Leaf Area Index Variations in Ecoregions of Ardabil Province, Iran
Abstract
:1. Introduction
2. Materials and Methods
2.1. Study Area
2.2. Methodology
2.2.1. Satellite Images Used and Processed
2.2.2. Calculation of Vegetation Indices and LAI
2.2.3. LP 100 Device (Field Measurements)
2.2.4. LP 100 Device Validation
2.2.5. Geographic Information System (GIS) Application
2.2.6. Statistical Analysis and Accuracy Assessment
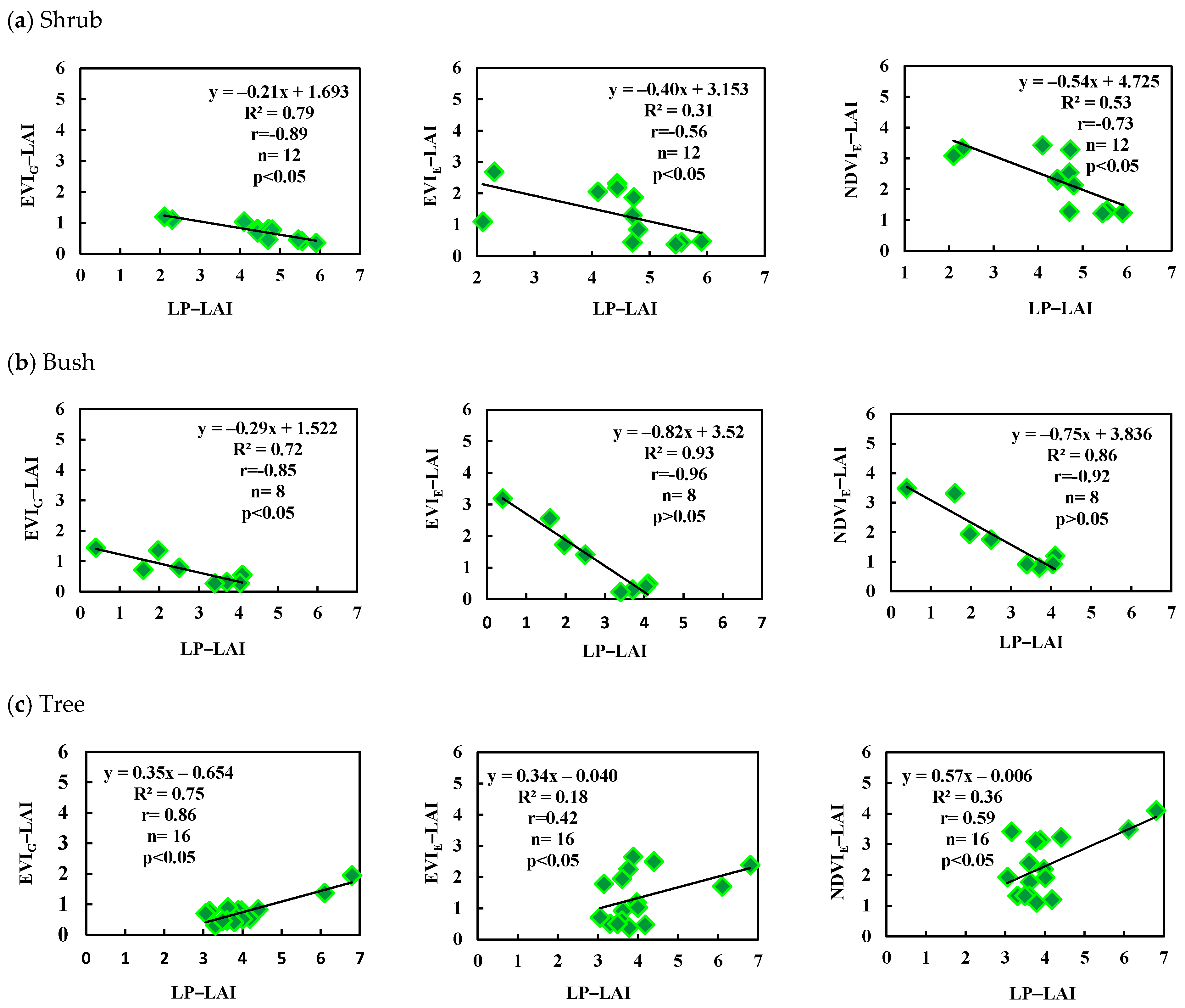
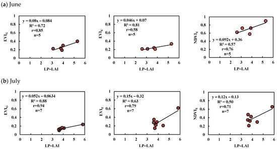
3. Results
4. Discussion
4.1. Vegetation Indices
4.2. Remote Sensing-Based LAI
4.3. Results of Statistical Analysis and Accuracy Assessment
5. Conclusions
- -
- In terms of vegetation indices and their extracted LAIs, the spatial and temporal variations were confirmed throughout the Ardabil Province.
- -
- Similar trends were found for vegetation indices and LAIs in spatial and temporal scales.
- -
- The lowest vegetation indices and LAIs were extended from north to center and a small part from south of the province.
- -
- The results confirmed the applicability of remote sensing data to LAI estimation of ecoregions of the Ardabil Province.
- -
- High correlation was found between LAI values of remote sensing and LP 100 in June and July (r > 0.83 and R2 > 0.68; except for NDVIE-LAI in June with r = 0.56 and R2 = 0.31).
- -
- The most and least correlation and determination coefficients were attributed to the EVIE-LAI for the bush and tree, respectively.
- -
- Concerning LP-LAI for bush PFT, the higher correlation and determination coefficients were related to the EVIE-LAI rather than NDVIE-LAI and EVIG-LAI.
- -
- The Multiplicative Bias (MBias) between 0.15 and 0.74, the mean absolute error (MAE) less than 0.54, and root mean square error (RMSE) less than 1.59 verified an acceptable agreement between the remote sensing and LP 100 measurements of LAI. The scrutiny of the estimation method for LAI, with higher precision, is a problem that should be dealt with in future research. Accordingly, further research needs to be carried out to explore the relationships between environmental variables on the behavior of vegetation indices in the province. Furthermore, due to the novelty of LP 100 in the LAI study, more insightful investigations with other devices are recommended as complementary research to be considered in the future.
Author Contributions
Funding
Institutional Review Board Statement
Informed Consent Statement
Data Availability Statement
Acknowledgments
Conflicts of Interest
References
- Pourhashemi, M.; Eskandari, S.; Dehghani, M.; Najafi, T.; Asadi, A.; Panahi, P. Biomass and leaf area index of Caucasian Hackberry (Celtis caucasica Willd.) in Taileh urban forest, Sanandaj, Iran. Iran. Jungle Poplar Res. Q. 2011, 19, 609–620. [Google Scholar]
- Černý, J.; Krejza, J.; Pokorny, R.; Bednar, P. LP 100—A new device for estimating forest ecosystem leaf area index compared to the etalon: A methodologic case study. J. For. Sci. 2018, 64, 455–468. [Google Scholar] [CrossRef]
- Tan, C.W.; Zhang, P.P.; Zhou, X.X.; Wang, Z.X.; Xu, Z.Q.; Mao, W. Quantitative monitoring of leaf area index in wheat of different plant types by integrating NDVI and Beer-Lambert law. Sci. Rep. 2020, 10, 929. [Google Scholar] [CrossRef]
- Miri, N.; Darvish Sefat, A.A.; Zargham, N.; Shakeri, Z. Estimation of leaf area index in Zagros forests with Landsat satellite 8 data. Iran. J. For. 2017, 9, 29–42. [Google Scholar]
- Hadian, F.; Jafari, R.; Bashari, H.; Tarkesh, M. Modeling of semi-steppe rangelands degradation in Isfahan Province using MODIS images. Iran. J. Remote Sens. GIS 2019, 11, 1–20. [Google Scholar] [CrossRef]
- Ghorbani, A.; Dadjou, F.; Moameri, M.; Biswas, A. Estimating aboveground net primary production (ANPP) using Landsat 8-based indices: A case study from Hir-Neur rangelands, Iran. Rangel. Ecol. Manag. 2020, 73, 649–657. [Google Scholar] [CrossRef]
- Ma, H.; Song, J.; Wang, J.; Xiao, Z.; Fu, Z. Improvement of spatially continuous forest LAI retrieval by integration of discrete airborne LiDAR and remote sensing multi angle optical data. Agric. For. Meteorol. 2014, 1, 60–70. [Google Scholar] [CrossRef]
- Qiao, K.; Zhu, W.; Xie, Z.; Li, P. Estimating the seasonal dynamics of the leaf area index using piecewise LAI-VI relationships based on phenophases. Remote Sens. 2019, 11, 689. [Google Scholar] [CrossRef] [Green Version]
- Meyers, P.; Kyaw, T.P.U. Modelling the plant canopy micrometeorology with higher-order closure principles. Agric. For. Meteorol. 1987, 41, 143–163. [Google Scholar] [CrossRef]
- Zheng, G.; Moskal, L.M. Retrieving leaf area index (LAI) using remote sensing: Theories, methods and sensors. Sensors 2009, 9, 2719–2745. [Google Scholar] [CrossRef] [Green Version]
- Majasalmi, T.; Rautiainen, M.; Stenberg, P.; Lukeš, P. An assessment of ground reference methods for estimating LAI of boreal forests. For. Ecol. Manag. 2013, 292, 10–18. [Google Scholar] [CrossRef]
- Jesus, W.C.J.; Vale, F.X.R. Comparison of two methods for estimating leaf area index on common bean. Agron. J. 2001, 93, 989–991. [Google Scholar] [CrossRef]
- Bréda, J.J.N. Ground-based measurements of leaf area index: A review of methods, instruments and current controversies. Exp. Bot. 2003, 54, 2403–2417. [Google Scholar] [CrossRef] [PubMed]
- Jonckheere, I.; Fleck, S.; Nackaerts, K.; Muysa, B.; Coppin, P.; Weiss, M.; Baret, F. Review of methods for in situ leaf area index determination Part I. theories, sensors and hemispherical photography. Agric. Meteorol. 2004, 121, 19–35. [Google Scholar] [CrossRef]
- Weisis, M.; Baret, F.; Smith, G.J.; Jonckheere, l.; Coppin, P. Review of methods for in situ leaf area index (LAI) determination: Part II. estimation of LAI, errors and sampling. Agric. For. Meteorol. 2004, 121, 37–53. [Google Scholar] [CrossRef]
- Fang, H.; Yinghui, Z.; Wei, S.; Li, W.; Ye, Y.; Sun, T.; Liu, W. The field measurements and high resolution reference LAI data in Hailun and Honghe, China. PANGAEA 2019. [Google Scholar] [CrossRef]
- Yan, G.; Hu, R.; Luo, J.; Weiss, M.; Jiang, H.; Mu, X.; Xie, D.; Zhang, W. Review of indirect optical measurements of leaf area index: Recent advances, challenges, and perspectives. Agric. For. Meteorol. 2019, 265, 390–411. [Google Scholar] [CrossRef]
- Singh, V.; Singh, N. Assessment and comparison of phytoremediation potential of selected plant species against Endosulfan. Int. J. Environ. Sci. Technol. 2019, 16, 3231–3248. [Google Scholar] [CrossRef]
- Pierce, L.L.; Running, S.W. Rapid estimation of coniferous forest leaf area index using a portable integrating. Ecology 1988, 6, 1762–1767. [Google Scholar] [CrossRef]
- Hosseini, A.F.; Astaraei, A.; Sanaeinejad, S.H.; Mousavi, P.M.H. Estimation of leaf area index using IRS satellite data in Neishabour region. Iran. J. Crop. Res. 2013, 3, 577–582. [Google Scholar]
- Adl, H. Estimation of leaf biomass and leaf area index of two major species in Yasuj forests. Iran. For. Poplar Res. 2007, 15, 417–426. [Google Scholar]
- Moeser, D.; Roubinek, J.; Schleppi, P.; Morsdorf, F.; Jonas, T. Canopy closure, LAI and radiation transfer from airborne LiDAR synthetic images. Agric. For. Meteorol. 2014, 197, 158–168. [Google Scholar] [CrossRef]
- Nowruzi, A.; Jalali, N.; Miri, M.; Abbasi, M. Estimation of rice leaf area index in northern Iran. J. Soil Water Resour. Prot. 2013, 3, 1–10. [Google Scholar]
- Blanco, F.F.; Folegatti, M.V. A new method for estimating the leaf area index of cucumber and tomato plants. Hortic. Bras. 2003, 21, 666–669. [Google Scholar] [CrossRef]
- Nguy-Robertson, A.; Gitelson, A.; Peng, Y.; Viña, A.; Arkebauer, T.; Rundquist, D. Greenleaf area index estimation in maize and soybean: Combining vegetation indices to achieve maximal sensitivity. Agron. J. 2012, 104, 1336–1347. [Google Scholar] [CrossRef] [Green Version]
- Peng, D.; Zhang, H.; Liu, L.; Huang, W.; Huete, A.; Zhang, X.; Wang, F.; Yu, L.; Xie, Q.; Wang, C.; et al. Estimating the aboveground biomass for planted forests based on stand age and environmental variables. Remote Sens. 2019, 11, 2270. [Google Scholar] [CrossRef] [Green Version]
- Matsushita, B.; Wei, Y.; Jin, C.; Yuyichi, O.; Guoyn, Q. Sensitivity of the enhanced vegetation index (EVI) and normalized difference vegetation index (NDVI( to topographic effects: A case study in High—Density Cypress forest. Sensors 2007, 7, 2636–2651. [Google Scholar] [CrossRef] [PubMed] [Green Version]
- Kumar, L.; Mutanga, O. Google Earth Engine Applications. Remote Sens. 2019, 11, 420. [Google Scholar]
- Gorelick, N.; Hancher, M.; Dixon, M.; Ilyushchenko, S.; Thau, D.; Moore, R. Google Earth Engine: Planetary-scale geospatial analysis for everyone. Remote Sens. Environ. 2017, 202, 18–27. [Google Scholar] [CrossRef]
- Kibret, K.S.; Marohn, C.; Cadisch, R. Use of MODIS EVI to map crop phenology, identify cropping systems, detect land use change and drought risk in Ethiopia—An application of Google Earth Engine. Remote Sens. 2020, 53, 176–191. [Google Scholar] [CrossRef]
- Andalibi, L.; Ghorbani, A.; Moameri, M.; Sharari, M. Calculation of leaf area index (LAI) with the help of LP 100. In Proceedings of the 1st International and 4th National Conference on Conversation of Natural Resources and Environment, University of Mohaghegh Ardabili, Ardabil, Iran, 27–28 August 2019. [Google Scholar]
- Homolová, L.; Janoutová, R.; Lukeš, P.; Hanuš, J.; Novotný, J.; Brovkina, O.; Fernandez, R.L. In situ data collection supporting remote sensing estimation of spruce forest parameters at the ecosystem station Bílý Kříž. Beskydy 2017, 10, 75–86. [Google Scholar] [CrossRef] [Green Version]
- Patocka, Z.; Novosadova, K.; Haninec, P.; Radek, P.; Mikita, T.; Klimánek, M. Comparison of LiDAR-based Models for true Leaf Area Index and effective Leaf Area Index estimation in young beech forests. Acta Univ. Agric. Silvic. Mendel. Brun. 2020, 68, 559. [Google Scholar] [CrossRef]
- García-Gutiérrez, V.; Stöckle, C.; Gil, P.M.; Meza, F.J. Evaluation of Penman-Monteith Model Based on Sentinel-2 Data for the Estimation of Actual Evapotranspiration in Vineyards. Remote Sens. Environ. 2021, 13, 478. [Google Scholar] [CrossRef]
- Blinn, C.; House, M.; Wynne, R.; Thomas, V.; Fox, T.; Sumnall, M. Landsat 8 based leaf area index estimation in Loblolly Pine Plantations. Forests 2019, 10, 222. [Google Scholar] [CrossRef] [Green Version]
- Campos-Taberner, M.; García-Haro, F.; Busetto, L.; Ranghetti, L.; Martinez, B.; Gilabert, M.A.; Camps-Valls, G.; Camacho de Coca, F.; Boschetti, M. A critical comparison of remote sensing Leaf Area Index estimates over rice-cultivated areas: From Sentinel-2 and Landsat-7/8 to MODIS, GEOV1 and EUMETSAT polar system. Remote Sens. 2018, 10, 763. [Google Scholar] [CrossRef] [Green Version]
- Sidi Almouctar, M.A.; Wu, Y.; Kumar, A.; Zhao, F.; Koroma, J.M.; Sadek, M. Spatiotemporal analysis of vegetation cover changes around surface water based on NDVI: A case study in Korama basin, Southern Zinder, Niger. Appl. Water Sci. 2021, 11, 1–14. [Google Scholar] [CrossRef]
- Liu, Y.; Ju, W.; Chen, J.; Zhu, G.; Xing, B.; Zhu, J.; He, M. Spatial and temporal variations of forest LAI in China during 2000–2010. Chin. Sci. Bull. 2012, 57, 2846–2856. [Google Scholar] [CrossRef] [Green Version]
- Meng, S.; Xie, X.; Zhu, B.; Wang, Y. The relative contribution of vegetation greening to the hydrological cycle in the three-north region of China: A modelling analysis. J. Hydrol. 2020, 591, 125689. [Google Scholar] [CrossRef]
- Khanna, R.; Schmid, L.; Walter, A.; Nieto, J.; Siegwart, R.; Liebisch, F. A spatio-temporal spectral framework for plant stress phenotyping. Plant Methods 2019, 15, 1–18. [Google Scholar] [CrossRef] [Green Version]
- Fyfe, S.K. Spatial and temporal variation in spectral reflectance: Are seagrass species spectrally distinct. Limnol. Oceanogr. 2003, 48, 464–479. [Google Scholar] [CrossRef]
- Thenkabail, P.S.; Smith, R.B.; De Pauw, E. Hyperspectral vegetation indices and their relationships with agricultural crop characteristics. Remote Sens. Environ. 2000, 71, 158–182. [Google Scholar] [CrossRef]
- Jarocinska, A.; Kacprzyk, M.; Marcinkowska-Ochtyra, A.; Ochtyra, A.; Zagajewski, B.; Meuleman, K. The application of APEX images in the assessment of the state of non-forest vegetation in the Karkonosze Mountains. Misc. Geogr. 2016, 20, 21–27. [Google Scholar] [CrossRef] [Green Version]
- Sims, D.; Gamon, J. Relationships between Leaf Pigment Content and Spectral Reflectance Across a Wide Range of Species, Leaf Structures and Developmental Stages. Remote Sens. Environ. 2002, 81, 337–354. [Google Scholar] [CrossRef]
- Camoglu, G.; Genc, L. Determination of water stress using thermal and spectral indices from green bean canopy. Fresenius Environ. Bull. 2013, 22, 3078–3088. [Google Scholar]
- Towers, P.; Strever, A.; Poblete-Echeverrí, C. Comparison of vegetation indices for leaf area index estimation in vertical shoot positioned vine canopies with and without Grenbiule Hail-Protection Netting. Remote Sens. 2019, 11, 1073. [Google Scholar] [CrossRef] [Green Version]
- Goswami, S.; Gamon, J.A.; Vargas, S.; Tweedie, S.E. Relationships of NDVI, biomass, and Leaf Area Index (LAI) for six key plant species in Barrow, Alaska. PeerJ Prepr. 2015, 3, e913v1. [Google Scholar] [CrossRef]
- Bappa, D.; Rabi, N.; Sahoo, S.P.; Gopal, K.; Rakesh, V.; Viswanathan, C.; Vinay, K.S.; Vinod, K.G. Comparative analysis of index and chemometric techniques-based assessment of leaf area index (LAI) in wheat through field spectroradiometer, Landsat-8, Sentinel-2 and Hyperion bands. Geocarto Int. 2020, 35, 1415–1432. [Google Scholar] [CrossRef]
- Mani, J.K.; Varghese, A.O.; Rao, K. Estimation of leaf area index of teak forests of Central India using satellite remote sensing. In Proceedings of the 38th Asian Conference on Remote Sensing, New Delhi, India, 23–27 October 2017. [Google Scholar]
- Lovynska, V.; Lakyda, P.; Sytnyk, S.; Kharytonov, N.; Piestova, I. LAI estimation by direct and indirect methods in Scots pine stands in Northern Steppe of Ukraine. J. For. Sci. 2018, 64, 514–522. [Google Scholar] [CrossRef] [Green Version]
- Behbahani, N.; Falah Shamsi, S.R.; Farzadmehr, J.; Erfanifard, S.R.; Ramezani Gasak, M. Using vegetation indices of Aster-LB imagery of estimate single trees crown cover in arid rangelands, case study: Tag-Ahmadshhi, Southern of Khorasan. Iran. J. Rangel. 2010, 4, 93–103. [Google Scholar]
- Asadi, S.; Bannayan, M.; Jahan, M.; Farid, A. Comparison of different spectral vegetation indices for the remote assessment of winter wheat leaf area index in Mashhad. J. Agroecol. 2018, 10, 913–934. [Google Scholar]
- Kakehmami, A.; Moameri, M.; Ghorbani, A.; Ghafari, S. Analysis of land use/cover changes in Ardabil Province using landscape metrics. J. RS GIS Nat. Resour. 2020, 11, 68–86. (In Persian) [Google Scholar]
- Management and Planning Organization of Ardabil Province. Studies of the Planning Plan of Ardabil Province: Summary of Findings of Planning Studies of the Province, Planning and Development Council of Ardabil Province, Management and Planning Organization of the Country; Management and Planning Organization of Ardabil Province: Ardabil, Iran, 2012; p. 63.
- Daddeh, F.; Mostafazadeh, R.; Esmali Ouri, A.; Ghorbani, A. Determining the Seasonality of Monthly Rainfall using the Markham Method in the Ardabil Province Rain Gauge Stations. J. Spat. Plan. 2020, 10, 29–42. [Google Scholar] [CrossRef]
- Sharifi, J.; Akbarzadeh, M. Investigation of vegetation changes under precipitation in semi-steppic rangelands of Ardebil Province (Case study: Arshagh Rangeland Research Site). Range Watershed Manag. 2013, 65, 507–516. (In Persian) [Google Scholar]
- Sharifi, J.; Shahmoradi, A.; Zandi Esfahan, E.; Azimi Motem, F.; Nouri, A.; Mommadi, D. Vegetation cover dynamics in semi-steppe rangelands of Ardabil Province, Iran. J. Rangel. Sci. 2018, 8, 41–51. [Google Scholar]
- Akbari, H.; Vafakhah, M.; Sharifikia, M.; Ghorbani, A. Spatial and temporal variability of soil moisture in relation with topographic and meteorological factors in south of Ardabil Province, Iran. Environ. Monit. Assess. 2018, 190, 1–12. [Google Scholar] [CrossRef]
- Bernstein, L.; Adler-Golden, S.; Jin, X.; Gregor, B.; Sundberg, R. Quick atmospheric correction (QUAC) code for VNIR-SWIR spectral imagery: Algorithm details. Workshop on Hyperspectral Image and Signal Processing. Evol. Remote Sens. 2012, 1–4. [Google Scholar] [CrossRef]
- Huete, A.R.; Liu, H.Q.; Batchily, K.; Van Leeuwen, W. A comparison of vegetation indices over a global set of TM images for EOS-MODIS. Remote Sens. Environ. 1997, 59, 440–451. [Google Scholar] [CrossRef]
- Tucker, J. Red and photographic infrared linear combinations for monitoring vegetation. Remote Sens. Environ. 1979, 8, 127–150. [Google Scholar] [CrossRef] [Green Version]
- Boegh, E. Airborne multispectral data for quantifying leaf area index, nitrogen concentration, and photosynthetic efficiency in agriculture. Remote Sens. Environ. 2002, 81, 179–193. [Google Scholar] [CrossRef]
- Saito, K.; Ogawa, S.; Aihara, M.; Otowa, K. Estimation of LAI and Forest Management on Okutama. In Proceedings of the 22nd Asian Conference on Remote Sensing, Singapore, 5–9 November 2001; pp. 11–17. [Google Scholar]
- Photon Systems Instruments. LaiPen LP 100, Manual and User Guide; PSI (Photon Systems Instruments): Drasov, Czech Republic, 2015; p. 45. [Google Scholar]
- De Bei, R.; Fuentes, S.; Gilliham, M.; Tyerman, S.; Edwards, E.; Bianchini, N.; Smith, J.; Collins, C. VitiCanopy: A free computer app to estimate canopy vigor and porosity for grapevine. Sensors 2016, 16, 585. [Google Scholar] [CrossRef] [Green Version]
- Pichon, L.; Taylor, J.; Tisseyre, B. Using smartphone leaf area index data acquired in a collaborative context within vineyards in southern France. OENO One 2020, 54, 123–130. Available online: https://oeno-one.eu/article/view/2481 (accessed on 30 June 2021). [CrossRef]
- Babaei Kafaki, S.; Khademi, A.; Mataji, A. Relationship between leaf area index and physiographical and edaphical condition in a Quercus macranthera stand (Case study: Andebil’s forest, Khalkhal). Iran. J. For. Poplar Res. 2009, 17, 280–289. [Google Scholar]
- Ghanbari, A.A.; Shakiba, M.R.; Toorchi, M.; Choukan, R. Morpho—Physiological responses of common bean leaf to water deficit stress. Eur. J. Exp. Biol. 2013, 3, 487–492. [Google Scholar]
- Lazaro, R.; Rodrigo, F.S.; Gutierrez, L.; Domingo, F.; Puigdefabregas, J. Analysis of a 30-year rainfall record (1967—1997) in semi-arid SE Spain for implications on vegetation. J. Arid. Environ. 2002, 48, 373–395. [Google Scholar] [CrossRef]
- de O. Silveira, E.M.; Carvalho, L.M.; Acerbi-Júnior, F.W.; Mello, J.M. The assessment of vegetation seasonal dynamics using multitemporal NDVI and EVI images derived from MODIS. Cerne Lavras 2008, 14, 177–184. [Google Scholar]
- Zhu, W.; Xiang, W.; Pan, Q.; Zeng, Y.; Ouyang, S.; Lei, P.; Deng, X.; Fang, X.; Peng, C. Spatial and seasonal variations of leaf area index (LAI) in subtropical secondary forests related to floristic composition and stand characters. Biogeosciences 2016, 13, 3819–3831. [Google Scholar] [CrossRef] [Green Version]
- Friedl, M.A.; Michaelsen, J.; Davis, F.W.; Walker, H.; Schimel, D.S. Estimating grassland biomass and leaf area index using ground and satellite data. Int. J. Remote Sens. 1994, 15, 1401–1420. [Google Scholar] [CrossRef]
- Siuki, S.K.; Saghafian, B.; Moazami., S. Comprehensive evaluation of 3-hourly TRMM and half-hourly GPM-IMERG satellite precipitation products. Int. J. Remote Sens. 2017, 38, 558–571. [Google Scholar] [CrossRef]









| No. | County (Time of Sampling) | Ecoregions | Dominant Plant Functional Types (PFTs; Replications) | Altitude Range (m a.s.l.) | Mean Annual Rainfall (mm) |
|---|---|---|---|---|---|
| 1 | Ardabil (June) | Darband Hir | Tree (55) | 2000–2100 | 286.80 |
| 2 | Ardabil (June) | Neur | Bush (48), tree (10) | 2000–2100 | 350.70 |
| 3 | Bilesavar (July) | Bilesavar- Khoroslo | Bush (9) | 120–200 | 267.20 |
| 4 | Germi (July) | Germi | Bush (13), tree (16) | 800–900 | 297.50 |
| 5 | Khalkhal (July) | Andabil | Shrub (13), bush (13), tree (49) | 1100–1600 | 384.60 |
| 6 | Khalkhal (July) | Hashtjin (two sub-ecoregions: Aghdagh, Berandagh) | Shrub (13), bush (10), tree (121) | 1100–2000 | 324.60 |
| 7 | Khalkhal (July) | Khalkhal (five sub-ecoregions: Isbo, Jafarabad, Majareh, Dilmadeh, Shormineh, Chenarlagh) | shrub (28), bush (10), tree (73) | 1100–2000 | 324.60 |
| 8 | Kowsar (June) | Kowsar (one sub-ecoregion: Mashkoul) | Shrub (26), tree (61) | 1300–1800 | 336.40 |
| 9 | Meshginshahr (June) | Hatam Meshasi | Shrub (15), bush (5), tree (70) | 1600–1900 | 296.20 |
| 10 | Namin (June) | Namin Highlands | Shrub (65), bush (9), tree (90) | 1400–1600 | 336.40 |
| Climatic Variable | Month/Year | Synoptic Station (Locations Are Shown in Figure 1) | |||||||
|---|---|---|---|---|---|---|---|---|---|
| Ardabil | Sareyn | Bileh Savar | Germi | Khalkhal | Kowsar | Meshginshahr | Parsabad | ||
| Elevation (m) | - | 1332 | 1632 | 749 | 749 | 1796 | 1186 | 1568 | 32 |
| Mean Precipitation (mm; 1986–2020) | June | 16.10 | 20.10 | 270 | 31.30 | 16.70 | 7.40 | 40.10 | 21.90 |
| July | 6.90 | 11.70 | 9.40 | 9.80 | 10.80 | 9.10 | 20.00 | 8.30 | |
| Annual Precipitation (mm) | 2020 | 278.20 | 362.34 | 426.79 | 395.53 | 373.23 | 325.72 | 390.72 | 276.87 |
| Mean Temperature (°C; 1986–2020) | June | 16.40 | 17.00 | 24.80 | 22.60 | 16.60 | 23.70 | 18.50 | 24.60 |
| July | 18.20 | 19.50 | 27.60 | 25.10 | 19.40 | 26.10 | 20.60 | 27.20 | |
| Annual Temperature (°C) | 2020 | 9.27 | 8.57 | 15.38 | 13.63 | 8.37 | 13.91 | 10.35 | 15.16 |
| Satellite and Sensor | Date | Path | Row | Solar Azimuth Angle (°) | Considered for Study Month |
|---|---|---|---|---|---|
| Landsat 8 OLI | 21 May2020 | 167 | 33 | 132.90 | June |
| 28 May 2020 | 166 | 34 | 126.99 | ||
| 04 May 2020 | 167 | 34 | 125.91 | ||
| 21 May 2020 | 167 | 34 | 124.22 | July | |
| 25 May 2020 | 166 | 33 | 121.89 | ||
| 25 May 2020 | 167 | 34 | 122.85 |
| Plant Functional Types (PFTs) | LP-LAI | VC-LAI | p-Value | r | R2 | MBE | MBias | RBias | MAE | RMSE |
|---|---|---|---|---|---|---|---|---|---|---|
| Shrub | 2.27 | 3.00 | p < 0.01 | 0.91 | 0.83 | 0.48 | 1.18 | 18.48 | 0.48 | 0.51 |
| Shrub | 2.24 | 2.80 | ||||||||
| Shrub | 2.80 | 3.00 | ||||||||
| Shrub | 2.85 | 3.20 | ||||||||
| Shrub | 2.12 | 2.60 | ||||||||
| Shrub | 3.25 | 3.80 | ||||||||
| Bush | 3.57 | 3.80 | p < 0.01 | 0.98 | 0.97 | 0.26 | 1.07 | 6.92 | 0.26 | 0.30 |
| Bush | 4.50 | 4.80 | ||||||||
| Bush | 2.22 | 2.69 | ||||||||
| Bush | 4.70 | 4.75 | ||||||||
| Bush | 3.60 | 4.00 | ||||||||
| Bush | 3.80 | 3.90 | ||||||||
| Tree | 0.66 | 0.77 | p < 0.01 | 0.95 | 0.90 | 0.17 | 1.05 | 4.81 | 0.43 | 0.50 |
| Tree | 4.28 | 4.49 | ||||||||
| Tree | 3.85 | 4.50 | ||||||||
| Tree | 4.37 | 3.60 | ||||||||
| Tree | 5.06 | 5.65 | ||||||||
| Tree | 2.97 | 3.20 |
| Months | June | July | |||||
|---|---|---|---|---|---|---|---|
| LAIs | Maximum | Average | Minimum | Maximum | Average | Minimum | |
| EVIG-LAI | 1.40 | 0.90 | 0.67 | 1.20 | 0.68 | 0.31 | |
| EVIE-LAI | 2.88 | 2.30 | 1.84 | 1.56 | 0.81 | 0.31 | |
| NDVIE-LAI | 4.33 | 3.17 | 2.77 | 3.64 | 1.73 | 0.81 | |
| PFTs | Shrub | Bush | Tree | |||||||
|---|---|---|---|---|---|---|---|---|---|---|
| LAIs | Minimum | Average | Maximum | Minimum | Average | Maximum | Minimum | Average | Maximum | |
| EVIG-LAI | 0.88 | 0.35 | 1.49 | 0.27 | 0.73 | 1.44 | 1.95 | 0.82 | 0.27 | |
| EVIE-LAI | 0.37 | 1.48 | 2.98 | 0.23 | 1.23 | 3.19 | 3.20 | 1.45 | 0.10 | |
| NDVIE-LAI | 1.23 | 2.62 | 4.43 | 0.79 | 1.23 | 3.49 | 4.28 | 2.23 | 0.73 | |
| Error Statistics | MBE | MBias | RBias | MAE | RMSE | ||
|---|---|---|---|---|---|---|---|
| Sampling month | June | EVIG-LAI | −0.36 | 0.28 | −72.01 | 0.36 | 1.21 |
| EVIE-LAI | −0.21 | 0.57 | −42.57 | 0.27 | 0.95 | ||
| NDVIE-LAI | −0.13 | 0.74 | −25.88 | 0.22 | 0.8 | ||
| July | EVIG-LAI | −0.54 | 0.15 | −84.81 | 0.54 | 1.45 | |
| EVIE-LAI | −0.52 | 0.18 | −82.19 | 0.52 | 1.42 | ||
| NDVIE-LAI | −0.4 | 0.42 | −58.01 | 0.41 | 1.14 | ||
| PFTs | Shrub | EVIG-LAI | −0.54 | 0.18 | −82.20 | 0.54 | 1.59 |
| EVIE-LAI | −0.45 | 0.31 | −69.14 | 0.48 | 1.46 | ||
| NDVIE-LAI | −0.04 | 0.54 | −46.41 | 0.36 | 1.13 | ||
| Bush | EVIG-LAI | −0.18 | 0.27 | −73.09 | 0.20 | 0.77 | |
| EVIE-LAI | −0.14 | 0.45 | −54.91 | 0.21 | 0.80 | ||
| NDVIE-LAI | −0.09 | 0.62 | −37.55 | 0.20 | 0.71 | ||
| Tree | EVIG-LAI | −0.50 | 0.21 | −79.30 | 0.50 | 1.39 | |
| EVIE-LAI | −0.40 | 0.37 | −63.49 | 0.43 | 1.22 | ||
| NDVIE-LAI | −0.28 | 0.56 | −43.64 | 0.32 | 0.94 | ||
Publisher’s Note: MDPI stays neutral with regard to jurisdictional claims in published maps and institutional affiliations. |
© 2021 by the authors. Licensee MDPI, Basel, Switzerland. This article is an open access article distributed under the terms and conditions of the Creative Commons Attribution (CC BY) license (https://creativecommons.org/licenses/by/4.0/).
Share and Cite
Andalibi, L.; Ghorbani, A.; Moameri, M.; Hazbavi, Z.; Nothdurft, A.; Jafari, R.; Dadjou, F. Leaf Area Index Variations in Ecoregions of Ardabil Province, Iran. Remote Sens. 2021, 13, 2879. https://doi.org/10.3390/rs13152879
Andalibi L, Ghorbani A, Moameri M, Hazbavi Z, Nothdurft A, Jafari R, Dadjou F. Leaf Area Index Variations in Ecoregions of Ardabil Province, Iran. Remote Sensing. 2021; 13(15):2879. https://doi.org/10.3390/rs13152879
Chicago/Turabian StyleAndalibi, Lida, Ardavan Ghorbani, Mehdi Moameri, Zeinab Hazbavi, Arne Nothdurft, Reza Jafari, and Farid Dadjou. 2021. "Leaf Area Index Variations in Ecoregions of Ardabil Province, Iran" Remote Sensing 13, no. 15: 2879. https://doi.org/10.3390/rs13152879
APA StyleAndalibi, L., Ghorbani, A., Moameri, M., Hazbavi, Z., Nothdurft, A., Jafari, R., & Dadjou, F. (2021). Leaf Area Index Variations in Ecoregions of Ardabil Province, Iran. Remote Sensing, 13(15), 2879. https://doi.org/10.3390/rs13152879

