Predicting Maize Yield at the Plot Scale of Different Fertilizer Systems by Multi-Source Data and Machine Learning Methods
Abstract
:1. Introduction
2. Material and Methods
2.1. Study Area
2.2. Satellite Images
2.3. Soil Data and Fertilizer Data
2.4. Climate Data
2.5. Machine-Learning Methods for Estimating Crop Yield
2.5.1. Linear Regression (LR)
2.5.2. Support Vector Machine (SVM)
2.5.3. Gaussian Process Regression (GPR)
2.5.4. KNN
2.5.5. Adaptive Boost (AB)
2.5.6. Random Forests (RF)
2.6. Model Evaluation
3. Results
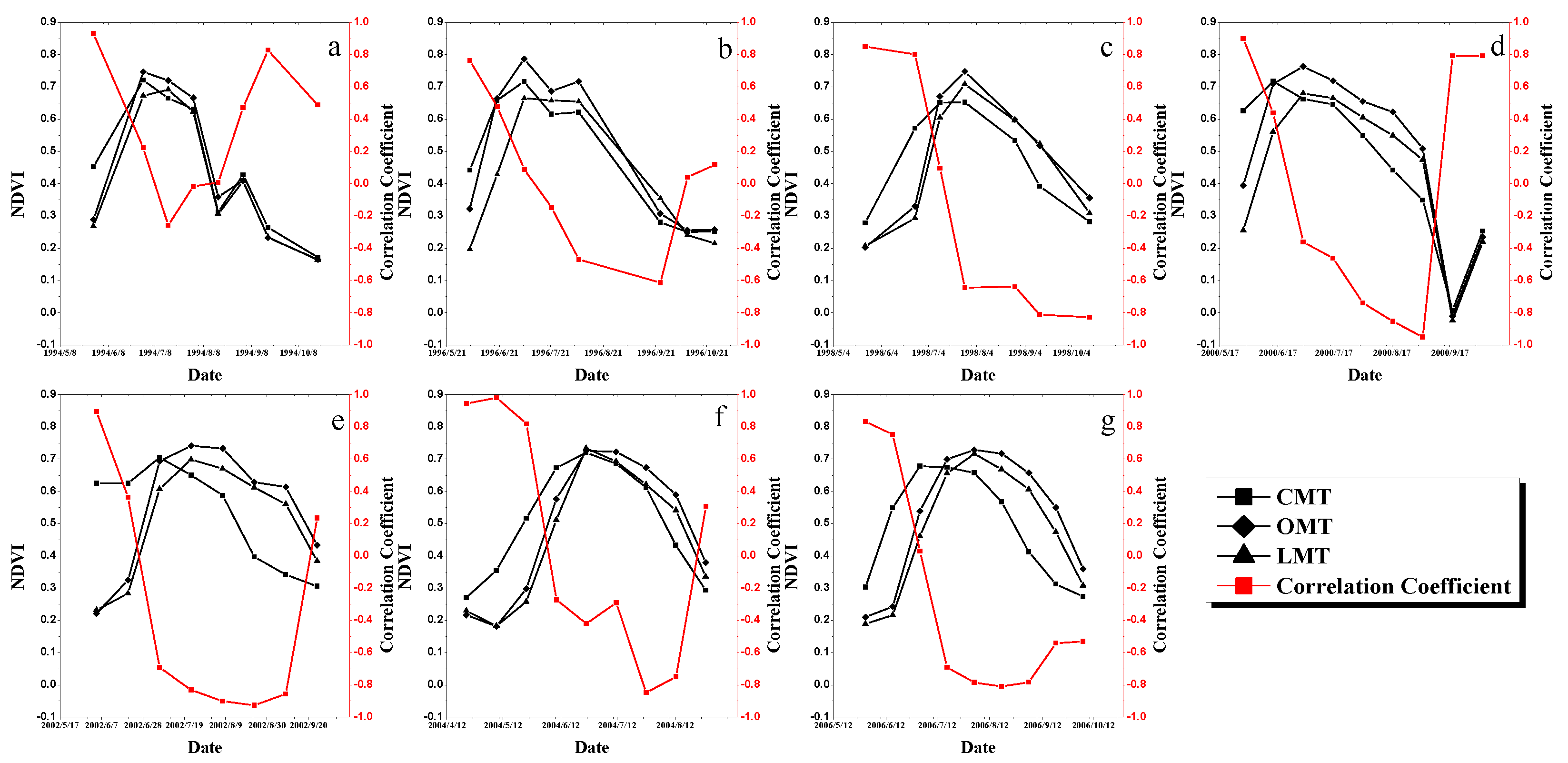
3.1. The Key Time Selected for Vis from Correlation Coefficients between Yield and NDVI
3.2. Fertilizer Factor Analysis between Yield and Fertilizer during 1994–2006
3.3. The Performances of Multi-Models for Predicting Maize Yield
3.4. Comparison of Forecast Errors in Different Crop Systems
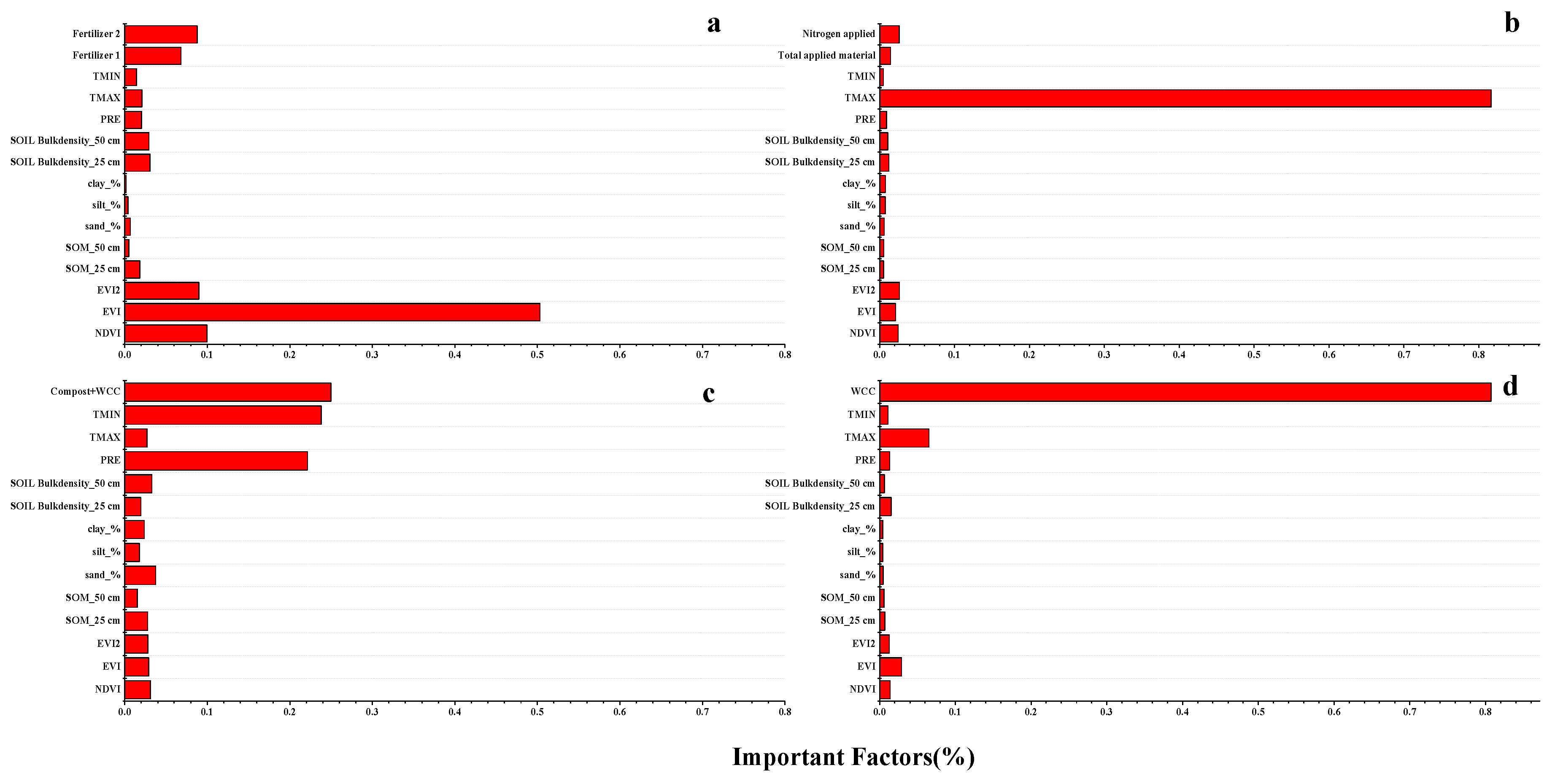
3.5. The Important Factors for Maize Yield Prediction in RRSAF
4. Discussion
4.1. Comparing the Performances of ML Models in Predicting Maize Yield
4.2. Model Performance for Different Systems and Feature Importance in Yield Prediction
4.3. Uncertainties in the Study
5. Conclusions
Author Contributions
Funding
Conflicts of Interest
Appendix A
| Input Data 1 | Input Data 2 | Out Data | |||
| All Data | CMT | LMT | OMT | Measured Yield | Predicted Yield |
| NDVI | NDVI | NDVI | NDVI | ||
| EVI | EVI | EVI | EVI | ||
| EVI2 | EVI2 | EVI2 | EVI2 | ||
| SOM_25 | SOM_25 | SOM_25 | SOM_25 | ||
| SOM_50 | SOM_50 | SOM_50 | SOM_50 | ||
| sand_% | sand_% | sand_% | sand_% | ||
| silt_% | silt_% | silt_% | silt_% | ||
| clay_% | clay_% | clay_% | clay_% | ||
| SOIL Bulkdensity_25 | SOIL Bulkdensity_25 | SOIL Bulkdensity_25 | SOIL Bulkdensity_25 | ||
| SOIL Bulkdensity_50 | SOIL Bulkdensity_50 | SOIL Bulkdensity_50 | SOIL Bulkdensity_50 | ||
| Precipition | Precipition | Precipition | Precipition | ||
| Tmax | Tmax | Tmax | Tmax | ||
| Tmin | Tmin | Tmin | Tmin | ||
| Fertilizer 1: for total applied material+ WCC + Compost | Total applied material | WCC | WCC + Compost | ||
| Fertilizer 2: WCC + Compost | Nitrogen | ||||
References
- Cole, M.B.; Augustin, M.A.; Robertson, M.; Manners, J.M. The science of food security. NPJ Sci. Food 2018, 2, 1–8. [Google Scholar] [CrossRef]
- Lambert, M.J.; Traoré, P.C.S.; Blaes, X.; Baret, P.; Defourny, P. Estimating smallholder crops production at village level from Sentinel-2 time series in Mali’s cotton belt. Remote. Sens. Environ. 2018, 216, 647–657. [Google Scholar] [CrossRef]
- Azzari, G.; Jain, M.; Lobell, D. Towards fine resolution global maps of crop yields: Testing multiple methods and satellites in three countries. Remote. Sens. Environ. 2017, 202, 129–141. [Google Scholar] [CrossRef]
- Meng, L.; Liu, H.; Zhang, X.; Ren, C.; Ustin, S.; Qiu, Z.; Xu, M.; Guo, D. Assessment of the effectiveness of spatiotemporal fusion of multi-source satellite images for cotton yield estimation. Comput. Electron. Agric. 2019, 162, 44–52. [Google Scholar] [CrossRef]
- Johnson, D.M. An assessment of pre- and within-season remotely sensed variables for forecasting corn and soybean yields in the United States. Remote. Sens. Environ. 2014, 141, 116–128. [Google Scholar] [CrossRef]
- Liu, H.; Meng, L.; Zhang, X.; Susan, U.; Ning, D.; Sun, S. Estimation model of cotton yield with time series Landsat images. Trans. Chin. Soc. Agric. Eng. 2015, 31, 215–220. [Google Scholar]
- Pede, T.; Mountrakis, G.; Shaw, S.B. Improving corn yield prediction across the US Corn Belt by replacing air temperature with daily MODIS land surface temperature. Agric. For. Meteorol. 2019, 276, 107615. [Google Scholar] [CrossRef]
- Chen, Y.; Zhang, Z.; Tao, F.; Wang, P.; Wei, X. Spatio-Temporal patterns of winter wheat yield potential and yield gap during the past three decades in North China. Field Crop. Res. 2017, 206, 11–20. [Google Scholar] [CrossRef]
- Zhang, Z.; Song, X.; Tao, F.; Zhang, S.; Shi, W. Climate trends and crop production in China at county scale, 1980 to 2008. Theor. Appl. Clim. 2015, 123, 291–302. [Google Scholar] [CrossRef]
- Cao, J.; Zhang, Z.; Tao, F.; Zhang, L.; Luo, Y.; Han, J.; Li, Z. Identifying the Contributions of Multi-Source Data for Winter Wheat Yield Prediction in China. Remote. Sens. 2020, 12, 750. [Google Scholar] [CrossRef] [Green Version]
- Mueller, N.D.; Gerber, J.; Johnston, M.; Ray, D.; Ramankutty, N.; Foley, J.A. Closing yield gaps through nutrient and water management. Nature 2012, 490, 254–257. [Google Scholar] [CrossRef] [PubMed]
- Huanjun, L.; Danqian, W.; Linghua, M.; Ustin, S.; Yang, C.; Haoxuan, Y.; Xinle, Z. Remote sensing recognition method of different fertilization methods in NDVI time series. Trans. Chin. Soc. Agric. Eng. 2019, 35, 162–168. [Google Scholar]
- Lee, J.H.; Shin, J.; Realff, M.J. Machine learning: Overview of the recent progresses and implications for the process systems engineering field. Comput. Chem. Eng. 2018, 114, 111–121. [Google Scholar] [CrossRef]
- Sharma, N.; Sharma, R.; Jindal, N. Machine Learning and Deep Learning Applications-A Vision. Glob. Transit. Proc. 2021, 2, 24–28. [Google Scholar] [CrossRef]
- Nawar, S.; Buddenbaum, H.; Hill, J.; Kozak, J.; Mouazen, A.M. Estimating the soil clay content and organic matter by means of different calibration methods of vis-NIR diffuse reflectance spectroscopy. Soil Tillage Res. 2016, 155, 510–522. [Google Scholar] [CrossRef] [Green Version]
- Knox, N.M.; Grunwald, S.; McDowell, M.L.; Bruland, G.L.; Myers, D.B.; Harris, W.G. Modelling soil carbon fractions with visible near-infrared (VNIR) and mid-infrared (MIR) spectroscopy. Geoderma 2015, 239, 229–239. [Google Scholar] [CrossRef]
- Rossel, R.; Behrens, T. Using data mining to model and interpret soil diffuse reflectance spectra. Geoderma 2010, 158, 46–54. [Google Scholar] [CrossRef]
- Hunt, M.L.; Blackburn, G.A.; Carrasco, L.; Redhead, J.W.; Rowland, C.S. High resolution wheat yield mapping using Sentinel-2. Remote. Sens. Environ. 2019, 233, 111410. [Google Scholar] [CrossRef]
- Cai, Y.; Guan, K.; Lobell, D.; Potgieter, A.; Wang, S.; Peng, J.; Xu, T.; Asseng, S.; Zhang, Y.; You, L.; et al. Integrating satellite and climate data to predict wheat yield in Australia using machine learning approaches. Agric. For. Meteorol. 2019, 274, 144–159. [Google Scholar] [CrossRef]
- Denison, R.F.; Bryant, D.C.; Kearney, T.E. Crop yields over the first nine years of LTRAS, a long-term comparison of field crop systems in a Mediterranean climate. Field Crop. Res. 2004, 86, 267–277. [Google Scholar] [CrossRef]
- Wolf, K.M.; Torbert, E.E.; Bryant, D.; Burger, M.; Denison, R.F.; Herrera, I.; Hopmans, J.; Horwath, W.; Kaffka, S.; Kong, A.Y.Y.; et al. The century experiment: The first twenty years of UC Davis’ Mediterranean agroecological experiment. Ecology 2018, 99, 503. [Google Scholar] [CrossRef] [PubMed]
- Fortes Gallego, R.; Prieto Losada MD, H.; García Martín, A.; Córdoba Pérez, A.; Martínez, L.; Campillo Torres, C. Using NDVI and guided sampling to develop yield prediction maps of processing tomato crop. Span. J. Agric. Res. 2015, 13. [Google Scholar] [CrossRef] [Green Version]
- Corani, G.; Benavoli, A. A Bayesian approach for comparing cross-validated algorithms on multiple data sets. Mach. Learn. 2015, 100, 285–304. [Google Scholar] [CrossRef] [Green Version]
- Alberto, G.S.; Juan, F.S.; Waldo, O.B. Attribute Selection Impact on Linear and Nonlinear Regression Models for Crop Yield Prediction. Sci. World J. 2014, 2014, 1–10. [Google Scholar]
- Middleton, M.; Närhi, P.; Arkimaa, H.; Hyvönen, E.; Kuosmanen, V.; Treitz, P.; Sutinen, R. Ordination and hyperspectral remote sensing approach to classify peatland biotopes along soil moisture and fertility gradients. Remote. Sens. Environ. 2012, 124, 596–609. [Google Scholar] [CrossRef]
- Nguyen-Tuong, D.; Seeger, M.; Peters, J. Model Learning with Local Gaussian Process Regression. Adv. Robot. 2009, 23, 2015–2034. [Google Scholar] [CrossRef] [Green Version]
- Appelhans, T.; Mwangomo, E.; Hardy, D.R.; Hemp, A.; Nauss, T. Evaluating machine learning approaches for the interpolation of monthly air temperature at Mt. Kilimanjaro, Tanzania. Spat. Stat. 2015, 14, 91–113. [Google Scholar] [CrossRef] [Green Version]
- Liu, Y.; Yang, G.; Li, S. Application of BP-AdaBoost model in temperature compensation for fiber optic gyroscope bias. Beijing Univ. Aeronaut. Astronaut. 2014, 40, 235–239. [Google Scholar]
- Strobl, C.; Boulesteix, A.-L.; Zeileis, A.; Hothorn, T. Bias in random forest variable importance measures: Illustrations, sources and a solution. BMC Bioinform. 2007, 8, 25. [Google Scholar] [CrossRef] [Green Version]
- Arlot, S.; Celisse, A. A survey of cross-validation procedures for model selection. Stat. Surv. 2010, 4, 40–79. [Google Scholar] [CrossRef]
- Bolton, D.K.; Friedl, M.A. Forecasting crop yield using remotely sensed vegetation indices and crop phenology metrics. Agric. For. Meteorol. 2013, 173, 74–84. [Google Scholar] [CrossRef]
- Han, J.; Zhang, Z.; Cao, J.; Luo, Y.; Zhang, L.; Li, Z.; Zhang, J. Prediction of Winter Wheat Yield Based on Multi-Source Data and Machine Learning in China. Remote. Sens. 2020, 12, 236. [Google Scholar] [CrossRef] [Green Version]
- Saeed, U.; Dempewolf, J.; Becker-Reshef, I.; Khan, A.; Ahmad, A.; Wajid, S.A. Forecasting wheat yield from weather data and MODIS NDVI using Random Forests for Punjab province, Pakistan. Int. J. Remote. Sens. 2017, 38, 4831–4854. [Google Scholar] [CrossRef]
- Guan, K.; Wu, J.; Kimball, J.S.; Anderson, M.C.; Frolking, S.; Li, B.; Hain, C.R.; Lobell, D. The shared and unique values of optical, fluorescence, thermal and microwave satellite data for estimating large-scale crop yields. Remote. Sens. Environ. 2017, 199, 333–349. [Google Scholar] [CrossRef] [Green Version]
- Kasampalis, D.A.; Alexandridis, T.K.; Deva, C.; Challinor, A.; Moshou, D.; Zalidis, G. Contribution of Remote Sensing on Crop Models: A Review. J. Imaging 2018, 4, 52. [Google Scholar] [CrossRef] [Green Version]







| Year | Dates | Numbers | Sensors |
|---|---|---|---|
| 1994 | 4/28, 5/30, 7/1, 7/17, 8/2, 8/18, 9/3, 9/19, 10/21 | 9 | Landsat TM 5 |
| 1995 | 5/1, 5/17, 6/18, 7/4, 7/20, 8/5, 8/21, 9/6, 9/22, 10/08, 10/24 | 11 | |
| 1996 | 6/4, 6/20, 7/6, 7/22, 8/7, 9/24, 10/10, 10/26 | 8 | |
| 1997 | 5/6, 6/7, 6/23, 7/9, 7/25, 9/11, 9/27, 10/13 | 8 | |
| 1998 | 5/25, 6/26, 7/12, 7/28, 8/29, 9/14, 10/16 | 7 | |
| 1999 | 5/28, 6/13, 6/29, 7/31, 8/16, 9/17, 10/3, 10/19 | 8 | |
| 2000 | 5/30, 6/15, 7/1, 7/17, 8/2, 8/18, 9/3, 9/19, 10/5 | 9 | |
| 2001 | 5/1, 6/2, 6/18, 8/5, 8/21, 9/6, 10/24 | 7 | |
| 2002 | 6/5, 6/21, 7/7, 7/23, 8/8, 8/24, 9/9, 9/25, 10/11 | 9 | |
| 2003 | 5/23, 6/8, 6/24, 7/10, 7/26, 8/11, 8/27, 9/12, 10/14 | 10 | |
| 2004 | 5/9, 5/25, 6/10, 6/26, 7/12, 7/28, 8/13, 8/29, 9/14 | 9 | |
| 2005 | 5/12, 6/13, 6/29, 7/15, 7/31, 8/16, 9/1, 9/17, 10/3, | 9 | |
| 2006 | 6/16, 7/2, 7/18, 8/3, 8/19, 9/4, 9/20, 10/6, 10/22 | 9 | |
| 2007 | 5/18, 6/3, 6/19, 7/5, 7/21, 8/22, 9/7 | 7 |
Publisher’s Note: MDPI stays neutral with regard to jurisdictional claims in published maps and institutional affiliations. |
© 2021 by the authors. Licensee MDPI, Basel, Switzerland. This article is an open access article distributed under the terms and conditions of the Creative Commons Attribution (CC BY) license (https://creativecommons.org/licenses/by/4.0/).
Share and Cite
Meng, L.; Liu, H.; L. Ustin, S.; Zhang, X. Predicting Maize Yield at the Plot Scale of Different Fertilizer Systems by Multi-Source Data and Machine Learning Methods. Remote Sens. 2021, 13, 3760. https://doi.org/10.3390/rs13183760
Meng L, Liu H, L. Ustin S, Zhang X. Predicting Maize Yield at the Plot Scale of Different Fertilizer Systems by Multi-Source Data and Machine Learning Methods. Remote Sensing. 2021; 13(18):3760. https://doi.org/10.3390/rs13183760
Chicago/Turabian StyleMeng, Linghua, Huanjun Liu, Susan L. Ustin, and Xinle Zhang. 2021. "Predicting Maize Yield at the Plot Scale of Different Fertilizer Systems by Multi-Source Data and Machine Learning Methods" Remote Sensing 13, no. 18: 3760. https://doi.org/10.3390/rs13183760
APA StyleMeng, L., Liu, H., L. Ustin, S., & Zhang, X. (2021). Predicting Maize Yield at the Plot Scale of Different Fertilizer Systems by Multi-Source Data and Machine Learning Methods. Remote Sensing, 13(18), 3760. https://doi.org/10.3390/rs13183760

