Impacts of Urbanization on the Muthurajawela Marsh and Negombo Lagoon, Sri Lanka: Implications for Landscape Planning towards a Sustainable Urban Wetland Ecosystem
Abstract
:1. Introduction
2. Materials and Methods
2.1. The MMNL, Sri Lanka
2.2. LUC Mapping
2.3. Assessment of LUC Changes in the MMNL
2.4. Assessment of Wetland Loss Across Grama Niladhari (GN) Divisions
2.5. Relationship between Urbanization and Wetland Loss
2.6. Landscape Pattern Analysis
3. Results
3.1. Classification Accuracy and LUC Changes
3.2. Change in Population Density and Loss of Wetland Due to Urbanization
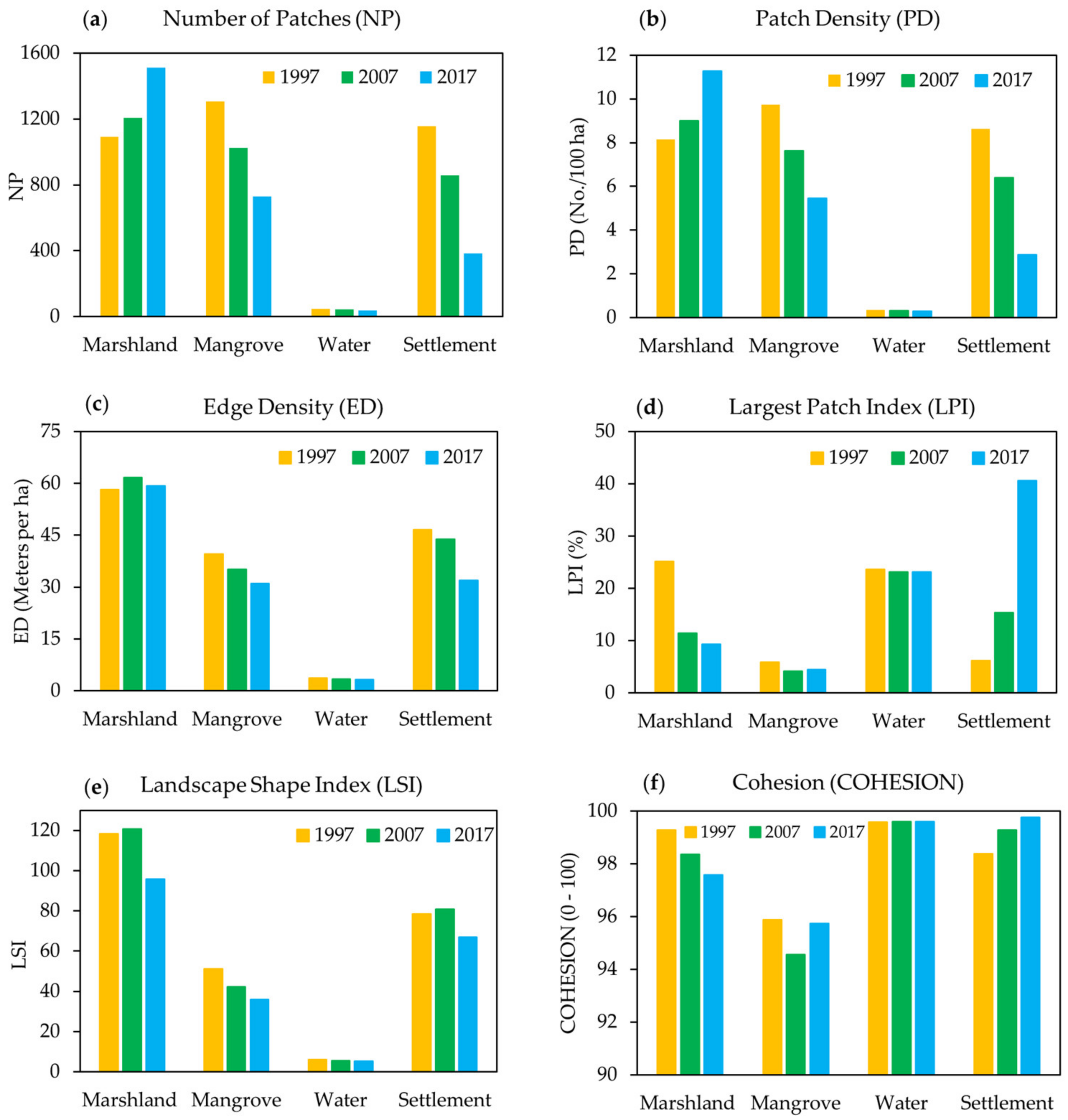
3.3. Changes in Landscape Composition and Configuration
4. Discussion
4.1. Landscape Transformation of the MMNL
4.2. Implications for Wetland Sustainability
4.3. Limitations and Prospects for Future Wetland Study
5. Conclusions
Author Contributions
Funding
Institutional Review Board Statement
Informed Consent Statement
Data Availability Statement
Conflicts of Interest
Abbreviations
| UWEs | Urban Wetland Ecosystems |
| MMNL | Muthurajawela Marsh and Negombo Lagoon |
| SDGs | Sustainable Development Goals |
| GIS | Geographic Information Systems |
| LUC | Land Use/Cover |
| CMR | Colombo Metropolitan Region |
| DS | Divisional Secretariat |
| TM | Thematic Mapper |
| OLI/TIRS | Operational Land Imager/Thermal Infrared Sensor |
| ETM+ | Enhanced Thematic Mapper Plus |
| GN | Grama Niladhari |
| WLD | Wetland Loss Density |
| WL | Wetland Loss |
| CPD | Change in Population Density |
| APGR | Average Population Growth Rate |
| PD | Population Density |
| NP | Number of Patches |
| PD | Patch Density |
| ED | Edge Density |
| LPI | Largest Patch Index |
| LSI | Landscape Shape Index |
| COHESION | Cohesion |
| SHDI | Shannon’s Diversity Index |
| SHEI | Shannon’s Evenness Index |
| TP | Time Point |
| RS | Remote Sensing |
Appendix A
| Classified Data | Reference Data | Total | User’s Accuracy (%) | |||
|---|---|---|---|---|---|---|
| Marshland | Mangrove | Water | Settlement | |||
| (a) 1997 | ||||||
| Marshland | 108 | 17 | 3 | 6 | 134 | 80.86 |
| Mangrove | 15 | 105 | 4 | 5 | 129 | 81.40 |
| Water | 7 | 3 | 42 | 1 | 53 | 79.25 |
| Settlement | 3 | 4 | 0 | 77 | 84 | 91.67 |
| Total | 133 | 129 | 49 | 89 | 400 | |
| Producer’s accuracy (%) | 81.20 | 81.40 | 85.71 | 86.52 | ||
| Overall accuracy (%) = 83.01 | ||||||
| (b) 2007 | ||||||
| Marshland | 112 | 16 | 5 | 4 | 137 | 81.75 |
| Mangrove | 11 | 98 | 4 | 3 | 116 | 84.48 |
| Water | 6 | 1 | 47 | 1 | 55 | 85.45 |
| Settlement | 5 | 5 | 1 | 81 | 92 | 88.04 |
| Total | 134 | 120 | 57 | 89 | 400 | |
| Producer’s accuracy (%) | 83.58 | 81.67 | 82.46 | 91.01 | ||
| Overall accuracy (%) = 84.50 | ||||||
| (c) 2017 | ||||||
| Marshland | 93 | 7 | 7 | 9 | 116 | 80.17 |
| Mangrove | 12 | 108 | 4 | 3 | 127 | 85.04 |
| Water | 5 | 3 | 42 | 1 | 51 | 82.35 |
| Settlement | 4 | 5 | 1 | 96 | 106 | 90.57 |
| Total | 114 | 123 | 54 | 109 | 400 | |
| Producer’s accuracy (%) | 81.58 | 87.80 | 77.78 | 88.07 | ||
| Overall accuracy (%) = 84.75 | ||||||
| Rank | GNs | 1997–2007 (TP1) | GNs | 2007–2017 (TP2) |
|---|---|---|---|---|
| 1 | Thimbirigasyaya | 76.47 | Thalahena | 70.24 |
| 2 | Nayakakanda South | 72.37 | Palliyawatta South | 66.13 |
| 3 | Kurunduhena | 64.86 | Maha Pamunugama | 66.11 |
| 4 | Welikadamulla | 63.69 | Pitipana North | 65.22 |
| 5 | Telangapatha | 63.21 | Udammita South | 64.06 |
| 6 | Siriwardana Pedesa | 62.82 | Dandugama | 61.13 |
| 7 | Dungalpitiya | 62.36 | Pitipana South East | 56.51 |
| 8 | Paranambalama | 61.74 | Delathura West | 56.01 |
| 9 | Palliyawatta South | 61.63 | Nagoda | 55.18 |
| 10 | Munnakkarai North | 59.94 | Bandarawatta West | 53.51 |
| 11 | Doowa | 59.57 | Ambalammulla | 52.41 |
| 12 | Hendala North | 59.26 | Welikadamulla | 52.35 |
| 13 | Balagala | 56.3 | Ja-Ela | 52.18 |
| 14 | Elakanda | 54.68 | Alawathupitiya | 52.12 |
| 15 | Kerawalapitiya | 54.47 | Wella Weediya South | 52.02 |
| 16 | Welisara | 54.20 | Kudahakapola South | 51.72 |
| 17 | Galwetiya | 53.42 | Pitipana Central | 51.46 |
| 18 | Nedurupitiya | 51.71 | Indivitiya | 51.37 |
| 19 | Weligampitiya North | 50.19 | Siriwardana Pedesa | 51.21 |
| 20 | Bopitiya | 50.01 | Kurana West | 50.13 |
References
- Gardner, R.C.; Barchiesi, S.; Beltrame, C.; Finlayson, C.; Galewski, T.; Harrison, I.; Paganini, M.; Perennou, C.; Pritchard, D.; Rosenqvist, A.; et al. Ramsar Convention State of the World’s Wetlands and Their Services to People: A Compilation of Recent Analyses; Ramsar Briefing note 7: Gland, Switzerland, 2015.
- Costanza, R.; D’Arge, R.; De Groot, R.; Farber, S.; Grasso, M.; Hannon, B.; Limburg, K.; Naeem, S.; O’Neill, R.V.; Paruelo, J.; et al. The value of the world’s ecosystem services and natural capital. Nature 1997, 387, 253–260. [Google Scholar] [CrossRef]
- Dronova, I.; Gong, P.; Wang, L. Object-based analysis and change detection of major wetland cover types and their classification uncertainty during the low water period at Poyang Lake, China. Remote Sens. Environ. 2011, 115, 3220–3236. [Google Scholar] [CrossRef]
- Ramsar. RAMSAR Homepage. Available online: https://www.ramsar.org/ (accessed on 10 October 2020).
- Ramsar Convention. An Introduction to the Convention on Wetlands, 5th ed.; Ramsar Convention Secretariat: Gland, Switzerland, 2016. [Google Scholar]
- Penatti, C.N.; Almeida, T.I.R.D.; Ferreira, L.G.; Arantes, E.A.; Coe, M.T. Satellite-based hydrological dynamics of the world’s largest continuous wetland. Remote Sens. Environ. 2015, 170, 1–13. [Google Scholar] [CrossRef]
- Reiss, C.K.; Hernandez, E.; Brown, M.T. Application of the landscape development intensity (LDI) index in wetland mitigation banking. Ecol. Modell. 2014, 271, 83–89. [Google Scholar] [CrossRef]
- Gedan, K.B.; Kirwan, M.L.; Wolanski, E.; Barbier, E.B.; Silliman, B.R. The present and future role of coastal wetland vegetation in protecting shorelines: Answering recent challenges to the paradigm. Clim. Chang. 2011, 7–29. [Google Scholar] [CrossRef]
- Dabrowska-Zielinska, K.; Budzynska, M.; Tomaszewska, M.; Bartold, M.; Gatkowska, M.; Malek, I.; Turlej, K.; Napiorkowska, M. Monitoring Wetlands Ecosystems Using ALOS PALSAR (L-Band, HV) Supplemented by Optical Data: A Case Study of Biebrza Wetlands in Northeast Poland. Remote Sens. 2014, 1605. [Google Scholar] [CrossRef] [Green Version]
- Ramsar Convention. The Fourth Ramsar Strategic Plan 2016–2024, 5th ed.; Ramsar Convention Secretariat: Gland, Switzerland, 2016. [Google Scholar]
- Weise, K.; Höfer, R.; Franke, J.; Guelmami, A.; Simonson, W.; Muro, J.; O’Connor, B.; Strauch, A.; Flink, S.; Eberle, J.; et al. Wetland extent tools for SDG 6.6.1 reporting from the Satellite-based Wetland Observation Service (SWOS). Remote Sens. Environ. 2020, 247, 111892. [Google Scholar] [CrossRef]
- United Nations. Sustainable Development Goals. Available online: https://www.un.org/sustainabledevelopment/sustainable-development-goals/ (accessed on 10 October 2020).
- MA (Millennium Ecosystem Assessment). Ecosystems and Human Well-Being: Synthesis; Island Press: Washington, DC, USA, 2005. [Google Scholar]
- Euliss, N.H.; Mushet, D.M.; Newton, W.E.; Otto, C.R.V.; Nelson, R.D.; Labaugh, J.W.; Scherff, E.J.; Rosenberry, D.O. Placing prairie pothole wetlands along spatial and temporal continua to improve integration of wetland function in ecological investigations. J. Hydrol. 2014, 513, 490–503. [Google Scholar] [CrossRef]
- Bouahim, S.; Rhazi, L.; Ernoul, L.; Mathevet, R.; Amami, B.; Er-riyahi, S.; Muller, S.D.; Grillas, P. Combining vulnerability analysis and perceptions of ecosystem services in sensitive landscapes: A case from western Moroccan temporary wetlands. J. Nat. Conserv. 2015, 27, 1–9. [Google Scholar] [CrossRef]
- United Nations, Department of Economic and Social Affairs, Population Division. World Urbanization Prospects: The 2018 Revision; United Nations: New York, NY, USA, 2019. [Google Scholar]
- Estoque, R.C.; Murayama, Y. Quantifying landscape pattern and ecosystem service value changes in four rapidly urbanizing hill stations of Southeast Asia. Landsc. Ecol. 2016, 31, 1481–1507. [Google Scholar] [CrossRef]
- Michishita, R.; Jiang, Z.; Xu, B. Monitoring two decades of urbanization in the Poyang Lake area, China through spectral unmixing. Remote Sens. Environ. 2012, 117, 3–18. [Google Scholar] [CrossRef]
- Zhou, D.; Zhao, S.; Zhang, L.; Liu, S. Remotely sensed assessment of urbanization effects on vegetation phenology in China’s 32 major cities. Remote Sens. Environ. 2016, 176, 272–281. [Google Scholar] [CrossRef] [Green Version]
- Zhang, F.; Yang, X. Improving land cover classification in an urbanized coastal area by random forests: The role of variable selection. Remote Sens. Environ. 2020, 251, 112105. [Google Scholar] [CrossRef]
- Gold, A.C.; Thompson, S.P.; Magel, C.L.; Piehler, M.F. Urbanization alters coastal plain stream carbon export and dissolved oxygen dynamics. Sci. Total Environ. 2020, 747, 141132. [Google Scholar] [CrossRef]
- Gillies, R.R.; Box, J.B.; Symanzik, J.; Rodemaker, E.J. Effects of urbanization on the aquatic fauna of the Line Creek watershed, Atlanta-A satellite perspective. Remote Sens. Environ. 2003, 86, 411–422. [Google Scholar] [CrossRef] [Green Version]
- Mondal, B.; Dolui, G.; Pramanik, M.; Maity, S.; Biswas, S.S.; Pal, R. Urban expansion and wetland shrinkage estimation using a GIS-based model in the East Kolkata Wetland, India. Ecol. Indic. 2017, 83, 62–73. [Google Scholar] [CrossRef]
- Das, A.; Basu, T. Assessment of peri-urban wetland ecological degradation through importance-performance analysis (IPA): A study on Chatra Wetland, India. Ecol. Indic. 2020, 114, 106274. [Google Scholar] [CrossRef]
- Hou, X.; Feng, L.; Tang, J.; Song, X.P.; Liu, J.; Zhang, Y.; Wang, J.; Xu, Y.; Dai, Y.; Zheng, Y.; et al. Anthropogenic transformation of Yangtze Plain freshwater lakes: Patterns, drivers and impacts. Remote Sens. Environ. 2020, 248, 111998. [Google Scholar] [CrossRef]
- Li, Z.; Jiang, W.; Wang, W.; Chen, Z.; Ling, Z.; Lv, J. Ecological risk assessment of the wetlands in Beijing-Tianjin-Hebei urban agglomeration. Ecol. Indic. 2020, 117, 106677. [Google Scholar] [CrossRef]
- Lin, W.; Cen, J.; Xu, D.; Du, S.; Gao, J. Wetland landscape pattern changes over a period of rapid development (1985–2015) in the ZhouShan Islands of Zhejiang province, China. Estuar. Coast. Shelf Sci. 2018, 213, 148–159. [Google Scholar] [CrossRef]
- Nagendra, H.; Lucas, R.; Honrado, J.P.; Jongman, R.H.G.; Tarantino, C.; Adamo, M.; Mairota, P. Remote sensing for conservation monitoring: Assessing protected areas, habitat extent, habitat condition, species diversity, and threats. Ecol. Indic. 2013, 33, 45–59. [Google Scholar] [CrossRef]
- Yang, C.; Zhang, C.; Li, Q.; Liu, H.; Gao, W.; Shi, T.; Liu, X.; Wu, G. Rapid urbanization and policy variation greatly drive ecological quality evolution in Guangdong-Hong Kong-Macau Greater Bay Area of China: A remote sensing perspective. Ecol. Indic. 2020, 115, 106373. [Google Scholar] [CrossRef]
- Wiens, J.; Sutter, R.; Anderson, M.; Blanchard, J.; Barnett, A.; Aguilar-Amuchastegui, N.; Avery, C.; Laine, S. Selecting and conserving lands for biodiversity: The role of remote sensing. Remote Sens. Environ. 2009, 113, 1370–1381. [Google Scholar] [CrossRef] [Green Version]
- Wabnitz, C.C.; Andréfouët, S.; Torres-Pulliza, D.; Müller-Karger, F.E.; Kramer, P.A. Regional-scale seagrass habitat mapping in the Wider Caribbean region using Landsat sensors: Applications to conservation and ecology. Remote Sens. Environ. 2008, 112, 3455–3467. [Google Scholar] [CrossRef]
- Zhang, D.; Xu, J.; Zhang, Y.; Wang, J.; He, S.; Zhou, X. Study on sustainable urbanization literature based on Web of Science, Scopus, and China national knowledge infrastructure: A scientometric analysis in CiteSpace. J. Clean. Prod. 2020, 264, 121537. [Google Scholar] [CrossRef]
- Dewan, A.M.; Yamaguchi, Y. Land use and land cover change in Greater Dhaka, Bangladesh: Using remote sensing to promote sustainable urbanization. Appl. Geogr. 2009, 29, 390–401. [Google Scholar] [CrossRef]
- Zhu, Z.; Zhou, Y.; Seto, K.C.; Stokes, E.C.; Deng, C.; Pickett, S.T.A.; Taubenböck, H. Understanding an urbanizing planet: Strategic directions for remote sensing. Remote Sens. Environ. 2019, 228, 164–182. [Google Scholar] [CrossRef]
- Estoque, R.C. A review of the sustainability concept and the state of SDG monitoring using remote sensing. Remote Sens. 2020, 12. [Google Scholar] [CrossRef]
- Jaramillo, F.; Desormeaux, A.; Hedlund, J.; Jawitz, J.W.; Clerici, N.; Piemontese, L.; Rodríguez-Rodriguez, J.A.; Anaya, J.A.; Blanco-Libreros, J.F.; Borja, S.; et al. Priorities and interactions of Sustainable Development Goals (SDGs) with focus on wetlands. Water 2019, 11. [Google Scholar] [CrossRef] [Green Version]
- Fitoka, E.; Tompoulidou, M.; Hatziiordanou, L.; Apostolakis, A.; Höfer, R.; Weise, K.; Ververis, C. Water-related ecosystems’ mapping and assessment based on remote sensing techniques and geospatial analysis: The SWOS national service case of the Greek Ramsar sites and their catchments. Remote Sens. Environ. 2020, 245, 111795. [Google Scholar] [CrossRef]
- Estoque, R.C.; Murayama, Y. Measuring Sustainability Based Upon Various Perspectives: A Case Study of a Hill Station in Southeast Asia. Ambio 2014, 43, 943–956. [Google Scholar] [CrossRef] [PubMed] [Green Version]
- Liu, A.J.; Cameron, G.N. Analysis of landscape patterns in coastal wetlands of Galveston Bay, Texas (USA). Landsc. Ecol. 2001, 16, 581–595. [Google Scholar] [CrossRef]
- Festus, O.; Ji, W.; Zubair, O.A. Characterizing the Landscape Structure of Urban Wetlands Using Terrain and Landscape Indices. Land 2020, 9, 29. [Google Scholar] [CrossRef] [Green Version]
- Hassan, M.M. Monitoring land use/land cover change, urban growth dynamics and landscape pattern analysis in five fastest urbanized cities in Bangladesh. Remote Sens. Appl. Soc. Environ. 2017, 7, 69–83. [Google Scholar] [CrossRef]
- Aguilera, F.; Valenzuela, L.M.; Botequilha-Leitão, A. Landscape metrics in the analysis of urban land use patterns: A case study in a Spanish metropolitan area. Landsc. Urban Plan. 2011, 99, 226–238. [Google Scholar] [CrossRef]
- Japelaghi, M.; Gholamalifard, M.; Shayesteh, K. Spatio-temporal analysis and prediction of landscape patterns and change processes in the Central Zagros region, Iran. Remote Sens. Appl. Soc. Environ. 2019, 15, 100244. [Google Scholar] [CrossRef]
- Su, S.; Xiao, R.; Jiang, Z.; Zhang, Y. Characterizing landscape pattern and ecosystem service value changes for urbanization impacts at an eco-regional scale. Appl. Geogr. 2012, 34, 295–305. [Google Scholar] [CrossRef]
- Liu, G.; Zhang, L.; Zhang, Q.; Musyimi, Z.; Jiang, Q. Spatio-temporal dynamics of wetland landscape patterns based on remote sensing in yellow river delta, China. Wetlands 2014, 34, 787–801. [Google Scholar] [CrossRef]
- Haas, J.; Ban, Y. Urban growth and environmental impacts in Jing-Jin-Ji, the Yangtze, River Delta and the Pearl River Delta. Int. J. Appl. Earth Obs. Geoinf. 2014, 30, 42–55. [Google Scholar] [CrossRef]
- Li, Y.; Zhu, X.; Sun, X.; Wang, F. Landscape effects of environmental impact on bay-area wetlands under rapid urban expansion and development policy: A case study of Lianyungang, China. Landsc. Urban Plan. 2010, 94, 218–227. [Google Scholar] [CrossRef]
- McInnes, R. Urban Development, Biodiversity and Wetland Management; UN HABITAT: Bioscan (UK) Ltd: Oxford, UK, 2010. [Google Scholar]
- Greater Colombo Economic Commission, Euroconsult. Master Plan of Muthurajawela and Negombo Lagoon; Gunaratne offset Ltd.: Colombo, Sri Lanka, 1991. [Google Scholar]
- Central Environmental Authority, Euroconsult. Conservation Master Plan, Muthurajawela Marsh and Negombo Lagoon; Gunaratne offset Ltd.: Colombo, Sri Lanka, 1994. [Google Scholar]
- Bambaradeniya, C.N.B.; Ekanayake, S.P.; Kekulandala, L.D.C.B.; Samarawickrama, V.A.P.; Ratnayake, N.D.; Fernando, R.H.S.S. An Assessment of the Status of Biodiversity in the Muthurajawela Wetland Sanctuary; IUCN: Colombo, Sri Lanka, 2002; ISBN 9558177172. [Google Scholar]
- Central Environmental Authority (CEA). National Wetland Directory of Sri Lanka; CEA: Colombo, Sri Lanka, 2006; ISBN 9558177547. [Google Scholar]
- The World Bank. Turning Sri Lanka’s Urban Vision into Policy and Action; The World Bank: Washington, DC, USA, 2012; ISBN 9789558908440. [Google Scholar]
- Subasinghe, S.; Estoque, R.; Murayama, Y. Spatiotemporal Analysis of Urban Growth Using GIS and Remote Sensing: A Case Study of the Colombo Metropolitan Area, Sri Lanka. ISPRS Int. J. Geo-Inf. 2016, 5, 197. [Google Scholar] [CrossRef] [Green Version]
- Jayathilake, M.B.; Chandrasekara, W.U. Variation of avifaunal diversity in relation to land-use modifications around a tropical estuary, the Negombo estuary in Sri Lanka. J. Asia-Pac. Biodivers. 2015, 8, 72–82. [Google Scholar] [CrossRef] [Green Version]
- Rebelo, L.M.; Finlayson, C.M.; Nagabhatla, N. Remote sensing and GIS for wetland inventory, mapping and change analysis. J. Environ. Manag. 2009, 90, 2144–2153. [Google Scholar] [CrossRef] [PubMed]
- Cooray, P.G. An Introduction to the Geology of Sri Lanka (Ceylon), 2nd ed.; Colombo National Museums Publication: Colombo, Sri Lanka, 1984. [Google Scholar]
- Köppen, W. Klassifikation der Klimate nach Temperatur, Niederschlag und Jahresablauf (Classification of climates according to temperature, precipitation and seasonal cycle). Petermanns Geogr. Mitt. 1918, 64, 193–203. [Google Scholar]
- Department of Meteorology, Sri Lanka. Weather Forecasts. Available online: http://www.meteo.gov.lk/index.php?lang=en (accessed on 10 October 2020).
- Greater Colombo Economic Commission, Euroconsult. Environmental Profile of Muthurajawela and Negombo Lagoon; Gunaratne offset Ltd.: Colombo, Sri Lanka, 1991. [Google Scholar]
- Mao, D.; Wang, Z.; Du, B.; Li, L.; Tian, Y.; Jia, M.; Zeng, Y.; Song, K.; Jiang, M.; Wang, Y. National wetland mapping in China: A new product resulting from object-based and hierarchical classification of Landsat 8 OLI images. ISPRS J. Photogramm. Remote Sens. 2020, 164, 11–25. [Google Scholar] [CrossRef]
- Reschke, J.; Hüttich, C. Continuous field mapping of Mediterranean wetlands using sub-pixel spectral signatures and multi-temporal Landsat data. Int. J. Appl. Earth Obs. Geoinf. 2014, 28, 220–229. [Google Scholar] [CrossRef]
- Ghosh, S.; Das, A. Urban expansion induced vulnerability assessment of East Kolkata Wetland using Fuzzy MCDM method. Remote Sens. Appl. Soc. Environ. 2019, 13, 191–203. [Google Scholar] [CrossRef]
- Mwita, E.; Menz, G.; Misana, S.; Becker, M.; Kisanga, D.; Boehme, B. Mapping small wetlands of Kenya and Tanzania using remote sensing techniques. Int. J. Appl. Earth Obs. Geoinf. 2012, 21, 173–183. [Google Scholar] [CrossRef]
- Shanmugam, P.; Ahn, Y.H.; Sanjeevi, S. A comparison of the classification of wetland characteristics by linear spectral mixture modelling and traditional hard classifiers on multispectral remotely sensed imagery in southern India. Ecol. Modell. 2006, 194, 379–394. [Google Scholar] [CrossRef]
- Survey Department of Sri Lanka. Available online: https://www.survey.gov.lk/ (accessed on 2 May 2020).
- Liu, X.; Dong, G.; Wang, X.; Xue, Z.; Jiang, M.; Lu, X.; Zhang, Y. Characterizing the spatial pattern of marshlands in the Sanjiang Plain, Northeast China. Ecol. Eng. 2013, 53, 335–342. [Google Scholar] [CrossRef]
- Estoque, R.C.; Murayama, Y. Landscape pattern and ecosystem service value changes: Implications for environmental sustainability planning for the rapidly urbanizing summer capital of the Philippines. Landsc. Urban Plan. 2013, 116, 60–72. [Google Scholar] [CrossRef]
- Zhang, Q.; Chen, C.; Wang, J.; Yang, D.; Zhang, Y.; Wang, Z.; Gao, M. The spatial granularity effect, changing landscape patterns, and suitable landscape metrics in the Three Gorges Reservoir Area, 1995–2015. Ecol. Indic. 2020, 114, 106259. [Google Scholar] [CrossRef]
- McGarigal, K. Fragstats; US Department of Agriculture, Forest Service, Pacific Northwest Research Station: Corvallis, OR, USA, 2015; pp. 1–182. [Google Scholar] [CrossRef]
- Lu, D.; Weng, Q. Urban Classification Using Full Spectral Information of Landsat ETM+ Imagery in Marion County. Indiana 2005, 71, 1275–1284. [Google Scholar] [CrossRef] [Green Version]
- Liu, Y.; Zha, Y.; Gao, J.; Ni, S. Assessment of grassland degradation near Lake Qinghai, West China, using Landsat TM and in situ reflectance spectra data. Int. J. Remote Sens. 2004, 25, 4177–4189. [Google Scholar] [CrossRef]
- Sader, S.A.; Ahl, D.; Liou, W.S. Accuracy of landsat-TM and GIS rule-based methods for forest wetland classification in Maine. Remote Sens. Environ. 1995, 53, 133–144. [Google Scholar] [CrossRef]
- Slagter, B.; Tsendbazar, N.-E.; Vollrath, A.; Reiche, J. Mapping wetland characteristics using temporally dense Sentinel-1 and Sentinel-2 data: A case study in the St. Lucia wetlands, South Africa. Int. J. Appl. Earth Obs. Geoinf. 2020, 86, 102009. [Google Scholar] [CrossRef]
- Singh, P.; Javed, S.; Shashtri, S.; Singh, R.P.; Vishwakarma, C.A.; Mukherjee, S. Influence of changes in watershed landuse pattern on the wetland of Sultanpur National Park, Haryana using remote sensing techniques and hydrochemical analysis. Remote Sens. Appl. Soc. Environ. 2017, 7, 84–92. [Google Scholar] [CrossRef]
- Expressway Operation Maintenance And Management Division Road Development Authority-Sri Lanka. Available online: http://www.exway.rda.gov.lk/index.php?page=expressway_network/e03 (accessed on 5 May 2020).
- Zubair, O.A.; Ji, W.; Weilert, T.E. Modeling the Impact of Urban Landscape Change on Urban Wetlands Using Similarity Weighted Instance-Based Machine Learning and Markov Model. Sustainability 2017, 9, 2223. [Google Scholar] [CrossRef] [Green Version]
- Wei, Z.; Jingang, J.; Yubi, Z.H.U. Change in Urban Wetlands and Their Cold Island Effects in Response to Rapid Urbanization. Chin. Geogr. Sci. 2015, 25, 462–471. [Google Scholar] [CrossRef] [Green Version]
- Athukorala, D.; Murayama, Y. Spatial Variation of Land Use/Cover Composition and Impact on Surface Urban Heat Island in a Tropical Sub-Saharan City of Accra, Ghana. Sustainability 2020, 12, 7953. [Google Scholar] [CrossRef]
- Ozesmi, S.L.; Bauer, M.E. Satellite remote sensing of wetlands. Wetl. Ecol. Manag. 2002, 10, 381–402. [Google Scholar] [CrossRef]
- Lane, C.R.; Liu, H.; Autrey, B.C.; Anenkhonov, O.A.; Chepinoga, V.V.; Wu, Q. Improved Wetland Classification Using Eight-Band High Resolution Satellite Imagery and a Hybrid Approach. Remote Sens. 2014, 6, 12187. [Google Scholar] [CrossRef] [Green Version]
- Abeywardene, J.; de Alwis, R.; Jayasena, A.; Jayaweera, S.; Sanmugam, T. Export Processing Zones in Sri Lanka: Economic Impact and Social Issues; Center for Women’s Research: Colombo, Sri Lanka, 1994. [Google Scholar]
- Kelegama, S.; Corea, G. Economic Policy in Sri Lanka: Issues and Debates; SAGE Publications: New York, NY, USA, 2004; ISBN 9780761932789. [Google Scholar]
- Hogg, C.L. Sri Lanka: Prospects for Reform and Reconciliation; Chatham House: London, UK, 2011. [Google Scholar]
- Department of Census and Statistics-Sri Lanka. Available online: http://www.statistics.gov.lk/ (accessed on 3 May 2020).
- Ancog, R.; Ruzol, C. Urbanization adjacent to a wetland of international importance: The case of Olango Island Wildlife Sanctuary, Metro Cebu, Philippines. Habitat Int. 2015, 49, 325–332. [Google Scholar] [CrossRef]
- Thibault, P.A.; Zippererb, W.C. Temporal changes of wetlands within an urbanizing agricultural landscape. Landsc. Urban Plan. 1994, 28, 245–251. [Google Scholar] [CrossRef]
- Akbostanci, E.; Türüt-Aşik, S.; Tunç, G.I. The relationship between income and environment in Turkey: Is there an environmental Kuznets curve? Energy Policy 2009, 37, 861–867. [Google Scholar] [CrossRef]
- Ramsar. Implementation of the Ramsar Convention in General, and of the Ramsar Strategic Plan 1997-2002 in Particular, during the Period Since the National Report Prepared in 1995 for Ramsar COP6 and 30 June 1998. Available online: https://www.ramsar.org/document/cop7-national-reports-sri-lanka (accessed on 14 January 2021).
- Estoque, R.C.; Murayama, Y. Examining the potential impact of land use/cover changes on the ecosystem services of Baguio city, the Philippines: A scenario-based analysis. Appl. Geogr. 2012, 35, 316–326. [Google Scholar] [CrossRef]
- Ramsar Convention. Scaling up Wetland Conservation, Wise Use and Restoration to Achieve the Sustainable Development Goals; Ramsar Convention: Ramsar, Iran, 2018; pp. 1–13. [Google Scholar]
- United Nations Environment programme (UNEP). The Aichi Passport; United Nations Environment programme (UNEP): Nairobi, Kenya, 2012. [Google Scholar]









| LUC Class | Land Surface Features |
|---|---|
| Settlement | Urban, residential, industrial, transportation (roads, train lines), communications and utilities infrastructure, airports, home gardens, concrete structures, power plants, and asphalt areas. |
| Marshland | Seasonally flooded areas with abandoned paddy fields, intermittently flooded areas with agriculture, marsh plant communities, trees, scrub and grassland, peat soil, bog soil and back swamp, and other cultivated areas. |
| Mangrove | Seasonally flooded areas with mangroves, intermittently flooded areas with mangroves and mangrove pneumatophore areas. |
| Water | Lagoon, streams, canals, and ponds. |
| Metric | Equation | Unit | Definition |
|---|---|---|---|
| Number of Patches (NP) | NP = | None | Reflects the number of patches of the similar patch type or LUC class; a simple measure of the degree of fragmentation |
| Patch Density (PD) | No. per 100 ha | Equal to the number of patches at each LUC class per unit area. A limited, yet important feature of the landscaping | |
| Edge Density (ED) | Meters per ha | Measures based on edge length of a specific LUC class per unit area | |
| Largest Patch Index (LPI) | Percent | Quantifies the percentage of total landscape area taken up by the largest patch at the class level. It is a simple indicator of dominance | |
| Landscape Shape Index (LSI) | None | A measure of the total edge or edge density within the landscape divided by the total landscape. | |
| Cohesion (COHESION) | None 0–100 | The physical connectivity of the corresponding patch type of LUC class. Rises with more clustering of the patch type in its configuration, resulting in a more physical combination. | |
| Shannon’s Diversity Index (SHDI) | SHDI | Information | Reflects the landscape heterogeneity and compares various landscapes or the same landscape at different times as a relative index. |
| Shannon’s Evenness Index (SHEI) | None | Maximum evenness of the area, reflecting a clear trend among the patch types at the landscape level. |
| 1997 | 2007 | Total | Loss | |||
|---|---|---|---|---|---|---|
| Marshland | Mangrove | Water | Settlement | |||
| (a) 1997–2007 | ||||||
| Marshland | 3007.89 | 519.93 | 2.43 | 1244.88 | 4775.13 | 1767.24 |
| Mangrove | 615.42 | 1081.44 | 2.79 | 202.68 | 1902.33 | 820.89 |
| Water | 65.07 | 1.44 | 3118.41 | 16.83 | 3201.75 | 83.34 |
| Settlement | 547.29 | 33.12 | 1.08 | 2950.38 | 3531.87 | 581.49 |
| Total | 4235.67 | 1635.93 | 3124.71 | 4414.77 | 13,411.08 | |
| Gain | 1227.78 | 554.49 | 6.3 | 1464.39 | ||
| 2007 | 2017 | Total | Loss | |||
| Marshland | Mangrove | Water | Settlement | |||
| (b) 2007–2017 | ||||||
| Marshland | 1953.45 | 538.2 | 30.51 | 1713.51 | 4235.67 | 2282.22 |
| Mangrove | 541.71 | 944.01 | 0.9 | 149.31 | 1635.93 | 691.92 |
| Water | 10.62 | 3.15 | 3092.85 | 18.09 | 3124.71 | 31.86 |
| Settlement | 324.09 | 24.48 | 4.32 | 4061.88 | 4414.77 | 352.89 |
| Total | 2829.87 | 1509.84 | 3128.58 | 5942.79 | 13,411.08 | |
| Gain | 876.42 | 565.83 | 35.73 | 1880.91 | ||
| L/G Area (ha) | L/G Rate (%) | |
|---|---|---|
| 1997–2007 | ||
| Marshland | −539.46 | −11.30 |
| Mangrove | −266.40 | −14.00 |
| Water | −77.04 | −2.41 |
| Settlement | 882.90 | 25.00 |
| 2007–2017 | ||
| Marshland | −1405.80 | −33.19 |
| Mangrove | −126.09 | −7.71 |
| Water | 3.87 | 0.12 |
| Settlement | 1528.02 | 34.61 |
| Year | SHDI | SHEI |
|---|---|---|
| 1997 | 1.3383 | 0.9654 |
| 2007 | 1.3263 | 0.9567 |
| 2017 | 1.2832 | 0.9256 |
Publisher’s Note: MDPI stays neutral with regard to jurisdictional claims in published maps and institutional affiliations. |
© 2021 by the authors. Licensee MDPI, Basel, Switzerland. This article is an open access article distributed under the terms and conditions of the Creative Commons Attribution (CC BY) license (http://creativecommons.org/licenses/by/4.0/).
Share and Cite
Athukorala, D.; Estoque, R.C.; Murayama, Y.; Matsushita, B. Impacts of Urbanization on the Muthurajawela Marsh and Negombo Lagoon, Sri Lanka: Implications for Landscape Planning towards a Sustainable Urban Wetland Ecosystem. Remote Sens. 2021, 13, 316. https://doi.org/10.3390/rs13020316
Athukorala D, Estoque RC, Murayama Y, Matsushita B. Impacts of Urbanization on the Muthurajawela Marsh and Negombo Lagoon, Sri Lanka: Implications for Landscape Planning towards a Sustainable Urban Wetland Ecosystem. Remote Sensing. 2021; 13(2):316. https://doi.org/10.3390/rs13020316
Chicago/Turabian StyleAthukorala, Darshana, Ronald C. Estoque, Yuji Murayama, and Bunkei Matsushita. 2021. "Impacts of Urbanization on the Muthurajawela Marsh and Negombo Lagoon, Sri Lanka: Implications for Landscape Planning towards a Sustainable Urban Wetland Ecosystem" Remote Sensing 13, no. 2: 316. https://doi.org/10.3390/rs13020316
APA StyleAthukorala, D., Estoque, R. C., Murayama, Y., & Matsushita, B. (2021). Impacts of Urbanization on the Muthurajawela Marsh and Negombo Lagoon, Sri Lanka: Implications for Landscape Planning towards a Sustainable Urban Wetland Ecosystem. Remote Sensing, 13(2), 316. https://doi.org/10.3390/rs13020316

