Preflight Radiometric Calibration of TIS Sensor Onboard SDG-1 Satellite and Estimation of Its LST Retrieval Ability
Abstract
:1. Introduction
2. Methods
2.1. Laboratory Radiometric Response Characteristic
2.2. Thermal Radiative Transfer Equation
2.3. Simulation Data Set
2.4. Split Window (SW) Algorithm
3. Results
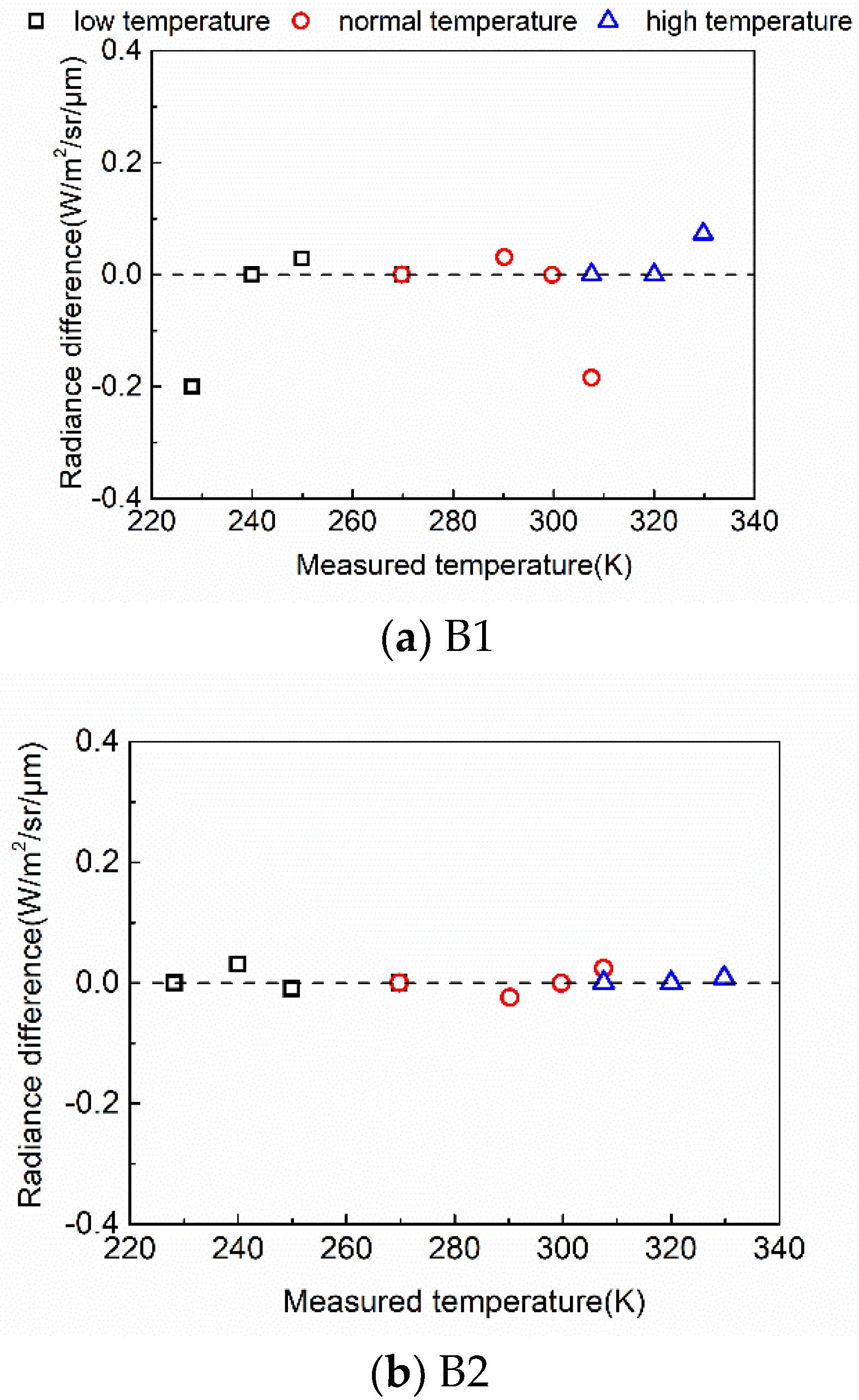
3.1. Radiometric Calibration Results
3.2. Improvement of the Radiometric Calibration
3.3. LSTs Retrieval Results
4. Discussion
4.1. Sensitivity Analysis of TIS for LST Retrieval
4.1.1. Sensitivity to Instrument Noise
4.1.2. Sensitivity to LSEs
4.1.3. Sensitivity to
4.2. Comparision with Other TIR Sensors
5. Conclusions
Author Contributions
Funding
Institutional Review Board Statement
Informed Consent Statement
Data Availability Statement
Acknowledgments
Conflicts of Interest
References
- Li, Z.-L.; Tang, R.; Wan, Z.; Bi, Y.; Zhou, C.; Tang, B.; Yan, G.; Zhang, X. A Review of Current Methodologies for Regional Evapotranspiration Estimation from Remotely Sensed Data. Sensors 2009, 9, 3801–3853. [Google Scholar] [CrossRef] [Green Version]
- Van Doninck, J.; Peters, J.; De Baets, B.; De Clercq, E.M.; Ducheyne, E.; Verhoest, N.E.C. The potential of multitemporal Aqua and Terra MODIS apparent thermal inertia as a soil moisture indicator. Int. J. Appl. Earth Obs. Geoinf. 2011, 13, 934–941. [Google Scholar] [CrossRef]
- Weng, Q. Thermal infrared remote sensing for urban climate and environmental studies: Methods, applications, and trends. ISPRS J. Photogramm. Remote Sens. 2009, 64, 335–344. [Google Scholar] [CrossRef]
- Ninomiya, Y.; Fu, B. Thermal infrared multispectral remote sensing of lithology and mineralogy based on spectral properties of materials. Ore Geol. Rev. 2019, 108, 54–72. [Google Scholar] [CrossRef]
- Eisele, A.; Chabrillat, S.; Hecker, C.; Hewson, R.; Lau, I.C.; Rogass, C.; Segl, K.; Cudahy, T.J.; Udelhoven, T.; Hostert, P.; et al. Advantages using the thermal infrared (TIR) to detect and quantify semi-arid soil properties. Remote Sens. Environ. 2015, 163, 296–311. [Google Scholar] [CrossRef]
- Anderson, M.C.; Kustas, W.P. Thermal Remote Sensing of Drought and Evapotranspiration. EOS Trans. 2008, 89, 233–234. [Google Scholar] [CrossRef]
- Neale, C.M.U.; Jaworowski, C.; Heasler, H.; Sivarajan, S.; Masih, A. Hydrothermal monitoring in Yellowstone National Park using airborne thermal infrared remote sensing. Remote Sens. Environ. 2016, 184, 628–644. [Google Scholar] [CrossRef] [Green Version]
- Hook, S.J.; Dmochowski, J.E.; Howard, K.A.; Rowan, L.C.; Karlstrom, K.E.; Stock, J.M. Mapping variations in weight percent silica measured from multispectral thermal infrared imagery—Examples from the Hiller Mountains, Nevada, USA and Tres Virgenes-La Reforma, Baja California Sur, Mexico. Remote Sens. Environ. 2005, 95, 273–289. [Google Scholar] [CrossRef]
- van der Meer, F.D.; van der Werff, H.M.A.; van Ruitenbeek, F.J.A.; Hecker, C.A.; Bakker, W.H.; Noomen, M.F.; van der Meijde, M.; Carranza, E.J.M.; Smeth, J.B.d.; Woldai, T. Multi- and hyperspectral geologic remote sensing: A review. Int. J. Appl. Earth Obs. Geoinf. 2012, 14, 112–128. [Google Scholar] [CrossRef]
- van der Meer, F.; Hecker, C.; van Ruitenbeek, F.; van der Werff, H.; de Wijkerslooth, C.; Wechsler, C. Geologic remote sensing for geothermal exploration: A review. Int. J. Appl. Earth Obs. Geoinf. 2014, 33, 255–269. [Google Scholar] [CrossRef]
- Hecker, C.; Hook, S.; van der Meijde, M.; Bakker, W.; van der Werff, H.; Wilbrink, H.; van Ruitenbeek, F.; de Smeth, B.; van der Meer, F. Thermal infrared spectrometer for Earth science remote sensing applications-instrument modifications and measurement procedures. Sensors (Basel) 2011, 11, 10981–10999. [Google Scholar] [CrossRef]
- Christensen, P.R.; Bandfield, J.L.; Hamilton, V.E.; Ruff, S.W.; Kieffer, H.H.; Titus, T.N.; Malin, M.C.; Morris, R.V.; Lane, M.D.; Clark, R.L.; et al. Mars Global Surveyor Thermal Emission Spectrometer experiment: Investigation description and surface science results. J. Geophys. Res. Planets 2001, 106, 23823–23871. [Google Scholar] [CrossRef]
- Ramsey, M.S.; Harris, A.J.L.; Crown, D.A. What can thermal infrared remote sensing of terrestrial volcanoes tell us about processes past and present on Mars? J. Volcanol. Geotherm. Res. 2016, 311, 198–216. [Google Scholar] [CrossRef]
- Hamilton, V.E.; Christensen, P.R. Evidence for extensive, olivine-rich bedrock on Mars. Geology 2005, 33, 433–436. [Google Scholar] [CrossRef]
- Dunn, T.L.; McSween, H.Y.; Christensen, P.R. Thermal emission spectra of terrestrial alkaline volcanic rocks: Applications to Martian remote sensing. J. Geophys. Res. 2007, 112, E05001. [Google Scholar] [CrossRef] [Green Version]
- Rogers, A.D.; Nekvasil, H. Feldspathic rocks on Mars: Compositional constraints from infrared spectroscopy and possible formation mechanisms. Geophys. Res. Lett. 2015, 42, 2619–2626. [Google Scholar] [CrossRef] [Green Version]
- McSween, H.Y.; Wyatt, M.B.; Gellert, R.; Bell, J.F.; Morris, R.V.; Herkenhoff, K.E.; Crumpler, L.S.; Milam, K.A.; Stockstill, K.R.; Tornabene, L.L.; et al. Characterization and petrologic interpretation of olivine-rich basalts at Gusev Crater, Mars. J. Geophys. Res. Planets 2006, 111. [Google Scholar] [CrossRef] [Green Version]
- Tang, H.; Li, Z.-L. Quantitative Remote Sensing in Thermal Infrared: Theory and Applications; Springer: Berlin/Heidelberg, Germany, 2014. [Google Scholar]
- Liu, W.; Li, J.; Han, Q.; Zhu, L.; Yang, H.; Cheng, Q. Orbital Lifetime (2008–2017) Radiometric Calibration and Evaluation of the HJ-1B IRS Thermal Infrared Band. Remote Sens. 2020, 12, 2362. [Google Scholar] [CrossRef]
- Li, Z.-L.; Wu, H.; Wang, N.; Qiu, S.; Sobrino, J.A.; Wan, Z.; Tang, B.-H.; Yan, G. Land surface emissivity retrieval from satellite data. Int. J. Remote Sens. 2012, 34, 3084–3127. [Google Scholar] [CrossRef]
- Li, Z.-L.; Tang, B.-H.; Wu, H.; Ren, H.; Yan, G.; Wan, Z.; Trigo, I.F.; Sobrino, J.A. Satellite-derived land surface temperature: Current status and perspectives. Remote Sens. Environ. 2013, 131, 14–37. [Google Scholar] [CrossRef] [Green Version]
- Ottle, C.; Vidalmadjar, D. Estimation of land surface-temperature with NOAA9. Remote Sens. Environ. 1992, 40, 27–41. [Google Scholar] [CrossRef]
- Qin, Z.; Karnieli, A.; Berliner, P. A mono-window algorithm for retrieving land surface temperature from Landsat TM data and its application to the Israel-Egypt border region. Int. J. Remote Sens. 2001, 22, 3719–3746. [Google Scholar] [CrossRef]
- Jiménez-Muñoz, J.C.; Sobrino, J.A. A generalized single-channel method for retrieving land surface temperature from remote sensing data. J. Geophys. Res. Atmos. 2003, 108. [Google Scholar] [CrossRef] [Green Version]
- Wan, Z. New refinements and validation of the collection-6 MODIS land-surface temperature/emissivity product. Remote Sens. Environ. 2014, 140, 36–45. [Google Scholar] [CrossRef]
- Wan, Z.; Li, Z.-L. A physics-based algorithm for retrieving land-surface emissivity and temperature from EOS/MODIS data. IEEE Trans. Geosci. Remote Sens. 1997, 35, 980–996. [Google Scholar] [CrossRef]
- Wan, Z.; Li, Z.L. Radiance-based validation of the V5 MODIS land-surface temperature product. Int. J. Remote Sens. 2008, 29, 5373–5395. [Google Scholar] [CrossRef]
- Wan, Z. New refinements and validation of the MODIS Land-Surface Temperature/Emissivity products. Remote Sens. Environ. 2008, 112, 59–74. [Google Scholar] [CrossRef]
- Wan, Z.; Dozier, J. A generalized split-window algorithm for retrieving land-surface temperature from space. IEEE Trans. Geosci. Remote Sens. 1996, 34, 892–905. [Google Scholar] [CrossRef] [Green Version]
- Qin, Z.; Dall’Olmo, G.; Karnieli, A.; Berliner, P. Derivation of split window algorithm and its sensitivity analysis for retrieving land surface temperature from NOAA-advanced very high resolution radiometer data. J. Geophys. Res. Atmos. 2001, 106, 22655–22670. [Google Scholar] [CrossRef]
- Ye, X.; Ren, H.; Liu, R.; Qin, Q.; Liu, Y.; Dong, J. Land Surface Temperature Estimate From Chinese Gaofen-5 Satellite Data Using Split-Window Algorithm. IEEE Trans. Geosci. Remote Sens. 2017, 55, 5877–5888. [Google Scholar] [CrossRef]
- Becker, F.; Li, Z.-L. Towards a local split window method over land surfaces. Int. J. Remote Sens. 1990, 11, 369–393. [Google Scholar] [CrossRef]
- Zheng, X.; Li, Z.-L.; Nerry, F.; Zhang, X. A new thermal infrared channel configuration for accurate land surface temperature retrieval from satellite data. Remote Sens. Environ. 2019, 231, 111216. [Google Scholar] [CrossRef]
- Gillespie, A.; Rokugawa, S.; Matsunaga, S.; Cothern, J.S.; Hook, S.; Kahle, A.B. A Temperature and Emissivity Separation Algorithm for Advanced Spaceborne Thermal Emission and Reflection Radiometer (ASTER) Images. IEEE Trans. Geosci. Remote Sens. 1998, 36, 1113–1126. [Google Scholar] [CrossRef]
- Bore1, C.C. Surface emissivity and temperature retrieval for a hyperspectral Sensor. Geosci. Remote Sens. Symp. Proc. 1998, 1, 546–549. [Google Scholar]
- Price, J.C. Land surface temperature measurements from the split window channels of the NOAA 7 advanced very high resolution radiometer. J. Geophys. Res. 1984, 89, 7231–7237. [Google Scholar] [CrossRef]
- Tang, B.; Bi, Y.; Li, Z.-L.; Xia, J. Generalized Split-Window Algorithm for Estimate of Land Surface Temperature from Chinese Geostationary FengYun Meteorological Satellite (FY-2C) Data. Sensors 2008, 8, 933–951. [Google Scholar] [CrossRef] [PubMed] [Green Version]
- Montanaro, M.; Lunsford, A.; Tesfaye, Z.; Wenny, B.; Reuter, D. Radiometric Calibration Methodology of the Landsat 8 Thermal Infrared Sensor. Remote Sens. 2014, 6, 8803–8821. [Google Scholar] [CrossRef] [Green Version]
- Berk, A.; Andersonb, G.P.; Bernsteina, L.S.; Acharya, P.K.; Dothea, H.; Matthew, M.W.; Adler-Golden, S.M.; Chetwynd, J.H.; Richtsmeiera, S.C.; Pukalib, B.; et al. MODTRAN4 radiative transfer modeling for atmospheric correction. In Proceedings of the Optical Spectroscopic Techniques and Instrumentation for Atmospheric and Space Research III, Denver, CO, USA, 19–21 July 1999. [Google Scholar]
- Sun, D.; Pinker, R.T. Retrieval of surface temperature from the MSG-SEVIRI observations: Part I. Methodology. Int. J. Remote Sens. 2007, 28, 5255–5272. [Google Scholar] [CrossRef]
- Wan, Z.; Zhang, Y.; Zhang, Q.; Li, Z.L. Quality assessment and validation of the MODIS global land surface temperature. Int. J. Remote Sens. 2004, 25, 261–274. [Google Scholar] [CrossRef]
- Xiong, X.; Barnes, W. An overview of MODIS radiometric calibration and characterization. Adv. Atmos. Sci. 2006, 23, 69–79. [Google Scholar] [CrossRef]
- Jimenez-Munoz, J.C.; Sobrino, J.A.; Skokovic, D.; Mattar, C.; Cristobal, J. Land Surface Temperature Retrieval Methods From Landsat-8 Thermal Infrared Sensor Data. IEEE Geosci. Remote Sens. Lett. 2014, 11, 1840–1843. [Google Scholar] [CrossRef]
- Yu, X.; Guo, X.; Wu, Z. Land Surface Temperature Retrieval from Landsat 8 TIRS—Comparison between Radiative Transfer Equation-Based Method, Split Window Algorithm and Single Channel Method. Remote Sens. 2014, 6, 9829–9852. [Google Scholar] [CrossRef] [Green Version]
- Barsi, J.; Schott, J.; Hook, S.; Raqueno, N.; Markham, B.; Radocinski, R. Landsat-8 Thermal Infrared Sensor (TIRS) Vicarious Radiometric Calibration. Remote Sens. 2014, 6, 11607–11626. [Google Scholar] [CrossRef] [Green Version]
- Montanaro, M.; Gerace, A.; Lunsford, A.; Reuter, D. Stray Light Artifacts in Imagery from the Landsat 8 Thermal Infrared Sensor. Remote Sens. 2014, 6, 10435–10456. [Google Scholar] [CrossRef] [Green Version]
- Pearlman, A.; Montanaro, M.; Efremova, B.; McCorkel, J.; Wenny, B.; Lunsford, A.; Reuter, D. Prelaunch Radiometric Calibration and Uncertainty Analysis of Landsat Thermal Infrared Sensor 2. IEEE Trans. Geosci. Remote Sens. 2021, 59, 2715–2726. [Google Scholar] [CrossRef]
- Ren, H.; Ye, X.; Liu, R.; Dong, J.; Qin, Q. Improving Land Surface Temperature and Emissivity Retrieval from the Chinese Gaofen-5 Satellite Using a Hybrid Algorithm. IEEE Trans. Geosci. Remote Sens. 2018, 56, 1080–1090. [Google Scholar] [CrossRef]











| Description | TIS | VIMS | TIRS | MODIS |
|---|---|---|---|---|
| Number of thermal infrared bands | 3 | 4 | 2 | 4 |
| Center wavelengths (μm) | 9.3;10.8;11.8 | 8.20;8.63;10.80;11.95 | 10.9;12.0 | 8.55;9.73;11.03;12.02 |
| Revisit time (days) | 11~15 | 8 | 16 | 1~2 |
| Orbital altitude (km) | 505 | 708 | 705 | 705 |
| Swath width (km) | 300 | 60 | 185 | 2330 |
| Pixel size at nadir (m) | 30 × 30 | 40 × 40 | 100 × 100 | 1000 × 1000 |
| Land Surface Type | Two-Channel | Three-Channel | ||
|---|---|---|---|---|
| RMSE (K) | R2 | RMSE (K) | R2 | |
| Soil | 1.08 | 0.99 | 1.01 | 0.99 |
| Rock and minerals | 0.83 | 0.99 | 0.80 | 0.99 |
| Vegetation | 0.97 | 0.99 | 0.83 | 0.99 |
| Water | 0.75 | 0.99 | 0.67 | 0.99 |
| Man-made | 0.99 | 0.99 | 0.95 | 0.99 |
| All types | 0.94 | 0.99 | 0.82 | 0.99 |
| CWV (g/ cm2) | Two-Channel | Three-Channel | ||
|---|---|---|---|---|
| RMSE (K) | R2 | RMSE (K) | R2 | |
| (0.0, 2.0) | 0.71 | 0.99 | 0.69 | 0.99 |
| (1.5, 3.0) | 0.72 | 0.99 | 0.72 | 0.99 |
| (2.5, 5.0) | 1.13 | 0.98 | 0.94 | 0.99 |
| (0.0, 5.0) | 0.94 | 0.99 | 0.82 | 0.99 |
| Land Surface Type | Two-Channel Algorithm | Three-Channel Algorithm | ||||
|---|---|---|---|---|---|---|
| RMSE without NEΔT (K) | RMSE with NEΔT (K) | Error Increase Percent | RMSE without NEΔT (K) | RMSE with NEΔT (K) | Error Increase Percent | |
| Soil | 1.08 | 1.20 | 11.11% | 1.01 | 1.13 | 11.88% |
| Rock and minerals | 0.83 | 0.91 | 9.64% | 0.80 | 0.88 | 10.00% |
| Vegetation | 0.97 | 1.05 | 8.25% | 0.83 | 0.85 | 2.41% |
| Water | 0.75 | 1.02 | 37.33% | 0.67 | 0.82 | 22.39% |
| Man-made | 0.99 | 1.10 | 11.11% | 0.95 | 1.09 | 14.74% |
| All types | 0.94 | 1.04 | 10.64% | 0.82 | 0.96 | 17.07% |
| CWV (g/ cm2) | Two-Channel Algorithm | Three-Channel Algorithm | ||||
|---|---|---|---|---|---|---|
| RMSE without NEΔT (K) | RMSE with NEΔT (K) | Error Increase Percent | RMSE without NEΔT (K) | RMSE with NEΔT (K) | Error Increase Percent | |
| (0.0, 2.0) | 0.71 | 0.86 | 21.12% | 0.69 | 0.81 | 17.39% |
| (1.5, 3.0) | 0.72 | 0.92 | 27.78% | 0.72 | 0.87 | 20.83% |
| (2.5, 5.0) | 1.13 | 1.18 | 4.42% | 0.94 | 1.00 | 6.38% |
| (0.0, 5.0) | 0.94 | 1.04 | 10.64% | 0.82 | 0.96 | 17.07% |
| Emissivity Error | Two-Channel Algorithm | Three-Channel Algorithm | ||||
|---|---|---|---|---|---|---|
| RMSE (K) | ΔRMSE (K) | Error Increase Percent | RMSE (K) | ΔRMSE (K) | Error Increase Percent | |
| −2% error | 1.37 | 0.43 | 45.74% | 0.98 | 0.16 | 19.51% |
| −1% error | 1.03 | 0.10 | 9.57% | 0.87 | 0.05 | 6.09% |
| 1% error | 1.04 | 0.11 | 10.64% | 0.93 | 0.11 | 13.41% |
| 2% error | 1.42 | 0.48 | 51.06% | 1.14 | 0.32 | 39.02% |
| Two-Channel Algorithm | Three-Channel Algorithm | |||||
|---|---|---|---|---|---|---|
| RMSE (K) | ΔRMSE (K) | Error Increase Percent | RMSE (K) | ΔRMSE (K) | Error Increase Percent | |
| − 10 | 1.10 | −0.16 | −14.55% | 1.04 | −0.22 | −21.15% |
| − 5 | 1.04 | −0.10 | −9.62% | 0.92 | −0.10 | −10.87% |
| + 5 | 0.93 | 0.01 | 1.08% | 0.73 | 0.09 | 12.33% |
| + 10 | 0.88 | 0.06 | 6.82% | 0.68 | 0.14 | 20.59% |
| + 15 | 0.84 | 0.10 | 11.90% | 0.64 | 0.18 | 28.13% |
| + 20 | 0.84 | 0.10 | 11.90% | 0.64 | 0.18 | 28.13% |
Publisher’s Note: MDPI stays neutral with regard to jurisdictional claims in published maps and institutional affiliations. |
© 2021 by the authors. Licensee MDPI, Basel, Switzerland. This article is an open access article distributed under the terms and conditions of the Creative Commons Attribution (CC BY) license (https://creativecommons.org/licenses/by/4.0/).
Share and Cite
Liu, W.; Li, J.; Zhang, Y.; Zhao, L.; Cheng, Q. Preflight Radiometric Calibration of TIS Sensor Onboard SDG-1 Satellite and Estimation of Its LST Retrieval Ability. Remote Sens. 2021, 13, 3242. https://doi.org/10.3390/rs13163242
Liu W, Li J, Zhang Y, Zhao L, Cheng Q. Preflight Radiometric Calibration of TIS Sensor Onboard SDG-1 Satellite and Estimation of Its LST Retrieval Ability. Remote Sensing. 2021; 13(16):3242. https://doi.org/10.3390/rs13163242
Chicago/Turabian StyleLiu, Wanyue, Jiaguo Li, Ying Zhang, Limin Zhao, and Qiuming Cheng. 2021. "Preflight Radiometric Calibration of TIS Sensor Onboard SDG-1 Satellite and Estimation of Its LST Retrieval Ability" Remote Sensing 13, no. 16: 3242. https://doi.org/10.3390/rs13163242
APA StyleLiu, W., Li, J., Zhang, Y., Zhao, L., & Cheng, Q. (2021). Preflight Radiometric Calibration of TIS Sensor Onboard SDG-1 Satellite and Estimation of Its LST Retrieval Ability. Remote Sensing, 13(16), 3242. https://doi.org/10.3390/rs13163242
