Relating Hyperspectral Vegetation Indices with Soil Salinity at Different Depths for the Diagnosis of Winter Wheat Salt Stress
Abstract
1. Introduction
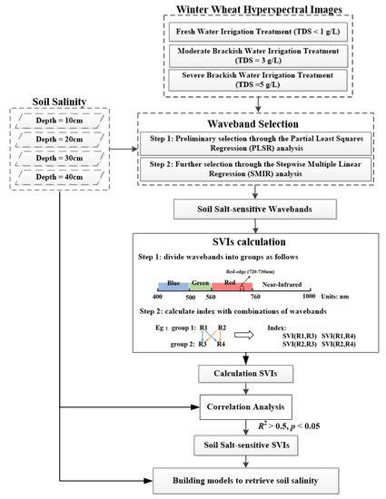
2. Materials and Methods
2.1. Experimental Site and Design
2.2. Data Acquisition
2.3. Methodology
2.3.1. Screening Soil Salt-Sensitive Wavebands
2.3.2. Calculating and Selecting Soil Salt-Sensitive SVIs
2.3.3. Building Models to Correlate Spectral Vegetation Indices with Soil Salinity at Four Depths
3. Results
3.1. Vertical Distribution of Soil Salinity for Three Brackish Water Irrigation Treatments
3.2. Responses of the Hyperspectral Reflectance of the Winter Wheat Canopy to Three Brackish Water Irrigation Treatments
3.3. Optimization of Wavebands and Spectral Vegetation Indices
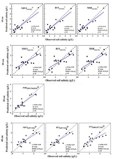
3.4. Empirical Models for Retrieving the Soil Salinity at Four Soil Depths Using Screened SVIs
4. Discussion
4.1. Effect of Soil Salinity on Winter Wheat
4.2. Sensitive Bands Related to the Soil Salinity at Different Depths
4.3. SVIs and Models Selected for Retrieving Soil Salinity
5. Conclusions
Author Contributions
Funding
Acknowledgments
Conflicts of Interest
Appendix A

References
- Zhang, G.; Lian, Y.; Liu, C.; Yan, M.; Wang, J. Situation and Origin of Water Resources in Short Supply in North China Plain. J. Earth Sci. Environ. 2011, 33, 172–176. [Google Scholar]
- Ma, W.; Cheng, Q.; Li, L.; Yu, Z.; Niu, L.A. Effect of slight saline water irrigation on soil salinity and yield of crop. Trans. CSAE 2010, 26, 73–80. [Google Scholar]
- Wu, Z.; Wang, Q. Response to salt stress aboutnter wheat in Huanghuaihai plain. Agric. Mach. J. 2010, 41, 99–104. [Google Scholar]
- He, K.; Yang, Y.; Yang, Y.; Chen, S.; Hu, Q.; Liu, X.; Gao, F. Hydrus Simulation of Sustainable Brackish Water Irrigation in a Winter Wheat-Summer Maize Rotation System in the North China Plain. Water 2017, 9, 536. [Google Scholar] [CrossRef]
- Wang, H.; Xu, Z.; Pang, G.; Zhang, L.; Wang, X. Effects of Brackish Water Irrigation on Water-salt Distribution and Winter Wheat Growth. J. Soil Water Conserv. 2017, 31, 291–297. [Google Scholar] [CrossRef]
- Liu, X.; Feike, T.; Chen, S.; Shao, L.; Sun, H.; Zhang, X. Effects of saline irrigation on soil salt accumulation and grain yield in the winter wheat-summer maize double cropping system in the low plain of North China. J. Integr. Agric. 2016, 15, 2886–2898. [Google Scholar] [CrossRef]
- Grieve, C.M.; Lesch, S.M.; Maas, E.V.; Francois, L.E. Leaf and spikelet primordia initiation in salt-stressed wheat. Crop Sci. 1993, 33, 1286–1294. [Google Scholar] [CrossRef]
- Grieve, C.M.; Francois, L.E.; Maas, E.V. Salinity affects the timing of phasic development in spring wheat. Crop Sci. 1994, 34, 1544–1549. [Google Scholar] [CrossRef]
- El-Hendawy, S.E.; Hu, Y.; Yakout, G.M.; Awad, A.M.; Hafiz, S.E.; Schmidhalter, U. Evaluating salt tolerance of wheat genotypes using multiple parameters. Eur. J. Agron. 2005, 22, 243–253. [Google Scholar] [CrossRef]
- Chen, S.; Zhang, X.; Shao, L.; Sun, H.; Liu, X. Effect of deficit irrigation with brackish water on growth and yield of winter wheat and summer maize. Chin. J. Eco-Agric. 2011, 19, 579–585. [Google Scholar] [CrossRef]
- Darko, E.; Janda, T.; Majláth, I.; Szopkó, D.; Dulai, S.; Molnár, I.; Türkösi, E.; Molnár-Láng, M. Salt stress response of wheat–barley addition lines carrying chromosomes from the winter barley “Manas”. Euphytica 2014, 203, 491–504. [Google Scholar] [CrossRef]
- Hackl, H.; Hu, Y.; Schmidhalter, U. Evaluating growth platforms and stress scenarios to assess the salt tolerance of wheat plants. Funct. Plant Biol. 2014, 41. [Google Scholar] [CrossRef]
- Yang, T.; Xie, Z.; Yu, Q.; Liu, X. Effects of partial root salt stress on seedling growth and photosynthetic characteristics of winter wheat. Chin. J. Eco-Agric. 2014, 22, 1074–1078. [Google Scholar] [CrossRef]
- Hu, Y.; Hackl, H.; Schmidhalter, U. Comparative performance of spectral and thermographic properties of plants and physiological traits for phenotyping salinity tolerance of wheat cultivars under simulated field conditions. Funct. Plant Biol. 2017, 44, 134. [Google Scholar] [CrossRef] [PubMed]
- Finn, M.P.; Lewis, M.; Bosch, D.D.; Giraldo, M.; Yamamoto, K.; Sullivan, D.G.; Kincaid, R.; Luna, R.; Allam, G.K.; Kvien, C.; et al. Remote Sensing of Soil Moisture Using Airborne Hyperspectral Data. GIScience Remote Sens. 2013, 48, 522–540. [Google Scholar] [CrossRef]
- Li, X.; Tang, Y. Two-dimensional nearest neighbor classification for agricultural remote sensing. Neurocomputing 2014, 142, 182–189. [Google Scholar] [CrossRef]
- Aldabaa, A.; Abdalsatar, A.; Weindorf, D.C.; Chakraborty, S.; Sharma, A.; Li, B. Combination of proximal and remote sensing methods for rapid soil salinity quantification. Geoderma 2015, 239–240, 34–46. [Google Scholar] [CrossRef]
- He, L.; Zhang, H.; Zhang, Y.; Song, X.; Fen, W.; Kang, G.; Wang, C.; Guo, T. Estimating canopy leaf nitrogen concentration in winter wheat based on multi-angular hyperspectral remote sensing. Eur. J. Agron. 2016, 73, 170–185. [Google Scholar] [CrossRef]
- Zhou, X.; Huang, W.; Kong, W.; Ye, H.; Luo, J.; Chen, P. Remote estimation of canopy nitrogen content in winter wheat using airborne hyperspectral reflectance measurements. Adv. Space Res. 2016, 58, 1627–1637. [Google Scholar] [CrossRef]
- El-Hendawy, S.E.; Al-Suhaibani, N.A.; Elsayed, S.; Hassan, W.M.; Dewir, Y.H.; Refay, Y.; Abdella, K.A. Potential of the existing and novel spectral reflectance indices for estimating the leaf water status and grain yield of spring wheat exposed to different irrigation rates. Agric. Water Manag. 2019, 217, 356–373. [Google Scholar] [CrossRef]
- Dehaan, R.L.; Taylor, G.R. Field-derived spectra of salinized soils and vegetation as indicators of irrigation-induced soil salinization. Remote Sens. Environ. 2002, 80, 406–417. [Google Scholar] [CrossRef]
- Metternicht, G.I.; Zinck, J.A. Remote sensing of soil salinity: Potentials and constraints. Remote Sens. Environ. 2003, 85, 1–20. [Google Scholar] [CrossRef]
- Brunner, P.; Li, H.; Kinzelbach, W.; Li, W. Generating soil electrical conductivity maps at regional level by integrating measurements on the ground and remote sensing data. Int. J. Remote Sens. 2007, 28, 3341–3361. [Google Scholar] [CrossRef]
- Zhang, T.; Zeng, S.; Gao, Y.; Ouyang, Z.; Li, B.; Fang, C.; Zhao, B. Using hyperspectral vegetation indices as a proxy to monitor soil salinity. Ecol. Indic. 2011, 11, 1552–1562. [Google Scholar] [CrossRef]
- Spengler, D.; Kuester, T.; Frick, A.; Scheffler, D.; Kaufmann, H. Correcting the influence of vegetation on surface soil moisture indices by using hyperspectral artificial 3D-canopy models. In Remote Sensing for Agriculture, Ecosystems, and Hydrology XV; Neale, C.M.U., Maltese, A., Eds.; SPIE: Bellingham, WA, USA, 2013; Volume 8887. [Google Scholar] [CrossRef]
- Li, B.; Li, Z.; Wei, X. Watershed Soil Moisture Based on Microwave Remote Sensing and Land Surface Model. Remote Sens. Inf. 2007, 96–101. [Google Scholar] [CrossRef]
- Nagler, P.L.; Glenn, E.P.; Huete, A.R. Assessment of spectral vegetation indices for riparian vegetation in the Colorado River delta, Mexico. J. Arid Environ. 2001, 49, 91–110. [Google Scholar] [CrossRef]
- Wiegand, C.L.; Rhoades, J.D.; Escobar, D.E.; Everitt, J.H. Photographic and videographic observations for determining and mapping the response of cotton to soil salinity. Remote Sens. Environ. 1994, 49, 212–223. [Google Scholar] [CrossRef]
- Wang, D.; Wilson, C.; Shannon, M.C. Interpretation of salinity and irrigation effects on soybean canopy reflectance in visible and near-infrared spectrum domain. Int. J. Remote Sens. 2002, 23, 811–824. [Google Scholar] [CrossRef]
- Tilley, D.R.; Ahmed, M.; Son, J.H.; Badrinarayanan, H. Hyperspectral reflectance response of freshwater macrophytes to salinity in a brackish subtropical marsh. J. Environ. Qual. 2007, 36, 780–789. [Google Scholar] [CrossRef]
- Huo, H.; Ni, Z.; Jiang, X.; Zhou, P.; Liu, L. Mineral Mapping and Ore Prospecting with HyMap Data over Eastern Tien Shan, Xinjiang Uyghur Autonomous Region. Remote Sens. 2014, 6, 11829–11851. [Google Scholar] [CrossRef]
- El-Hendawy, S.E.; Hassan, W.M.; Refay, Y.; Schmidhalter, U. On the use of spectral reflectance indices to assess agro-morphological traits of wheat plants grown under simulated saline field conditions. J. Agron. Crop Sci. 2017, 203, 406–428. [Google Scholar] [CrossRef]
- Salah, E.; Waleed, D. Hyperspectral remote sensing to assess the water status, biomass, and yield of maize cultivars under salinity and water stress. Bragantia 2017, 76, 62–72. [Google Scholar] [CrossRef][Green Version]
- Cheng, Y.; Ustin, S.L.; Riaño, D.; Vanderbilt, V.C. Water content estimation from hyperspectral images and MODIS indexes in Southeastern Arizona. Remote Sens. Environ. 2008, 112, 363–374. [Google Scholar] [CrossRef]
- Thenkabail, P.S.; Mariotto, I.; Gumma, M.K.; Middleton, E.M.; Landis, D.R.; Huemmrich, K.F. Selection of Hyperspectral Narrowbands (HNBs) and Composition of Hyperspectral Twoband Vegetation Indices (HVIs) for Biophysical Characterization and Discrimination of Crop Types Using Field Reflectance and Hyperion/EO-1 Data. IEEE J. Sel. Top. Appl. Earth Observ. Remote Sens. 2013, 6, 427–439. [Google Scholar] [CrossRef]
- An, D.; Zhao, G.; Chang, C.; Wang, Z.; Li, P.; Zhang, T.; Jia, J. Hyperspectral field estimation and remote-sensing inversion of salt content in coastal saline soils of the Yellow River Delta. Int. J. Remote Sens. 2016, 37, 455–470. [Google Scholar] [CrossRef]
- Rouse, J.W.; Haas, R.W.; Deering, D.W.; Schell, J.A.; Harlan, J.C. Monitoring the vernal advancement and retrogradation (Greenwave effect) of natural vegetation. In NASA/GSFCT Type III Final Report; NASA: Washington, DC, USA, 1974. [Google Scholar]
- Carlson, T.N.; Gillies, R.R.; Perry, E.M. A method to make use of thermal infrared temperature and NDVI measurements to infer surface soil water content and fractional vegetation cover. Remote Sens. Rev. 1994, 9, 161–173. [Google Scholar] [CrossRef]
- Pearson, R.L.; Miller, L.D. Remote Mapping of Standing Crop Biomass for Estimation of Productivity of the Shortgrass Prairie. In Proceedings of the Eighth International Symposium on Remote Sensing of Environment, Ann Arbor, MI, USA, 2–6 October 1972; Volume 1, pp. 1357–1381. [Google Scholar]
- Jordan, C.F. Derivation of Leaf-Area Index from Quality of Light on the Forest Floor. Ecology 1969, 50, 663–666. [Google Scholar] [CrossRef]
- Huete, A.; Justice, C.; Liu, H. Development of vegetation and soil indices for MODIS-EOS. Remote Sens. Environ. 1994, 49, 224–234. [Google Scholar] [CrossRef]
- Gitelson, A.A.; Merzlyak, M.N.; Grits, Y. Novel algorithms for remote sensing of chlorophyll content in higher plant leaves. In IGARSS ’96—Proceedings of the 1996 International Geoscience and Remote Sensing Symposium: Remote Sensing for a Sustainable Future; IEEE: Lincoln, NE, USA, 1996; Volume I–IV, pp. 2355–2357. [Google Scholar]
- Gamon, J.A.; Penuelas, J.; Field, C.B. A narrow-waveband spectral index that tracks diurnal changes in photosynthetic efficiency. Remote Sens. Environ. 1992, 41, 35–44. [Google Scholar] [CrossRef]
- Gamon, J.A.; Serrano, L.; Surfus, J.S. The photochemical reflectance index: An optical indicator of photosynthetic radiation use efficiency across species, functional types, and nutrient levels. Oecologia 1997, 112, 492–501. [Google Scholar] [CrossRef]
- Fourty, T.; Baret, F.; Jacquemoud, S.; Schmuck, G.; Verdebout, J. Leaf optical properties with explicit description of its biochemical composition: Direct and inverse problems. Remote Sens. Environ. 1996, 56, 104–117. [Google Scholar] [CrossRef]
- Sims, D.A.; Gamon, J.A. Relationships between leaf pigment content and spectral reflectance across a wide range of species, leaf structures and developmental stages. Remote Sens. Environ. 2002, 81, 337–354. [Google Scholar] [CrossRef]
- Merzlyak, M.N.; Gitelson, A.A.; Chivkunova, O.B.; Rakitin, V.Y. Non-destructive optical detection of pigment changes during leaf senescence and fruit ripening. Physiol. Plant. 1999, 106, 135–141. [Google Scholar] [CrossRef]
- Zhu, K.Y.; Sun, Z.G.; Zhao, F.H.; Yang, T.; Tian, Z.R.; Lai, J.B.; Long, B.J.; Li, S.J. Remotely sensed canopy resistance model for analyzing the stomatal behavior of environmentally-stressed winter wheat. ISPRS J. Photogramm. Remote Sens. 2020, 168, 197–207. [Google Scholar] [CrossRef]
- Luo, J.W.; Ying, K.; He, P.; Bai, J. Properties of Savitzky-Golay digital differentiators. Digit. Signal Process. 2005, 15, 122–136. [Google Scholar] [CrossRef]
- Zimmermann, B.; Kohler, A. Optimizing Savitzky-Golay Parameters for Improving Spectral Resolution and Quantification in Infrared Spectroscopy. Appl. Spectrosc. 2013, 67, 892–902. [Google Scholar] [CrossRef] [PubMed]
- Tal, R.; Uri, H.; Maxim, S.; Arnon, K.; Shimon, R. Combining leaf physiology, hyperspectral imaging and partial least squares-regression (PLS-R) for grapevine water status assessment. ISPRS J. Photogramm. Remote Sens. 2015, 109, 88–97. [Google Scholar] [CrossRef]
- El-Hendawy, S.E.; Al-Suhaibani, N.A.; M.Hassan, W.; Dewir, Y.H.; Elsayed, S.; Al-Ashkar, I.; Abdella, K.A.; Schmidhalter, U. Evaluation of wavelengths and spectral reflectance indices for high-throughput assessment of growth, water relations and ion contents of wheat irrigated with saline water. Agric. Water Manag. 2019, 212, 358–377. [Google Scholar] [CrossRef]
- Wold, S.; Sjostrom, M.; Eriksson, L. PLS-regression: A basic tool of chemometrics. Chemom. Intell. Lab. Syst. 2001, 58, 109–130. [Google Scholar] [CrossRef]
- Vasques, G.M.; Grunwald, S.; Sickman, J.O. Comparison of multivariate methods for inferential modeling of soil carbon using visible/near-infrared spectra. Geoderma 2008, 146, 14–25. [Google Scholar] [CrossRef]
- Miller, J.R.; Wu, J.Y.; Boyer, M.G.; Belanger, M.; Hare, E.W. Seasonal patterns in leaf reflectance red-edge characteristics. Int. J. Remote Sens. 1991, 12, 1509–1523. [Google Scholar] [CrossRef]
- Kriston-Vizi, J.; Umeda, M.; Miyamoto, K. Assessment of the water status of mandarin and peach canopies using visible multispectral imagery. Biosyst. Eng. 2008, 100, 338–345. [Google Scholar] [CrossRef]
- Hackl, H.; Mistele, B.; Hu, Y.C.; Schmidhalter, U. Spectral assessments of wheat plants grown in pots and containers under saline conditions. Funct. Plant Biol. 2013, 40, 409–424. [Google Scholar] [CrossRef] [PubMed]
- Goel, P.K.; Prasher, S.O.; Landry, J.A.; Patel, R.M.; Bonnell, R.B.; Viau, A.A.; Miller, J.A. Potential of airborne hyperspectral remote sensing to detect nitrogen deficiency and weed infestation in corn. Comput. Electron. Agric. 2003, 38, 99–124. [Google Scholar] [CrossRef]
- Govind, A.; Bhavanarayana, M.; Kumari, J.; Govind, A. Efficacy of different indices derived from spectral reflectance of wheat for nitrogen stress detection. J. Plant Interact. 2005, 1, 93–105. [Google Scholar] [CrossRef]
- Garrity, S.R.; Eitel, J.U.H.; Vierling, L.A. Disentangling the relationships between plant pigments and the photochemical reflectance index reveals a new approach for remote estimation of carotenoid content. Remote Sens. Environ. 2011, 115, 628–635. [Google Scholar] [CrossRef]
- Feng, W.; Zhang, H.Y.; Zhang, Y.S.; Qi, S.L.; Heng, Y.R.; Guo, B.B.; Ma, D.Y.; Guo, T.C. Remote detection of canopy leaf nitrogen concentration in winter wheat by using water resistance vegetation indices from in-situ hyperspectral data. Field Crop. Res. 2016, 198, 238–246. [Google Scholar] [CrossRef]
- Curran, P.J.; Dungan, J.L.; Peterson, D.L. Estimating the foliar biochemical concentration of leaves with reflectance spectrometry testing the Kokaly and Clark methodologies. Remote Sens. Environ. 2001, 76, 349–359. [Google Scholar] [CrossRef]
- Gomez-Casero, M.T.; Lopez-Granados, F.; Pena-Barragan, J.M.; Jurado-Exposito, M.; Garcia-Torres, L. Assessing nitrogen and potassium deficiencies in olive orchards through discriminant analysis of hyperspectral data. J. Am. Soc. Hortic. Sci. 2007, 132, 611–618. [Google Scholar] [CrossRef]
- Ranjan, R.; Chopra, U.K.; Sahoo, R.N.; Singh, A.K.; Pradhan, S. Assessment of plant nitrogen stress in wheat (Triticum aestivum L.) through hyperspectral indices. Int. J. Remote Sens. 2012, 33, 6342–6360. [Google Scholar] [CrossRef]
- Devadas, R.; Lamb, D.W.; Backhouse, D.; Simpfendorfer, S. Sequential application of hyperspectral indices for delineation of stripe rust infection and nitrogen deficiency in wheat. Precis. Agric. 2015, 16, 477–491. [Google Scholar] [CrossRef]
- Klem, K.; Zahora, J.; Zemek, F.; Trunda, P.; Tuma, I.; Novotna, K.; Hodanova, P.; Rapantova, B.; Hanus, J.; Vavrikova, J.; et al. Interactive effects of water deficit and nitrogen nutrition on winter wheat. Remote sensing methods for their detection. Agric. Water Manag. 2018, 210, 171–184. [Google Scholar] [CrossRef]
- Gosselin, H.; Sagan, V.; Maimaitiyiming, M.; Fishman, J.; Belina, K.; Podleski, A.; Maimaitijiang, M.; Bashir, A.; Balakrishna, J.; Dixon, A. Using Visual Ozone Damage Scores and Spectroscopy to Quantify Soybean Responses to Background Ozone. Remote Sens. 2020, 12, 93. [Google Scholar] [CrossRef]
- Lv, D.; Wang, Q.; Wang, W.; Shao, M. Evaluation of the soil salt distribution characteristics. Acta Pedol. Sin. 2002, 39, 720–725. [Google Scholar]
- Zhang, L.; Wang, Q. Effect of Non-sufficient Irrigation with Saline Water on the Distribution of Water and Salinity in Soil and SWAP Model Simulation. Water Conserv. Irrig. 2015, 7, 32–35. [Google Scholar]
- Prasad, S.; Thenkabail, R.B.S.; De Pauw, E. Evaluation of Narrowband and Broadband Vegetation Indices for Determining Optimal Hyperspectral Wavebands for Agricultural Crop Characterization. Photogramm. Eng. Remote Sens. 2002, 68, 607–622. [Google Scholar]
- Hamzeh, S.; Naseri, A.A.; AlaviPanah, S.K.; Mojaradi, B.; Bartholomeus, H.M.; Clevere, J.G.P.W.; Behzad, M. Estimating salinity stress in sugarcane fields with spaceborne hyperspectral vegetation indices. Int. J. Appl. Earth Obs. Geoinf. 2013, 21, 282–290. [Google Scholar] [CrossRef]
- Xue, Q.; Zhu, Z.; Musick, J.T.; Stewart, B.A.; Dusek, D.A. Root growth and water uptake in winter wheat under deficit irrigation. Plant Soil 2003, 257, 151–161. [Google Scholar] [CrossRef]
- Jha, S.K.; Gao, Y.; Liu, H.; Huang, Z.; Wang, G.; Liang, Y.; Duan, A. Root development and water uptake in winter wheat under different irrigation methods and scheduling for North China. Agric. Water Manag. 2017, 182, 139–150. [Google Scholar] [CrossRef]
- Guo, X.; Sun, X.; Ma, J.; Lei, T.; Zheng, L.; Wang, P. Simulation of the Water Dynamics and Root Water Uptake of Winter Wheat in Irrigation at Different Soil Depths. Water 2018, 10, 1033. [Google Scholar] [CrossRef]











| Indices | Calculation formulas | Application | References |
|---|---|---|---|
| Normalized differential vegetation index (NDVI) | Vegetation coverage and state | [37,38] | |
| Ratio vegetation index (RVI) | Dry leaf biomass (DM), LAI, and chlorophyll content | [39] | |
| Difference vegetation index (DVI) | Vegetation stage | [40] | |
| Enhanced vegetation index (EVI) | Vegetation changes with climate | [41] | |
| Green normalized differential vegetation index (GNDVI) | Vegetation state and water stress | [42] | |
| Modified simple ratio (MSR) | Vegetation stress caused by heavy metal pollutant | [40] | |
| Red-edge normalized differential vegetation index (NDVI705) | Minor changes in leaf canopy and senescence | [43,44] | |
| Modified red-edge simple ratio index (mSR705) | Vegetation low nitrogen stress | [45] | |
| Modified red-edge normalized differential vegetation index (mNDVI705) | Vegetation water stress and the stress caused by heavy metal pollutants | [46] | |
| Plant senescence reflectance index (PSRI) | Vegetation disease, insect stress, water stress, and senescence | [47] |
| Depth | Waveband Regions Selected through PLSR Analysis | |
|---|---|---|
| VIS | NIR | |
| 10 cm | 378–491 | 769–780 |
| 496–555 | 780–810 | |
| 559–570 | 819–832 | |
| 734–753 | 845–865 | |
| 871–927 | ||
| 20 cm | 430–437 | 760–917 |
| 446–474 | ||
| 502–507 | ||
| 511–561 | ||
| 688–760 | ||
| 30 cm | 378–408 | 760–771 |
| 454–487 | 775–812 | |
| 494–529 | 817–830 | |
| 537–609 | 834–871 | |
| 627–660 | 878–880 | |
| 668–675 | 887–1031 | |
| 679–699 | ||
| 703–760 | ||
| 40 cm | 382–408 | 760–773 |
| 457–494 | 778–815 | |
| 498–505 | 819–828 | |
| 677–729 | 832–871 | |
| 734–760 | 876–928 | |
| 937–1007 | ||
| 1011–1031 | ||
| Depth | Wavebands Selected through SMIR Analysis | R2 | p |
|---|---|---|---|
| 10 cm | 863 | 0.322 | 0.014 |
| 863, 441 | 0.612 | 0.004 | |
| 20 cm | 732 | 0.363 | 0.008 |
| 732, 446 | 0.676 | 0.002 | |
| 30 cm | 398 | 0.296 | 0.02 |
| 398, 454 | 0.479 | 0.036 | |
| 398, 454, 760 | 0.765 | 0.001 | |
| 454, 760, 834 | 0.839 | 0.016 | |
| 40 cm | 400 | 0.285 | 0.023 |
| 400, 457 | 0.469 | 0.038 | |
| 400, 457, 743 | 0.728 | 0.003 |
| Depth | Forms | Index | R2 | p |
|---|---|---|---|---|
| 10 cm | NDVI | NDVI(441,863) | 0.78 | 0.0000013 |
| RVI | RVI(441,863) | 0.59 | 0.00019 | |
| DVI | DVI(441,863) | 0.38 | 0.0060 | |
| MSR | MSR(441,863) | 0.68 | 0.000026 | |
| 20 cm | NDVI | NDVI(446,732) | 0.63 | 0.000077 |
| RVI | RVI(446,732) | 0.64 | 0.000060 | |
| DVI | DVI(446,732) | 0.48 | 0.0016 | |
| MSR | MSR(446,732) | 0.66 | 0.000046 | |
| 30 cm | NDVI | NDVI(398,760) | 0.01 | 0.663 |
| NDVI(398,834) | 0.01 | 0.713 | ||
| NDVI(454,760) | 0.69 | 0.000021 | ||
| NDVI(454,834) | 0.66 | 0.000038 | ||
| NDVI(760,834) | 0.07 | 0.283 | ||
| RVI | RVI(760,834) | 0.07 | 0.285 | |
| DVI | DVI(760,834) | 0.17 | 0.085 | |
| MSR | MSR(398,760) | 0.01 | 0.691 | |
| MSR(398,834) | 0.01 | 0.725 | ||
| MSR(454,760) | 0.68 | 0.0000228 | ||
| MSR(454,834) | 0.66 | 0.000040 | ||
| MSR(760,834) | 0.07 | 0.284 | ||
| EVI | EVI(398,760,834) | 0.12 | 0.167 | |
| EVI(454,760,834) | 0.04 | 0.416 | ||
| mNDVI | mNDVI(398,760,834) | 0.08 | 0.245 | |
| mNDVI(454,760,834) | 0.01 | 0.692 | ||
| PSRI | PSRI(398,760,834) | 0.07 | 0.297 | |
| PSRI(454,760,834) | 0.72 | 0.0000095 | ||
| 40 cm | NDVI | NDVI(400,743) | 0.007 | 0.734 |
| NDVI(457,743) | 0.66 | 0.000043 | ||
| RVI | RVI(400,743) | 0.003 | 0.818 | |
| RVI(457,743) | 0.63 | 0.000094 | ||
| DVI | DVI(400,743) | 0.21 | 0.055 | |
| DVI(457,743) | 0.38 | 0.0067 | ||
| EVI | EVI(400,457,743) | 0.58 | 0.00024 | |
| mNDVI | mNDVI(400,457,743) | 0.60 | 0.00016 | |
| PSRI | PSRI(400,457,743) | 0.61 | 0.00013 |
| Depth | SVIs | 2017 | 2018 | 2019 | 2017–2019 | ||||
|---|---|---|---|---|---|---|---|---|---|
| R2 | RMSE (g/L) | R2 | RMSE (g/L) | R2 | RMSE (g/L) | R2 | RMSE (g/L) | ||
| 10 cm | NDVI(441,863) | 0.81 | 0.69 | 0.67 | 0.20 | 0.52 | 0.27 | 0.78 | 0.65 |
| RVI(441,863) | 0.82 | 0.68 | 0.69 | 0.19 | 0.52 | 0.27 | 0.59 | 0.60 | |
| MSR(441,863) | 0.81 | 0.69 | 0.63 | 0.21 | 0.53 | 0.27 | 0.68 | 0.64 | |
| 20 cm | NDVI(446,732) | 0.55 | 0.48 | 0.73 | 0.19 | 0.49 | 0.28 | 0.63 | 0.46 |
| RVI(446,732) | 0.57 | 0.47 | 0.73 | 0.20 | 0.49 | 0.28 | 0.64 | 0.45 | |
| MSR(446,732) | 0.51 | 0.51 | 0.73 | 0.20 | 0.48 | 0.29 | 0.66 | 0.44 | |
| 30 cm | NDVI(454,760) | 0.62 | 0.44 | 0.73 | 0.18 | 0.27 | 0.27 | 0.69 | 0.48 |
| NDVI(454,834) | 0.60 | 0.45 | 0.68 | 0.19 | 0.28 | 0.27 | 0.66 | 0.55 | |
| MSR(454,760) | 0.55 | 0.48 | 0.83 | 0.14 | 0.27 | 0.27 | 0.68 | 0.54 | |
| MSR(454,834) | 0.53 | 0.49 | 0.79 | 0.16 | 0.28 | 0.27 | 0.66 | 0.48 | |
| PSRI(454,760,834) | 0.70 | 0.40 | 0.90 | 0.11 | 0.84 | 0.12 | 0.72 | 0.42 | |
| 40 cm | NDVI(457,743) | 0.65 | 0.30 | 0.44 | 0.20 | 0.82 | 0.14 | 0.66 | 0.34 |
| RVI(457,743) | 0.57 | 0.34 | 0.59 | 0.17 | 0.81 | 0.15 | 0.66 | 0.42 | |
| EVI(400,457,743) | 0.99 | 0.04 | 0.78 | 0.12 | 0.66 | 0.20 | 0.58 | 0.41 | |
| mNDVI(400,457,743) | 0.60 | 0.33 | 0.70 | 0.14 | 0.15 | 0.31 | 0.60 | 0.42 | |
| PSRI(400,457,743) | 0.58 | 0.33 | 0.65 | 0.16 | 0.12 | 0.31 | 0.61 | 0.43 | |
| Depth | SVIs | Equation | R2 | RMSE (g/L) |
|---|---|---|---|---|
| 10 cm | MSR(441,863) | S = 1.0345 ∗ MSR(441,863)2 − 6.528 ∗ MSR(441,863) + 10.855 | 0.79 | 0.62 |
| RVI(441,863) | S = EXP(2.51575 − 0.28424 ∗ RVI(441,863)) | 0.78 | 0.60 | |
| NDVI(441,863) | S = 10.195 ∗ NDVI(441,863)2 − 28.194 ∗ NDVI(441,863) + 17.072 | 0.78 | 0.62 | |
| 20 cm | MSR(446,732) | S = −1.24386 ∗ MSR(446,732) + 3.4805 | 0.66 | 0.44 |
| RVI(446,732) | S = −0.33231 ∗ RVI(446,732) + 3.17042 | 0.64 | 0.45 | |
| NDVI(446,732) | S = −5.52852 ∗ NDVI(446,732) + 5.03529 | 0.63 | 0.46 | |
| 30 cm | PSRI(454,760,834) | S = −48.22928 ∗ PSRI(454,760,834)2 + 61.80144 ∗ PSRI(454,760,834) −17.13968 | 0.81 | 0.36 |
| 40 cm | NDVI(457,743) | S = −6.43761 ∗ NDVI(457,743)2 + 3.76033 ∗ NDVI (457,743) + 1.75232 | 0.68 | 0.37 |
| RVI(457,743) | S = 0.0313 ∗ RVI(457,743)2 − 0.59629 ∗ RVI(457,743) + 3.5534 | 0.68 | 0.36 | |
| EVI(400,457,743) | S = −2.00848 ∗ EVI(400,457,743) + 2.41905 | 0.58 | 0.41 |
Publisher’s Note: MDPI stays neutral with regard to jurisdictional claims in published maps and institutional affiliations. |
© 2021 by the authors. Licensee MDPI, Basel, Switzerland. This article is an open access article distributed under the terms and conditions of the Creative Commons Attribution (CC BY) license (http://creativecommons.org/licenses/by/4.0/).
Share and Cite
Zhu, K.; Sun, Z.; Zhao, F.; Yang, T.; Tian, Z.; Lai, J.; Zhu, W.; Long, B. Relating Hyperspectral Vegetation Indices with Soil Salinity at Different Depths for the Diagnosis of Winter Wheat Salt Stress. Remote Sens. 2021, 13, 250. https://doi.org/10.3390/rs13020250
Zhu K, Sun Z, Zhao F, Yang T, Tian Z, Lai J, Zhu W, Long B. Relating Hyperspectral Vegetation Indices with Soil Salinity at Different Depths for the Diagnosis of Winter Wheat Salt Stress. Remote Sensing. 2021; 13(2):250. https://doi.org/10.3390/rs13020250
Chicago/Turabian StyleZhu, Kangying, Zhigang Sun, Fenghua Zhao, Ting Yang, Zhenrong Tian, Jianbin Lai, Wanxue Zhu, and Buju Long. 2021. "Relating Hyperspectral Vegetation Indices with Soil Salinity at Different Depths for the Diagnosis of Winter Wheat Salt Stress" Remote Sensing 13, no. 2: 250. https://doi.org/10.3390/rs13020250
APA StyleZhu, K., Sun, Z., Zhao, F., Yang, T., Tian, Z., Lai, J., Zhu, W., & Long, B. (2021). Relating Hyperspectral Vegetation Indices with Soil Salinity at Different Depths for the Diagnosis of Winter Wheat Salt Stress. Remote Sensing, 13(2), 250. https://doi.org/10.3390/rs13020250

