Distribution Modeling and Factor Correlation Analysis of Landslides in the Large Fault Zone of the Western Qinling Mountains: A Machine Learning Algorithm
Abstract
:1. Introduction
2. Study Area
2.1. Geology and Geomorphology

2.2. Overview of Landslide Disasters

3. Data and Methods
3.1. Landslide Inventory
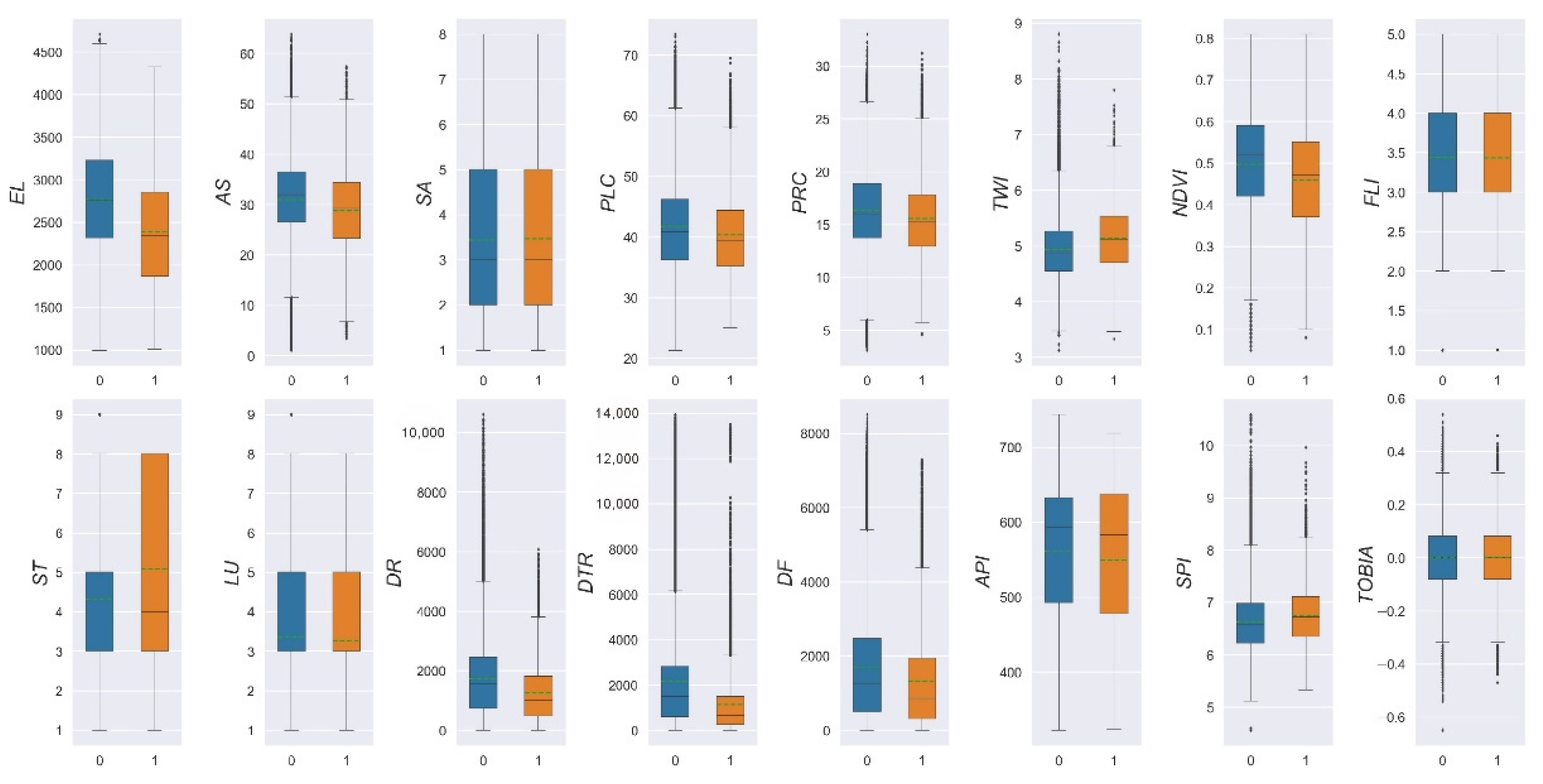
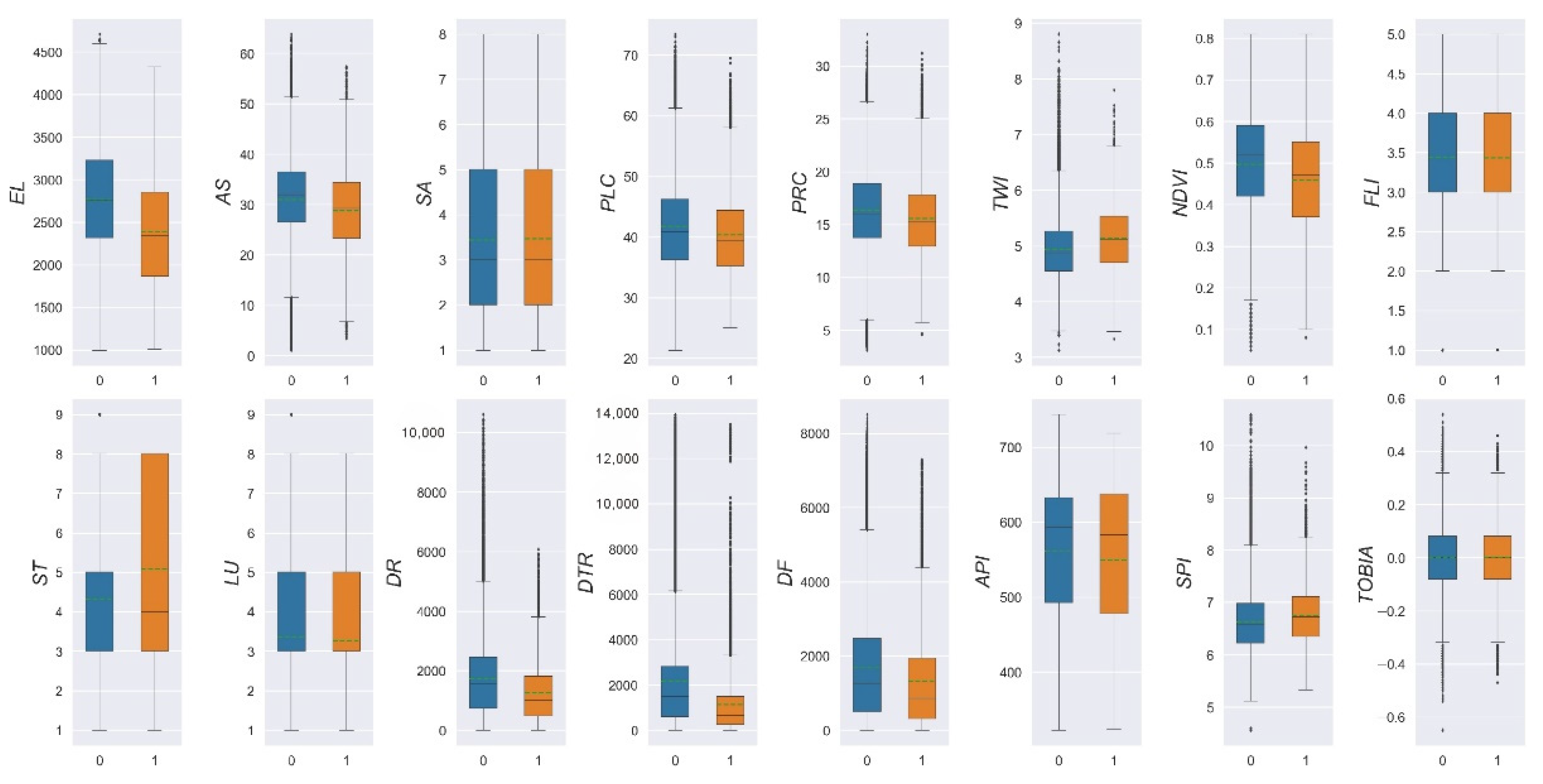
3.2. Predictor Variables


3.3. Parameter Preprocessing and Resampling
3.4. Model Algorithm
3.5. Fitting, Optimization and Evaluation of Models
4. Results
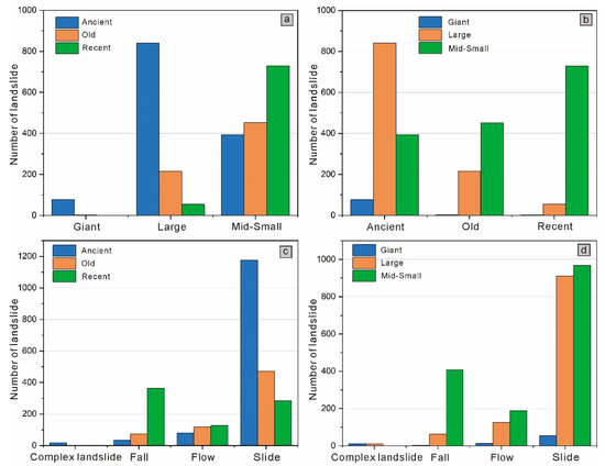
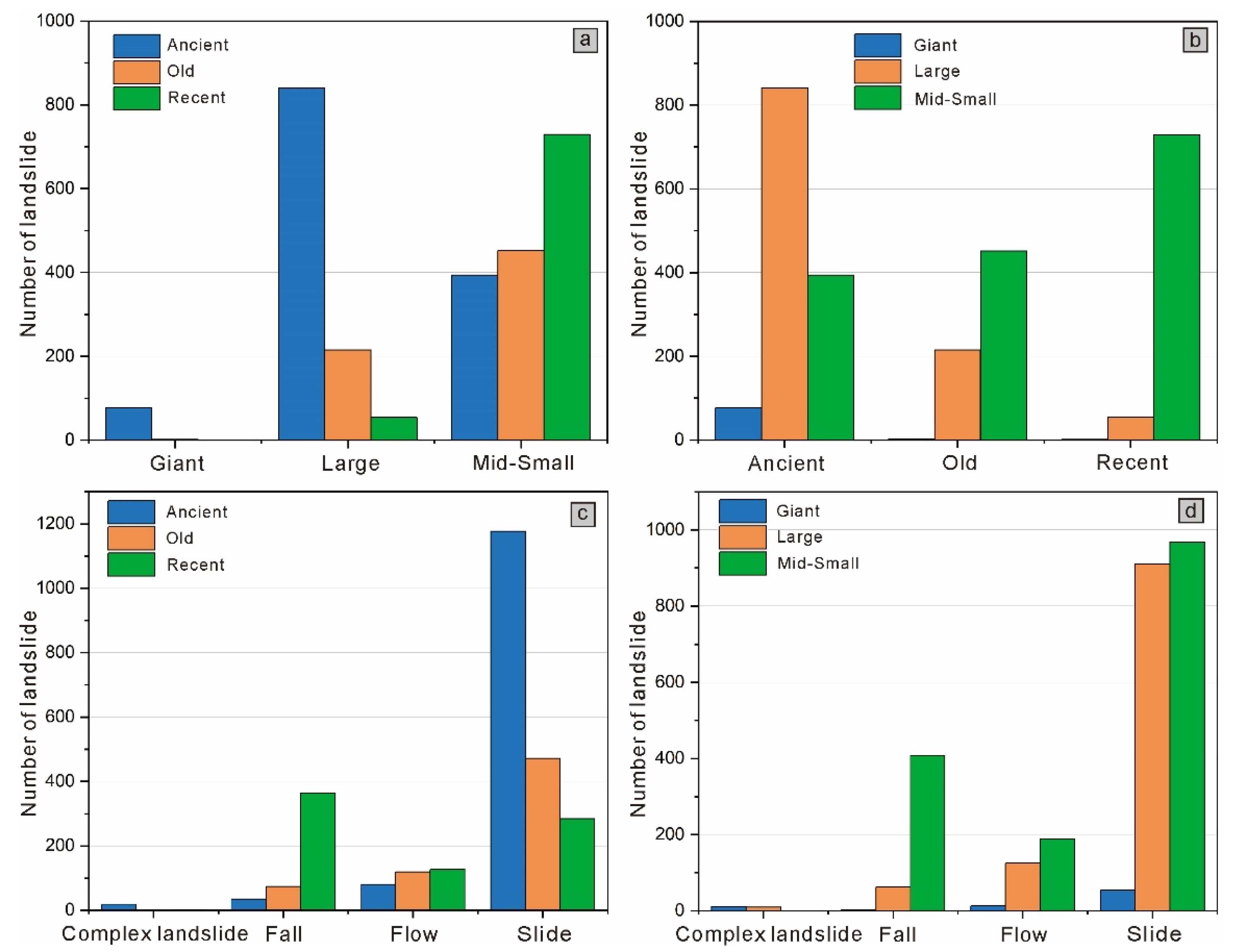
4.1. Landslide Inventory and Classification
4.2. Model Evaluation and Predicting the Spatial Distribution of Landslides
4.3. Correlation Analysis of Factors




5. Discussion
6. Conclusions
Author Contributions
Funding
Institutional Review Board Statement
Informed Consent Statement
Data Availability Statement
Acknowledgments
Conflicts of Interest
References
- Ouimet, W.B. Landslides associated with the May 12, 2008 Wenchuan earthquake: Implications for the erosion and tectonic evolution of the Longmen Shan. Tectonophysics 2010, 491, 244–252. [Google Scholar] [CrossRef]
 - Parker, R.N.; Densmore, A.L.; Rosser, N.J.; Michele, M.; Li, Y.; Huang, R.; Whadcoat, S.; Petley, D.N. Mass wasting triggered by the 2008 Wenchuan earthquake is greater than orogenic growth. Nat. Geosci. 2011, 4, 449–452. [Google Scholar] [CrossRef] [Green Version]
 - Larsen, I.J.; Montgomery, D.R. Landslide erosion coupled to tectonics and river incision. Nat. Geosci. 2012, 5, 468–473. [Google Scholar] [CrossRef]
 - Yang, Z.H.; Zhang, Y.S.; Guo, C.B.; Yao, X. Sensitivity analysis of causative factors of geohazards in Eastern margin of Tibetan Plateau. J. Eng. Geol. 2018, 26, 673–683. (In Chinese) [Google Scholar]
 - Huang, R.Q. Large-scale landslides and their sliding mechanisms in China since the 20th century. Chin. J. Rock Mech. Eng. 2007, 26, 433–454. (In Chinese) [Google Scholar]
 - Huang, R.Q.; Li, W.L. Research on development and distribution rules of geohazards induced by Wenchuan earthquake on 12th May, 2008. Chin. J. Rock Mech. Eng. 2009, 27, 2585–2592. (In Chinese) [Google Scholar]
 - Fan, X.; Qiang, X.; Scaringi, G.; Dai, L.; Havenith, H.B. Failure mechanism and kinematics of the deadly June 24th 2017 Xinmo landslide, Maoxian, Sichuan, China. Landslides 2017, 14, 2129–2146. [Google Scholar] [CrossRef]
 - Cui, S.; Pei, X.; Huang, R. Effects of geological and tectonic characteristics on the earthquake-triggered Daguangbao landslide, China. Landslides 2018, 15, 649–667. [Google Scholar] [CrossRef]
 - Guo, C.; Zhang, Y.; Li, X.; Ren, S.; Yang, Z.; Wu, R.; Jin, J. Reactivation of giant Jiangdingya ancient landslide in Zhouqu County, Gansu Province, China. Landslides 2019, 17, 179–190. [Google Scholar] [CrossRef]
 - Zhang, Z. Mechanism of the 2019 Yahuokou landslide reactivation in Gansu, China and its causes. Landslides 2020, 17, 1429–1440. [Google Scholar] [CrossRef]
 - Ding, C.; Feng, G.; Liao, M.; Tao, P.; Zhang, L.; Xu, Q. Displacement history and potential triggering factors of Baige landslides, China revealed by optical imagery time series. Remote Sens. Environ. 2021, 254, 112253. [Google Scholar] [CrossRef]
 - Kirschbaum, D.B.; Adler, R.; Hong, Y.; Hill, S.; Lerner-Lam, A. A global landslide catalog for hazard applications: Method, results, and limitations. Nat. Hazards 2010, 52, 561–575. [Google Scholar] [CrossRef] [Green Version]
 - Stanley, T.; Kirschbaum, D.; Zhou, Y. Spatial and temporal analysis of a global landslide catalog. Geomorphology 2015, 249, 4–15. [Google Scholar]
 - Ambrosi, C.; Crosta, G.B.; Crosta, G.B.; Clague, J.J. Large sackung along major tectonic features in the Central Italian Alps. Eng. Geol. 2006, 83, 183–200. [Google Scholar] [CrossRef]
 - Korup, O.; Weidinger, J.T. Rock type, precipitation, and the steepness of Himalayan threshold hillslopes. Geol. Soc. Lond. Spec. Publ. 2011, 353, 235–249. [Google Scholar] [CrossRef]
 - Crosta, G.B.; Frattini, P.; Agliardi, F. Deep seated gravitational slope deformations in the European Alps. Tectonophysics 2013, 605, 13–33. [Google Scholar] [CrossRef]
 - Baroň, I.; Plan, L.; Grasemann, B.; Mitroviċ, I.; Lenhardt, W.; Hausmann, H.; Stemberk, J. Can deep seated gravitational slope deformations be activated by regional tectonic strain: First insights from displacement measurements in caves from the Eastern Alps. Geomorphology 2016, 259, 81–89. [Google Scholar] [CrossRef] [Green Version]
 - Carlini, M.; Chelli, A.; Vescovi, P.; Artoni, A.; Clemenzi, L.; Tellini, C.; Torelli, L. Tectonic control on the development and distribution of large landslides in the Northern Apennines (Italy). Geomorphology 2016, 253, 425–437. [Google Scholar] [CrossRef]
 - Mather, A.E.; Hartley, A.J.; Griffiths, J.S. The giant coastal landslides of Northern Chile: Tectonic and climate interactions on a classic convergent plate margin. Earth Planet. Sci. Lett. 2014, 388, 249–256. [Google Scholar] [CrossRef]
 - Sanchez, G.; Rolland, Y.; Corsini, M.; Braucher, R.; Bourlès, D.; Arnold, M.; Aumaître, G. Relationships between tectonics, slope instability and climate change: Cosmic ray exposure dating of active faults, landslides and glacial surfaces in the SW Alps. Geomorphology 2010, 117, 1–13. [Google Scholar] [CrossRef]
 - Geertsema, M.; Highland, L.; Vaugeouis, L. Environmental Impact of Landslides; Springer: Berlin/Heidelberg, Germany, 2009; pp. 589–607. [Google Scholar]
 - Li, Y.; Zhou, R.; Zhao, G.; Li, H.; Su, D.; Ding, H.; Yan, Z.; Yan, L.; Yun, K.; Ma, C. Tectonic uplift and landslides triggered by the Wenchuan earthquake and constraints on orogenic growth: A case study from Hongchun Gully, Longmen Mountains, Sichuan, China. Quat. Int. 2014, 349, 142–152. [Google Scholar] [CrossRef]
 - Břežný, M.; Pánek, T. Deep-seated landslides affecting monoclinal flysch morphostructure: Evaluation of LiDAR-derived topography of the highest range of the Czech Carpathians. Geomorphology 2017, 285, 44–57. [Google Scholar] [CrossRef]
 - Pánek, T.; Břežný, M.; Kapustová, V.; Lenart, J.; Chalupa, V. Large landslides and deep-seated gravitational slope deformations in the Czech Flysch Carpathians: New LiDAR-based inventory. Geomorphology 2019, 346, 106852. [Google Scholar] [CrossRef]
 - Malamud, B.D.; Turcotte, D.L.; Guzzetti, F.; Reichenbach, P. Landslide inventories and their statistical properties. Earth Surf. Process. Landf. 2004, 29, 687–711. [Google Scholar] [CrossRef]
 - Marjanović, M.; Kovačević, M.; Bajat, B.; Voženílek, V. Landslide susceptibility assessment using SVM machine learning algorithm. Eng. Geol. 2011, 123, 225–234. [Google Scholar] [CrossRef]
 - Goetz, J.N.; Brenning, A.; Petschko, H.; Leopold, P. Evaluating machine learning and statistical prediction techniques for landslide susceptibility modeling. Comput. Geosci. 2015, 81, 1–11. [Google Scholar] [CrossRef]
 - Pham, B.T.; Pradhan, B.; Bui, D.T.; Prakash, I.; Dholakia, M.B. A comparative study of different machine learning methods for landslide susceptibility assessment: A case study of Uttarakhand area (India). Environ. Model. Softw. 2016, 84, 240–250. [Google Scholar] [CrossRef]
 - Napoli, M.; Carotenuto, F.; Cevasco, A.; Confuorto, P.; Calcaterra, D. Machine learning ensemble modelling as a tool to improve landslide susceptibility mapping reliability. Landslides 2020, 17, 1897–1914. [Google Scholar] [CrossRef]
 - Zhao, Y.; Meng, X.; Qi, T.; Qing, F.; Chen, G. AI-based identification of low-frequency debris flow catchments in the Bailong River basin, China. Geomorphology 2020, 359, 107–125. [Google Scholar] [CrossRef]
 - Qi, T.; Zhao, Y.; Meng, X.; Chen, G.; Dijkstra, T. AI-Based Susceptibility Analysis of Shallow Landslides Induced by Heavy Rainfall in Tianshui, China. Remote Sens. 2021, 13, 1819. [Google Scholar] [CrossRef]
 - Bai, S.B.; Jian, W.; Zhang, Z.G.; Chen, C. Combined landslide susceptibility mapping after WenChuan Earthquake at the Zhouqu segment in the Bailongjiang Basin, China. Catena 2012, 99, 18–25. [Google Scholar] [CrossRef]
 - Qi, T.; Meng, X.; Qing, F.; Zhao, Y.; Dijkstra, T. Distribution and characteristics of large landslides in a fault zone: A case study of the NE Qinghai-Tibet Plateau. Geomorphology 2021, 379, 107592. [Google Scholar] [CrossRef]
 - Mckean, J. Objective landslide detection and surface morphology mapping using high-resolution airborne laser altimetry. Geomorphology 2004, 57, 331–351. [Google Scholar] [CrossRef]
 - Sato, H.P.; Harp, E.L. Interpretation of earthquake-induced landslides triggered by the 12 May 2008, M7.9 Wenchuan earthquake in the Beichuan area, Sichuan Province, China using satellite imagery and Google Earth. Landslides 2009, 6, 153–159. [Google Scholar] [CrossRef]
 - Palenzuela, J.A.; Marsella, M.; Nardinocchi, C.; Pérez, J.; Irigaray, C. Landslide detection and inventory by integrating LiDAR data in a GIS environment. Landslides 2014, 12, 1035–1050. [Google Scholar] [CrossRef]
 - Pandey, P. Inventory of rock glaciers in Himachal Himalaya, India using high-resolution Google Earth imagery. Geomorphology 2019, 340, 103–115. [Google Scholar] [CrossRef]
 - Díaz-Uriarte, R.; Andrés, S. Gene selection and classification of microarray data using random forest. BMC Bioinform. 2006, 7, 3. [Google Scholar] [CrossRef] [PubMed] [Green Version]
 - Friedman, J.H. Greedy Function Approximation: A Gradient Boosting Machine. Ann. Stat. 2001, 29, 1189–1232. [Google Scholar] [CrossRef]
 - Gislason, P.O.; Benediktsson, J.A.; Sveinsson, J.R. Random Forests for land cover classification. Pattern Recognit. Lett. 2006, 27, 294–300. [Google Scholar] [CrossRef]
 - Pregibon, D. Logistic Regression Diagnostics. Ann. Stat. 1981, 9, 705–724. [Google Scholar] [CrossRef]
 - Taieb, S.B.; Hyndman, R.J. A gradient boosting approach to the Kaggle load forecasting competition. Int. J. Forecast. 2014, 30, 382–394. [Google Scholar] [CrossRef] [Green Version]
 - Wang, X.; Sun, Y.; Zheng, C.; Zhang, H.; Zhao, X. A combined SYM classifier based on AdaBoost. J. Air Force Eng. Univ. 2006, 7, 54–57. [Google Scholar]
 - Zhang, G.; Guo, A.; Yao, A. Western Qinling-Songpan continental tectonic node in China’s continental tectonics. Earth Sci. Front. 2004, 11, 23–32. (In Chinese) [Google Scholar]
 - Yu, J.; Zheng, W.; Yuan, D.; Pang, J.; Liu, X.; Liu, B. Late Quaternary active characteristics and slip-rate of Pingding-Huama fault, the eastern segment of Guanggaishan-Dieshan fault zone (West Qinling Mountain). Quat. Sci. 2012, 32, 957–967. (In Chinese) [Google Scholar]
 - Zheng, W.J.; Liu, X.W.; Yu, J.X.; Yuan, D.Y.; Zhang, P.Z.; Ge, W.P.; Pang, J.Z.; Liu, B.Y. Geometry and late Pleistocene slip rates of the Liangdang-Jiangluo fault in the western Qinling mountains, NW China. Tectonophysics 2016, 687, 1–13. [Google Scholar]
 - Huang, X. The research of fault gouge from main active fault zone and its engineering significance in Bailongjiang Basin. Ph.D. Thesis, Lanzhou University, Lanzhou, China, 2014; pp. 25–39. [Google Scholar]
 - Shen, J.F.; Yang, W.M.; Liu, T.; Huang, X.; Zheng, W.J.; Wang, G.Q.; Yu, L. Micro-morphology of Quartz in the Bailong River fault gouge, Western Qinling, China, and its chronological significance. Bull. Mineral. Petrol. Geochem. 2014, 33, 271–278. (In Chinese) [Google Scholar]
 - Zhang, Y. Detecting Ground Deformation and Investigating Landslides Using InSAR Technique-Taking Middle Reach of Bailong River Basin as an Example. Ph.D. Thesis, Lanzhou University, Lanzhou, China, 2018; pp. 20–21. [Google Scholar]
 - Yang, W.M.; Huang, X.; Zhang, C.S.; Si, H.B. Deformation behavior of landslides and their formation mechanism along Pingding-Huama active fault in Bailongjiang River region. J. Jilin Univ. 2014, 44, 574–583. (In Chinese) [Google Scholar]
 - Li, Z.H.; Wen, B.P.; Jia, G.Y.; Zhang, Y.J.; Dong, K.J.; Yang, Y.B. Characteristics of the landslide distribution along the Bailongjiang river and its controlling factors. J. Lanzhou Univ. 2015, 51, 768–776. (In Chinese) [Google Scholar]
 - Chen, M. Research on Development Characteristics and Formation Mechanism of Large-scale Landslides in Bailongjiang River. J. Eng. Geol. 2017, 26, 325–333. (In Chinese) [Google Scholar]
 - Guzzetti, F.; Mondini, A.C.; Cardinali, M.; Fiorucci, F.; Santangelo, M.; Chang, K.T. Landslide inventory maps: New tools for an old problem. Earth-Sci. Rev. 2012, 112, 42–66. [Google Scholar] [CrossRef] [Green Version]
 - Varnes, D.J. Slope movement types and processes. In Landslides, Analysis and Control, Special Report 176: Transportation Research Board; Schuster, R.L., Krizek, R.J., Eds.; National Academy of Sciences: Washington, DC, USA, 1978; pp. 11–33. [Google Scholar]
 - Hungr, O.; Leroueil, S.; Picarelli, L. The Varnes classification of landslide types, an update. Landslides 2014, 11, 167–194. [Google Scholar] [CrossRef]
 - Gallart, F.; Clotet-Perarnau, N. Some aspects of the geomorphic processes triggered by an extreme rainfall event: The November 1982 flood in The Eastern Pyrenees. Catena 1988, 13, 79–95. [Google Scholar]
 - Roering, J. Tectonic geomorphology: Landslides limit mountain relief. Nat. Geosci. 2012, 5, 446–447. [Google Scholar] [CrossRef]
 - Benjamin, N.B.; Grant, A.M.; Leslie, D.M. Aspect-related microclimatic influences on slope forms and processes, northeastern Arizona. J. Geophys. Res. 2008, 113, F03002. [Google Scholar]
 - Wilson, M.F.J.; O’Connell, B.; Brown, C.; Guinan, J.C.; Grehan, A.J. Multiscale terrain analysis of multibeam bathymetry data for habitat mapping on the continental slope. Mar. Geod. 2007, 30, 3–35. [Google Scholar] [CrossRef] [Green Version]
 - Wilson, J.P.; Gallant, J.C. Digital terrain analysis. Terrain Anal. Princ. Appl. 2000, 6, 1–27. [Google Scholar]
 - Moore, I.D.; Grayson, R.B.; Ladson, A.R. Digital terrain modelling: A review of hydrological, geomorphological, and biological applications. Hydrol. Process. 1991, 5, 3–30. [Google Scholar] [CrossRef]
 - Collettini, C.; Niemeijer, A.; Viti, C.; Marone, C. Fault zone fabric and fault weakness. Nature 2009, 462, 907–910. [Google Scholar] [CrossRef]
 - Bois, T.; Bouissou, S.; Guglielmi, Y. Influence of major inherited faults zones on gravitational slope deformation: A two-dimensional physical modelling of the La Clapière area (Southern French Alps). Earth Planet. Sci. Lett. 2008, 272, 709–719. [Google Scholar] [CrossRef]
 - Alexander, D.; Formichi, R. Tectonic causes of landslides. Earth Surf. Process. Landf. 2010, 18, 311–338. [Google Scholar] [CrossRef]
 - Meentemeyer, R.K.; Moody, A. Automated mapping of conformity between topographic and geological surfaces. Comput. Geosci. 2000, 26, 815–829. [Google Scholar] [CrossRef]
 - Dormann, C.F.; Elith, J.; Bacher, S.; Buchmann, C.; Carl, G.; Carré, G.; Marquéz, J.; Gruber, B.; Lafourcade, B.; Leitão, P. Collinearity: A review of methods to deal with it and a simulation study evaluating their performance. Ecography 2013, 36, 27–46. [Google Scholar] [CrossRef]
 - Schapipe, R.E. A Brief Introduction to Boosting, Sixteenth International Joint Conference on Artificial Intelligence; Morgan Kaufmann Publishers Inc.: San Mateo, CA, USA, 1999; pp. 1401–1406. [Google Scholar]
 - Xu, Y.; Ju, L.; Tong, J.; Zhou, C.M.; Yang, J.J. Machine Learning Algorithms for Predicting the Recurrence of Stage IV Colorectal Cancer after Tumor Resection. Sci. Rep. 2020, 10, 2519. [Google Scholar] [CrossRef]
 - Jiang, S.; Wen, B.P.; Zhao, C.; Li, R.D. An analysis of the activity features of the Suoertou landslide in Zhouqu county of Gansu. Hydrogeol. Eng. Geol. 2013, 43, 69–74. (In Chinese) [Google Scholar]
 - Zhao, Y.; Meng, X.; Qi, T.; Chen, G.; Li, Y.; Yue, D.; Qing, F. Modeling the Spatial Distribution of Debris Flows and Analysis of the Controlling Factors: A Machine Learning Approach. Remote Sens. 2021, 13, 4813. [Google Scholar] [CrossRef]
 - Zhao, Y.; Meng, X.; Qi, T.; Li, Y.; Chen, G.; Yue, D. AI-based rainfall prediction model for debris flows. Eng. Geol. 2021, in press. [Google Scholar] [CrossRef]
 - Baets, S.D.; Poesen, J.; Reubens, B.; Wemans, K.; Baerdemaeker, J.D.; Muys, B. Root tensile strength and root distribution of typical Mediterranean plant species and their contribution to soil shear strength. Plant Soil 2008, 305, 207–226. [Google Scholar] [CrossRef]
 - Chirico, G.B.; Borga, M.; Tarolli, P.; Rigon, R.; Preti, F. Role of vegetation on slope stability under transient unsaturated conditions. Procedia Environ. Sci. 2013, 19, 932–941. [Google Scholar] [CrossRef]
 - Johnson, D.W.; Sauceda, M.; Binshafique, S.; Huang, J. Soil shear strength enhancements from plant root templated georeinforcements. In GeoCongress 2012: State of the Art and Practice in Geotechnical Engineering; American Society of Civil Engineers: New York, NY, USA, 2012; pp. 424–431. [Google Scholar]
 - Shu, J.; Bai, S.B.; Cui, Y.; Chen, Q.; Zhang, Z.G.; Wang, J. Study on 26Al exposure dating of Fenganshan landslide in the middle reaches of Bailong River. J. Geomech. 2017, 23, 914–922. (In Chinese) [Google Scholar]
 




| Data Types | Field | Source, Scale/Resolution | 
|---|---|---|
| Elevation | EL | DEM, 12.5 m | 
| Average slope | AS | DEM, 12.5 m | 
| Slope aspect | SA | DEM, 12.5 m | 
| Local relief | LR | DEM, 12.5 m | 
| Surface roughness | SR | DEM, 12.5 m | 
| Planar curvature | PLC | DEM, 12.5 m | 
| Profile curvature | PRC | DEM, 12.5 m | 
| Topographic wetness index | TWI | DEM, 12.5 m | 
| Vegetation coverage index | NDVI | Gaofen-1 satellite, 8 m | 
| Formation lithological index | FLI | Geo-map, 1:100,000 | 
| Soil types | ST | HWSD, 1 km | 
| Land use | LU | GLC_FCS30-2020, 30 m | 
| Distance to river | DR | DEM, 12.5 m | 
| Distance to road | DTR | Google Earth image, 1 m | 
| Distance to fault | DF | Geo-map, 1:50,000 | 
| Annual precipitation index | API | 2000–2010, year | 
| Stream power index | SPI | DEM, 12.5 m | 
| Topographic/bedding-plane intersection angle | TOBIA | Geo-map, 1:100,000 | 
| Model Name | Std1 | Std2 | Acc1 | Acc2 | AUC | 
|---|---|---|---|---|---|
| RandomForestClassifier | 0.0013 | 0.0011 | 0.903 | 0.920 | 0.97 | 
| GradientBoostingClassifier | 0.0029 | 0.0013 | 0.772 | 0.905 | 0.97 | 
| AdaBoostClassifier | 0.0024 | 0.0015 | 0.727 | 0.747 | 0.83 | 
| LogisticRegressionCV | 0.0015 | 0.0014 | 0.684 | 0.684 | 0.74 | 
| Model | Std1 | Std2 | Acc1 | Acc2 | |
|---|---|---|---|---|---|
| Type | RandomForestClassifier | 0.0006 | 0.0005 | 0.965 | 0.965 | 
| GradientBoostingClassifier | 0.0011 | 0.0004 | 0.733 | 0.975 | |
| AdaBoostClassifier | 0.0090 | 0.0021 | 0.528 | 0.573 | |
| LogisticRegressionCV | 0.0010 | 0.0011 | 0.479 | 0.479 | |
| Fresh | RandomForestClassifier | 0.0008 | 0.0005 | 0.949 | 0.951 | 
| GradientBoostingClassifier | 0.0014 | 0.0010 | 0.611 | 0.967 | |
| AdaBoostClassifier | 0.0031 | 0.0017 | 0.496 | 0.525 | |
| LogisticRegressionCV | 0.0008 | 0.0008 | 0.462 | 0.462 | |
| Size | RandomForestClassifier | 0.0009 | 0.0006 | 0.948 | 0.951 | 
| GradientBoostingClassifier | 0.0023 | 0.0009 | 0.611 | 0.967 | |
| AdaBoostClassifier | 0.0014 | 0.0008 | 0.516 | 0.545 | |
| LogisticRegressionCV | 0.0014 | 0.0014 | 0.483 | 0.483 | 
Publisher’s Note: MDPI stays neutral with regard to jurisdictional claims in published maps and institutional affiliations.  | 
© 2021 by the authors. Licensee MDPI, Basel, Switzerland. This article is an open access article distributed under the terms and conditions of the Creative Commons Attribution (CC BY) license (https://creativecommons.org/licenses/by/4.0/).
Share and Cite
Qi, T.; Zhao, Y.; Meng, X.; Shi, W.; Qing, F.; Chen, G.; Zhang, Y.; Yue, D.; Guo, F. Distribution Modeling and Factor Correlation Analysis of Landslides in the Large Fault Zone of the Western Qinling Mountains: A Machine Learning Algorithm. Remote Sens. 2021, 13, 4990. https://doi.org/10.3390/rs13244990
Qi T, Zhao Y, Meng X, Shi W, Qing F, Chen G, Zhang Y, Yue D, Guo F. Distribution Modeling and Factor Correlation Analysis of Landslides in the Large Fault Zone of the Western Qinling Mountains: A Machine Learning Algorithm. Remote Sensing. 2021; 13(24):4990. https://doi.org/10.3390/rs13244990
Chicago/Turabian StyleQi, Tianjun, Yan Zhao, Xingmin Meng, Wei Shi, Feng Qing, Guan Chen, Yi Zhang, Dongxia Yue, and Fuyun Guo. 2021. "Distribution Modeling and Factor Correlation Analysis of Landslides in the Large Fault Zone of the Western Qinling Mountains: A Machine Learning Algorithm" Remote Sensing 13, no. 24: 4990. https://doi.org/10.3390/rs13244990
APA StyleQi, T., Zhao, Y., Meng, X., Shi, W., Qing, F., Chen, G., Zhang, Y., Yue, D., & Guo, F. (2021). Distribution Modeling and Factor Correlation Analysis of Landslides in the Large Fault Zone of the Western Qinling Mountains: A Machine Learning Algorithm. Remote Sensing, 13(24), 4990. https://doi.org/10.3390/rs13244990
        
                                                
