Monitoring Water and Energy Cycles at Climate Scale in the Third Pole Environment (CLIMATE-TPE)
Abstract
:1. Introduction
2. Objectives, Earth Observation and Other Data
3. Methods
3.1. WP1: Observation and Modelling of Microwave Scattering and Emission under Complex Terrains including Permafrost and Freezing and Thawing
- (1)
- We conducted ELBARA-III measurements since 2016, covering complete annual freezing–thawing cycles, for advancing understanding of the mass and energy exchanges involved in the freeze–thaw process [16].
- (2)
- The collected ELBARA-III observations have been analysed with the recently developed effective temperature model [17] to better understand the microwave emission signals, including the validation of ESA’s SMOS and NASA’s SMAP radiometer brightness temperatures (TB).
- (3)
- The collected ELBARA-III and other in situ data have been used to develop microwave radiative transfer models to simulate existing satellite data of different frequencies (e.g., for low spatial resolution data SCAT/ASCAT, SSM/I, AMSR-E/2, SMOS and high spatial resolution data ASAR/S-1) [17,18,19]. This ensures the generation of a climatically consistent soil moisture data product by using the same consistent framework and contributes to the ESA Climate Change Initiative.
- (4)
- A scatterometer system was installed next to the ELBARA-III system and performed measurements in the period August 2017–August 2018 over the 1–10 GHz frequency range. The scatterometer measurements provided complementary and additional information on the surface freeze/thaw state and the influence of vegetation cover on its microwave signatures.
3.2. WP2: Advancement of Physical Understanding and Quantification of Water and Energy Budgets in TPE
- (1)
- Observation and analysis of water and energy balance of the Namco Lake catchment area using the concept of water and energy balance closure (Equations (1)–(5)). An energy balance and micrometeorological station was established on the Namco Lake, and the observations were continued throughout the duration of the Dragon 4 programme [20]. The permanent Namco environmental observation station operated by ITP/CAS (Institute of Tibetan Plateau Research, Chinese Academy of Sciences) since 2005 on the adjacent land was used to construct the water cycle budgets of the lake catchment together with the lake observation, satellite observations and modelling.
- (2)
- (3)
- Development of high-resolution land surface energy and water fluxes from satellite data using EO data (see Table 2).
- (4)
- Joint diagnoses of the products from tasks (2)–(3) were conducted to improve model physics, parameterisation and parameters for climate analysis.
- (5)
- The STEMMUS-FT model was developed to understand the detailed freeze–thaw dynamics across the soil profile, considering the coupled process of liquid, vapor, air and heat transfer, as well as soil ice formation [21,22]. The STEMMUS-FT model is further coupled with the COSMIC model to assimilate Cosmic Ray Neutron Counts for determining soil ice content at field scale (~200 m2) [23]. This field scale provided a representative footprint to compare with the ELBARA-III observations.
3.3. WP3: Advancement in Quantifying Changes in Surface Characteristics and Monsoon Interactions
- (1)
- (2)
- (3)
- Integration of these new consistent datasets into the research of WP2;
- (4)
- (5)
- Analysis of monsoon dynamics in relation to changes of plateau surface characteristics by using the WRF modelling system.
4. Selected Project Results
4.1. In Situ Observation Stations (Sites) of Hydrosphere–Pedosphere–Atmosphere–Cryosphere–Biosphere Interactions over the Tibetan Plateau
4.2. Multiyear In Situ L-Band Microwave Radiometry of Land Surface Processes
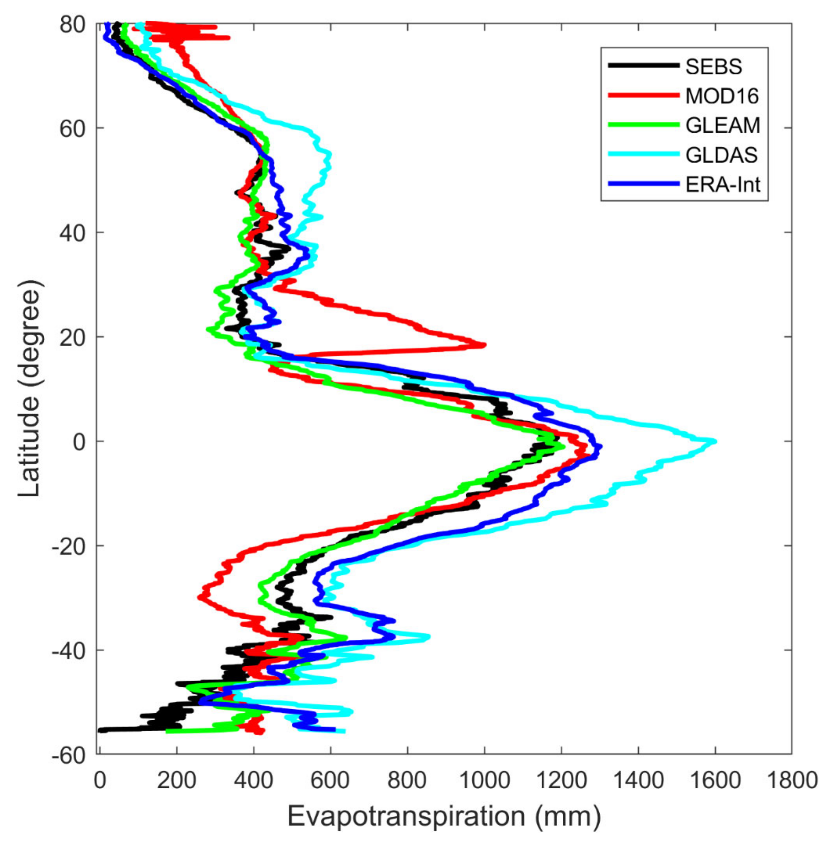
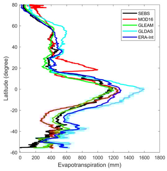
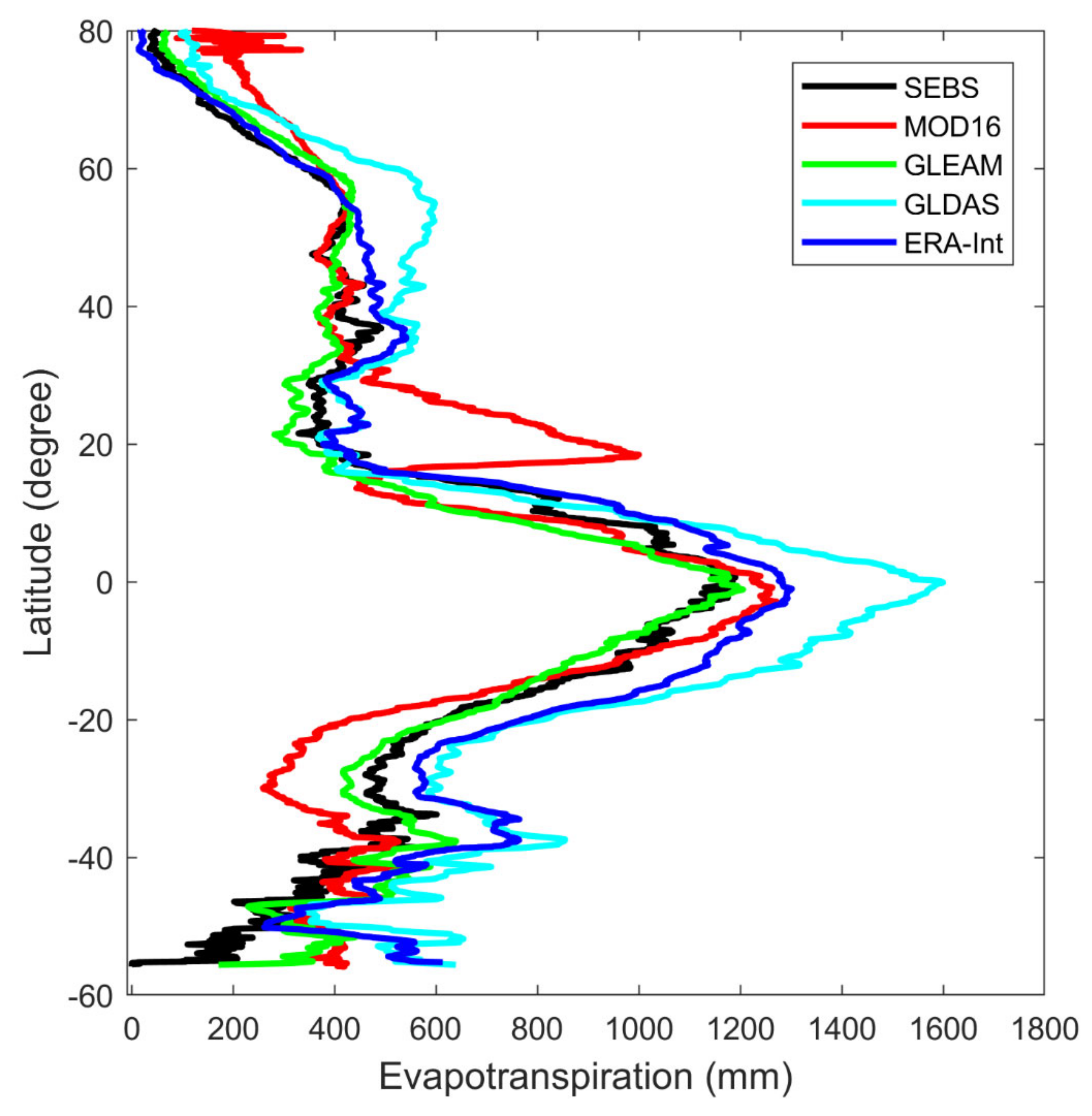
4.3. Evaluation and Generation of Land Heat Fluxes and Evapotranspiration
4.4. Climate Scale Monitoring of Soil Moisture and Soil Temperature and Validation of Large Scale Soil Moisture Products
4.5. Trajectory of Water Vapor Transport in the Canyon Area of Southeast Tibet
4.6. Vertical Characteristics of Water Vapor Exchange between Upper Troposphere and Lower Stratosphere
5. Discussion and Conclusions
- (1)
- Promote the exploitation of ESA and Chinese EO data for science and application development with an emphasis on generating climate data records related to essential water variables using ESA and Chinese EO data;
- (2)
- Stimulate scientific exchanges by forming joint Sino-European teams by means of academic exchanges, in particular of young scientists. This was an extension of the Dragon 3 programme and other collaborative projects;
- (3)
- Provide training to young European and Chinese scientists. We have continued the successful joint supervision of young scientists started from Dragon 1, 2, 3 programme, and so far there have been 17 joint PhD promotions (Dr. R. van der Velde, Dr. J. Timmermans, Dr. C. Qin, Dr. Y. Zeng, Dr. X. Chen, Dr. L. Zhong, Dr. J. Malik, Dr. X. Tian, Dr. L. Li, Dr. D. Zheng, Dr. Y. Huang, Dr. L. Dente, Dr. B. Wang, Dr. S. Lv, Dr. Q. Wang, Dr. X. Yuan, Dr. H. Zhao and several ongoing PhD researchers (a list can be found at https://www.itc.nl/research/phd-projects/?researchtheme=wcc) (accessed on 6 September 2021);
- (4)
- Publish co-authored results in ESA-NRSCC joint results publication and in leading scientific journals. A list of publications resulted in partial support by previous Dragon programme can be found in Appendix A).
- (1)
- While progress has been made to estimate the various water and energy budgets terms in Equations (1)–(3), their degree of closure and climatic consistencies have not been assessed in the TPE. Does the TPE have a more accelerated water cycle (i.e., fluxes) and water cycle dynamics (i.e., stores) than other regions in the world? To address this question, we need to independently quantify the different terms of water store and flux terms in Equations (1)–(3). Current and future satellite observations, together with numerical modeling, can help to advance this science issue by quantifying the amount of moisture stores at and below the land surface as soil moisture and surface water store and groundwater, respectively, and precipitation and evaporation, while more in situ observations are needed to quantify the net surface and groundwater runoff. Examples of this are the hydrological and geophysical investigations currently conducted in the Maqu catchment. The quantification of these water and energy budgets need to extend to climate scale.
- (2)
- What is the impact of and feedback to the Asian monsoon and the westerlies systems of the TPE’s water and energy budget? Because the precipitation and evaporation balance the atmospheric water vapor storage and horizontal convergence on the one hand and control the increase of water storage on land and runoff, analyzing these terms consistently with Equations (4) and (5) could help in detecting impacts and feedback between TPE and changes in the external monsoon and westerlies. These analyses need to be conducted in conjunction with analysis of the dynamics of the boundary layer dynamics and the interactions between the upper troposphere and lower stratosphere of the Tibetan atmosphere. This will provide the much-needed insights regarding the impact of climate change impact in TPE.
- (3)
- Given the projected global warming, what would be the consequences to the water resource availability in TPE and what adaptation and mitigation measures could be devised for policy making? This framework in (1) and (2) above, i.e., Equations (1)–(5), can be integrated into a regional Earth system model of the TPE and long-term simulations can be conducted to examine different scenarios.
- (4)
- What are the mechanisms and controls of the different land surface processes, heavy precipitation, ponding surface water, snow and snowmelt, frozen ground, freeze-thaw, permafrost and different ecosystem and landscape forms on the satellite signals of microwave scattering and emission? Integration of the observation operator (i.e., a forward signal simulator to simulate satellite observation) into an Earth system model (ESM) may help to overcome these challenges.
- (5)
- Can the changes of water and energy budgets in the TPE be simulated with current land surface and integrated models as used in current reanalysis? This issue may be addressed by first analyzing the consistency of available data records from satellite observations and reanalysis and gradually improving the process description in the ESM to reflect what is observed by satellite observation. This would advance the development of a more adequate ESM for the TPE.
Author Contributions
Funding
Institutional Review Board Statement
Informed Consent Statement
Data Availability Statement
Acknowledgments
Conflicts of Interest
Abbreviations
| AATSR | the Advanced Along Track Scanning Radiometer |
| AGL | height Above Ground Level |
| AIEM | advanced integral equation model |
| ALOS | Advanced Land Observing Satellite |
| AMSRE-E/2 | Advanced Microwave Scanning Radiometer (AMSR) |
| AQUA | Aqua is a NASA scientific research satellite in orbit around the Earth |
| ASAR | the Advanced Synthetic Aperture Radar |
| ATS | an air-to-soil dielectric transition model |
| CAREERI | Cold and Arid Regions Environmental Engineering Research Institute |
| CAS | Chinese Academy of Sciences |
| CCI | climate change initiative |
| CDR/ECV | climate data record, essential climate variable |
| CMA | China Meteorological Administration |
| CMEM | community microwave emission modelling platform |
| CMIP6 | Coupled Model Intercomparison Project |
| CNMC | China National Meteorological Centre |
| CO2/H2O | carbon dioxide and water |
| CORE-CLIMAX | the project for COordinating Earth observation data validation for RE-analysis for CLIMAte ServiceS |
| COSMIC | The COsmic-ray Soil Moisture Interaction Code |
| ECMWF | European Centre for Medium-Range Weather Forecasts |
| ELBARA-III | ESA L-Band Radiometer, 3rd Generation |
| ENVISAT | Environmental Satellite |
| EO | Earth Observation |
| ERA-interim | The ECMWF interim reanalysis covering the period from 1979 onwards |
| ERS | European Remote Sensing satellite |
| ESA | European Space Agency |
| ET | Evapotranspiration |
| FY | Fengyun referring to China’s weather satellites |
| GLDAS | the Global Land Data Assimilation System |
| GLEAM | Global Land Evaporation Amsterdam Model |
| ITP | Institute of Tibetan Plateau Research |
| LAI | leaf area index |
| LST | land surface temperature |
| MERIS | MEdium Resolution Imaging Spectrometer (MERIS) |
| MOD16 | MODIS global evapotranspiration product |
| MODIS | Moderate Resolution Imaging Spectroradiometer |
| NASA | The National Aeronautics and Space Administration |
| NCAR | National Center for Atmospheric Research |
| NCEP | National Centers for Environmental Prediction |
| SCAT/ASCAT | scatterometer and advanced scatterometer |
| SEBS | Surface Energy Balance System |
| SMAP | Soil Moisture Active Passive |
| SMOS | Soil Moisture and Ocean Salinity satellite |
| SSM/I | the Special Sensor Microwave/Imager |
| STEMMUS-FT | Simultaneous Transfer of Energy, Mass, and Momentum in Unsaturated Soils with Freeze–Thaw |
| STT | stratosphere to troposphere transport |
| TERRA | a multi-national NASA scientific research satellite |
| TPE | Third Pole Environment |
| TPM | Third Party Mission, referring to Third Party satellite Mission |
| TST | troposphere to stratosphere transport |
| TVG | a discrete scattering-emission model for vegetation (known also as the Tor Vergata model) |
| UTLS | upper troposphere and lower stratosphere |
| VISSR | multi-channel Visible and Infrared Spin Scan Radiometer |
| WGS’84 | The World Geodetic System 1984 |
| WRF | the Weather Research and Forecasting (WRF) Model |
Appendix A. List of Publications in Dragon 4 CLIMATE-TPE Project
- (1)
- J. P. Ngarukiyimana, Y. Fu, C. Sindikubwabo, I. F. Nkurunziza, F. K. Ogou, F. Vuguziga, B. A. Ogwang, and Y. Yang, “Climate Change in Rwanda: The Observed Changes in Daily Maximum and Minimum Surface Air Temperatures during 1961–2014,” Frontiers in Earth Science, vol. 9, p. 106, 2021, doi:10.3389/feart.2021.619512.
- (2)
- Y. Wang, Z. Zhu, Y. Ma, and L. Yuan, “Carbon and water fluxes in an alpine steppe ecosystem in the Nam Co area of the Tibetan Plateau during two years with contrasting amounts of precipitation,” International Journal of Biometeorology, vol. 64, pp. 1183–1196, 2020.
- (3)
- V. K. Oad, X. Dong, M. Arfan, V. Kumar, M. S. Mohsin, S. Saad, H. Lu, M. I. Azam, and M. Tayyab, “Identification of Shift in Sowing and Harvesting Dates of Rice Crop (L. Oryza sativa) through Remote Sensing Techniques: A Case Study of Larkana District,” Sustainability, vol. 12, n. 3586, 2020, doi:10.3390/su12093586.
- (4)
- S. Luo, Y. Fu, S. Zhou, X. Wang, and D. Wang, “Analysis of the Relationship between the Cloud Water Path and Precipitation Intensity of Mature Typhoons in the Northwest Pacific Ocean,” Advances in Atmospheric Sciences, vol. 37, pp. 359–376, 2020.
- (5)
- M. Waseem, I. Ahmad, A. Mujtaba, M. Tayyab, C. Si, H. Lue, and X. Dong, “Spatiotemporal Dynamics of Precipitation in Southwest Arid-Agriculture Zones of Pakistan,” Sustainability, vol. 12, n. 2305, 2020, doi:10.3390/su12062305.
- (6)
- Y. Fu, Y. Ma, L. Zhong, Y. Yang, X. Guo, C. Wang, X. Xu, K. Yang, X. Xu, L. Liu, G. Fan, Y. Li, and D. Wang, “Land-surface processes and summer-cloud-precipitation characteristics in the Tibetan Plateau and their effects on downstream weather: a review and perspective,” National Science Review, vol. 7, pp. 500–515, 2020.
- (7)
- K. Xu, L. Zhong, Y. Ma, M. Zou, and Z. Huang, “A study on the water vapor transport trend and water vapor source of the Tibetan Plateau,” Theoretical and Applied Climatology, vol. 140, pp. 1031–1042, 2020.
- (8)
- L. Yu, Y. Fu, Y. Yang, X. Pan, and R. Tan, “Trumpet-Shaped Topography Modulation of the Frequency, Vertical Structures, and Water Path of Cloud Systems in the Summertime Over the Southeastern Tibetan Plateau: A Perspective of Daytime-Nighttime Differences,” Journal of Geophysical Research, vol. 125, no. 3, n. e2019JD031803, 2020, doi:10.1029/2019JD031803.
- (9)
- N. Ge, L. Zhong, Y. Ma, M. Cheng, X. Wang, M. Zou, and Z. Huang, “Estimation of Land Surface Heat Fluxes Based on Landsat 7 ETM+ Data and Field Measurements over the Northern Tibetan Plateau,” Remote Sensing, vol. 11, n. 2899, 2019, doi:10.3390/rs11242899.
- (10)
- F. Chen, W. T. Crow, M. H. Cosh, A. Colliander, J. Asanuma, A. Berg, D. D. Bosch, T. G. Caldwell, C. H. Collins, K. H. Jensen, J. Martinez-Fernandez, H. McNairn, P. J. Starks, Z. Su, and J. P. Walker, “Uncertainty of Reference Pixel Soil Moisture Averages Sampled at SMAP Core Validation Sites,” Journal of Hydrometeorology, vol. 20, pp. 1553–1569, 2019.
- (11)
- L. Zhong, Y. Ma, Y. Xue, and S. Piao, “Climate Change Trends and Impacts on Vegetation Greening Over the Tibetan Plateau,” Journal of Geophysical Research, vol. 124, pp. 7540–7552, 2019.
- (12)
- B. Wang, Y. Ma, Y. Wang, Z. Su, and W. Ma, “Significant differences exist in lake-atmosphere interactions and the evaporation rates of high-elevation small and large lakes,” Journal of Hydrology, vol. 573, pp. 220–234, 2019.
- (13)
- L. Zhong, K. Xu, Y. Ma, Z. Huang, X. Wang, and N. Ge, “Evapotranspiration Estimation Using Surface Energy Balance System Model: A Case Study in the Nagqu River Basin,” Atmosphere vol. 10, n. 268, 2019, doi:10.3390/atmos10050268.
- (14)
- Z. Wei, Y. Meng, W. Zhang, J. Peng, and L. Meng, “Downscaling SMAP soil moisture estimation with gradient boosting decision tree regression over the Tibetan Plateau,” Remote Sensing of Environment, vol. 225, pp. 30–44, 2019.
- (15)
- B. Wang, Y. Ma, W. Ma, B. Su, and X. Dong, “Evaluation of ten methods for estimating evaporation in a small high-elevation lake on the Tibetan Plateau,” Theoretical and Applied Climatology, vol. 136, pp. 1033–1045, 2019.
- (16)
- Q. Wang, R. van der Velde, P. Ferrazzoli, X. Chen, X. Bai, and Z. Su, “Mapping soil moisture across the Tibetan Plateau plains using Aquarius active and passive L-band microwave observations,” International Journal of Applied Earth Observation and Geoinformation, vol. 77, pp. 108–118, 2019.
- (17)
- L. Zhong, Y. Ma, Z. Hu, Y. Fu, Y. Hu, X. Wang, M. Cheng, and N. Ge, “Estimation of hourly land surface heat fluxes over the Tibetan Plateau by the combined use of geostationary and polar-orbiting satellites,” Atmospheric Chemistry and Physics, vol. 19, pp. 5529–5541, 2019.
- (18)
- M. Zou, L. Zhong, Y. Ma, Y. Hu, and L. Feng, “Estimation of actual evapotranspiration in the Nagqu river basin of the Tibetan Plateau,” Theoretical and Applied Climatology, vol. 132, pp. 1039–1047, 2018.
- (19)
- M. Zou, L. Zhong, Y. Ma, Y. Hu, Z. Huang, K. Xu, and L. Feng, “Comparison of Two Satellite-Based Evapotranspiration Models of the Nagqu River Basin of the Tibetan Plateau,” Journal of Geophysical Research, vol. 123, pp. 3961–3975, 2018.
- (20)
- Y. Hu, L. Zhong, Y. Ma, M. Zou, K. Xu, Z. Huang, and L. Feng, “Estimation of the Land Surface Temperature over the Tibetan Plateau by Using Chinese FY-2C Geostationary Satellite Data,” Sensors, vol. 18, n. 376, 2018, doi:10.3390/s18020376.
- (21)
- M. Cheng, L. Zhong, Y. Ma, M. Zou, N. Ge, X. Wang, and Y. Hu, “A study on the assessment of multi-source satellite soil moisture products and reanalysis data for the Tibetan Plateau,” Remote Sensing, vol. 11, n. 1196, 2019, doi:10.3390/rs11101196.
- (22)
- S. Lv, Y. Zeng, J. Wen, H. Zhao, and Z. Su, “Estimation of penetration depth from soil effective temperature in microwave radiometry,” Remote Sensing, vol. 10, n. 519, 2018, doi:10.3390/rs10040519.
References
- He, H.; McGinnis, J.W.; Song, Z.; Yanai, M. Onset of the Asian summer monsoon in 1979 and the effect of the Tibetan Plateau. Mon. Weather Rev. 1987, 115, 1966–1995. [Google Scholar] [CrossRef]
- Ueda, H.; Yasunari, T. Role of warming over the Tibetan Platean in early onset of the summer monsoon over the bay of Bengal and the South China Sea. J. Meteorol. Soc. Jpn. 1998, 76, 1–12. [Google Scholar] [CrossRef] [Green Version]
- Wu, G.; Zhang, Z. Tibetan Plateau forcing and the timing of the monsoon onset over South Asia and the South China Sea. Mon. Weather Rev. 1998, 126, 913–927. [Google Scholar] [CrossRef]
- Yanai, M.; Li, C.; Song, Z. Seasonal heating of the Tibetan Plateau and its effects on the evolution of the Asian summer monsoon. J. Meteorol. Soc. Jpn. 1992, 70, 319–351. [Google Scholar] [CrossRef] [Green Version]
- Yanai, M.; Li, C. Mechanism of heating and the boundary layer over the Tibetan Plateau. Mon. Weather Rev. 1994, 122, 305–323. [Google Scholar] [CrossRef]
- Wu, T.-W.; Qian, Z.-A. The relation between the Tibetan winter snow and the Asian summer monsoon and rainfall: An observational investigation. J. Clin. 2003, 16, 2038–2051. [Google Scholar] [CrossRef]
- Zhang, Y.; Li, T.; Wang, B. Decadal change of the spring snow depth over the Tibetan Plateau: The associated circulation and influence on the east Asian summer monsoon. J. Clim. 2004, 17, 2780–2793. [Google Scholar] [CrossRef] [Green Version]
- Boos, W.R.; Kuang, Z. Dominant control of the South Asian monsoon by orographic insulation versus plateau heating. Nature 2010, 463, 218–222. [Google Scholar] [CrossRef]
- Wu, G.; Liu, Y.; He, B.; Bao, Q.; Duan, A.; Jin, F.F. Thermal controls on the Asian summer monsoon. Sci. Rep. 2012, 2, 404. [Google Scholar] [CrossRef] [Green Version]
- Su, Z.; Wen, J.; Dente, L.; van der Velde, R.; Wang, L.; Ma, Y.; Yang, K.; Hu, Z. The Tibetan Plateau observatory of plateau scale soil moisture and soil temperature (Tibet-Obs) for quantifying uncertainties in coarse resolution satellite and model products. Hydrol. Earth Syst. Sci. 2011, 15, 2303–2316. [Google Scholar] [CrossRef] [Green Version]
- Su, Z.; De Rosnay, P.; Wen, J.; Wang, L.; Zeng, Y. Evaluation of ECMWF’s soil moisture analyses using observations on the Tibetan Plateau. J. Geophys. Res. Atmos. 2013, 118, 5304–5318. [Google Scholar] [CrossRef] [Green Version]
- Zheng, D.; van der Velde, R.; Su, Z.; Wang, X.; Wen, J.; Booij, M.J.; Hoekstra, A.; Chen, Y. Augmentations to the Noah model physics for application to the Yellow River source area. Part I: Soil water flow. J. Hydrometeorol. 2015, 16, 2659–2676. [Google Scholar] [CrossRef]
- Zheng, D.; Van Der Velde, R.; Su, Z.; Wang, X.; Wen, J.; Booij, M.J.; Hoekstra, A.Y.; Chen, Y. Augmentations to the Noah model physics for application to the Yellow River source area. Part II: Turbulent heat fluxes and soil heat transport. J. Hydrometeorol. 2015, 16, 2677–2694. [Google Scholar] [CrossRef]
- Zheng, D.; Van Der Velde, R.; Su, Z.; Booij, M.J.; Hoekstra, A.Y.; Wen, J. Assessment of roughness length schemes implemented within the Noah land surface model for high-altitude regions. J. Hydrometeorol. 2014, 15, 921–937. [Google Scholar] [CrossRef] [Green Version]
- Schwank, M.; Wiesmann, A.; Werner, C.; Mätzler, C.; Weber, D.; Murk, A.; Völksch, I.; Wegmüller, U. ELBARA II, an L-band radiometer system for soil moisture research. Sensors 2010, 10, 584–612. [Google Scholar] [CrossRef]
- Su, Z.; Wen, J.; Zeng, Y.; Zhao, H.; Lv, S.; Van Der Velde, R.; Zheng, D.; Wang, X.; Wang, Z.; Schwank, M.; et al. Multiyear in-situ L-band microwave radiometry of land surface processes on the Tibetan Plateau. Sci. Data 2020, 7, 1–13. [Google Scholar] [CrossRef]
- Lv, S.; Wen, J.; Zeng, Y.; Tian, H.; Su, Z. An improved two-layer algorithm for estimating effective soil temperature in microwave radiometry using in situ temperature and soil moisture measurements. Remote Sens. Environ. 2014, 152, 356–363. [Google Scholar] [CrossRef]
- Dente, L.; Ferrazzoli, P.; Su, Z.; van Der Velde, R.; Guerriero, L. Combined use of active and passive microwave satellite data to constrain a discrete scattering model. Remote Sens. Environ. 2014, 155, 222–238. [Google Scholar] [CrossRef]
- Zhao, H.; Zeng, Y.; Han, X.; Su, Z. Retrieving Soil Physical Properties via Assimilating SMAP Brightness Temperature Observations in the Community Land Model. J. Adv. Modell. Earth Syst. 2021. in review. [Google Scholar]
- Wang, B.; Ma, Y.; Wang, Y.; Su, Z.; Ma, W. Significant differences exist in lake-atmosphere interactions and the evaporation rates of high-elevation small and large lakes. J. Hydrol. 2019, 573, 220–234. [Google Scholar] [CrossRef]
- Yu, L.; Zeng, Y.; Su, Z. Understanding the mass, momentum, and energy transfer in the frozen soil with three levels of model complexities. Hydrol. Earth Syst. Sci. 2020, 24, 4813–4830. [Google Scholar] [CrossRef]
- Yu, L.; Zeng, Y.; Wen, J.; Su, Z. Liquid-Vapor-Air Flow in the Frozen Soil. J. Geophys. Res. Atmos. 2018, 7393–7415. [Google Scholar] [CrossRef] [Green Version]
- Mwangi, S.; Zeng, Y.; Montzka, C.; Yu, L.; Su, Z. Assimilation of cosmic-ray neutron counts for the estimation of soil ice content on the eastern Tibetan Plateau. J. Geophys. Res. Atmos. 2020, 125, 1–23. [Google Scholar] [CrossRef] [Green Version]
- Zeng, Y.; Su, Z.; Barmpadimos, I.; Perrels, A.; Poli, P.; Boersma, K.F.; Frey, A.; Ma, X.; de Bruin, K.; Goosen, H.; et al. Towards a traceable climate service: Assessment of quality and usability of essential climate variables. Remote Sens. 2019, 11, 1186. [Google Scholar] [CrossRef] [Green Version]
- Zeng, Y.; Su, Z.; Calvet, J.-C.; Manninen, T.; Swinnen, E.; Schulz, J.; Roebeling, R.; Poli, P.; Tan, D.; Riihelä, A.; et al. Analysis of current validation practices in Europe for space-based climate data records of essential climate variables. Int. J. Appl. Earth Obs. Geoinf. 2015, 42, 150–161. [Google Scholar] [CrossRef]
- Zhao, H.; Zeng, Y.; Lv, S.; Su, Z. Analysis of soil hydraulic and thermal properties for land surface modeling over the Tibetan Plateau. Earth Syst. Sci. Data 2018, 10, 1031–1061. [Google Scholar] [CrossRef] [Green Version]
- Lv, S.; Zeng, Y.; Su, Z.; Wen, J. A Closed-Form Expression of Soil Temperature Sensing Depth at L-Band. IEEE Trans. Geosci. Remote Sens. 2019, 57, 4889–4897. [Google Scholar] [CrossRef]
- Hofste, J.G.; van der Velde, R.; Wen, J.; Wang, X.; Wang, Z.; Zheng, D.; van der Tol, C.; Su, Z. Year-long, broad-band, microwave backscatter observations of an alpine meadow over the Tibetan Plateau with a ground-based scatterometer. Earth Syst. Sci. Data 2021, 13, 2819–2856. [Google Scholar] [CrossRef]
- Zhao, H.; Zeng, Y.; Wen, J.; Wang, X.; Wang, Z.; Meng, X.; Su, Z. An Air-to-Soil Transition Model for Discrete Scattering-Emission Modelling at L-Band. J. Remote Sens. 2021, 2021, 1–20. [Google Scholar] [CrossRef]
- Zheng, D.; Li, X.; Wang, X.; Wang, Z.; Wen, J.; van der Velde, R.; Schwank, M.; Su, Z. Sampling depth of L-band radiometer measurements of soil moisture and freeze-thaw dynamics on the Tibetan Plateau. Remote Sens. Environ. 2019, 226, 16–25. [Google Scholar] [CrossRef]
- Wang, B.; Ma, Y.; Su, Z.; Wang, Y.; Ma, W. Quantifying the evaporation amounts of 75 high-elevation large dimictic lakes on the Tibetan Plateau. Sci. Adv. 2020, 6, eaay8558. [Google Scholar] [CrossRef]
- Wei, Z.; Meng, Y.; Zhang, W.; Peng, J.; Meng, L. Downscaling SMAP soil moisture estimation with gradient boosting decision tree regression over the Tibetan Plateau. Remote Sens. Environ. 2019, 225, 30–44. [Google Scholar] [CrossRef]
- Zeng, Y.; Su, Z.; van der Velde, R.; Wang, L.; Xu, K.; Wang, X.; Wen, J. Blending Satellite Observed, Model Simulated, and in Situ Measured Soil Moisture over Tibetan Plateau. Remote Sens. 2016, 8, 268. [Google Scholar] [CrossRef] [Green Version]
- Zhuang, R.; Zeng, Y.; Manfreda, S.; Su, Z. Quantifying Long-Term Land Surface and Root Zone Soil Moisture over Tibetan Plateau. Remote Sens. 2020, 12, 509. [Google Scholar] [CrossRef] [Green Version]
- Chen, X.; Su, Z.; Ma, Y.; Middleton, E.M. Optimization of a remote sensing energy balance method over different canopy applied at global scale. Agric. Forest Meteorol. 2019, 279. [Google Scholar] [CrossRef]
- Zhong, L.; Ma, Y.; Hu, Z.; Fu, Y.; Hu, Y.; Wang, X.; Cheng, M.; Ge, N. Estimation of hourly land surface heat fluxes over the Tibetan Plateau by the combined use of geostationary and polar-orbiting satellites. Atmospheric Chem. Phys. 2019, 19, 5529–5541. [Google Scholar] [CrossRef] [Green Version]
- Cheng, M.; Zhong, L.; Ma, Y.; Zou, M.; Ge, N.; Wang, X.; Hu, Y. A Study on the Assessment of Multi-Source Satellite Soil Moisture Products and Reanalysis Data for the Tibetan Plateau. Remote Sens. 2019, 11, 1196. [Google Scholar] [CrossRef] [Green Version]
- Zhong, L.; Huang, Z.; Ma, Y.; Fu, Y.; Chen, M.; Ma, M.; Zheng, J. Assessments of Weather Research and Forecasting Land Surface Models in Precipitation Simulation Over the Tibetan Plateau. Earth Space Sci. 2021, 8. [Google Scholar] [CrossRef]
- Ma, Y.; Hu, Z.; Xie, Z.; Ma, W.; Wang, B.; Chen, X.; Li, M.; Zhong, L.; Sun, F.; Gu, L.; et al. A long-term (2005-2016) dataset of hourly integrated land-atmosphere interaction observations on the Tibetan Plateau. Earth Syst. Sci. Data 2020, 12, 2937–2957. [Google Scholar] [CrossRef]
- Ma, Y.; Ma, W.; Zhong, L.; Hu, Z.; Li, M.; Zhu, Z.; Han, C.; Wang, B.; Liu, X. Monitoring and Modeling the Tibetan Plateau’s climate system and its impact on East Asia. Sci. Rep. 2017, 7. [Google Scholar] [CrossRef] [Green Version]
- Lv, S.; Simmer, C.; Zeng, Y.; Su, Z.; Wen, J. L-band Microwave Emission of Frozen Soil during the Thawing Period. Remote Sens. Environ. 2021. in review. [Google Scholar]
- Fung, A.K.; Li, Z.Q.; Chen, K.S. Backscattering from a randomly rough dielectric surface. IEEE Trans. Geosci. Remote Sens. 1992, 30, 356–369. [Google Scholar] [CrossRef]
- Chen, K.S.; Wu, T.D.; Tsang, L.; Li, Q.; Shi, J.C.; Fung, A.K. Emission of rough surfaces calculated by the integral equation method with comparison to three-dimensional moment method Simulations. IEEE Trans. Geosci. Remote Sens. 2003, 41, 90–101. [Google Scholar] [CrossRef]
- Ferrazzoli, P.; Guerriero, L. Passive microwave remote sensing of forests: A model investigation. IEEE Trans. Geosci. Remote Sens. 1996, 34, 433–443. [Google Scholar] [CrossRef]
- Wang, Z.; Zhan, C.; Ning, L.; Guo, H. Evaluation of global terrestrial evapotranspiration in CMIP6 models. Theoretical Appl. Climatol. 2021, 143, 521–531. [Google Scholar] [CrossRef]
- Zhu, Z.; Piao, S.; Myneni, R.B.; Huang, M.; Zeng, Z.; Canadell, J.G.; Ciais, P.; Sitch, S.; Friedlingstein, P.; Arneth, A.; et al. Greening of the Earth and its drivers. Nat. Climate Change 2016, 6, 791. [Google Scholar] [CrossRef]
- Chen, X.; Su, Z.; Ma, Y.; Yang, K.; Wen, J.; Zhang, Y. An Improvement of Roughness Height Parameterization of the Surface Energy Balance System (SEBS) over the Tibetan Plateau. J. Appl. Meteorol. Climatol. 2013, 52, 607–622. [Google Scholar] [CrossRef] [Green Version]
- Su, Z. The Surface Energy Balance System(SEBS) for estimation of turbulent heat fluxes. Hydrol. Earth Syst. Sci. 2002, 6, 85–99. [Google Scholar] [CrossRef]
- Mu, Q.; Zhao, M.; Running, S.W. Improvements to a MODIS global terrestrial evapotranspiration algorithm. Remote Sens. Environ. 2011, 115, 1781–1800. [Google Scholar] [CrossRef]
- Martens, B.; Miralles, D.G.; Lievens, H.; van der Schalie, R.; de Jeu, R.A.M.; Fernández-Prieto, D.; Beck, H.E.; Dorigo, W.A.; Verhoest, N.E.C. GLEAM v3: Satellite-based land evaporation and root-zone soil moisture. Geosci. Model Dev. 2017, 10, 1903–1925. [Google Scholar] [CrossRef] [Green Version]
- Rodell, M.; Houser, P.R.; Jambor, U.; Gottschalck, J.; Mitchell, K.; Meng, C.J.; Arsenault, K.; Cosgrove, B.; Radakovich, J.; Bosilovich, M.; et al. The Global Land Data Assimilation System. Bull. Am. Meteorol. Soc. 2004, 85, 381–394. [Google Scholar] [CrossRef] [Green Version]
- Dee, D.P.; Uppala, S.M.; Simmons, A.J.; Berrisford, P.; Poli, P.; Kobayashi, S.; Andrae, U.; Balmaseda, M.A.; Balsamo, G.; Bauer, P.; et al. The ERA-Interim reanalysis: Configuration and performance of the data assimilation system. Q. J. R. Meteorol. Soc. 2011, 137, 553–597. [Google Scholar] [CrossRef]
- Han, C.; Ma, Y.; Wang, B.; Zhong, L.; Ma, W.; Chen, X.; Su, Z. Long-term variations in actual evapotranspiration over the Tibetan Plateau. Earth Syst. Sci. Data 2021, 13, 3513–3524. [Google Scholar] [CrossRef]
- Muñoz-Sabater, J.; Dutra, E.; Agustí-Panareda, A.; Albergel, C.; Arduini, G.; Balsamo, G.; Boussetta, S.; Choulga, M.; Harrigan, S.; Hersbach, H.; et al. ERA5-Land: A state-of-the-art global reanalysis dataset for land applications. Earth Syst. Sci. Data 2021, 13, 4349–4383. [Google Scholar] [CrossRef]
- Hersbach, H.; Bell, B.; Berrisford, P.; Hirahara, S.; Horanyi, A.; Munoz-Sabater, J.; Nicolas, J.; Peubey, C.; Radu, R.; Schepers, D.; et al. The ERA5 global reanalysis. Q. J. R. Meteorol. Soc. 2020, 146, 1999–2049. [Google Scholar] [CrossRef]
- Dorigo, W.A.; Gruber, A.; De Jeu, R.A.M.; Wagner, W.; Stacke, T.; Loew, A.; Albergel, C.; Brocca, L.; Chung, D.; Parinussa, R.M.; et al. Evaluation of the ESA CCI soil moisture product using ground-based observations. Remote Sens. Environ. 2015, 162, 380–395. [Google Scholar] [CrossRef]
- Entekhabi, D.; Njoku, E.G.; O’Neill, P.E.; Kellogg, K.H.; Crow, W.T.; Edelstein, W.N.; Entin, J.K.; Goodman, S.D.; Jackson, T.J.; Johnson, J.; et al. The Soil Moisture Active Passive (SMAP) Mission. Proc. IEEE 2010, 98, 704–716. [Google Scholar] [CrossRef]
- Colliander, A.; Jackson, T.J.; Bindlish, R.; Chan, S.; Das, N.; Kim, S.B.; Cosh, M.H.; Dunbar, R.S.; Dang, L.; Pashaian, L.; et al. Validation of SMAP surface soil moisture products with core validation sites. Remote Sens. Environ. 2017, 191, 215–231. [Google Scholar] [CrossRef]
- Reichle, R.H.; De Lannoy, G.J.M.; Liu, Q.; Ardizzone, J.V.; Colliander, A.; Conaty, A.; Crow, W.; Jackson, T.J.; Jones, L.A.; Kimball, J.S.; et al. Assessment of the SMAP Level-4 Surface and Root-Zone Soil Moisture Product Using In Situ Measurements. J. Hydrometeorol. 2017, 18, 2621–2645. [Google Scholar] [CrossRef]
- Wei, M.Y. A new formulation of the exchange of mass and trace constituents between the stratosphere and troposphere. J. Atmospheric Sci. 1987, 44, 3079–3086. [Google Scholar] [CrossRef]
- Immerzeel, W.W.; van Beek, L.P.H.; Bierkens, M.F.P. Climate Change Will Affect the Asian Water Towers. Science 2010, 328, 1382–1385. [Google Scholar] [CrossRef]
- Piao, S.; Ciais, P.; Huang, Y.; Shen, Z.; Peng, S.; Li, J.; Zhou, L.; Liu, H.; Ma, Y.; Ding, Y.; et al. The impacts of climate change on water resources and agriculture in China. Nature 2010, 467, 43–51. [Google Scholar] [CrossRef]
- Yu, L.; Fatichi, S.; Zeng, Y.; Su, Z. The role of vadose zone physics in the ecohydrological response of a Tibetan meadow to freeze-thaw cycles. Cryosphere 2020, 14, 4653–4673. [Google Scholar] [CrossRef]
- Wigneron, J.P.; Jackson, T.J.; O’Neill, P.; De Lannoy, G.; de Rosnay, P.; Walker, J.P.; Ferrazzoli, P.; Mironov, V.; Bircher, S.; Grant, J.P.; et al. Modelling the passive microwave signature from land surfaces: A review of recent results and application to the L-band SMOS & SMAP soil moisture retrieval algorithms. Remote Sens. Environ. 2017, 192, 238–262. [Google Scholar] [CrossRef]
- Kerr, Y.H.; Waldteufel, P.; Richaume, P.; Wigneron, J.P.; Ferrazzoli, P.; Mahmoodi, A.; Al Bitar, A.; Cabot, F.; Gruhier, C.; Juglea, S.E.; et al. The SMOS Soil Moisture Retrieval Algorithm. IEEE Trans. Geosci. Remote Sens. 2012, 50, 1384–1403. [Google Scholar] [CrossRef]
- de Rosnay, P.; Munoz-Sabater, J.; Albergel, C.; Isaksen, L.; English, S.; Drusch, M.; Wigneron, J.-P. SMOS brightness temperature forward modelling and long term monitoring at ECMWF. Remote Sens. Environ. 2020, 237. [Google Scholar] [CrossRef]
- Stewart, R.E.; Szeto, K.K.; Bonsal, B.R.; Hanesiak, J.M.; Kochtubajda, B.; Li, Y.; Theriault, J.M.; DeBeer, C.M.; Tam, B.Y.; Li, Z.; et al. Summary and synthesis of Changing Cold Regions Network (CCRN) research in the interior of western Canada - Part 1: Projected climate and meteorology. Hydrol. Earth Syst. Sci. 2019, 23, 3437–3455. [Google Scholar] [CrossRef] [Green Version]
- DeBeer, C.M.; Wheater, H.S.; Pomeroy, J.W.; Barr, A.G.; Baltzer, J.L.; Johnstone, J.F.; Turetsky, M.R.; Stewart, R.E.; Hayashi, M.; van der Kamp, G.; et al. Summary and synthesis of Changing Cold Regions Network (CCRN) research in the interior of western Canada - Part 2: Future change in cryosphere, vegetation, and hydrology. Hydrol. Earth Syst. Sci. 2021, 25, 1849–1882. [Google Scholar] [CrossRef]











| ESA EO Data | Chinese EO Data | ESA TPM and Other Data |
|---|---|---|
| FY SERIES
|
|
| WP | Results |
|---|---|
| WP 1: Observation and modelling of microwave scattering and emission under complex terrains including permafrost and freeze and thawing | A data record of L-band radiometry [16] A data record of 1–10 GHz scatterometry [28] Analysis results of ELBARA observations [29,30] New retrieval methods by merging existing satellite data of different frequencies PhD theses |
| WP2: Advancement of physical understanding and quantification of changes of water and energy budgets in TPE | Results of observation and analysis of water and energy balance of the lakes in TPE [31] A consistent soil moisture data set for the Tibetan Plateau [32,33,34] A high-resolution land surface energy and water fluxes from satellite data using EO data using the SEBS model [35,36] Results of joint diagnoses of the products from (2)–(3) were conducted to improve model physics, parameterisation and parameters for climate analysis A STEMMUS-FT model for detailing freeze-thaw dynamics [21,22] PhD theses |
| WP3: Advancement of quantifying changes in surface characteristics and monsoon interactions | Results of analysis and validation of existing CDR/ECV data (e.g., those from ESA CCI) [37] A set of new and consistent land surface variables for the TPE (LST, soil moisture, soil thermal and hydraulic properties) Integration of these new consistent dataset into research of WP2 (see results under WP2) Development of observation operators for assimilation of microwave observation from SMOS and SMAP into the modelling system Analysis of monsoon dynamics in relation to changes of plateau surface characteristics [38] PhD theses |
Publisher’s Note: MDPI stays neutral with regard to jurisdictional claims in published maps and institutional affiliations. |
© 2021 by the authors. Licensee MDPI, Basel, Switzerland. This article is an open access article distributed under the terms and conditions of the Creative Commons Attribution (CC BY) license (https://creativecommons.org/licenses/by/4.0/).
Share and Cite
Su, Z.; Ma, Y.; Chen, X.; Dong, X.; Du, J.; Han, C.; He, Y.; Hofste, J.G.; Li, M.; Li, M.; et al. Monitoring Water and Energy Cycles at Climate Scale in the Third Pole Environment (CLIMATE-TPE). Remote Sens. 2021, 13, 3661. https://doi.org/10.3390/rs13183661
Su Z, Ma Y, Chen X, Dong X, Du J, Han C, He Y, Hofste JG, Li M, Li M, et al. Monitoring Water and Energy Cycles at Climate Scale in the Third Pole Environment (CLIMATE-TPE). Remote Sensing. 2021; 13(18):3661. https://doi.org/10.3390/rs13183661
Chicago/Turabian StyleSu, Zhongbo, Yaoming Ma, Xuelong Chen, Xiaohua Dong, Junping Du, Cunbo Han, Yanbo He, Jan G. Hofste, Maoshan Li, Mengna Li, and et al. 2021. "Monitoring Water and Energy Cycles at Climate Scale in the Third Pole Environment (CLIMATE-TPE)" Remote Sensing 13, no. 18: 3661. https://doi.org/10.3390/rs13183661
APA StyleSu, Z., Ma, Y., Chen, X., Dong, X., Du, J., Han, C., He, Y., Hofste, J. G., Li, M., Li, M., Lv, S., Ma, W., Polo, M. J., Peng, J., Qian, H., Sobrino, J., van der Velde, R., Wen, J., Wang, B., ... Zeng, Y. (2021). Monitoring Water and Energy Cycles at Climate Scale in the Third Pole Environment (CLIMATE-TPE). Remote Sensing, 13(18), 3661. https://doi.org/10.3390/rs13183661

