Next Article in Journal
Time-Domain Multidimensional Deconvolution: A Physically Reliable and Stable Preconditioned Implementation
Previous Article in Journal
Emerging Sensor Platforms Allow for Seagrass Extent Mapping in a Turbid Estuary and from the Meadow to Ecosystem Scale
 
 
Font Type:
Arial Georgia Verdana
Font Size:
Aa Aa Aa
Line Spacing:
Column Width:
Background:
Article

Evaluating the Spectral Response and Yield of Soybean Following Exposure to Sublethal Rates of 2,4-D and Dicamba at Vegetative and Reproductive Growth Stages

1
Division of Plant Sciences, University of Missouri, Columbia, MO 65211, USA
2
Agricultural Systems Technology, University of Missouri, Columbia, MO 65211, USA
*
Author to whom correspondence should be addressed.
Remote Sens. 2021, 13(18), 3682; https://doi.org/10.3390/rs13183682
Submission received: 27 June 2021 / Revised: 27 August 2021 / Accepted: 9 September 2021 / Published: 15 September 2021

Abstract

:
The commercialization of synthetic auxin-resistant crops and the commensurate increase in post-emergent auxin-mimic herbicide applications has resulted in millions of hectares of injury to sensitive soybeans in the United States since 2016. Visual yield loss estimations following auxin injury can be difficult. The goal of this research was to determine if spectral variations following auxin injury to soybean allow for more precise yield loss estimations. Identical field experiments were performed in 2018, 2019, and 2020 in Columbia, Missouri to compare the ability of established vegetative indices to differentiate between exposure levels of 2,4-D and dicamba in soybean and predict yield loss. Soybeans were planted at three timings for growth stage separation and were exposed to sublethal rates of 2,4-D and dicamba at the R2, R1, and V3 growth stages. A UAV-mounted multispectral sensor was flown over the trial 14 days after the herbicide treatments. The results of this research found that vegetative indices incorporating the red-edge wavelength were more consistent in estimating yield loss than indices comprised of only visible or NIR wavelengths. Yield loss estimations became difficult when soybean injury occurred during later reproductive stages when soybean biomass was increased. This research also determined that when injury occurs to soybean in vegetative growth stages late in the growing season there is a greater likelihood for yield loss to occur due to decreased time for recovery. The results of this research could provide direction for more objective and accurate evaluations of yield loss following synthetic auxin injury than what is currently available.

1. Introduction

Currently, there are 521 unique cases of herbicide resistance across 263 separate weed species globally and weeds have evolved resistance to 23 of the 26 currently known herbicide modes of action [1]. The continuing spread of herbicide-resistant weed species is one of the most significant problems for soybean producers in the United States [2]. The discovery of novel herbicide modes of action has been stagnant for over twenty years, resulting in fewer herbicide options for the control of these problematic weeds [3]. To increase the number of effective herbicide options, recent development efforts have been directed towards the discovery of new uses for currently registered herbicides [4]. For example, recent trait insertions in soybean have allowed for resistance to the auxin-mimic herbicides 2,4-D and dicamba [5,6]. For the first time, these trait insertions have allowed for high level tolerance to post-emergent applications of these herbicides in cotton and soybean. This technology provides a new option for producers to control some of the most common herbicide-resistant weed species that occur in U.S. agriculture such as waterhemp (Amaranthus tuberculatus (Moq.) J.D Sauer), Palmer amaranth (Amaranthus palmeri S. Watson), and horseweed (Conyza canadensis (L.) Cronq) [1]. Although the development of these technologies has provided cotton and soybean producers with new, effective herbicide options, it has not come without negative consequences.
In the first few years following the commercialization of dicamba-resistant soybean (in 2016), thousands of off-target dicamba injury complaints were reported to state departments of agriculture throughout the Midwest and Mid-South regions of the United States. Researchers estimated these complaints represented millions of hectares of injury to sensitive plant species [7,8]. It was well known prior to the release of the dicamba-resistant trait that many plants, including soybean, are highly sensitive to exceptionally low rates of dicamba [9]. For example, Solomon and Bradley [10] observed visible signs of dicamba injury when soybeans were exposed to only 1/20,000th of the normal field use rate of this herbicide. Although some plant species such as grapes, cotton and walnut trees are more sensitive to 2,4-D than dicamba [11,12], soybeans are much more sensitive to dicamba than 2,4-D. Andersen et al. (2004) observed 85% soybean injury in response to an applications of 0.056 kg ha−1, while this same rate of 2,4-D resulted in only 20% visual injury. Additionally, in a detailed comparison of the sensitivity of soybean to eight different auxin-mimic herbicides, Solomon and Bradley [10] reported that 2,4-D was among the herbicides that soybeans were least sensitive to while dicamba was among the herbicides to which soybeans were most sensitive.
When s are exposed to either 2,4-D or dicamba at injurious, but sublethal rates, there are distinct symptoms of injury that can be observed on the stems and foliage. Dicamba-injured soybean express a recognizable leaf cupping (Figure 1a) while 2,4-D-injured soybean express a leaf strapping symptomology (Figure 1b) which can be identified by parallel venation on the soybean leaf surface [13]. In most instances, trained agronomists, crop consultants, and weed scientists are able to readily differentiate the two types of symptomologies. However, it is much more difficult to make yield loss estimations based on those visible injury symptoms. For example, Solomon and Bradley [10] reported that a sublethal dose of dicamba resulted in 43% visual soybean injury and this corresponded to a 5% yield loss, while Soltani et al. [14] reported that 27% visual soybean injury corresponded to the same loss in yield. There are many examples of these types of discrepancies throughout the literature and this is likely due to the high degree of subjectivity involved with visual injury ratings [15]. A general consensus, however, is that yield loss to soybean following injury from 2,4-D and dicamba is highly dependent on the rate of herbicide to which soybeans were exposed and the growth stage of the soybean at the time of exposure. For example, in a meta-analysis conducted by Kniss [9], the rate of dicamba required to cause a 5% yield loss was between 1.6 to 97 g ae (acid equivalent) ha−1 if the exposure occurred when soybeans were in the vegetative growth stages, and between 0.1 to 14 g ae ha−1 when soybeans were in the reproductive growth stages. While it is often possible to determine the growth stage of the soybean at the time of herbicide exposure, in nearly all situations involving off-target movement of herbicides, the rate of herbicide to which soybeans were exposed is unknown.
Remotely piloted aircraft (RPA), also commonly known as drones and unmanned aerial vehicles (UAV)-mounted sensors are a more objective and potentially reliable evaluator of phenotypic variations in soybean than human visual injury assessments (Duddu et al. 2019). The utility and popularity of remote sensing instruments such as UAV’s in agriculture is rapidly expanding [16]. Currently, these instruments have various applications: determining crop stand density; identifying weed, disease, and insect pressure; estimating nitrogen content; predicting yield; and more [17,18,19,20]. Many of these same assessments can be tedious, time-consuming, and subjective when performed by manual human evaluations [21]. Over time, researchers correlated changes in plant spectral reflectance to variations in specific plant characteristics including leaf area index, chlorophyll content, and biomass reductions. Additionally, and perhaps the most important, plant spectral reflectance can be an indicator of yield or potential yield loss. When using remote sensing instruments for crop assessments, it is common to utilize a vegetative index (VI) to enhance the vegetative signal and minimize interference from the soil and solar irradiance [22]. Each developed VI consists of a combination of various spectral wavelengths and are related to specific phenotypic parameters [23]. For example, the very first vegetative index developed, the near infrared (NIR) ratio (NIR/RED), was found to have a strong relationship with leaf area index [24]. This VI evolved into what is currently known as the most popular VI, the normalized differential vegetative index or NDVI = NIR − RED/NIR + RED). The popularity of this VI is mostly attributed to its high sensitivity to LAI at early growth stages as well as its high correlation with crop yield [25]. However, other research has shown that NDVI values might saturate at higher crop canopy reflectance values, and also that NDVI values can be influenced by differences in soil color [26,27,28]. Consequently, new VIs have been developed. A similar index known as the green normalized differential index (GNDVI = (NIR − GREEN)/(NIR + GREEN)) has been shown to have a higher sensitivity to LAI fluctuations in comparison to NDVI [28,29]. Additionally, the normalized difference red-edge index (NDRE = (NIR − RedEdge)/(NIR + RedEdge)), is a VI that utilizes the red-edge spectral region and has been found to outperform NDVI in correlations with LAI and biomass [30,31]. Lastly, other VIs such as the Visible Atmospherically Resistant Index (VARI = Green − Red/Green + Red − Blue) only utilize wavelengths from the visible spectrum, and have provided highly accurate canopy measurements in crops such as sugar beet [32]. Using VIs comprised of only the RGB wavelength would reduce the need to utilize sensors that collect data from the NIR spectra, which reduces the cost and complexity for end users. Currently, we are unaware of any comparison of VIs that consist of combinations of RGB, NIR and red-edge spectrums following injury from dicamba and 2,4-D.
Previous research has shown that UAV-mounted multispectral sensors can detect and measure herbicide exposures to sensitive crops [33,34,35,36,37]. For example, Huang et al. [38] reported a strong relationship of cotton NDVI reflectance to yield following exposure to glyphosate. Many of the symptoms associated with dicamba and 2,4-D injury including reduced LAI, grayish leaf margins, reductions in biomass, and delayed canopy closure were reported as identifiable characteristics with remote sensing instruments [39,40,41,42]. Abrantes et al. [43] found high correlations of yield to spectral reflectance following dicamba and 2,4-D injury (R2 > 0.9) using VIs composed of only the RGB spectra. However, this study did not evaluate injury from rates less than 1% of the normal field use rate which occur frequently due to vapor movement of these herbicides. Zhang et al. [44] did evaluate VIs comprised of the NIR spectra to differentiate dicamba injury on soybeans, but also neglected to test exposure levels associated with vapor movement (<1% of 1× rate). Additionally, neither study considered the influence of soybean growth stage on yield predictability. These studies did find that the optimal timing for most accurate yield loss prediction was approximately 14 days after exposure [43,44].
The first objective of this research was to determine the effects of sublethal rates of 2,4-D and dicamba on yield loss when this exposure occurred simultaneously to soybeans that were in the V3, R1, and R2 growth stage. Secondly, this research was conducted to determine the ability of previously established VIs to differentiate between exposure levels of 2,4-D and dicamba, and the final objective was to compare the ability of these VIs to predict end-of-season yield loss following this injury.

2. Materials and Methods

2.1. Plot Layout and Experimental Design

An identical field experiment was conducted at the University of Missouri Bradford Research Center in Columbia, Missouri in 2018, 2019, and 2020. The soil type was a Mexico silt loam and soil pH ranged from 6.0 to 6.4 across the three years of the study. The experiment was arranged as a randomized complete block design with 5 replications. In order to make the herbicide injury application occur at a single point in time during the season but to soybeans that were in distinct stages of growth, soybeans were planted at three separate timings each year. Attempts were made to space the plantings approximately four weeks apart, but in some cases wet soil conditions required more time to elapse between plantings. Glufosinate-resistant soybeans that were sensitive to both dicamba and 2,4-D (Beck’s 424L, Beck’s Hybrid’s, Atlanta, IN, USA) were planted at 296,400 seeds ha−1 into a conventionally-tilled seedbed prepared with the use of a field cultivator. Plots measured 7.6 by 6.1 m and were comprised of 8 soybean rows spaced 76 cm apart. Plots were maintained weed free throughout the season by applying a pre-emergent herbicide consisting of S-metolachlor + metribuzin (Boundary® Herbicide, Syngenta, Greensboro, NC, USA) to suppress weed emergence. Supplementary weed control of emerged weeds was achieved by applying glufosinate at 0.6 kg ae ha−1 (Liberty®, BASF Corporation, Research Triangle Park, NC, USA) and also through hand weeding when necessary. Once soybeans from the first, second, and third planting timings reached the growth stages R2 (reproductive stage two, open flower present on uppermost two nodes), R1 (reproductive stage one, open flower present on any node), and V3 (vegetative stage three, 3 exposed trifoliates), respectively, the herbicide injury treatments were applied. The herbicide injury treatments consisted of three rates of either 2,4-D or dicamba. The 2,4-D formulation used in these experiments was the choline salt (Enlist One®, Corteva Agriscience, Indianapolis, IN, USA) and the rates applied represented 1/100th, 1/10th, and 1/2 of the normal field use rate of 1070 g ae ha−1. For dicamba, the DGA plus VaporGrip® formulation was utilized (Xtendimax® with VaporGrip, Bayer CropScience, St. Louis, MO, USA) and the rates of dicamba applied represented 1/1000th, 1/100th, and 1/10th the normal field use rate of 560 g ae ha−1. The inconsistency between the rates applied for 2,4-D compared to dicamba is a result of the inherent differences in soybean sensitivity to each of these herbicides, as previously discussed [45]. All herbicide treatments were applied using a CO2-pressurized backpack sprayer calibrated to deliver 140 L ha−1 at 124 kpa using Turbo TeeJet Induction 11,002 nozzles (TeeJet Technologies, Wheaton, IL, USA). Grain yield was measured at the end of the season by harvesting the innermost two soybean rows from both four rows of each plot. This was accomplished using a small plot research combine (Kincaid®, Haven, KS, USA) and moisture was adjusted to 13%.

2.2. Drone Image Acquisition

Spectral data was acquired using a multirotor quadcopter UAV (DJI Matrice 600 Pro, Shenzhen, Guangdong, China) equipped with a five-band narrow band camera (Micasense M+, Seattle, WA, USA). The UAV was programmed to fly the entire trial autonomously at 1.7 m s−1 at 25 m above ground level (Figure 2). Images were captured from nadir (48° × 37°) view and maintained 80% side and front overlap for each flight. Pixel size equaled 5.2 cm and shutter capture speed equaled 1 s for all bands. The 5 bands of data that were collected included blue (475 nm center, 32 nm bandwidth), green (560 nm center, 27 nm bandwidth), red (668 center, 14 nm bandwidth), red-edge (717 nm center, 12 nm bandwidth) and near-infrared (NIR, 842 nm center, 57 nm bandwidth). Flyovers occurred 7, 14 and 28 days following the herbicide injury application in each season. Data analysis for 7 and 28 days is not included as results were inconclusive (R2 < 0.1; data not shown). The reason that no differences and/or clear relationships were observed 7 days after the herbicide injury application is likely due to the fact that visible symptoms of 2,4-D or dicamba injury do not generally appear on soybeans until approximately 14 days after exposure. Additionally, due to the nature of the timeframe during the season when the experiment was conducted, by 28 days after the herbicide injury treatments, uninjured soybean plants were transitioning to senescence which caused reduction in infrared light reflectance. Dicamba and 2,4-D injury are known to delay maturity in soybeans [10] and this caused VI values to be higher in the injured plots than the non-injured plots by 28 days after the which is not representative of the visual symptomology at this timing. Therefore, this data is not presented, and this result should be taken in consideration for future studies.

2.3. Drone Image Processing and Data Extraction

The UAV flyover produced ~350 images. Pix4D mapper Pro (Pix4D SA, Lausanne, Switzerland) was utilized to align images into composite 16-bit TIF images. The default processing option Ag Multispectral was used for producing geo-referenced orthomosaics. The option of producing GeoTiff files with merged tiles was selected. This program processes images in 4 steps: (1) identification of overlapping points and georectification, (2) point cloud densification and generation of mesh, (3) generation of digital surface model (DSM) and orthomosaic of images, and (4) production of reflectance maps and VI calculation. Radiometric calibration was performed from image EXIF data accounting for solar irradiance, camera properties, and sun angle. Reflectance targets were utilized for consistency. Four VIs were calculated from data collected from the 5 bands including normalized difference vegetation index (NDVI), green NDVI (GNDVI), normalized different red-edge (NDRE), and Visual Atmospheric Reflectance Index (VARI), which are defined as Equations (1)–(4).
Equations:
NDVI = NIR RED NIR + RED
GNDVI = NIR GREEN NIR + GREEN
NDRE = NIR RED   EDGE NIR + RED   EDGE
VARI = GREEN RED GREEN + RED BLUe
Each of these indices have been utilized in previous studies to evaluate phenology of plants including structure, color, biomass, or grain yield [46,47,48,49]. TIF files were uploaded to QGIS (QGIS Geographic Information System, Open-Source Geospatial Foundation Project) for pixel data extraction. Two polygon shapefiles measuring 3 m2 were produced to extract pixel value data from the center two rows of each four-row half plot (1.5-by 4.5 m). Each polygon shapefile included approximately 22,000 pixels. The zonal statistics plugin was used to read pixel values and the mean value of each VI for each polygon was recorded.

2.4. Statistical Analysis

Soybean grain yield was subject to ANOVA in SAS (version 9.4, SAS® Institute Inc, Cary, NC, USA) using the PROC GLIMMIX procedure. This analysis evaluated the response of soybean to the various rates of 2,4-D and dicamba at different growth stages. Growth stages were analyzed separately and years were combined and considered a random effect. VI response 14 days after the herbicide injury application was also subject to ANOVA using the PROC GLIMMIX procedure to determine the ability of each VI to identify distinctions between the herbicide rates tested in the study. Each VI was analyzed separately and growth stages were also kept separate. Years were combined and were considered a random effect. The final analysis used linear regression models to evaluate relationships of yield reduction and reduction in VI values compared to the non-treated plots to determine yield loss prediction model efficacy. This analysis was performed using PROC REG in SAS. A comparison of R2 values was used to evaluate accuracy of the models. Models were considered significant at p-values less than 0.05.

3. Results

3.1. Soybean Yield Response following Sublethal 2,4-D and Dicamba Exposure

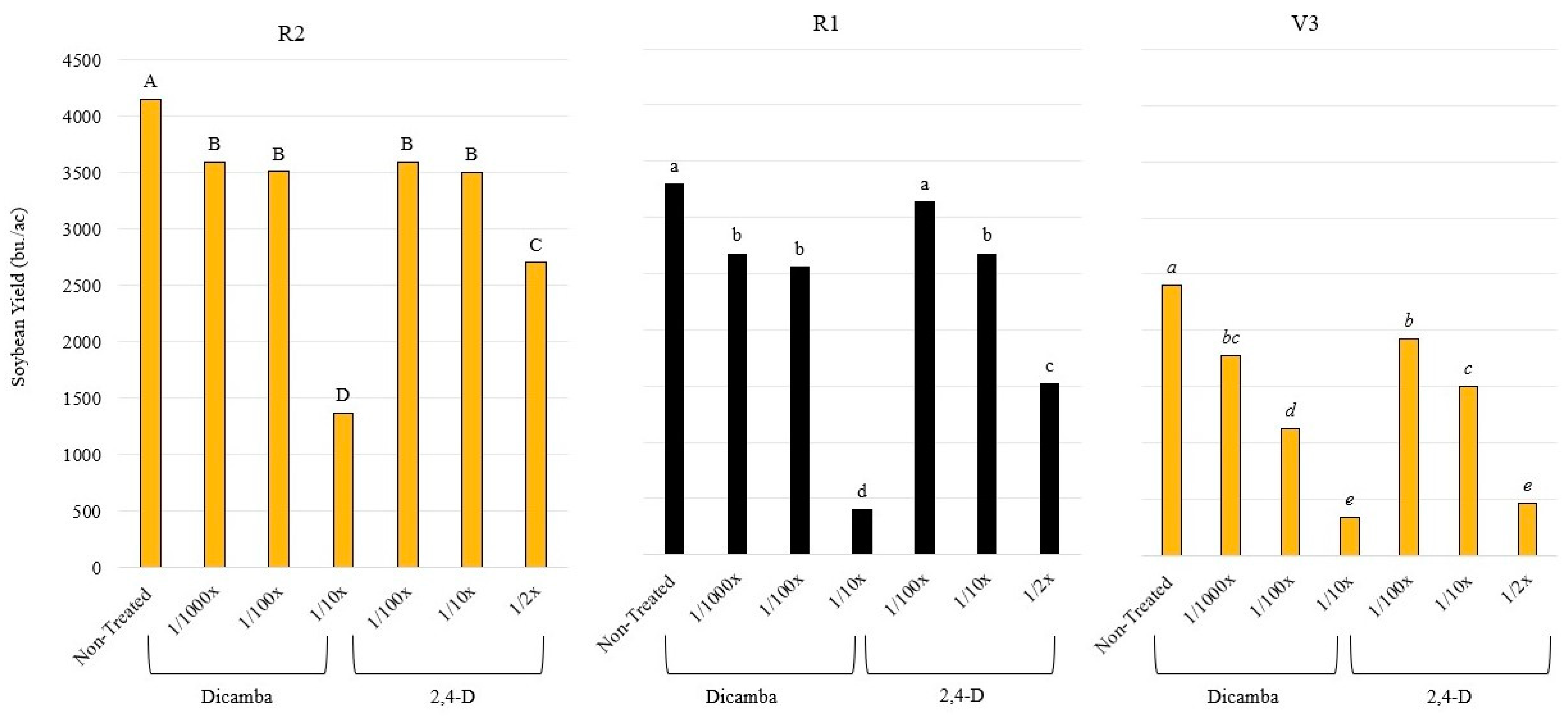
There was a significant effect of soybean growth stage on soybean yield (p = 0.002). Among 2,4-D rates, the 1/100 and 1/10× rates resulted in similar yield loss when soybeans were injured at the R2 growth stage. However, when compared to the 1/100× rates, soybean yield following exposure to the 1/10× rate at the R1 and V3 growth stages was reduced by 15 to 22%. When soybeans were exposed to the 1/2× rate of 2,4-D, yield reductions ranged from 35 to 81% compared to the non-treated control, and occurred across all growth stages.
When soybeans were exposed to dicamba, yield was reduced at all exposure rates and growth stages in comparison with the non-treated control for that planting timing (Figure 3). Dicamba rates of 1/1000× caused similar levels of yield loss as the 1/100× rates when injury occurred at the R2 and R1 growth stages. However, a 37% yield reduction was observed between these two rates when injury occurred at the V3 growth stage. The 1/10× rate of dicamba caused a similar degree of yield loss (67 to 88%), regardless of the growth stage of soybean at the time of injury.
One of the unique aspects of this experiment is that soybeans were at three distinct growth stages at the time of herbicide injury, yet that injury occurred at a single point in time during the season. Soybeans injured at the V3 growth stage in this study resulted in more yield loss than soybeans injured at the reproductive stages. Historical literature would dispute this result as it is typically more common to see greater yield loss to soybeans exposed to dicamba and 2,4-D at reproductive than vegetative growth stages [9,10]. However, in most instances when soybeans are injured at vegetative growth stages, this injury usually occurs much earlier in the growing season (May/June) which allows soybean more time to recover. It is well known that soybeans planted later in the year enter reproductive stages earlier in their life cycle [50]. In this experiment, soybeans that were in the V3 growth stage at the time of the injury were planted in early July and exposed to the 2,4-D and dicamba treatments in late July/early August. This greatly reduced the amount of time from injury until reproductive growth stages which minimized the amount of time for recovery to occur. Therefore, in terms of the relationships that exist between soybean exposure to 2,4-D and dicamba, growth stage of soybean, and time of the season in which the exposure occurred, these results are unique and to our knowledge have not been reported elsewhere. These results also have significant implications for soybeans grown following wheat or planted later in the year due to unfavorable conditions at the time of planting. Ultimately, these results indicate that common conclusions about vegetative stage injury may be insignificant if the appropriate amount of recovery time prior to entering reproductive growth stages is not achieved.
When comparing yield loss between comparable rates of 2,4-D and dicamba, our results are in agreement with others who have shown that soybeans are much more sensitive to dicamba compared to 2,4-D [10,45]. For example, soybeans exposed to the 1/100× rate of 2,4-D yielded 19 and 42% higher than soybeans exposed to the comparable fraction of the use rate of dicamba at the R1 and V3 growth stages, respectively. A similar response was observed with the 1/10× use rates of these herbicides. In fact, when soybeans were at the R2 and R1 growth stages at the time of the injury event, they yielded 51 to 74% higher when exposed to even the 1/2× rate of 2,4-D than when exposed to the 1/10× rate of dicamba.

3.2. VI Value Based on Herbicide, Herbicide Rate, and Growth Stage

Across all growth stages and for both dicamba and 2,4-D, VI values decreased as herbicide exposure increased (Table 1). Additionally, in every instance all of the VIs evaluated in this research were able to differentiate between soybeans that were not treated with an herbicide and soybeans that were exposed to the highest rate of dicamba or 2,4-D. All of the VIs were also able to differentiate between soybeans that were exposed to the lowest and highest rates of these herbicides, regardless of growth stage. Only VARI at R1 was unsuccessful at separating the non-treated from the middle rate of dicamba. Across all of the possible analyses, VIs were 67% effective at distinguishing between the highest rate of both herbicides and the middle rate. Of the remaining 33% of instances where these rates did not separate, all of them occurred at either the R2 growth stage, or at the less mature growth stages with the VARI index. For both herbicides, the highest rate and middle rate were differentiated 100% of the time at V3 and R1 with any of the indexes that utilized the NIR or red-edge wavelength.
The selected VIs were less effective in separating between the low rate of each herbicide and the non-treated or the middle rate. No separation in VI values existed between soybeans exposed to the low rate and the non-treated control for 63% of the possible comparisons. Additionally, 75% of the time no difference in VI values existed between the low rate and middle rate of each herbicide. For example, when soybeans were injured with dicamba at R1, all VI values were similar between the 1/1000× rate and the non-treated control. VI values were also similar for the 1/1000× rate and the 1/100× rate for GNDVI, NDRE, and VARI at R1. A difference was observed between the 1/100× and 1/1000× rate with NDVI at the R1 growth stage. This indicates that in most cases, VIs either were not sensitive enough to see the lower-level injury that occurred following the low rate exposure, or VIs were unable to separate differences between the low and middle rates of 2,4-D and dicamba. The only VI and growth stage combination that was able to separate each treatment was NDVI at V3 following dicamba exposure (Table 1).
For both 2,4-D and dicamba, VI values were more similar between treatments at the later growth stages (R1 and R2) than at the V3 stage. This effect may be at due to the fact that reflectance is more saturated at these higher biomass growth stages which resulted in reduced sensitivity and observed leaf cupping and strapping in these treatments. Breunig et al. [51] reported low sensitivity of NDVI reflectance when LAI values fluctuated between 0.75 to 0.85. This range is very similar to the range of NDVI values in our study for the later growth stages. The attempt to overcome this saturation by using other NDVI variant VIs such as GNDVI was unsuccessful as GNDVI responded very similarly as NDVI at all growth stages (Table 1). This response may also be partly explained by the fact that auxin injury is most prominent on the newest growth of soybeans and as plants increase in maturity, less new growth occurs each week, resulting in a reduction in the ratio of symptomatic soybean leaves on the later growth stage soybean plants.

3.3. Efficacy of VIs on the Prediction of Yield Loss

One of the primary objectives of this research was to understand if certain VIs were effective at estimating end-of-season yield loss. NDRE provided the strongest relationship with yield of the VIs tested for soybeans exposed to dicamba at the V3 (0.72), R1 (0.75) and R2 (0.28) growth stages (Table 2). The inclusion of the red-edge wavelength in the VI calculation for dicamba injury seemed to improve models overall. This result is in agreement with those from Zhang et al. [44] who determined that the most sensitive wavelengths for making dicamba injury evaluations were at 679 and 752 nm, which are the most similar to the red-edge wavelength (717 nm 12 nm bandwidth) used in our study. NDVI, GNDVI, and NDRE provided similar relationships following exposure to 2,4-D. It is not known why NDVI and GNDVI were more accurate at estimating yield loss following 2,4-D injury than dicamba, but it may be related to the slight leaf chlorosis that occurred in response to higher rates of 2,4-D compared to dicamba, which allowed for greater sensitivity by these indices. However, in general, the literature on this topic does not support this conclusion. Additional research on this effect could provide insight on why this effect was observed. VARI, which does not incorporate either the red-edge or the NIR spectrum, was the most ineffective at yield loss estimation following dicamba and 2,4-D injury. Based on the results of this research, once soybeans reach the reproductive growth stages and are injured by either 2,4-D or dicamba, it appears that yield loss prediction by using VIs is much less effective. As discussed previously, this is most likely due to saturation of the VIs at soybean growth stages once high biomass is achieved which greatly reduces sensitivity to LAI fluctuations.

4. Discussion

The use of UAV-mounted sensors can provide a rapid and objective assessment of crop injury and inserting the computed VI values into a pre-established model could give practitioners insights into the degree of yield loss that might be expected in each situation. This research illustrates the ability of some of the most common, previously established VIs to estimate yield loss following injury from 2,4-D and dicamba which has been a common occurrence in soybean production regions in recent years. Some of the previous research that has been conducted on this topic has neglected to evaluate exposure rates that are commonly associated with vapor movement of these herbicides (e.g., 1/1000×), such as what might occur after the application has been made due to volatility [9,43,44,52]. Additionally, this research utilized tools that are easily accessible and are not cost prohibitive to end users (i.e., hyperspectral sensors). This research also illustrates that for injury due to 2,4-D and dicamba, it is important to utilize VIs that are highly sensitive to biomass reductions or LAI reduction as these herbicides do not greatly affect soybean leaf color. Previous research has found that the red-edge wavelength is very sensitive to minor LAI fluctuations and this is most likely why it was the most consistent in estimating yield loss in response to 2,4-D and dicamba injury [53]. Unfortunately, NDVI variants such as GNDVI were unable to compensate for saturated VI values as was concluded in previous research [28,29], and the inclusion of the red-edge wavelength appears to be a necessity. Overall, this analysis demonstrates some positive conclusions as well as potential drawbacks of utilizing UAV-mounted sensors for estimating end-of-season yield loss. For example, VIs were able to distinguish differences between low and high rates of 2,4-D and dicamba very well. However, this study also continues to highlight the difficulty present in differentiating between lower-level exposures that are more commonly associated with vapor drift such as between the lowest rate and the non-treated or the lowest rate and the mid-level rate of both herbicides. Compared to older research studies that have been conducted with similar objectives, however, the results from this research do demonstrate a marked improvement in differentiating between herbicide exposure levels [37,54]. For example, Thelen et al. [37] were previously unable to distinguish visual injury differences between 2 and 4× rates of the herbicides lactofen and imazethapyr with NDVI. Similarly, Hickman, Everitt, Escobar and Richardson [54] could only successfully differentiate very severe dicamba injury (>50% visual injury) from non-treated plants and could not differentiate between rates. The observed improvement in our study is likely due to the continued advancement in UAV sensor technology as Thelen et al. [37] were only able to achieve 1 m spatial resolution compared to the <6 cm resolution which we were able to achieve with the equipment used in this research. Therefore, it seems likely that the ability to differentiate between exposure rates may continue to improve as further advancements in sensor technologies are made.
It is also important to consider that vegetative reflectance is only one factor of the yield loss function of soybean following herbicide injury. Other factors such as rainfall and temperature conditions after the injury event can impact the degree of yield loss that occurs [55]. A model that included these factors and that could further increase the accuracy of yield loss prediction would be valuable for soybean growers who have experienced injury due to off-target movement of 2,4-D or dicamba. The results from this research, and others such as by Breunig et al. [51], also indicate that if soybean injury is present at later growth stages (R2 and beyond), it is likely that yield loss estimation will be inhibited due to high biomass and less VI sensitivity. It was also determined that for the most accurate yield loss estimates, flyovers would need to occur as close to 14 days after exposure as possible, since yield loss estimation accuracy was greatly reduced before and after this time interval (data not shown). This could have practical implications as ensuring appropriate flyover timing after the injury occurred would be critical. Potentially, other VIs not tested in our study could have even greater sensitivity to damage at earlier and later timings. Similar results were reported by Foster et al. [56] with their manual rating model.

5. Conclusions

The results of this study indicate that by utilizing UAV-mounted sensors, yield loss estimations can be highly accurate following injury from 2,4-D and dicamba if proper VIs are utilized. In most cases with 2,4-D and dicamba, NDRE was the most consistent VI for yield loss prediction. However, other VIs such as NDVI and GNDVI were also successful following 2,4-D injury. These results could have implications for settling injury disputes between producers and may also have utility for crop insurance adjustment. We have also highlighted the need for future research in this area that would likely improve model accuracy through the addition of other environmental factors such as rainfall and temperature following injury. Timing of flights at proper intervals after injury and finding wavelengths that are even more sensitive to LAI fluctuations than the red-edge wavelength could also improve models.

Author Contributions

Conceptualization, K.W.B.; methodology, K.S., J.Z.; formal analysis, E.O.; investigation, E.O., K.S., M.D.B., K.W.B.; resources, K.S., J.Z., F.F.; data curation, E.O.; writing—original draft preparation, E.O.; writing—review and editing, J.Z., M.D.B., K.W.B.; visualization, K.S., J.Z., F.F.; supervision, K.W.B.; All authors have read and agreed to the published version of the manuscript.

Funding

This research received no external funding.

Institutional Review Board Statement

Not applicable.

Informed Consent Statement

Not applicable.

Data Availability Statement

Data can be obtained from the corresponding author.

Acknowledgments

The authors would like to acknowledge Chrstine Spinka for statistical consulting and Chin Nee Vong, Aijing Feng, and Brandon Davis for equipment operation.

Conflicts of Interest

The authors declare no conflict of interest.

References

  1. Heap, I. The International Survey of Herbicide Resistant Weeds. Available online: Weedscience.org (accessed on 15 April 2021).
  2. Heap, I.; Duke, S.O. Overview of glyphosate-resistant weeds worldwide. Pest Manag. Sci. 2018, 74, 1040–1049. [Google Scholar] [CrossRef] [PubMed]
  3. Duke, S.O. Why have no new herbicide modes of action appeared in recent years? Pest Manag. Sci. 2012, 68, 505–512. [Google Scholar] [CrossRef] [Green Version]
  4. Green, J.M. The benefits of herbicide-resistant crops. Pest Manag. Sci. 2012, 68, 1323–1331. [Google Scholar] [CrossRef] [PubMed]
  5. Behrens, M.R.; Mutlu, N.; Chakraborty, S.; Dumitru, R.; Jiang, W.Z.; LaVallee, B.J.; Herman, P.L.; Clemente, T.E.; Weeks, D.P. Dicamba resistance: Enlarging and preserving biotechnology-based weed management strategies. Science 2007, 316, 1185–1188. [Google Scholar] [CrossRef] [Green Version]
  6. Wright, T.R.; Shan, G.; Walsh, T.A.; Lira, J.M.; Cui, C.; Song, P.; Zhuang, M.; Arnold, N.L.; Lin, G.; Yau, K. Robust crop resistance to broadleaf and grass herbicides provided by aryloxyalkanoate dioxygenase transgenes. Proc. Natl. Acad. Sci. USA 2010, 107, 20240–20245. [Google Scholar] [CrossRef] [Green Version]
  7. Bradley, K. A Final Report on Dicamba-Injured Soybean Acres. Available online: https://ipm.missouri.edu/IPCM/2017/10/final_report_dicamba_injured_soybean/ (accessed on 12 January 2021).
  8. Bish, M.; Oseland, E.; Bradley, K. Off-target pesticide movement: A review of our current understanding of drift due to inversions and secondary movement. Weed Technol. 2020, 1–43. [Google Scholar] [CrossRef]
  9. Kniss, A.R. Soybean response to dicamba: A meta-analysis. Weed Technol. 2018, 32, 507–512. [Google Scholar] [CrossRef]
  10. Solomon, C.B.; Bradley, K.W. Influence of application timings and sublethal rates of synthetic auxin herbicides on soybean. Weed Technol. 2014, 28, 454–464. [Google Scholar] [CrossRef]
  11. Dintelmann, B.R.; Warmund, M.R.; Bish, M.D.; Bradley, K.W. Investigations of the sensitivity of ornamental, fruit, and nut plant species to driftable rates of 2, 4-D and dicamba. Weed Technol. 2020, 34, 331–341. [Google Scholar] [CrossRef]
  12. Everitt, J.D.; Keeling, J.W. Cotton growth and yield response to simulated 2, 4-D and dicamba drift. Weed Technol. 2009, 23, 503–506. [Google Scholar] [CrossRef]
  13. Bradley, K.; Bish, M. Weed Identification and Herbicide Injury Guide For Corn and Soybean; Knapp, V., Ed.; MU Extension Columbia: Columbia, MO, USA, 2016. [Google Scholar]
  14. Soltani, N.; Nurse, R.E.; Sikkema, P.H. Response of glyphosate-resistant soybean to dicamba spray tank contamination during vegetative and reproductive growth stages. Can. J. Plant Sci. 2016, 96, 160–164. [Google Scholar] [CrossRef]
  15. Sweet, R. Comments on rating systems in weed science. Proc. Northeast. Weed Control. Control. Conf. 1975, 29, 264–268. [Google Scholar]
  16. Shanmugapriya, P.; Rathika, S.; Ramesh, T.; Janaki, P. Applications of remote sensing in agriculture-A Review. Int. J. Curr. Microbiol. Appl. Sci. 2019, 8, 2270–2283. [Google Scholar] [CrossRef]
  17. Jin, X.; Liu, S.; Baret, F.; Hemerlé, M.; Comar, A. Estimates of plant density of wheat crops at emergence from very low altitude UAV imagery. Remote Sens. Environ. 2017, 198, 105–114. [Google Scholar] [CrossRef] [Green Version]
  18. Kitano, B.T.; Mendes, C.C.; Geus, A.R.; Oliveira, H.C.; Souza, J.R. Corn Plant Counting Using Deep Learning and UAV Images. IEEE Geosci. Remote Sens. Lett. 2019, 1–5. [Google Scholar] [CrossRef]
  19. Scharf, P.C.; Lory, J.A. Calibrating corn color from aerial photographs to predict sidedress nitrogen need. Agron. J. 2002, 94, 397–404. [Google Scholar] [CrossRef]
  20. Tetila, E.C.; Machado, B.B.; de Souza Belete, N.A.; Guimarães, D.A.; Pistori, H. Identification of soybean foliar diseases using unmanned aerial vehicle images. IEEE Geosci. Remote Sens. Lett. 2017, 14, 2190–2194. [Google Scholar] [CrossRef]
  21. Huang, Y.; Reddy, K.N.; Thomson, S.J.; Yao, H. Assessment of soybean injury from glyphosate using airborne multispectral remote sensing. Pest Manag. Sci. 2015, 71, 545–552. [Google Scholar] [CrossRef] [PubMed]
  22. Huete, A.; Didan, K.; Miura, T.; Rodriguez, E.P.; Gao, X.; Ferreira, L.G. Overview of the radiometric and biophysical performance of the MODIS vegetation indices. Remote Sens. Environ. 2002, 83, 195–213. [Google Scholar] [CrossRef]
  23. Hatfield, J.L.; Prueger, J.H. Value of using different vegetative indices to quantify agricultural crop characteristics at different growth stages under varying management practices. Remote Sens. 2010, 2, 562–578. [Google Scholar] [CrossRef] [Green Version]
  24. Jordan, C.F. Derivation of leaf-area index from quality of light on the forest floor. Ecology 1969, 50, 663–666. [Google Scholar] [CrossRef]
  25. Mkhabela, M.S.; Bullock, P.; Raj, S.; Wang, S.; Yang, Y. Crop yield forecasting on the Canadian Prairies using MODIS NDVI data. Agric. For. Meteorol. 2011, 151, 385–393. [Google Scholar] [CrossRef]
  26. Price, J.C.; Bausch, W.C. Leaf area index estimation from visible and near-infrared reflectance data. Remote Sens. Environ. 1995, 52, 55–65. [Google Scholar] [CrossRef]
  27. Turner, D.P.; Cohen, W.B.; Kennedy, R.E.; Fassnacht, K.S.; Briggs, J.M. Relationships between leaf area index and Landsat TM spectral vegetation indices across three temperate zone sites. Remote Sens. Environ. 1999, 70, 52–68. [Google Scholar] [CrossRef]
  28. Wang, F.-M.; Huang, J.-F.; Tang, Y.-L.; Wang, X.-Z. New vegetation index and its application in estimating leaf area index of rice. Rice Sci. 2007, 14, 195–203. [Google Scholar] [CrossRef]
  29. Gitelson, A.A.; Kaufman, Y.J.; Merzlyak, M.N. Use of a green channel in remote sensing of global vegetation from EOS-MODIS. Remote Sens. Environ. 1996, 58, 289–298. [Google Scholar] [CrossRef]
  30. Chang, J.; Shoshany, M. Red-edge ratio normalized vegetation index for remote estimation of green biomass. In Proceedings of the 2016 IEEE International Geoscience and Remote Sensing Symposium, Beijing, China, 10–15 July 2016; pp. 1337–1339. [Google Scholar]
  31. Xie, Q.-Y.; Dash, J.; Huang, W.; Peng, D.; Qin, Q.; Mortimer, H.; Casa, R.; Pignatti, S.; Laneve, G.; Pascucci, S.; et al. Vegetation indices combining the red and red-edge spectral information for leaf area index retrieval. IEEE J. Sel. Top. Appl. Earth Obs. Remote. Sens. 2018, 11, 1482–1493. [Google Scholar] [CrossRef] [Green Version]
  32. Jay, S.; Baret, F.; Dutartre, D.; Malatesta, G.; Héno, S.; Comar, A.; Weiss, M.; Maupas, F. Exploiting the centimeter resolution of UAV multispectral imagery to improve remote-sensing estimates of canopy structure and biochemistry in sugar beet crops. Remote Sens. Environ. 2019, 231, 110898. [Google Scholar] [CrossRef]
  33. Duddu, H.S.; Johnson, E.N.; Willenborg, C.J.; Shirtliffe, S.J. High-Throughput UAV Image-Based Method Is More Precise Than Manual Rating of Herbicide Tolerance. Plant Phenomics 2019, 2019. [Google Scholar] [CrossRef] [Green Version]
  34. da Silva, A.R.; de Freitas, M.A.; de Souza Costa, D.; da Silva Araújo, L.; de Almeida Rocha, R.; dos Santos, P.V.; Galvani Filho, M.E. Proximal sensing estimation of glyphosate injury on weeds in central Brazil. J. Appl. Remote Sens. 2019, 13, 044524. [Google Scholar] [CrossRef]
  35. Barnhart, I.; Chaudhari, S.; Pandian, B.A.; Prasad, P.V.; Ciampitti, I.A.; Jugulam, M. Use of high-resolution unmanned aerial systems imagery and machine learning to evaluate grain sorghum tolerance to mesotrione. J. Appl. Remote Sens. 2021, 15, 014516. [Google Scholar] [CrossRef]
  36. Henry, W.B.; Shaw, D.R.; Reddy, K.R.; Bruce, L.M.; Tamhankar, H.D.J.W.T. Remote sensing to detect herbicide drift on crops. Weed Technol. 2004, 18, 358–368. [Google Scholar] [CrossRef]
  37. Thelen, K.D.; Kravchenko, A.; Lee, C.D. Use of optical remote sensing for detecting herbicide injury in soybean. Weed Technol. 2004, 18, 292–297. [Google Scholar] [CrossRef]
  38. Huang, Y.; Thomson, S.; Ortiz, B.; Reddy, K.; Ding, W.; Zablotowicz, R.; Bright, J. Airborne remote sensing assessment of the damage to cotton caused by spray drift from aerially applied glyphosate through spray deposition measurements. Biosyst. Eng. 2010, 107, 212–220. [Google Scholar] [CrossRef]
  39. Auch, D.; Arnold, W. Dicamba use and injury on soybeans (Glycine max) in South Dakota. Weed Sci. 1978, 26, 471–475. [Google Scholar] [CrossRef]
  40. Wax, L.; Knuth, L.; Slife, F. Response of soybeans to 2, 4-D, dicamba, and picloram. Weed Sci. 1969, 17, 388–393. [Google Scholar] [CrossRef]
  41. Purcell, L.C. Soybean canopy coverage and light interception measurements using digital imagery. Crop. Sci. 2000, 40, 834–837. [Google Scholar] [CrossRef]
  42. Di Gennaro, S.F.; Battiston, E.; Di Marco, S.; Facini, O.; Matese, A.; Nocentini, M.; Palliotti, A.; Mugnai, L. Unmanned Aerial Vehicle (UAV)-based remote sensing to monitor grapevine leaf stripe disease within a vineyard affected by esca complex. Phytopathol. Mediterr. 2016, 55, 262–275. [Google Scholar]
  43. Abrantes, T.C.; Queiroz, A.R.S.; Lucio, F.R.; Mendes Júnior, C.W.; Kuplich, T.M.; Bredemeier, C.; Merotto Júnior, A. Assessing the effects of dicamba and 2, 4 Dichlorophenoxyacetic acid (2, 4D) on soybean through vegetation indices derived from Unmanned Aerial Vehicle (UAV) based RGB imagery. Int. J. Remote Sens. 2021, 42, 2740–2758. [Google Scholar] [CrossRef]
  44. Zhang, J.; Huang, Y.; Reddy, K.N.; Wang, B. Assessing crop damage from dicamba on non-dicamba-tolerant soybean by hyperspectral imaging through machine learning. Pest Manag. Sci. 2019, 75, 3260–3272. [Google Scholar] [CrossRef]
  45. Andersen, S.M.; Clay, S.; Wrage, L.; Matthees, D. Soybean foliage residues of dicamba and 2, 4-D and correlation to application rates and yield. Agron. J. 2004, 96, 750–760. [Google Scholar] [CrossRef]
  46. Vina, A.; Gitelson, A.A.; Rundquist, D.C.; Keydan, G.; Leavitt, B.; Schepers, J. Monitoring maize (Zea mays L.) phenology with remote sensing. Agron. J. 2004, 96, 1139–1147. [Google Scholar] [CrossRef]
  47. Li, B.; Xu, X.; Zhang, L.; Han, J.; Bian, C.; Li, G.; Liu, J.; Jin, L. Above-ground biomass estimation and yield prediction in potato by using UAV-based RGB and hyperspectral imaging. ISPRS J. Photogramm. Remote Sens. 2020, 162, 161–172. [Google Scholar] [CrossRef]
  48. Poley, L.; McDermid, G. A Systematic Review of the Factors Influencing the Estimation of Vegetation Aboveground Biomass Using Unmanned Aerial Systems. Remote Sens. 2020, 12, 1052. [Google Scholar] [CrossRef] [Green Version]
  49. Niu, Y.; Zhang, L.; Zhang, H.; Han, W.; Peng, X. Estimating above-ground biomass of maize using features derived from UAV-based RGB imagery. Remote Sens. 2019, 11, 1261. [Google Scholar] [CrossRef] [Green Version]
  50. Egli, D.; Cornelius, P. A regional analysis of the response of soybean yield to planting date. Agron. J. 2009, 101, 330–335. [Google Scholar] [CrossRef]
  51. Breunig, F.M.; Galvão, L.S.; Formaggio, A.R.; Epiphanio, J.C.N. Directional effects on NDVI and LAI retrievals from MODIS: A case study in Brazil with soybean. Int. J. Appl. Earth Obs. Geoinf. 2011, 13, 34–42. [Google Scholar] [CrossRef]
  52. Egan, J.F.; Barlow, K.M.; Mortensen, D.A. A meta-analysis on the effects of 2, 4-D and dicamba drift on soybean and cotton. Weed Sci. 2014, 62, 193–206. [Google Scholar] [CrossRef]
  53. Nguy-Robertson, A.; Gitelson, A.; Peng, Y.; Viña, A.; Arkebauer, T.; Rundquist, D. Green leaf area index estimation in maize and soybean: Combining vegetation indices to achieve maximal sensitivity. Agron. J. 2012, 104, 1336–1347. [Google Scholar] [CrossRef] [Green Version]
  54. Hickman, M.V.; Everitt, J.H.; Escobar, D.E.; Richardson, A.J. Aerial photography and videography for detecting and mapping dicamba injury patterns. Weed Technol. 1991, 5, 700–706. [Google Scholar] [CrossRef]
  55. Osipitan, O.A.; Scott, J.E.; Knezevic, S.Z. Glyphosate-resistant soybean response to micro-rates of three dicamba-based herbicides. Agrosyst. Geosci. Environ. 2019, 2, 1–8. [Google Scholar] [CrossRef] [Green Version]
  56. Foster, M.; Griffen, J.; Copes, J.; Blouin, D. Development of a model to predict soybean yield loss from dicamba exposure. Weed Technol. 2019, 33, 287–295. [Google Scholar] [CrossRef]
Figure 1. (a) Represents distinct leaf cupping symptoms consistent with sublethal dicamba exposure in soybean plants. (b). Represents injury consistent with leaf strapping symptomology following 2,4-D injury in soybean plants.
Figure 1. (a) Represents distinct leaf cupping symptoms consistent with sublethal dicamba exposure in soybean plants. (b). Represents injury consistent with leaf strapping symptomology following 2,4-D injury in soybean plants.
Remotesensing 13 03682 g001
Figure 2. Overhead view of experiment layout. Planting timings and herbicide treatments were arranged in a randomized complete block design with the first rep non-randomized as shown in the image. Subsequent replications were randomized as pictured. Planting randomization occurred with picking up and setting down the planting equipment in appropriate plots.
Figure 2. Overhead view of experiment layout. Planting timings and herbicide treatments were arranged in a randomized complete block design with the first rep non-randomized as shown in the image. Subsequent replications were randomized as pictured. Planting randomization occurred with picking up and setting down the planting equipment in appropriate plots.
Remotesensing 13 03682 g002
Figure 3. The influence of herbicide treatment and soybean growth stage at the time of treatment on soybean grain yield. Bars followed by the same letter are not significantly different p ≤ 0.05 and means are separated within each grouped bar graph.
Figure 3. The influence of herbicide treatment and soybean growth stage at the time of treatment on soybean grain yield. Bars followed by the same letter are not significantly different p ≤ 0.05 and means are separated within each grouped bar graph.
Remotesensing 13 03682 g003
Table 1. ANOVA of herbicide injury treatment effects on vegetative index values 14 days after herbicide injury treatments 1,2.
Table 1. ANOVA of herbicide injury treatment effects on vegetative index values 14 days after herbicide injury treatments 1,2.
Vegetative IndexDicamba2,4-D
Injured @ V3Non-Treated 31/1000× 41/100×1/10×1/100×1/10×1/2×
NDVI0.78 A0.71 B0.66 C0.52 D0.73 A0.66 B0.44 C
GNDVI0.68 a0.64 a0.57 b0.46 c0.62 b0.58 b0.42 c
NDRE0.32 A0.30 AB0.25 B0.16 C0.27 B0.24 B0.17 C
VARI0.39 a0.31 b0.25 bc0.21 c0.29 b0.27 bc0.20 c
Injured @ R1
NDVI0.89 A0.88 A0.84 B0.73 C0.86 AB0.83 B0.73 C
GNDVI0.79 a0.78 ab0.75 b0.62 c0.75 b0.71 b0.62 c
NDRE0.44 A0.42 AB0.39 B0.28 C0.40 B0.37 B0.28 C
VARI0.46 a0.42 a0.41 a0.28 b0.37 b0.33 b0.23 c
Injured @ R2
NDVI0.90 A0.89 AB0.85 BC0.82 C0.88 A0.82 B0.80 B
GNDVI0.79 a0.76 ab0.73 bc0.69 c0.77 a0.73 b0.70 b
NDRE0.45 A0.42 AB0.40 B0.34 C0.44 AB0.40 BC0.39 C
VARI0.48 a0.43 b0.40 b0.34 c0.44 ab0.37 bc0.35 c
1 Means followed by the same letter are not statistically different. Means are separated by Fischer’s Protected LSD p ≤ 0.05. Mean separation is independent between each vegetative index and growth stage. Each herbicide is also analyzed independently. 2 Means are combined from all three experiments. 3 Non-treated is used for comparison for both 2,4-D and Dicamba. 4 Rates are fraction of the 1× field use rate of 560 g ha-1 for dicamba and 1070 g ha-1 for 2,4-D.
Table 2. Evaluation of relationships between yield reduction and VI value reduction 14 DAT 1.
Table 2. Evaluation of relationships between yield reduction and VI value reduction 14 DAT 1.
Growth Stage 2Vegetative IndexDicamba2,4-D
Yield Reduction Model 3R-SquaredYield Reduction ModelR-Squared
V3NDVIy = 1.6x + 7.60.67y = 1.5x + 3.20.84
GNDVIy = 1.7x + 120.67y = 1.7x + 3.80.80
NDREy = 1.5x + 8.30.72y = 1.2x + 4.50.79
VARIy = 0.7x + 180.33y = 0.6x + 140.31
R1NDVIy = 3.4x + 8.90.63y = 2.3x + 4.60.69
GNDVIy = 2.5x + 9.80.61y = 1.8x + 4.00.64
NDREy = 1.8x + 0.80.75y = 1.2x + 1.80.70
VARIy = 0.8x + 120.38y = 0.4x + 9.70.24
R2NDVINS 4NSy = 1.5x +8.70.48
GNDVINSNSy = 1.4x + 7.80.55
NDREy = 1.3x + 110.28y = 1.2x + 6.60.49
VARIy = 0.5x + 130.14y = 0.8x + 6.30.36
1 The three experimental runs and three herbicide rates were combined for each model computation. 2 Growth stage indicates growth stage of soybean at the time of herbicide injury treatment applications. 3 Yield reduction models indicate y = yield reduction in kg ha−1 and x = reduction in VI value compared to non-treated plots. 4 NS indicates model was not significant at p ≤ 0.05. All models not indicated as NS were significant.
Publisher’s Note: MDPI stays neutral with regard to jurisdictional claims in published maps and institutional affiliations.

Share and Cite

MDPI and ACS Style

Oseland, E.; Shannon, K.; Zhou, J.; Fritschi, F.; Bish, M.D.; Bradley, K.W. Evaluating the Spectral Response and Yield of Soybean Following Exposure to Sublethal Rates of 2,4-D and Dicamba at Vegetative and Reproductive Growth Stages. Remote Sens. 2021, 13, 3682. https://doi.org/10.3390/rs13183682

AMA Style

Oseland E, Shannon K, Zhou J, Fritschi F, Bish MD, Bradley KW. Evaluating the Spectral Response and Yield of Soybean Following Exposure to Sublethal Rates of 2,4-D and Dicamba at Vegetative and Reproductive Growth Stages. Remote Sensing. 2021; 13(18):3682. https://doi.org/10.3390/rs13183682

Chicago/Turabian Style

Oseland, Eric, Kent Shannon, Jianfeng Zhou, Felix Fritschi, Mandy D. Bish, and Kevin W. Bradley. 2021. "Evaluating the Spectral Response and Yield of Soybean Following Exposure to Sublethal Rates of 2,4-D and Dicamba at Vegetative and Reproductive Growth Stages" Remote Sensing 13, no. 18: 3682. https://doi.org/10.3390/rs13183682

APA Style

Oseland, E., Shannon, K., Zhou, J., Fritschi, F., Bish, M. D., & Bradley, K. W. (2021). Evaluating the Spectral Response and Yield of Soybean Following Exposure to Sublethal Rates of 2,4-D and Dicamba at Vegetative and Reproductive Growth Stages. Remote Sensing, 13(18), 3682. https://doi.org/10.3390/rs13183682

Note that from the first issue of 2016, this journal uses article numbers instead of page numbers. See further details here.

Article Metrics

Back to TopTop