West Tropical Atlantic Ocean. According to the applied Mann–Kendall test, the statistically significant trends are those calculated for the Globe, East Sahara, West Sahara, Mediterranean, Taklamakan and West Tropical Atlantic Ocean. However, when the statistical significance is ascertained from the computed standard error of the slope of the applied linear regression, three (3) other regions were found to have undergone significant trends, namely East Tropical Atlantic Ocean, South Middle East and Gulf of Guinea. Such inter-annual trends of the frequency of occurrence of global or regional dust may have significant implications in various aspects ranging from climate to health and ocean biogeochemistry.
- The seasonal and inter-annual variability of the presence of dust is connected to dust sources’ activation (e.g., desertification) and/or to dust removal and deposition mechanisms (e.g., changes in precipitation). Years with low precipitation are associated with strong dust presence in the atmosphere due to the reduced wet deposition [124]. Thus, for example, the strong increase in DA over the West Tropical Atlantic Ocean, compared to the slighter increase over the East Tropical Atlantic Ocean, given that both regions undergo transport of dust from Sahara, can be attributed to (weakened) deposition.
- The present algorithm has limitations, since it uses columnar aerosol products. Thus, in cases where coarse strongly scattering sea-salt aerosols in the oceanic boundary layer coexist with overlying (in the free troposphere) fine and strongly absorbing carbonaceous aerosols, the algorithm misidentifies the predominant aerosol type in the atmospheric column as dust (coarse moderately absorbing). This is the case in southeast Atlantic Ocean, off the coasts of Angola, where biomass burning aerosols from the African mainland are exported westwards, into the ocean, from July to September and overlie the marine boundary layer sea-salt aerosols.
Supplementary Materials
Author Contributions
Funding
Institutional Review Board Statement
Informed Consent Statement
Data Availability Statement
Acknowledgments
Conflicts of Interest
References
- Jaenicke, R. Aerosol physics and chemistry. In Landolt-Börnstein Numerical Data and Functional Relationship in Science and Technology, New Series Group V, Geophysics and Space Research, Meteorology; Springer: Heidelberg, Germany, 1988; Volume 4, pp. 391–457. [Google Scholar]
- Ramanathan, V.; Crutzen, P.J.; Kiehl, J.T.; Rosenfeld, D. Aerosols, Climate, and the Hydrological Cycle. Science 2001, 294, 2119–2124. [Google Scholar] [CrossRef] [PubMed]
- Heald, C.L.; Ridley, D.A.; Kroll, J.H.; Barrett, S.R.H.; Cadypereira, K.E.; Alvarado, M.J.; Holmes, C.D. Contrasting the direct radiative effect and direct radiative forcing of aerosols. Atmos. Chem. Phys. 2014, 14, 5513–5527. [Google Scholar] [CrossRef]
- Prospero, J.; Ginoux, P.; Torres, O.; Nicholson, S.; Gill, T. Environmental characterization of global sources of atmospheric soil dust identified with the NIMBUS 7 Total Ozone Mapping Sectrometer (TOMS) absorbing aerosol product. Rev. Geophys. 2002, 40, 2-1–2-31. [Google Scholar] [CrossRef]
- Washington, R.W.; Todd, M.C.; Middleton, N.; Goudie, A.S. Dust-storm source areas determined by the total ozone moni-toring spectrometer and surface observations. Ann. Assoc. Am. Geogr. 2003, 93, 297–313. [Google Scholar] [CrossRef]
- Tegen, I.; Werner, M.; Harrison, S.P.; Kohfeld, K.E. Relative importance of climate and land use in determining present and future global soil dust emission. Geophys. Res. Lett. 2004, 31, L05105. [Google Scholar] [CrossRef]
- Bullard, J.E.; Baddock, M.C.; Bradwell, T.; Crusius, J.; Darlington, E.F.; Gaiero, D.; Gassó, S.; Gisladottir, G.; Hodgkins, R.; McCulloch, R.; et al. High-latitude dust in the Earth system. Rev. Geophys. 2016, 54, 447–485. [Google Scholar] [CrossRef]
- Velasco-Merino, C.; Mateos, D.; Toledano, C.; Prospero, J.M.; Molinie, J.; Euphrasie-Clotilde, L.; González, R.; Cachorro, V.E.; Calle, A.; De Frutos, A.M. Impact of long-range transport over the Atlantic Ocean on Saharan dust optical and microphysical properties based on AERONET data. Atmos. Chem. Phys. 2018, 18, 9411–9424. [Google Scholar] [CrossRef]
- Barkan, J.; Alpert, P. Synoptic analysis of a rare event of Saharan dust reaching the Arctic region. Weather 2010, 65, 208–211. [Google Scholar] [CrossRef]
- Vincent, R. The Effect of Arctic Dust on the Retrieval of Satellite Derived Sea and Ice Surface Temperatures. Sci. Rep. 2018, 8, 9727. [Google Scholar] [CrossRef]
- Tanre, D.; Kaufman, Y.J.; Holben, B.N.; Chatenet, B.; Karnieli, A.; Lavenu, F.; Blarel, L.; Dubovik, O.; Remer, L.A.; Smirnov, A. Climatology of dust aerosol size distribution and optical properties derived from remotely sensed data in the solar spectrum. J. Geophys. Res. Atmos. 2001, 106, 18205–18217. [Google Scholar] [CrossRef]
- Fan, J.; Wang, Y.; Rosenfeld, D.; Liu, X. Review of Aerosol–Cloud Interactions: Mechanisms, Significance, and Challenges. J. Atmos. Sci. 2016, 73, 4221–4252. [Google Scholar] [CrossRef]
- Li, Z.; Lau, W.K.M.; Ramanathan, V.; Wu, G.; Ding, Y.; Manoj, M.G. Aerosol and monsoon climate interactions over Asia. Rev. Geophys. 2016, 54, 866–929. [Google Scholar] [CrossRef]
- Li, X.; Zhang, Q.; Xue, H. The role of initial cloud condensation nuclei concentration in hail using the WRF NSSL 2-moment microphysics scheme. Adv. Atmos. Sci. 2017, 34, 1106–1120. [Google Scholar] [CrossRef]
- Jiang, J.H.; Su, H.; Huang, L.; Wang, Y.; Massie, S.; Zhao, B.; Omar, A.H.; Wang, Z. Contrasting effects on deep convective clouds by different types of aerosols. Nat. Commun. 2018, 9, 1–7. [Google Scholar] [CrossRef] [PubMed]
- Lu, Z.; Liu, X.; Zhang, Z.; Zhao, C.; Meyer, K.; Rajapakshe, C.; Wu, C.; Yang, Z.; Penner, J.E. Biomass smoke from southern Africa can significantly enhance the brightness of stratocumulus over the southeastern Atlantic Ocean. Proc. Natl. Acad. Sci. USA 2018, 115, 2924–2929. [Google Scholar] [CrossRef] [PubMed]
- Chen, Q.; Yin, Y.; Jiang, H.; Chu, Z.; Xue, L.; Shi, R.; Zhang, X.; Chen, J. The Roles of Mineral Dust as Cloud Condensation Nuclei and Ice Nuclei during the Evolution of a Hail Storm. J. Geophys. Res. Atmos. 2019, 124, 14262–14284. [Google Scholar] [CrossRef]
- Rosenfeld, D.; Zhu, Y.; Wang, M.; Zhengi, D.Y.; Goren, T.; Yu, S. Aerosol-driven droplet concentrations dominate coverage and water of oceanic low-level clouds. Science 2019, 363, eaav0566. [Google Scholar] [CrossRef] [PubMed]
- Rosenfeld, D.; Rudich, Y.; Lahav, R. Desert dust suppressing precipitation: A possible desertification feedback loop. Proc. Natl. Acad. Sci. USA 2001, 98, 5975–5980. [Google Scholar] [CrossRef]
- Dagan, G.; Koren, I.; Altaratz, O. Competition between core and periphery-based processes in warm convective clouds—From invigoration to suppression. Atmos. Chem. Phys. 2015, 15, 2749–2760. [Google Scholar] [CrossRef]
- Guo, J.; Deng, M.; Lee, S.S.; Wang, F.; Li, Z.; Zhai, P.; Liu, H.; Lv, W.; Yao, W.; Li, X. Delaying precipitation and lightning by air pollution over the Pearl River Delta. Part I: Observational analyses. J. Geophys. Res. Atmos. 2016, 121, 6472–6488. [Google Scholar] [CrossRef]
- Lee, S.; Kim, B.-G.; Yum, S.S.; Seo, K.-H.; Jung, C.-H.; Um, S.J. Effects of aerosol on evaporation, freezing and precipitation in a multiple cloud system. Clim. Dyn. 2016, 48, 1069–1087. [Google Scholar] [CrossRef]
- Liu, H.; Guo, J.; Koren, I.; Altaratz, O.; Dagan, G.; Wang, Y.; Jiang, J.H.; Zhai, P.; Yung, Y.L. Non-Monotonic Aerosol Effect on Precipitation in Convective Clouds over Tropical Oceans. Sci. Rep. 2019, 9, 7809. [Google Scholar] [CrossRef] [PubMed]
- Jiang, H.; Feingold, G.; Koren, I. Effect of aerosol on trade cumulus cloud morphology. J. Geophys. Res. Atmos. 2009, 114, 11209. [Google Scholar] [CrossRef]
- Saleeby, S.M.; Berg, W.; Heever, S.C.V.D.; L’Ecuyer, T.S. Impact of Cloud-Nucleating Aerosols in Cloud-Resolving Model Simulations of Warm-Rain Precipitation in the East China Sea. J. Atmos. Sci. 2010, 67, 3916–3930. [Google Scholar] [CrossRef]
- Dagan, G.; Koren, I.; Altaratz, O. Aerosol effects on the timing of warm rain processes. Geophys. Res. Lett. 2015, 42, 4590–4598. [Google Scholar] [CrossRef]
- Rosenfeld, D.; Lohmann, U.; Raga, G.B.; O’Dowd, C.D.; Kulmala, M.; Fuzzi, S.; Reissell, A.; Andreae, M.O. Flood or Drought: How Do Aerosols Affect Precipitation? Science 2008, 321, 1309–1313. [Google Scholar] [CrossRef]
- Noppel, H.; Blahak, U.; Seifert, A.; Beheng, K.D. Simulations of a hailstorm and the impact of CCN using an advanced two-moment cloud microphysical scheme. Atmos. Res. 2010, 96, 286–301. [Google Scholar] [CrossRef]
- Xue, L.; Teller, A.; Rasmussen, R.; Geresdi, I.; Pan, Z.; Liu, X. Effects of Aerosol Solubility and Regeneration on Mixed-Phase Orographic Clouds and Precipitation. J. Atmos. Sci. 2012, 69, 1994–2010. [Google Scholar] [CrossRef]
- Fan, J.; Leung, L.R.; Rosenfeld, D.; Chen, Q.; Li, Z.; Zhang, J.; Yan, H. Microphysical effects determine macrophysical response for aerosol impacts on deep convective clouds. Proc. Natl. Acad. Sci. USA 2013, 110, E4581–E4590. [Google Scholar] [CrossRef] [PubMed]
- Falkowski, P.G.; Barber, R.T.; Smetacek, V. Biogeochemical Controls and Feedbacks on Ocean Primary Production. Science 1998, 281, 200–206. [Google Scholar] [CrossRef]
- Fung, I.Y.; Meyn, S.K.; Tegen, I.; Doney, S.C.; John, J.G.; Bishop, J.K.B. Iron supply and demand in the upper ocean. Glob. Biogeochem. Cycles 2000, 14, 281–295. [Google Scholar] [CrossRef]
- Jickells, T.D.; Anderson, K.; Andersen, K.K.; Baker, A.R.; Bergametti, G.; Brooks, N.; Cao, J.J.; Boyd, P.W.; Duce, R.A.; Hunter, K.A.; et al. Global Iron Connections between Desert Dust, Ocean Biogeochemistry, and Climate. Science 2005, 308, 67–71. [Google Scholar] [CrossRef] [PubMed]
- Pérez, C.; Nickovic, S.; Pejanovic, G.; Baldasano, J.M.; Özsoy, E.; García-Pando, C.P. Interactive dust-radiation modeling: A step to improve weather forecasts. J. Geophys. Res. Atmos. 2006, 111. [Google Scholar] [CrossRef]
- Gkikas, A.; Obiso, V.; García-Pando, C.P.; Jorba, O.; Hatzianastassiou, N.; Vendrell, L.; Basart, S.; Solomos, S.; Gassó, S.; Baldasano, J.M. Direct radiative effects during intense Mediterranean desert dust outbreaks. Atmos. Chem. Phys. 2018, 18, 8757–8787. [Google Scholar] [CrossRef]
- Gkikas, A.; Giannaros, T.; Kotroni, V.; Lagouvardos, K. Assessing the radiative impacts of an 1233 extreme desert dust outbreak and the potential improvements on short-term weather forecasts: The case of February. Atmos. Res. 2019, 226, 152–170. [Google Scholar] [CrossRef]
- De Longueville, F.; Hountondji, Y.C.; Henry, S.; Ozer, P. What do we know about effects of desert dust on air quality and human health in West Africa compared to other regions? Sci. Total Environ. 2010, 409, 1–8. [Google Scholar] [CrossRef]
- Mahowald, N.; Kloster, S.; Engelstaedter, S.; Moore, J.K.; Mukhopadhyay, S.; McConnell, J.R.; Albani, S.; Doney, S.C.; Bhattacharya, A.; Curran, M.A.J.; et al. Observed 20th century desert dust variability: Impact on climate and biogeochemistry. Atmos. Chem. Phys. 2010, 10, 10875–10893. [Google Scholar] [CrossRef]
- Shao, Y.; Wyrwoll, K.-H.; Chappell, A.; Huang, J.; Lin, Z.; McTainsh, G.; Mikami, M.; Tanaka, T.Y.; Wang, X.; Yoon, S. Dust cycle: An emerging core theme in Earth system science. Aeolian Res. 2011, 2, 181–204. [Google Scholar] [CrossRef]
- Giannadaki, D.; Pozzer, A.; Lelieveld, J. Modeled global effects of airborne desert dust on air quality and premature mortality. Atmos. Chem. Phys. 2014, 14, 957–968. [Google Scholar] [CrossRef]
- Koren, I.; Kaufman, Y.J.; Washington, R.; Todd, M.C.; Rudich, Y.; Martins, J.V.; Rosenfeld, D. The Bodélé depression: A single spot in the Sahara that provides most of the mineral dust to the Amazon forest. Environ. Res. Lett. 2006, 1, 014005. [Google Scholar] [CrossRef]
- Gkikas, A.; Basart, S.; Hatzianastassiou, N.; Marinou, E.; Amiridis, V.; Kazadzis, S.; Pey, J.; Querol, X.; Jorba, O.; Gassó, S.; et al. Mediterranean intense desert dust outbreaks and their vertical structure based on remote sensing data. Atmos. Chem. Phys. 2016, 16, 8609–8642. [Google Scholar] [CrossRef]
- Proestakis, E.; Amiridis, V.; Marinou, E.; Georgoulias, A.K.; Solomos, S.; Kazadzis, S.; Chimot, J.; Che, H.; Alexandri, G.; Binietoglou, I.; et al. Nine-year spatial and temporal evolution of desert dust aerosols over South and East Asia as revealed by CALIOP. Atmos. Chem. Phys. 2018, 18, 1337–1362. [Google Scholar] [CrossRef]
- Koven, C.D.; Fung, I. Identifying global dust source areas using high-resolution land surface form. J. Geophys. Res. Atmos. 2008, 113. [Google Scholar] [CrossRef]
- Ridley, D.A.; Heald, C.L.; Kok, J.; Zhao, C. An observationally constrained estimate of global dust aerosol optical depth. Atmos. Chem. Phys. 2016, 16, 15097–15117. [Google Scholar] [CrossRef]
- Hatzianastassiou, N.; Wobrock, W.; Flossmann, A.I. The effect of cloud-processing of aerosol particles on clouds and radiation. Tellus B Chem. Phys. Meteorol. 1998, 50, 478–490. [Google Scholar] [CrossRef]
- Boucher, O.; Randall, D.; Artaxo, P.; Bretherton, C.; Feingold, G.; Forster, P.; Kerminen, V.-M.; Kondo, Y.; Liao, H.; Lohmann, U.; et al. Clouds and Aerosols. In Climate Change 2013: The Physical Science Basis. Contribution of Working Group I to the Fifth Assessment Report of the Intergovernmental Panel on Climate Change; Stocker, T.F., Qin, D., Plattner, G.-K., Tignor, M., Allen, S.K., Boschung, J., Nauels, A., Xia, Y., Bex, V., Midgley, P.M., Eds.; Cambridge University Press: Cambridge, UK; New York, NY, USA, 2013. [Google Scholar]
- Wang, W.; Sheng, L.; Dong, X.; Qu, W.; Sun, J.; Jin, H.; Logan, T. Dust aerosol impact on the retrieval of cloud top height from satellite observations of CALIPSO, CloudSat and MODIS. J. Quant. Spectrosc. Radiat. Transf. 2017, 188, 132–141. [Google Scholar] [CrossRef]
- Middleton, N.J. Desertification and Wind Erosion in the Western Sahel: The Example of Mauritania; Research Paper 40; School of Geography, University of Oxford: Oxford, UK, 1987. [Google Scholar]
- Alibekov, L.; Alibekov, D. Causes and Socio-Economic Consequences of Desertification in Central Asia. In The Socio-Economic Causes and Consequences of Desertification in Central Asia. NATO Science for Peace and Security Series (Series C: Environmental Security); Behnke, R., Ed.; Springer: Dordrecht, The Netherlands, 2008. [Google Scholar] [CrossRef]
- Vickery, K.J.; Eckardt, F.D.; Bryant, R.G. A sub-basin scale dust plume source frequency inventory for southern Africa, 2005–2008. Geophys. Res. Lett. 2013, 40, 5274–5279. [Google Scholar] [CrossRef]
- Washington, R.; Todd, M.C. Atmospheric controls on mineral dust emission from the Bodélé Depression, Chad: The role of the low level jet. Geophys. Res. Lett. 2005, 32. [Google Scholar] [CrossRef]
- Wang, X.; Liu, J.; Che, H.; Ji, F.; Liu, J. Spatial and temporal evolution of natural and anthropogenic dust events over northern China. Sci. Rep. 2018, 8, 2141. [Google Scholar] [CrossRef]
- Ginoux, P.; Prospero, J.M.; Gill, T.E.; Hsu, N.C.; Zhao, M. Global-scale attribution of anthropogenic and natural dust sources and their emission rates based on MODIS Deep Blue aerosol products. Rev. Geophys. 2012, 50, 305. [Google Scholar] [CrossRef]
- Afeti, G.M.; Resch, F.J. Physical characteristics of Saharan dust near the Gulf of Guinea. Atmos. Environ. 2000, 34, 1273–1279. [Google Scholar] [CrossRef]
- Bibi, M.; Saad, M.; Masmoudi, M.; Laurent, B.; Alfaro, S.C. Long-term (1980–2018) spatial and temporal variability of the atmospheric dust load and deposition fluxes along the North-African coast of the Mediterranean Sea. Atmos. Res. 2020, 234, 104689. [Google Scholar] [CrossRef]
- Goudie, A.S.; Middleton, N.J. The changing frequency of dust storms through time. Clim. Chang. 1992, 20, 197–225. [Google Scholar] [CrossRef]
- Engelstaedter, S.; Tegen, I.; Washington, R. North African dust emissions and transport. Earth Sci. Rev. 2006, 79, 73–100. [Google Scholar] [CrossRef]
- Yu, Y.; Kalashnikova, O.V.; Garay, M.J.; Notaro, M. Climatology of Asian dust activation and transport potential based on MISR satellite observations and trajectory analysis. Atmos. Chem. Phys. 2019, 19, 363–378. [Google Scholar] [CrossRef]
- Levy, R.C.; Mattoo, S.; Munchak, L.A.; Remer, L.A.; Sayer, A.M.; Patadia, F.; Hsu, N.C. The Collection 6 MODIS aerosol products over land and ocean. Atmos. Meas. Tech. 2013, 6, 2989–3034. [Google Scholar] [CrossRef]
- Bilal, M.; Nazeer, M.; Shengqiang, W.; Ding, X.; Wei, J. Global Validation of MODIS C6 and C6.1 Merged Aerosol Products over Diverse Vegetated Surfaces. Remote Sens. 2018, 10, 475. [Google Scholar] [CrossRef]
- Tian, X.; Liu, Q.; Li, X.; Wei, J. Validation and Comparison of MODIS C6.1 and C6 Aerosol Products over Beijing, China. Remote Sens. 2018, 10, 2021. [Google Scholar] [CrossRef]
- Huang, Y.; Zhu, B.; Zhu, Z.; Zhang, T.; Gong, W.; Ji, Y.; Xia, X.; Wang, L.; Zhou, X.; Chen, D. Evaluation and Comparison of MODIS Collection 6.1 and Collection 6 Dark Target Aerosol Optical Depth over Mainland China under Various Conditions Including Spatiotemporal Distribution, Haze Effects, and Underlying Surface. Earth Space Sci. 2019, 6, 2575–2592. [Google Scholar] [CrossRef]
- Wei, J.; Li, Z.; Peng, Y.; Sun, L. MODIS Collection 6.1 aerosol optical depth products over land and ocean: Validation and comparison. Atmos. Environ. 2019, 201, 428–440. [Google Scholar] [CrossRef]
- Torres, O.; Ahn, C.; Chen, Z. Improvements to the OMI near-UV aerosol algorithm using A-train CALIOP and AIRS observations. Atmos. Meas. Tech. 2013, 6, 3257–3270. [Google Scholar] [CrossRef]
- Remer, L.A.; Mattoo, S.K.; Levy, R.C.; Munchak, L.A. MODIS 3 km aerosol product: Algorithm and global perspective. Atmos. Meas. Tech. 2013, 6, 1829–1844. [Google Scholar] [CrossRef]
- Gupta, P.; Remer, L.A.; Patadia, F.; Levy, R.C.; Christopher, S.A. High-Resolution Gridded Level 3 Aerosol Optical Depth Data from MODIS. Remote Sens. 2020, 12, 2847. [Google Scholar] [CrossRef]
- Ginoux, P.; Garbuzov, D.; Hsu, N.C. Identification of anthropogenic and natural dust sources using Moderate Resolution Imaging Spectroradiometer (MODIS) Deep Blue level 2 data. J. Geophys. Res. Atmos. 2010, 115, 05204. [Google Scholar] [CrossRef]
- Herman, J.R.; Bhartia, P.K.; Torres, O.; Hsu, N.C.; Seftor, C.J.; Celarier, E. Global distribution of UV-absorbing aerosols from Nimbus-7/ TOMS data. J. Geophys. Res. 1997, 102, 16911–16923. [Google Scholar] [CrossRef]
- Torres, O.; Bhartia, P.K.; Herman, J.R.; Ahmad, Z.; Gleason, J. Derivation of aerosol properties from satellite measurements of backscattered ultraviolet radiation: Theoretical basis. J. Geophys. Res. Atmos. 1998, 103, 17099–17110. [Google Scholar] [CrossRef]
- Takemura, T.; Nakajima, T.; Dubovik, O.; Holben, B.N.; Kinne, S. Single-Scattering Albedo and Radiative Forcing of Various Aerosol Species with a Global Three-Dimensional Model. J. Clim. 2002, 15, 333–352. [Google Scholar] [CrossRef]
- Pace, G.; Di Sarra, A.; Meloni, D.; Piacentino, S.; Chamard, P. Aerosol optical properties at Lampedusa (Central Mediterranean). Influence of transport and identification of different aerosol types. Atmos. Chem. Phys. 2006, 6, 697–713. [Google Scholar] [CrossRef]
- Tolédano, C.; Wiegner, M.; Garhammer, M.; Seefeldner, M.; Gasteiger, J.; Muller, D.; Koepke, P. Spectral aerosol optical depth characterization of desert dust during SAMUM 2006. Tellus B Chem. Phys. Meteorol. 2009, 61, 216–228. [Google Scholar] [CrossRef]
- Gkikas, A.; Hatzianastassiou, N.; Mihalopoulos, N.; Katsoulis, V.; Kazadzis, S.; Pey, J.; Querol, X.; Torres, O. The regime of intense desert dust episodes in the Mediterranean based on contemporary satellite observations and ground measurements. Atmos. Chem. Phys. 2013, 13, 12135–12154. [Google Scholar] [CrossRef]
- Huneeus, N.; Schulz, M.; Balkanski, Y.; Griesfeller, J.; Prospero, J.M.; Kinne, S.; Bauer, S.; Boucher, O.; Chin, M.; Dentener, F.; et al. Global dust model intercomparison in AeroCom phase I. Atmos. Chem. Phys. 2011, 11, 7781–7816. [Google Scholar] [CrossRef]
- Yuan, C.; Lau, W.K.M.; Li, Z.; Cribb, M.C. Relationship between Asian monsoon strength and transport of surface aerosols to the Asian Tropopause Aerosol Layer (ATAL): Interannual variability and decadal changes. Atmos. Chem. Phys. 2019, 19, 1901–1913. [Google Scholar] [CrossRef]
- Chiapello, I.; Moulin, C. TOMS and METEOSAT satellite records of the variability of Saharan dust transport over the Atlantic during the last two decades (1979–1997). Geophys. Res. Lett. 2002, 29, 17-1–17-4. [Google Scholar] [CrossRef]
- Evan, A.T.; Mukhopadhyay, S. Optical depth of Atlantic dust as NetCDF files. PANGAEA 2010. Supplement to: Evan, A.T.; Mukhopadhyay, S. African dust over the Northern Tropical Atlantic: 1955–2008. J. Appl. Meteorol. Climatol. 2010, 49, 2213–2229, doi:10.1175/2010JAMC2485.1. [Google Scholar] [CrossRef]
- Wang, K.; Liu, C.; Wan, K.-Y. Transport of the Saharan dust air plumes over the tropical North Atlantic from FORMOSAT–3/COSMIC observation. Atmos. Pollut. Res. 2014, 5, 539–553. [Google Scholar] [CrossRef]
- D’Almeida, G.A. Desert aerosol: Characteristics and effects on climate. In Paleoclimatology and Paleometeorology: Modern and Past Patterns of Global Atmospheric Transport; Leinen, M., Sarnthein, M., Eds.; Kluwer Academic Publishers: Dordrecht, The Netherlands, 1989; pp. 311–338. [Google Scholar]
- Barnaba, F.; Gobbi, G.P. Modeling the Aerosol Extinction versus Backscatter Relationship for Lidar Applications: Maritime and Continental Conditions. J. Atmos. Ocean. Technol. 2004, 21, 428–442. [Google Scholar] [CrossRef]
- Engelstaedter, S.; Washington, R. Temporal controls on global dust emissions: The role of surface gustiness. Geophys. Res. Lett. 2007, 34. [Google Scholar] [CrossRef]
- Haywood, J.M.; Pelon, J.; Formenti, P.; Bharmal, N.; Brooks, M.; Capes, G.; Chazette, P.; Chou, C.; Christopher, S.; Coe, H.; et al. Overview of the Dust and Biomass-burning Experiment and African Monsoon Multidisciplinary Analysis Special Observing Period-0. J. Geophys. Res. Atmos. 2008, 113. [Google Scholar] [CrossRef]
- Marticorena, B.; Chatenet, B.; Rajot, J.L.; Traoré, S.; Coulibaly, M.; Diallo, A.; Koné, I.; Maman, A.; Ndiaye, T.; Zakou, A. Temporal variability of mineral dust concentrations over West Africa: Analyses of a pluriannual monitoring from the AMMA Sahelian Dust Transect. Atmos. Chem. Phys. 2010, 10, 8899–8915. [Google Scholar] [CrossRef]
- Huang, J.; Minnis, P.; Yan, H.; Yi, Y.; Chen, B.; Zhang, L.; Ayers, J.K. Dust aerosol effect on semi-arid climate over Northwest China detected from A-Train satellite measurements. Atmos. Chem. Phys. 2010, 10, 6863–6872. [Google Scholar] [CrossRef]
- Ashpole, I.; Washington, R. A new high-resolution central Saharan dust source map from automated satellite dust plume tracking. J. Geophys. Res. 2013, 118, 6981–6995. [Google Scholar] [CrossRef]
- Balarabe, M.; Abdullah, K.; Nawawi, M.N.M. Long-Term Trend and Seasonal Variability of Horizontal Visibility in Nigerian Troposphere. Atmosphere 2015, 6, 1462–1486. [Google Scholar] [CrossRef]
- Aklesso, M.; Kumar, K.R.; Bu, L.; Boiyo, R. Analysis of spatial-temporal heterogeneity in remotely sensed aerosol properties observed during 2005–2015 over three countries along the Gulf of Guinea Coast in Southern West Africa. Atmos. Environ. 2018, 182, 313–324. [Google Scholar] [CrossRef]
- Liu, X.; Yin, Z.-Y. Sensitivity of East Asian monsoon climate to the uplift of the Tibetan Plateau. Palaeogeogr. Palaeoclim. Palaeoecol. 2002, 183, 223–245. [Google Scholar] [CrossRef]
- Huang, J.; Minnis, P.; Chen, B.; Huang, Z.; Liu, Z.; Zhao, Q.; Yi, Y.; Ayers, J.K. Long-range transport and vertical structure of Asian dust from CALIPSO and surface measurements during PACDEX. J. Geophys. Res. Atmos. 2008, 113. [Google Scholar] [CrossRef]
- Liu, Z.; Liu, D.; Huang, J.; Vaughan, M.; Uno, I.; Sugimoto, N.; Kittaka, C.; Trepte, C.; Wang, Z.; Hostetler, C.; et al. Airborne dust distributions over the Tibetan Plateau and surrounding areas derived from the first year of CALIPSO lidar observations. Atmos. Chem. Phys. 2008, 8, 5045–5060. [Google Scholar] [CrossRef]
- Lin, C.; Guang-Yu, S.; Ling-Zhi, Z.; Sai-Chun, T. Assessment of Dust Aerosol Optical Depth and Shortwave Radiative Forcing over the Northwest Pacific Ocean in Spring Based on Satellite Observations. Atmos. Ocean. Sci. Lett. 2009, 2, 224–229. [Google Scholar] [CrossRef]
- Creamean, J.; Spackman, J.R.; Davis, S.M.; White, A.B. Climatology of long-range transported Asian dust along the West Coast of the United States. J. Geophys. Res. Atmos. 2014, 119. [Google Scholar] [CrossRef]
- Yoon, J.-E.; Lim, J.-H.; Shim, J.-M.; Kwon, J.-I.; Kim, I.-N. Spring 2018 Asian Dust Events: Sources, Transportation, and Potential Biogeochemical Implications. Atmosphere 2019, 10, 276. [Google Scholar] [CrossRef]
- Jethva, H.; Satheesh, S.K.; Srinivasan, J. Seasonal variability of aerosols over the Indo-Gangetic basin. J. Geophys. Res. Atmos. 2005, 110. [Google Scholar] [CrossRef]
- Ramaswamy, V.; Muraleedharan, P.M.; Babu, C.P. Mid-troposphere transport of Middle-East dust over the Arabian Sea and its effect on rainwater composition and sensitive ecosystems over India. Sci. Rep. 2017, 7, 1–8. [Google Scholar] [CrossRef] [PubMed]
- Kumar, K.R.; Attadaa, R.; Prasad, H.; Dasari, H.P.; Vellorec, R.K.; Langodana, S.; Abualnajaa, Y.O.; Hoteita, I. Aerosol Optical Depth variability over the Arabian Peninsula as inferred from satellite measurements. Atmos. Environ. 2018, 187, 346–357. [Google Scholar] [CrossRef]
- Prospero, J.M.; Nees, R.T. Impact of the North African drought and El Niño on mineral dust in the Barbados trade winds. Nat. Cell Biol. 1986, 320, 735–738. [Google Scholar] [CrossRef]
- Hatzianastassiou, N.; Kalaitzi, N.; Gavrouzou, M.; Gkikas, A.; Korras-Carraca, M.B.; Mihalopoulos, N. A Climatological Satellite Assessment of Absorbing Carbonaceous Aerosols on a Global Scale. Atmosphere 2019, 10, 671. [Google Scholar] [CrossRef]
- Zuidema, P.; Redemann, J.; Haywood, J.M.; Wood, R.; Piketh, S.; Hipondoka, M.; Formenti, P. Smoke and Clouds above the Southeast Atlantic: Upcoming Field Campaigns Probe Absorbing Aerosol’s Impact on Climate. Bull. Am. Meteorol. Soc. 2016, 97, 1131–1135. [Google Scholar] [CrossRef]
- Gelaro, R.; Mccarty, W.; Suárez, M.J.; Todling, R.; Molod, A.; Takacs, L.; Randles, C.A.; Darmenov, A.; Bosilovich, M.G.; Reichle, R.H.; et al. The Modern-Era Retrospective Analysis for Research and Applications, Version 2 (MERRA-2). J. Clim. 2017, 30, 5419–5454. [Google Scholar] [CrossRef] [PubMed]
- Rienecker, M.M.; Suarez, M.J.; Todling, R.; Bacmeister, J.; Takacs, L.; Liu, H.-C.; Gu, W.; Sienkiewicz, M.; Koster, R.D.; Gelaro, R.; et al. The GEOS-5 Data Assimilation System—Documentation of Versions 5.0.1, 5.1.0, and 5.2. Technical Report Series on Global Modeling and Data Assimilation, 27, NASA Technical Reports NASA/TM-2008-104606; p. 118. Available online: https://gmao.gsfc.nasa.gov/pubs/docs/Rienecker369.pdf (accessed on 20 January 2021).
- Molod, A.; Takacs, L.; Suarez, M.; Bacmeister, J. Development of the GEOS-5 atmospheric general circulation model: Evolution from MERRA to MERRA2. Geosci. Model Dev. 2015, 8, 1339–1356. [Google Scholar] [CrossRef]
- Chin, M.; Ginoux, P.; Kinne, S.; Torres, O.; Holben, B.N.; Duncan, B.N.; Martin, R.V.; Logan, J.A.; Higurashi, A.; Nakajima, T. Tropospheric Aerosol Optical Thickness from the GOCART Model and Comparisons with Satellite and Sun Photometer Measurements. J. Atmos. Sci. 2002, 59, 461–483. [Google Scholar] [CrossRef]
- Colarco, P.R.; Da Silva, A.; Chin, M.; Diehl, T. Online simulations of global aerosol distributions in the NASA GEOS-4 model and comparisons to satellite and ground-based aerosol optical depth. J. Geophys. Res. Atmos. 2010, 115, 14207. [Google Scholar] [CrossRef]
- Adler, R.F.; Sapiano, M.R.P.; Huffman, G.J.; Wang, J.-J.; Gu, G.; Bolvin, D.; Chiu, L.; Schneider, U.; Becker, A.; Nelkin, E.; et al. The Global Precipitation Climatology Project (GPCP) Monthly Analysis (New Version 2.3) and a Review of 2017 Global Precipitation. Atmosphere 2018, 9, 138. [Google Scholar] [CrossRef]
- Chedin, A.; Capelle, V.; Scott, N. Detection of IASI dust AOD trends over Sahara: How many years of data required? Atmos. Res. 2018, 212, 120–129. [Google Scholar] [CrossRef]
- Tegen, I.; Miller, R.L. A general circulation model study on the interannual variability of soil dust aerosol. J. Geophys. Res. Atmos. 1998, 103, 25975–25995. [Google Scholar] [CrossRef]
- Wagner, R.; Schepanski, K.; Heinold, B.; Tegen, I. Interannual variability in the Saharan dust source activation—Toward understanding the differences between 2007 and 2008. J. Geophys. Res. Atmos. 2016, 121, 4538–4562. [Google Scholar] [CrossRef]
- Prospero, J.M.; Mayol-Bracero, O.L. Understanding the Transport and Impact of African Dust on the Caribbean Basin. Bull. Am. Meteorol. Soc. 2013, 94, 1329–1337. [Google Scholar] [CrossRef]
- Moulin, C.; Lambert, C.E.; Dulac, F.; Dayan, U. Control of atmospheric export of dust from North Africa by the North Atlantic Oscillation. Nat. Cell Biol. 1997, 387, 691–694. [Google Scholar] [CrossRef]
- Schepanski, K. Transport of Mineral Dust and Its Impact on Climate. Geoscience 2018, 8, 151. [Google Scholar] [CrossRef]
- Hsu, N.C.; Gautam, R.; Sayer, A.M.; Bettenhausen, C.; Li, C.; Jeong, M.J.; Tsay, S.-C.; Holben, B.N. Global and regional trends of aerosol optical depth over land and ocean using SeaWiFS measurements from 1997 to 2010. Atmos. Chem. Phys. 2012, 12, 8037–8053. [Google Scholar] [CrossRef]
- Deflorio, M.J.; Goodwin, I.D.; Cayan, D.R.; Miller, A.J.; Ghan, S.J.; Pierce, D.W.; Russell, L.M.; Singh, B. Interannual modulation of subtropical Atlantic boreal summer dust variability by ENSO. Clim. Dyn. 2015, 46, 585–599. [Google Scholar] [CrossRef]
- Goudie, A.; Middleton, N. Saharan dust storms: Nature and consequences. Earth Sci. Rev. 2001, 56, 179–204. [Google Scholar] [CrossRef]
- Adler, R.F.; Huffman, G.J.; Chang, A.; Ferraro, R.; Xie, P.; Janowiak, J.; Rudolf, B.; Schneider, U.; Curtis, S.; Bolvin, D.; et al. The Version 2 Global Precipitation Climatology Project (GPCP) Monthly Precipitation Analysis (1979-Present). J. Hydrometeor 2003, 4, 1147–1167. [Google Scholar] [CrossRef]
- Gkikas, A.; Houssos, E.E.; Lolis, C.J.; Bartzokas, A.; Mihalopoulos, N.; Hatzianastassiou, N. Atmospheric circulation evolu-tion related to desert-dust episodes over the Mediterranean. Q. J. R. Meteorol. Soc. 2015, 141, 1634–1645. [Google Scholar] [CrossRef]
- Egger, J.; Alpert, P.; Tafferner, A.; Ziv, B. Numerical experiments on the genesis of Sharav cyclones: Idealized simulations. Tellus A Dyn. Meteorol. Oceanogr. 1995, 47, 162–174. [Google Scholar] [CrossRef]
- Hatzianastassiou, N.; Papadimas, C.D.; Lolis, C.J.; Bartzokas, A.; Levizzani, V.; Pnevmatikos, J.D.; Katsoulis, B.D. Spatial and temporal variability of precipitation over the Mediterranean Basin based on 32-year satellite Global Precipitation Climatology Project data. Part-II: Inter-annual variability and trends. Int. J. Clim. 2016, 36, 4755–4766. [Google Scholar] [CrossRef][Green Version]
- Kaskaoutis, D.; Dumka, U.; Rashki, A.; Psiloglou, B.; Gavriil, A.; Mofidi, A.; Petrinoli, K.; Karagiannis, D.; Kambezidis, H.D. Analysis of intense dust storms over the eastern Mediterranean in March 2018: Impact on radiative forcing and Athens air quality. Atmos. Environ. 2019, 209, 23–39. [Google Scholar] [CrossRef]
- Papadimas, C.D.; Hatzianastassiou, N.; Mihalopoulos, N.; Querol, X.; Vardavas, I. Spatial and temporal variability in aerosol properties over the Mediterranean basin based on 6-year (2000–2006) MODIS data. J. Geophys. Res. Atmos. 2008, 113. [Google Scholar] [CrossRef]
- Hatzianastassiou, N.; Katsoulis, B.; Pnevmatikos, J.; Antakis, V. Spatial and Temporal Variation of Precipitation in Greece and Surrounding Regions Based on Global Precipitation Climatology Project Data. J. Clim. 2008, 21, 1349–1370. [Google Scholar] [CrossRef]
- Hatzianastassiou, N.; Gkikas, A.; Mihalopoulos, N.; Torres, O.; Katsoulis, B.D. Natural versus anthropogenic aerosols in the eastern Mediterranean basin derived from multiyear TOMS and MODIS satellite data. J. Geophys. Res. Atmos. 2009, 114. [Google Scholar] [CrossRef]
- Dey, S.; Di Girolamo, L. A climatology of aerosol optical and microphysical properties over the Indian subcontinent from 9 years (2000–2008) of Multiangle Imaging Spectroradiometer (MISR) data. J. Geophys. Res. Atmos. 2010, 115, 15204. [Google Scholar] [CrossRef]
- Zhao, T.L.; Gong, S.L.; Zhang, X.-Y.; Blanchet, J.-P.; McKendry, I.G.; Zhou, Z.J. A Simulated Climatology of Asian Dust Aerosol and Its Trans-Pacific Transport. Part I: Mean Climate and Validation. J. Clim. 2006, 19, 88–103. [Google Scholar] [CrossRef]
- Tsai, F.; Chen, G.T.-J.; Liu, T.-H.; Lin, W.-D.; Tu, J.-Y. Characterizing the transport pathways of Asian dust. J. Geophys. Res. Atmos. 2008, 113. [Google Scholar] [CrossRef]
- Tian, S.-F.; Inoue, M.; Du, M. Influence of Dust Storm Frequency in Northern China on Fluctuations of Asian Dust Frequency Observed in Japan. Sola 2007, 3, 121–124. [Google Scholar] [CrossRef]
- Kai, Z.; Huiwang, G. The characteristics of Asian-dust storms during 2000–2002: From the source to the sea. Atmos. Environ. 2007, 41, 9136–9145. [Google Scholar] [CrossRef]
- Zhang, B.; Tsunekawa, A.; Tsubo, M. Contributions of sandy lands and stony deserts to long-distance dust emission in China and Mongolia during 2000–2006. Glob. Planet. Chang. 2008, 60, 487–504. [Google Scholar] [CrossRef]
- Vinoj, V.; Rasch, P.J.; Wang, H.; Yoon, J.; Ma, P.-L.; Landu, K.; Singh, B. Short-term modulation of Indian summer monsoon rainfall by West Asian dust. Nat. Geosci. 2014, 7, 308–313. [Google Scholar] [CrossRef]
- Pandey, S.K.; Vinoj, V.; Landu, K.; Babu, S.S. Declining pre-monsoon dust loading over South Asia: Signature of a changing regional climate. Sci. Rep. 2017, 7, 1–10. [Google Scholar] [CrossRef]
- Lakshmi, N.B.; Babu, S.S.; Nair, V.S. Recent Regime Shifts in Mineral Dust Trends over South Asia from Long-Term CALIPSO Observations. IEEE Trans. Geosci. Remote Sens. 2019, 57, 4485–4489. [Google Scholar] [CrossRef]
- Notaro, M.; Alkolibi, F.; Fadda, E.; Bakhrjy, F. Trajectory analysis of Saudi Arabian dust storms. J. Geophys. Res. Atmos. 2013, 118, 6028–6043. [Google Scholar] [CrossRef]
- Klingmüller, K.; Pozzer, A.; Metzger, S.; Stenchikov, G.L.; Lelieveld, J. Aerosol optical depth trend over the Middle East. Atmos. Chem. Phys. 2016, 16, 5063–5073. [Google Scholar] [CrossRef]


















| Region | Climatological Annual Mean Relative Frequency of Occurrence of DA | Relative Change (%) |
|---|---|---|
| East Sahara | 0.1646 (±0.0394) | 56.13 |
| West Sahara | 0.2937 (±0.0504) | 33.11 |
| East Tropical Atlantic | 0.0980 (±0.0194) | 30.00 |
| West Tropical Atlantic | 0.0303 (±0.0112) | 91.81 |
| Gulf of Guinea | 0.0916 (±0.0299) | 39.19 |
| Mediterranean | 0.0472 (±0.0137) | 62.01 |
| Thar | 0.3241 (±0.0394) | 31.97 |
| Taklamakan | 0.0511 (±0.0127) | 23.59 |
| Gobi | 0.1102 (±0.0481) | 21.10 |
| North Middle East | 0.1160 (±0.0404) | −2.39 |
| South Middle East | 0.1698 (±0.0429) | 29.39 |
Publisher’s Note: MDPI stays neutral with regard to jurisdictional claims in published maps and institutional affiliations. |
© 2021 by the authors. Licensee MDPI, Basel, Switzerland. This article is an open access article distributed under the terms and conditions of the Creative Commons Attribution (CC BY) license (http://creativecommons.org/licenses/by/4.0/).
Share and Cite
Gavrouzou, M.; Hatzianastassiou, N.; Gkikas, A.; Korras-Carraca, M.-B.; Mihalopoulos, N. A Global Climatology of Dust Aerosols Based on Satellite Data: Spatial, Seasonal and Inter-Annual Patterns over the Period 2005–2019. Remote Sens. 2021, 13, 359. https://doi.org/10.3390/rs13030359
Gavrouzou M, Hatzianastassiou N, Gkikas A, Korras-Carraca M-B, Mihalopoulos N. A Global Climatology of Dust Aerosols Based on Satellite Data: Spatial, Seasonal and Inter-Annual Patterns over the Period 2005–2019. Remote Sensing. 2021; 13(3):359. https://doi.org/10.3390/rs13030359
Chicago/Turabian StyleGavrouzou, Maria, Nikolaos Hatzianastassiou, Antonis Gkikas, Marios-Bruno Korras-Carraca, and Nikolaos Mihalopoulos. 2021. "A Global Climatology of Dust Aerosols Based on Satellite Data: Spatial, Seasonal and Inter-Annual Patterns over the Period 2005–2019" Remote Sensing 13, no. 3: 359. https://doi.org/10.3390/rs13030359
APA StyleGavrouzou, M., Hatzianastassiou, N., Gkikas, A., Korras-Carraca, M.-B., & Mihalopoulos, N. (2021). A Global Climatology of Dust Aerosols Based on Satellite Data: Spatial, Seasonal and Inter-Annual Patterns over the Period 2005–2019. Remote Sensing, 13(3), 359. https://doi.org/10.3390/rs13030359

