Spatial, Phenological, and Inter-Annual Variations of Gross Primary Productivity in the Arctic from 2001 to 2019
Abstract
:1. Introduction
2. Study Area and Experimental Data
2.1. Study Area
2.2. Data
2.2.1. FLUXNET Data
2.2.2. Satellite Data
2.2.3. Land Cover
2.2.4. DEM (Digital Elevation Model)
3. Methods
3.1. Accuracy Assessment
3.2. Comparison of Phenological Patterns between In Situ and MOD17A2H
3.3. The Spatial Distribution Characteristics Identification and Trend Detection
4. Results and Discussion
4.1. Validation MOD17A2H Based on In Situ
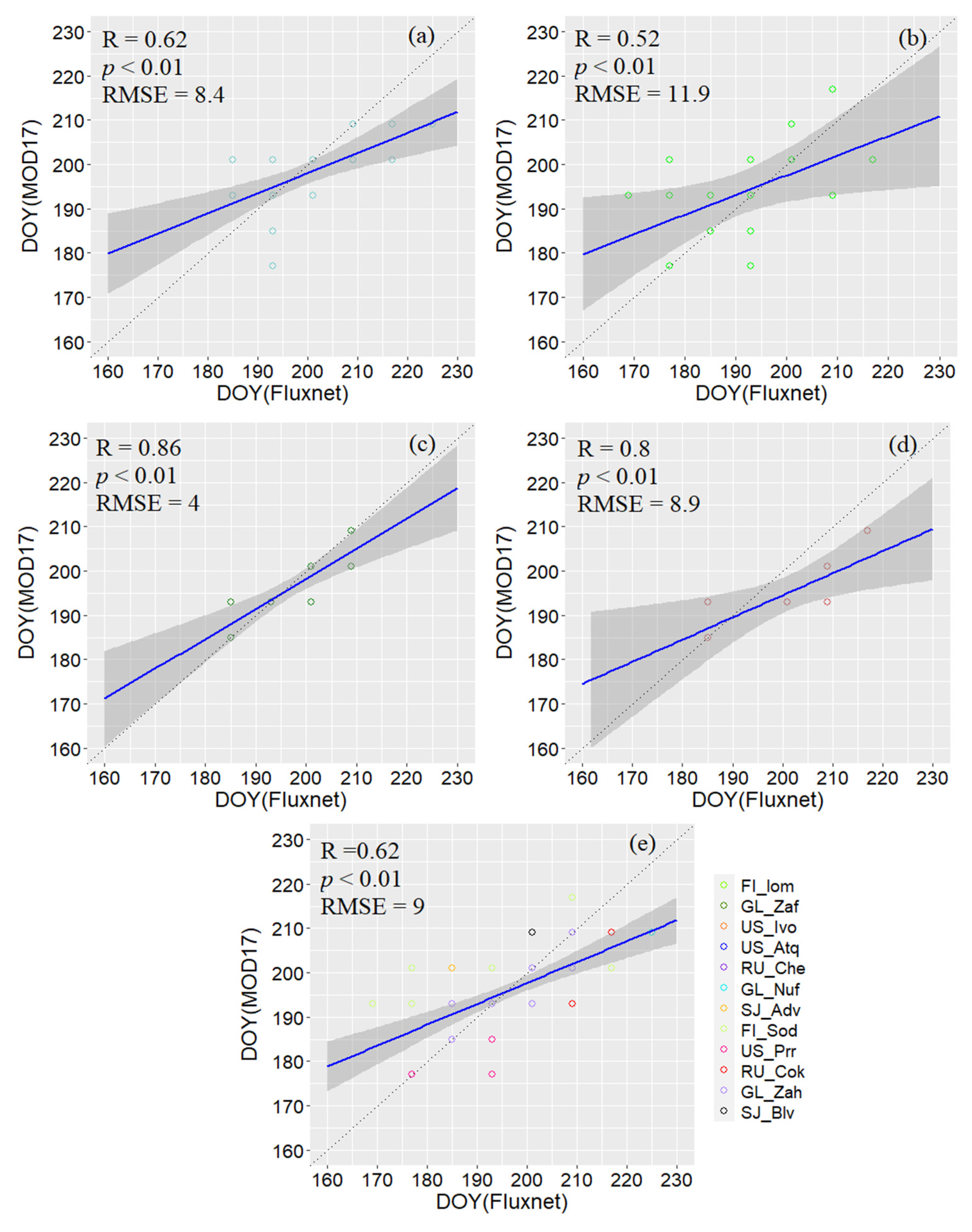
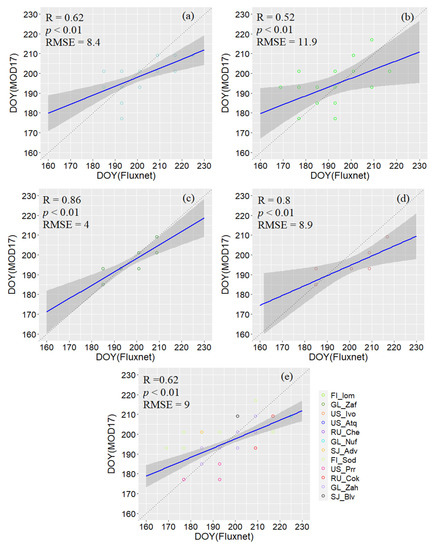
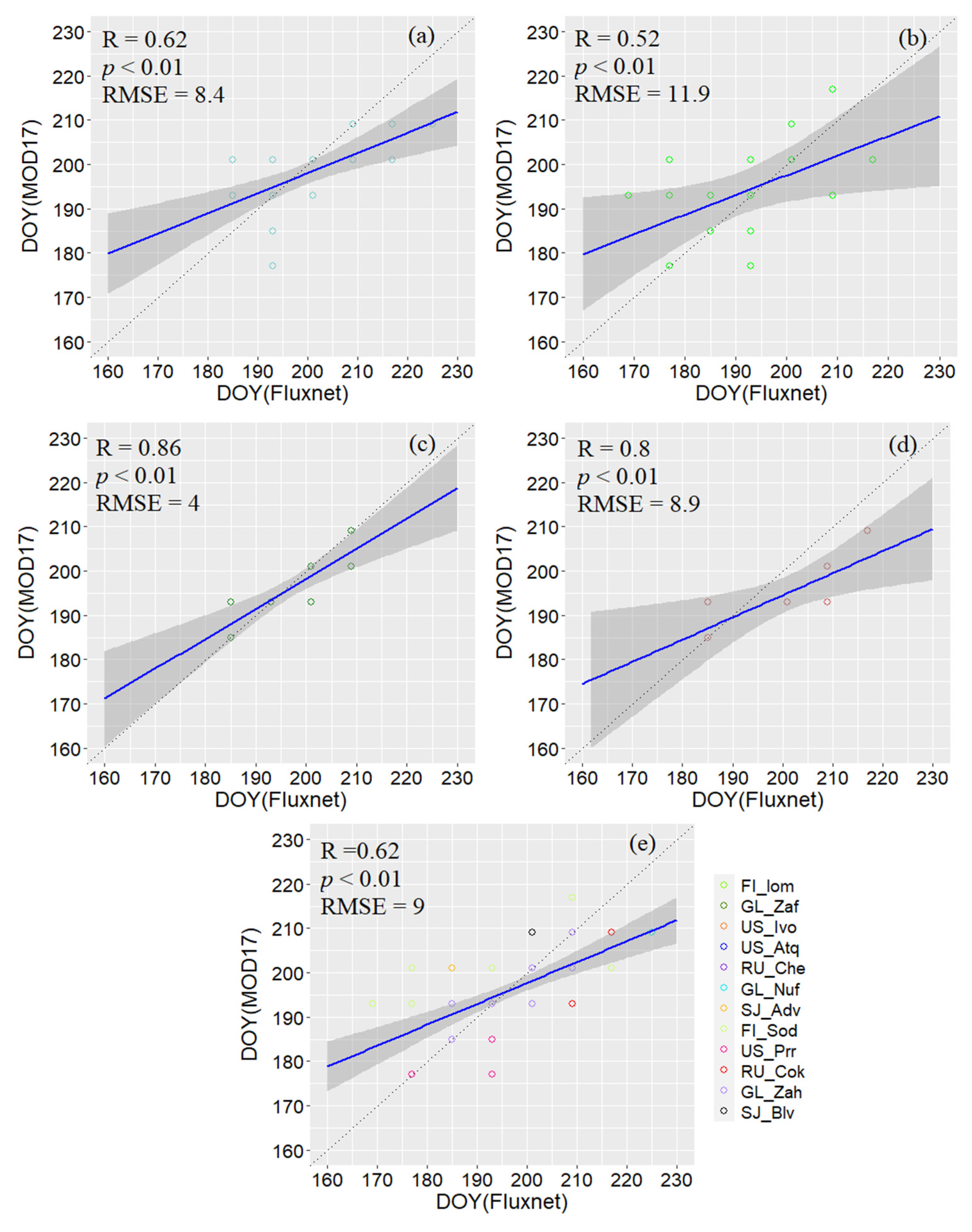
4.2. Evaluation of the Phenological Characteristics of MOD17A2H
4.3. Spatial Distribution Characteristics
4.3.1. Spatial Distribution of Annual-Averaged GPP
4.3.2. Variation of Monthly GPP
4.4. Trend Estimates of GPP
5. Conclusions
Author Contributions
Funding
Data Availability Statement
Acknowledgments
Conflicts of Interest
References
- Liu, G.M.; Wu, T.H.; Hu, G.J.; Wu, X.D.; Li, W.P. Permafrost existence is closely associated with soil organic matter preservation: Evidence from relationships among environmental factors and soil carbon in a permafrost boundary area. Catena 2021, 196, 104894. [Google Scholar] [CrossRef]
- Kug, J.S.; Jeong, J.H.; Jang, Y.S.; Kim, B.M.; Folland, C.K.; Min, S.K.; Son, S.W. Two distinct influences of arctic warming on cold winters over North America and East Asia. Nat. Geosci. 2015, 8, 759–762. [Google Scholar] [CrossRef]
- Berra, E.F.; Gaulton, R. Remote sensing of temperate and boreal forest phenology: A review of progress, challenges and opportunities in the intercomparison of in-situ and satellite phenological metrics. For. Ecol. Manag. 2021, 480, 118663. [Google Scholar] [CrossRef]
- Zhu, X.Y.; Pei, Y.Y.; Zheng, Z.P.; Dong, J.W.; Zhang, Y.; Wang, J.B.; Chen, L.J.; Doughty, R.B.; Zhang, G.L.; Xiao, X.M. Underestimates of grassland gross primary production in modis standard products. Remote Sens. 2018, 10, 1771. [Google Scholar] [CrossRef] [Green Version]
- Sun, Z.; Wang, X.; Yamamoto, H.; Tani, H.; Nie, T.; Oppenheimer, M.; Yohe, G. The effects of spatiotemporal patterns of atmospheric co2 concentration on terrestrial gross primary productivity estimation. Clim. Chang. 2020, 163, 913–930. [Google Scholar] [CrossRef]
- Francis, J.A.; Vavrus, S.J. Evidence linking arctic amplification to extreme weather in mid-latitudes. Geophys. Res. Lett. 2012, 39, 39. [Google Scholar] [CrossRef]
- Cohen, J.; Screen, J.A.; Furtado, J.C.; Barlow, M.; Whittleston, D.; Coumou, D.; Francis, J.; Dethloff, K.; Entekhabi, D.; Overland, J.; et al. Recent arctic amplification and extreme mid-latitude weather. Nat. Geosci. 2014, 7, 627–637. [Google Scholar] [CrossRef] [Green Version]
- Screen, J.A.; Simmonds, I. Amplified mid-latitude planetary waves favour particular regional weather extremes. Nat. Clim. Chang. 2014, 4, 704–709. [Google Scholar] [CrossRef] [Green Version]
- Wallace, J.M. Global warming and winter weather. Science 2014, 343, 969. [Google Scholar] [CrossRef]
- Kim, J.S.; Kug, J.S.; Jeong, S.J.; Huntzinger, D.N.; Michalak, A.M.; Schwalm, C.R.; Wei, Y.X.; Schaefer, K. Reduced north american terrestrial primary productivity linked to anomalous arctic warming. Nat. Geosci. 2017, 10, 572–576. [Google Scholar] [CrossRef]
- Wang, S.H.; Zhang, Y.G.; Ju, W.M.; Qiu, B.; Zhang, Z.Y. Tracking the seasonal and inter-annual variations of global gross primary production during last four decades using satellite near-infrared reflectance data. Sci. Total Environ. 2021, 755, 142569. [Google Scholar] [CrossRef]
- Zheng, Y.; Shen, R.Q.; Wang, Y.W.; Li, X.Q.; Liu, S.G.; Liang, S.L.; Chen, J.M.; Ju, W.M.; Zhang, L.; Yuan, W.P. Improved estimate of global gross primary production for reproducing its long-term variation, 1982–2017. Earth Syst. Sci. Data 2020, 12, 2725–2746. [Google Scholar] [CrossRef]
- Myrstener, M.; Gomez-Gener, L.; Rocher-Ros, G.; Giesler, R.; Sponseller, R.A. Nutrients influence seasonal metabolic patterns and total productivity of arctic streams. Limnol. Oceanogr. 2021, 66, S182–S196. [Google Scholar] [CrossRef]
- May, J.L.; Parker, T.; Unger, S.; Oberbauer, S.F. Short term changes in moisture content drive strong changes in normalized difference vegetation index and gross primary productivity in four arctic moss communities. Remote Sens. Environ. 2018, 212, 114–120. [Google Scholar] [CrossRef]
- Ryu, Y.; Baldocchi, D.D.; Kobayashi, H.; van Ingen, C.; Li, J.; Black, T.A.; Beringer, J.; van Gorsel, E.; Knohl, A.; Law, B.E.; et al. Integration of modis land and atmosphere products with a coupled-process model to estimate gross primary productivity and evapotranspiration from 1 km to global scales. Glob. Biogeochem. Cycles 2011, 25, 4. [Google Scholar] [CrossRef] [Green Version]
- Xia, J.Y.; Niu, S.L.; Ciais, P.; Janssens, I.A.; Chen, J.Q.; Ammann, C.; Arain, A.; Blanken, P.D.; Cescatti, A.; Bonal, D.; et al. Joint control of terrestrial gross primary productivity by plant phenology and physiology. Proc. Natl. Acad. Sci. USA 2015, 112, 2788–2793. [Google Scholar] [CrossRef] [PubMed] [Green Version]
- Ma, X.L.; Huete, A.; Yu, Q.; Restrepo-Coupe, N.; Beringer, J.; Hutley, L.B.; Kanniah, K.D.; Cleverly, J.; Eamus, D. Parameterization of an ecosystem light-use-efficiency model for predicting savanna gpp using modis evi. Remote Sens. Environ. 2014, 154, 253–271. [Google Scholar] [CrossRef]
- Heinsch, F.A.; Zhao, M.S.; Running, S.W.; Kimball, J.S.; Nemani, R.R.; Davis, K.J.; Bolstad, P.V.; Cook, B.D.; Desai, A.R.; Ricciuto, D.M.; et al. Evaluation of remote sensing based terrestrial productivity from modis using regional tower eddy flux network observations. IEEE Trans. Geosci. Remote Sens. 2006, 44, 1908–1925. [Google Scholar] [CrossRef] [Green Version]
- Sjostrom, M.; Zhao, M.; Archibald, S.; Arneth, A.; Cappelaere, B.; Falk, U.; de Grandcourt, A.; Hanan, N.; Kergoat, L.; Kutsch, W.; et al. Evaluation of modis gross primary productivity for africa using eddy covariance data. Remote Sens. Environ. 2013, 131, 275–286. [Google Scholar] [CrossRef]
- Kanniah, K.D.; Beringer, J.; Hutley, L.B.; Tapper, N.J.; Zhu, X. Evaluation of collections 4 and 5 of the modis gross primary productivity product and algorithm improvement at a tropical savanna site in northern australia. Remote Sens. Environ. 2009, 113, 1808–1822. [Google Scholar] [CrossRef]
- Wang, J.M.; Sun, R.; Zhang, H.L.; Xiao, Z.Q.; Zhu, A.R.; Wang, M.J.; Yu, T.; Xiang, K.L. New global musyq gpp/npp remote sensing products from 1981 to 2018. IEEE J. Sel. Top. Appl. Earth Obs. Remote Sens. 2021, 14, 5596–5612. [Google Scholar] [CrossRef]
- O’Sullivan, M.; Smith, W.K.; Sitch, S.; Friedlingstein, P.; Arora, V.K.; Haverd, V.; Jain, A.K.; Kato, E.; Kautz, M.; Lombardozzi, D.; et al. Climate-driven variability and trends in plant productivity over recent decades based on three global products. Glob. Biogeochem. Cycles 2020, 34, 34. [Google Scholar]
- Yu, T.; Sun, R.; Xiao, Z.Q.; Zhang, Q.; Liu, G.; Cui, T.X.; Wang, J.M. Estimation of global vegetation productivity from global land surface satellite data. Remote Sens. 2018, 10, 327. [Google Scholar] [CrossRef] [Green Version]
- Tang, X.G.; Li, H.P.; Huang, N.; Li, X.Y.; Xu, X.B.; Ding, Z.; Xie, J. A comprehensive assessment of modis-derived GPP for forest ecosystems using the site-level FLUXNET database. Environ. Earth Sci. 2015, 74, 5907–5918. [Google Scholar] [CrossRef]
- Gounand, I.; Little, C.J.; Harvey, E.; Altermatt, F. Global quantitative synthesis of ecosystem functioning across climatic zones and ecosystem types. Glob. Ecol. Biogeogr. 2020, 29, 1139–1176. [Google Scholar] [CrossRef]
- Fisher, J.I.; Mustard, J.F. Cross-scalar satellite phenology from ground, Landsat, and MODIS data. Remote Sens. Environ. 2007, 109, 261–273. [Google Scholar] [CrossRef]
- Xu, X.J.; Zhou, G.M.; Du, H.Q.; Mao, F.J.; Xu, L.; Li, X.J.; Liu, L.J. Combined modis land surface temperature and greenness data for modeling vegetation phenology, physiology, and gross primary production in terrestrial ecosystems. Sci. Total Environ. 2020, 726, 137948. [Google Scholar] [CrossRef] [PubMed]
- Yang, S.S.; Zhang, J.H.; Zhang, S.; Wang, J.W.; Bai, Y.; Yao, F.M.; Guo, H.D. The potential of remote sensing-based models on global water-use efficiency estimation: An evaluation and intercomparison of an ecosystem model (BESS) and algorithm (MODIS) using site level and upscaled eddy covariance data. Agr. Forest Meteorol. 2020, 287, 107959. [Google Scholar] [CrossRef]
- Reichstein, M.; Falge, E.; Baldocchi, D.; Papale, D.; Aubinet, M.; Berbigier, P.; Bernhofer, C.; Buchmann, N.; Gilmanov, T.; Granier, A.; et al. On the separation of net ecosystem exchange into assimilation and ecosystem respiration: Review and improved algorithm. Glob. Chang. Biol. 2005, 11, 1424–1439. [Google Scholar] [CrossRef]
- Lasslop, G.; Reichstein, M.; Papale, D.; Richardson, A.D.; Arneth, A.; Barr, A.; Stoy, P.; Wohlfahrt, G. Separation of net ecosystem exchange into assimilation and respiration using a light response curve approach: Critical issues and global evaluation. Glob. Chang. Biol. 2010, 16, 187–208. [Google Scholar] [CrossRef] [Green Version]
- Monteith, J.L. Solar radiation and productivity in tropical ecosystems. J. Appl. Ecol. 1972, 9, 747–766. [Google Scholar] [CrossRef] [Green Version]
- Running, S.W.; Zhao, M. User’s Guide Daily GPP and Annual NPP (MOD17A2H/A3H) and Year-end Gap-Filled (MOD17A2HGF/A3HGF) Products NASA Earth Observing System MODIS Land Algorithm (For Collection 6). 2019. Available online: https://landweb.modaps.eosdis.nasa.gov/QA_WWW/forPage/user_guide/MOD17UsersGuide2019.pdf (accessed on 15 July 2021).
- Liang, D.; Zuo, Y.; Huang, L.S.; Zhao, J.L.; Teng, L.; Yang, F. Evaluation of the consistency of modis land cover product (mcd12q1) based on chinese 30 m globeland30 datasets: A case study in Anhui Province, China. ISPRS Int. J. Geo-Inf. 2015, 4, 2519–2541. [Google Scholar] [CrossRef] [Green Version]
- Yamazaki, D.; Ikeshima, D.; Tawatari, R.; Yamaguchi, T.; O’Loughlin, F.; Neal, J.C.; Sampson, C.C.; Kanae, S.; Bates, P.D. A high-accuracy map of global terrain elevations. Geophys. Res. Lett. 2017, 44, 5844–5853. [Google Scholar] [CrossRef] [Green Version]
- McClean, F.; Dawson, R.; Kilsby, C. Implications of using global digital elevation models for flood risk analysis in cities. Water Resour. Res. 2020, 56, 56. [Google Scholar] [CrossRef]
- Uuemaa, E.; Ahi, S.; Montibeller, B.; Muru, M.; Kmoch, A. Vertical accuracy of freely available global digital elevation models (ASTER, AW3D30, MERIT, TanDEM-X, SRTM, and NASADEM). Remote Sens. 2020, 12, 3482. [Google Scholar] [CrossRef]
- Hao, S.R.; Jiang, L.M.; Shi, J.C.; Wang, G.X.; Liu, X.J. Assessment of modis-based fractional snow cover products over the Tibetan plateau. IEEE J. Sel. Top. Appl. Earth Obs. Remote Sens. 2019, 12, 533–548. [Google Scholar] [CrossRef]
- Yang, J.T.; Jiang, L.M.; Menard, C.B.; Luojus, K.; Lemmetyinen, J.; Pulliainen, J. Evaluation of snow products over the Tibetan plateau. Hydrol. Process. 2015, 29, 3247–3260. [Google Scholar] [CrossRef]
- Mir, R.A.; Jain, S.K.; Saraf, A.K.; Goswami, A. Accuracy assessment and trend analysis of modis-derived data on snow-covered areas in the Sutlej basin, Western Himalayas. Int. J. Remote Sens. 2015, 36, 3837–3858. [Google Scholar] [CrossRef]
- Ueyama, M.; Iwata, H.; Harazono, Y.; Euskirchen, E.S.; Oechel, W.C.; Zona, D. Growing season and spatial variations of carbon fluxes of Arctic and Boreal ecosystems in Alaska (USA). Ecol. Appl. 2013, 23, 1798–1816. [Google Scholar] [CrossRef]
- Wu, X.D.; Wen, J.G.; Xiao, Q.; You, D.Q.; Dou, B.; Lin, X.; Hueni, A. Accuracy assessment on modis (v006), glass and Musyq land-surface albedo products: A case study in the heihe river basin, china. Remote Sens. 2018, 10, 2045. [Google Scholar] [CrossRef] [Green Version]
- Li, P.X.; Zhu, W.Q.; Xie, Z.Y. Diverse and divergent influences of phenology on herbaceous aboveground biomass across the tibetan plateau alpine grasslands. Ecol. Indic. 2021, 121, 107036. [Google Scholar] [CrossRef]
- De Castro, H.C.; de Carvalho, O.A.; de Carvalho, O.L.F.; de Bem, P.P.; de Moura, R.D.; de Albuquerque, A.O.; Silva, C.R.; Ferreira, P.H.G.; Guimaraes, R.F.; Gomes, R.A.T. Rice crop detection using lstm, bi-lstm, and machine learning models from sentinel-1 time series. Remote Sens. 2020, 12, 2655. [Google Scholar]
- Yue, S.; Wang, C.Y. The mann-kendall test modified by effective sample size to detect trend in serially correlated hydrological series. Water Resour. Manag. 2004, 18, 201–218. [Google Scholar] [CrossRef]
- Gorelick, N.; Hancher, M.; Dixon, M.; Ilyushchenko, S.; Thau, D.; Moore, R. Google Earth engine: Planetary-scale geospatial analysis for everyone. Remote Sens. Environ. 2017, 202, 18–27. [Google Scholar] [CrossRef]
- Lu, L.; Guo, H.; Kuenzer, C.; Klein, I.; Zhang, L.; Li, X. Analyzing phenological changes with remote sensing data in Central Asia. IOP Conf. Ser. Earth Environ. Sci. 2014, 17, 012005. [Google Scholar] [CrossRef]
- Korner, C. The use of ‘altitude’ in ecological research. Trends Ecol. Evol. 2007, 22, 569–574. [Google Scholar] [CrossRef]
- Kato, T.; Tang, Y.H. Spatial variability and major controlling factors of co2 sink strength in asian terrestrial ecosystems: Evidence from eddy covariance data. Glob. Chang. Biol. 2008, 14, 2333–2348. [Google Scholar] [CrossRef]
- Yu, G.R.; Zhu, X.J.; Fu, Y.L.; He, H.L.; Wang, Q.F.; Wen, X.F.; Li, X.R.; Zhang, L.M.; Zhang, L.; Su, W.; et al. Spatial patterns and climate drivers of carbon fluxes in terrestrial ecosystems of China. Glob. Chang. Biol. 2013, 19, 798–810. [Google Scholar] [CrossRef]
















| Site_ID | Site_Name | Country | Latitude (° N) | Longitude (° E) | Land Cover | N |
|---|---|---|---|---|---|---|
| FI-Lom | Lompolojankka | Finland | 67.9972 | 24.2092 | WET | 71 |
| GL-NuF | Nuuk Fen | Greenland | 64.1308 | −251.3861 | WET | 105 |
| GL-ZaF | Zackenberg Fen | Greenland | 74.4814 | −20.5545 | WET | 42 |
| RU-Che | Cherski | Russia | 68.6130 | 161.3414 | WET | 33 |
| SJ-Adv | Adventdalen | Svalbard and Jan Mayen | 78.1860 | 15.9230 | WET | 23 |
| US-Atq | Atqasuk | USA | 70.4696 | −157.4089 | WET | 88 |
| US-Ivo | Ivotuk | USA | 68.4865 | −155.7503 | WET | 68 |
| FI-Sod | Sodankyla | Finland | 67.3624 | 26.6386 | ENF | 371 |
| US-Prr | Poker Flat Research Range Black Spruce Forest | USA | 65.1237 | −147.4876 | ENF | 98 |
| GL-ZaH | Zackenberg Heath | Greenland | 74.4733 | −20.5503 | GRA | 137 |
| RU-Cok | Chokurdakh | Russia | 70.8291 | 147.4943 | OSH | 107 |
| SJ-Blv | Bayelva, Spitsbergen | Svalbard and Jan Mayen | 78.9217 | 11.8311 | SNO | 13 |
Publisher’s Note: MDPI stays neutral with regard to jurisdictional claims in published maps and institutional affiliations. |
© 2021 by the authors. Licensee MDPI, Basel, Switzerland. This article is an open access article distributed under the terms and conditions of the Creative Commons Attribution (CC BY) license (https://creativecommons.org/licenses/by/4.0/).
Share and Cite
Ma, D.; Wu, X.; Ma, X.; Wang, J.; Lin, X.; Mu, C. Spatial, Phenological, and Inter-Annual Variations of Gross Primary Productivity in the Arctic from 2001 to 2019. Remote Sens. 2021, 13, 2875. https://doi.org/10.3390/rs13152875
Ma D, Wu X, Ma X, Wang J, Lin X, Mu C. Spatial, Phenological, and Inter-Annual Variations of Gross Primary Productivity in the Arctic from 2001 to 2019. Remote Sensing. 2021; 13(15):2875. https://doi.org/10.3390/rs13152875
Chicago/Turabian StyleMa, Dujuan, Xiaodan Wu, Xuanlong Ma, Jingping Wang, Xingwen Lin, and Cuicui Mu. 2021. "Spatial, Phenological, and Inter-Annual Variations of Gross Primary Productivity in the Arctic from 2001 to 2019" Remote Sensing 13, no. 15: 2875. https://doi.org/10.3390/rs13152875
APA StyleMa, D., Wu, X., Ma, X., Wang, J., Lin, X., & Mu, C. (2021). Spatial, Phenological, and Inter-Annual Variations of Gross Primary Productivity in the Arctic from 2001 to 2019. Remote Sensing, 13(15), 2875. https://doi.org/10.3390/rs13152875

