Remote Sensing of Aerated Flows at Large Dams: Proof of Concept
Abstract
:1. Introduction
2. Materials and Methods
2.1. Prototype (Hinze Dam) and Laboratory (UQ) Stepped Spillway
2.2. Cameras and Signal Processing
2.3. Phase-Detection Probe and Signal Processing
3. Results (1): Inception Point of Free-Surface Aeration
4. Results (2): Laboratory Stepped Spillway
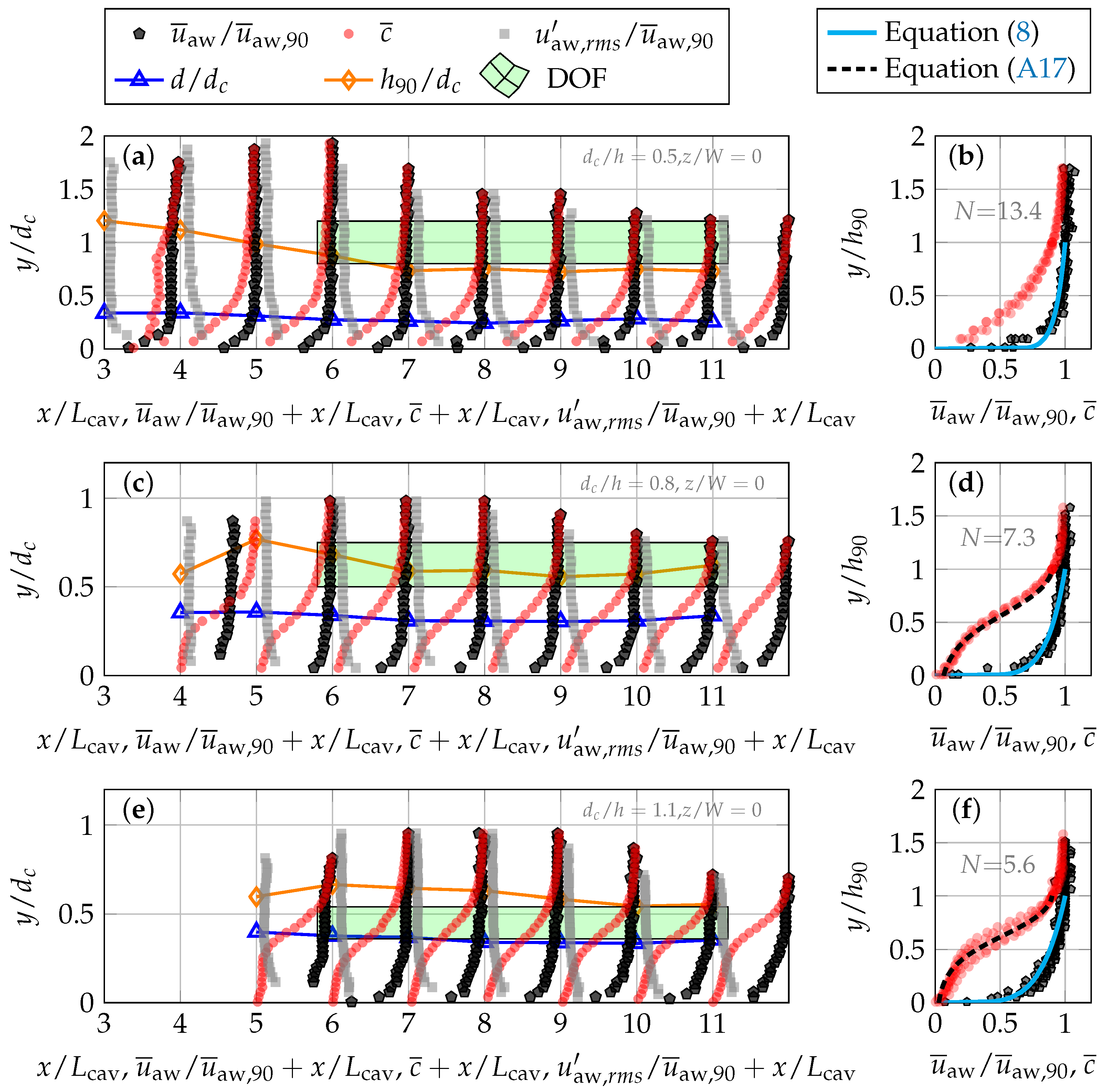
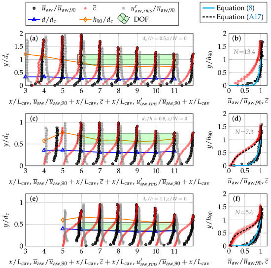
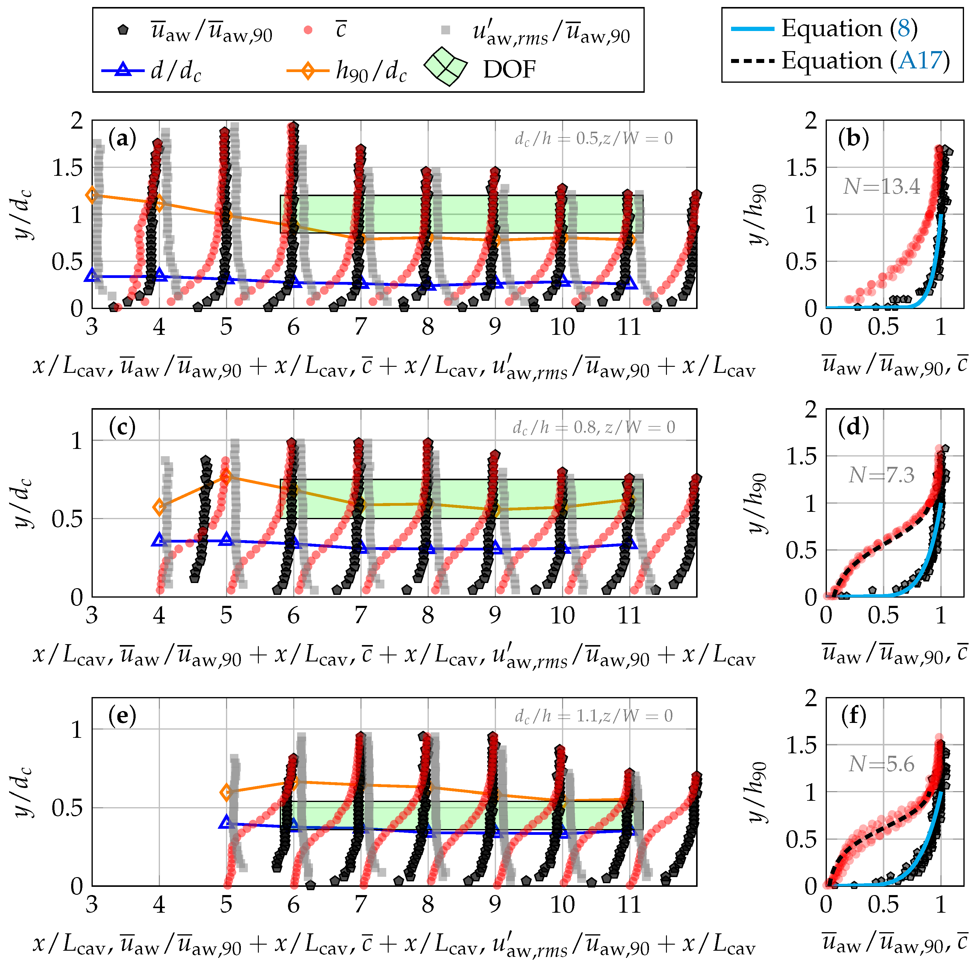
4.1. Air–Water Flow Properties
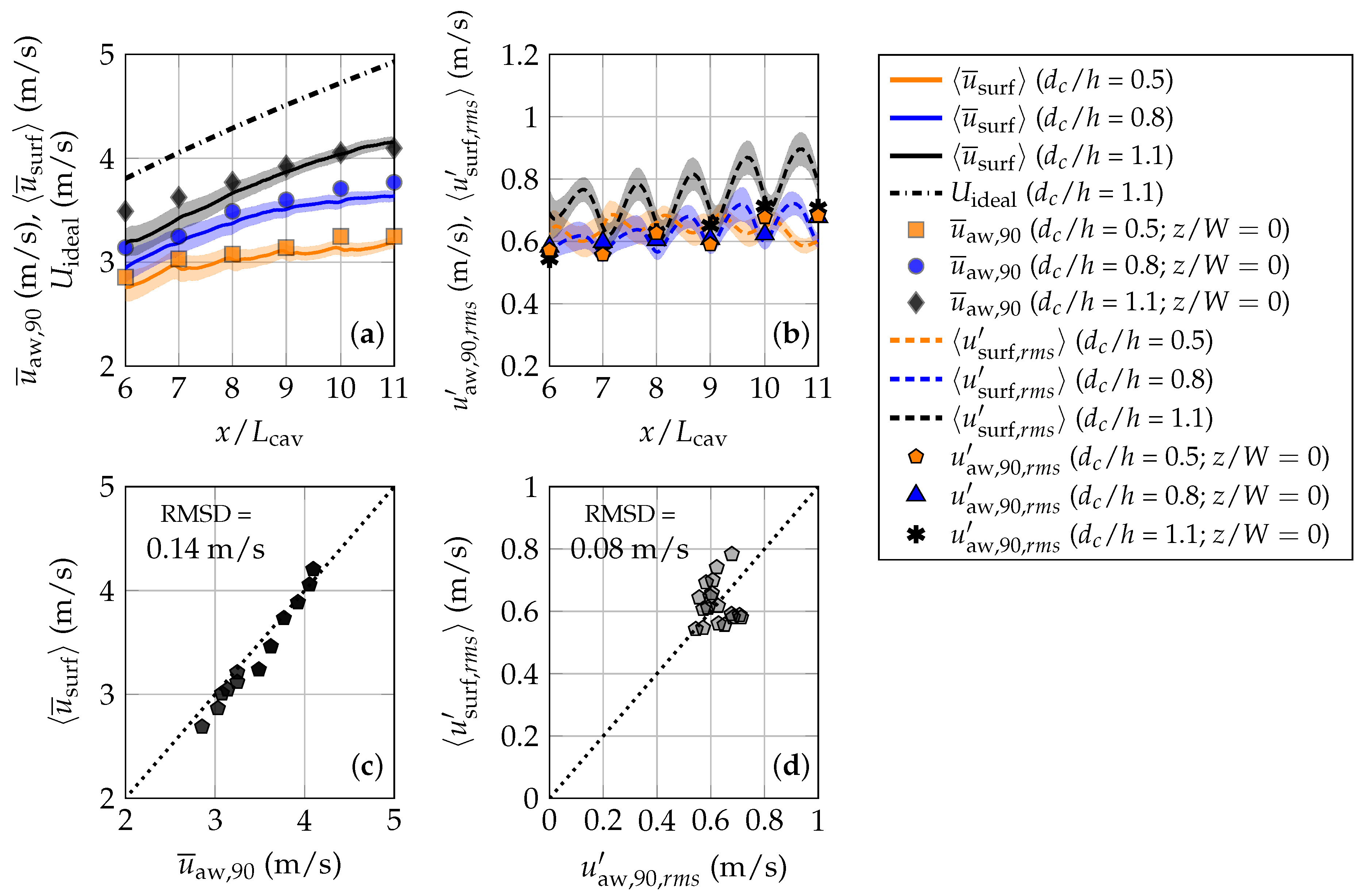
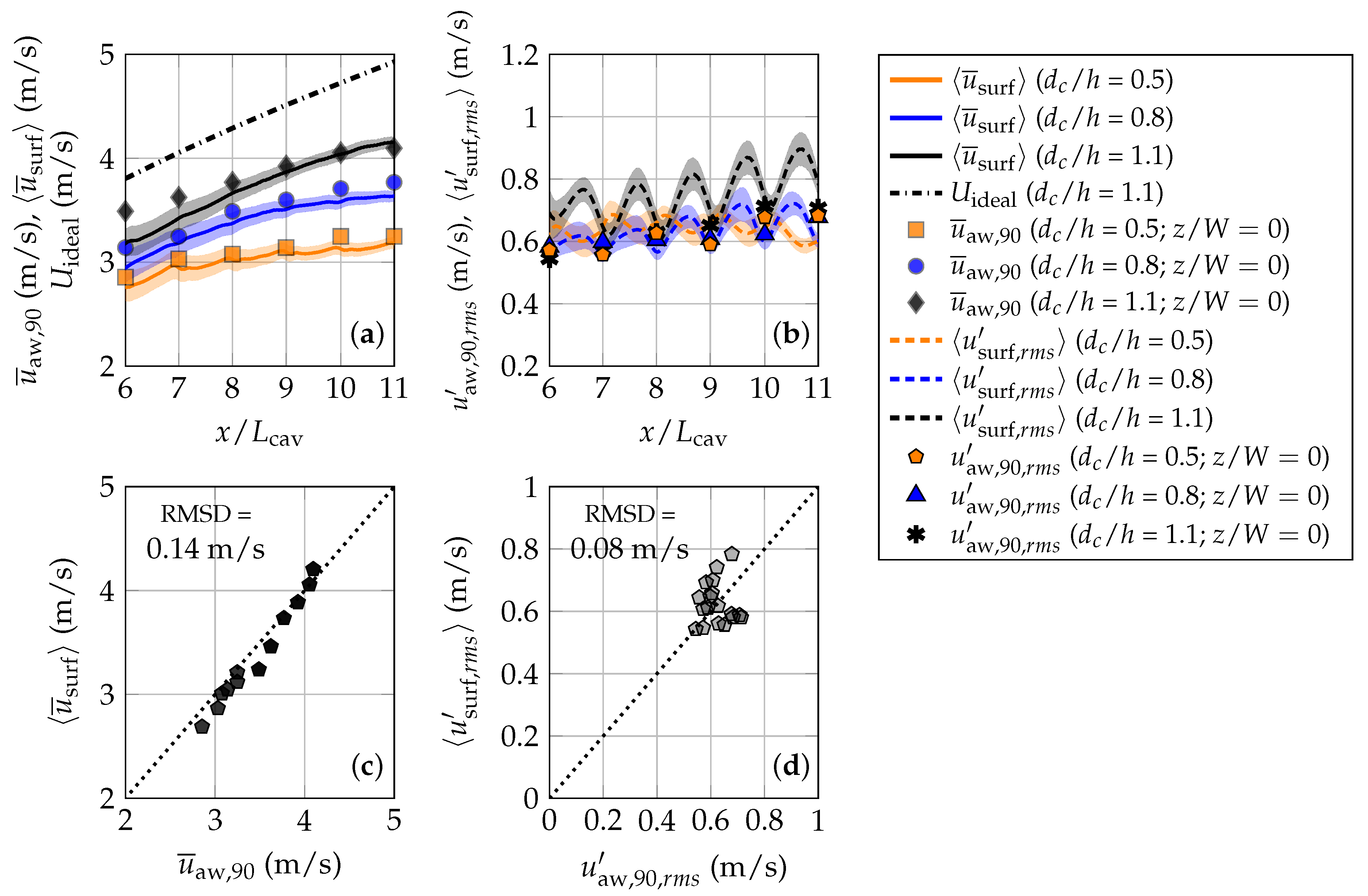
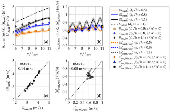
4.2. Surface Mean Velocities and Turbulence
4.3. Validation of Surface Velocimetry in Air–Water Flows
5. Results (3): Surface Velocities at Prototype Scale
6. Discussion: Remote Estimation of Residual Energy
7. Conclusions
Author Contributions
Funding
Data Availability Statement
Acknowledgments
Conflicts of Interest
Abbreviations
| Local time-averaged air concentration | |
| d | Clear water flow depth (m) |
| Critical flow depth (m) | |
| Constant for air concentration distribution | |
| Step roughness Froude number | |
| f | Sampling frequency (1/s) |
| g | Gravitational acceleration (m/s) |
| Gradient threshold (1/px) | |
| h | Step height (m) |
| Dam height (m) | |
| Total head at the weir crest (m) | |
| Residual energy (m) | |
| Mixture flow depth where (m) | |
| I | Pixel intensity |
| Image gradient magnitude (1/px) | |
| i | Running variable |
| k | Roughness height (m) |
| Constant for air concentration distribution | |
| l | Step length (m) |
| Step cavity length (m) | |
| Distance between weir crest and inception point of free-surface aeration (m) | |
| n | Number of realizations/video frames |
| N | Power law exponent |
| Specific water discharge (m/s) | |
| Reynolds number | |
| T | Sampling duration (s) |
| u | Instantaneous streamwise velocity (m/s) |
| Time-averaged streamwise velocity (m/s) | |
| w | Instantaneous transverse velocity (m/s) |
| Time-averaged transverse velocity (m/s) | |
| x | Streamwise coordinate (m) |
| y | Coordinate normal to the pseudo-bottom (m) |
| z | Transverse coordinate (m) |
| Kinetic energy correction | |
| Indicator function | |
| Spillway slope () | |
| Pixel density (m/px) | |
| Kinematic viscosity of water (m/s) | |
| AEP | Annual exceedance probability |
| aw | Interfacial (air-water interface) velocity |
| AWCC | Adaptive window cross-correlation |
| C | Determined based on air concentration |
| DOF | Depth of field |
| I | Determined using image-based analysis |
| M | Model |
| OF | Optical flow |
| P | Prototype |
| Root mean square | |
| surf | Air–water surface |
| V | Visually determined |
Appendix A. Optical Flow Velocity Estimation
Appendix B. Remote Estimation of Residual Energy
Appendix C. Mean Velocity Correction Factor ζ
References
- Ho, M.; Lall, U.; Allaire, M.; Devineni, N.; Kwon, H.H.; Pal, I.; Raff, D.; Wegner, D. The future role of dams in the United States of America. Water Resour. Res. 2017, 53, 982–997. [Google Scholar] [CrossRef]
- Frizell, K.W.; Frizell, K.H.; Einhellig, R.F.; Fielder, W.R.; Matos, J. Guidelines for Hydraulic Design of Stepped Spillways; Hydraulic Laboratory Report HL-2015-05; U.S. Department of the Interior, Bureau of Reclamation: Denver, CO, USA, 2015.
- Machado, B.P. Technical Advancements in Spillway Design—Progress and Innovations from 1985 to 2015, ICOLD Bulletin 172. 2016.
- Chanson, H. Stepped Spillway Flows and Air Entrainment. Can. J. Civ. Eng. 1993, 20, 422–435. [Google Scholar] [CrossRef] [Green Version]
- Kramer, M.; Felder, S.; Hohermuth, B.; Valero, D. Drag reduction in aerated chute flow: Role of bottom air concentration. J. Hydraul. Eng. 2021. [Google Scholar] [CrossRef]
- Wood, I. Air Entrainment in Free-Surface Flows; IAHR Hydraulic Structures Manual No. 4; Hydraulic Design Considerations, Balkema Publ.: Rotterdam, The Netherlands, 1991. [Google Scholar]
- Chanson, H. Air Bubble Entrainment in Free-Surface Turbulent Shear Flows; Academic Press: San Diego, CA, USA, 1996. [Google Scholar]
- Valero, D.; Bung, D.B. Reformulating self-aeration in hydraulic structures: Turbulent growth of free surface perturbations leading to air entrainment. Int. J. Multiphase Flow 2017, 100, 127–142. [Google Scholar] [CrossRef]
- Chanson, H.; Toombes, L. Air-water flows down stepped chutes: Turbulence and flow structure observations. Int. J. Multiphase Flow 2002, 28, 1737–1761. [Google Scholar] [CrossRef] [Green Version]
- Felder, S.; Chanson, H. Phase-detection probe measurements in high-velocity free-surface flows including a discussion of key sampling parameters. Exp. Ther. Fluid Sci. 2015, 61, 66–78. [Google Scholar] [CrossRef]
- Kramer, M.; Valero, D.; Chanson, H.; Bung, D.B. Towards reliable turbulence estimations with phase-detection probes: An adaptive window cross-correlation technique. Exp. Fluids 2019, 60, 2. [Google Scholar] [CrossRef]
- Scheres, B.; Schuettrumpf, H.; Felder, S. Flow Resistance and Energy Dissipation in Supercritical Air-Water Flows Down Vegetated Chutes. Water Resour. Res. 2020, 56. [Google Scholar] [CrossRef] [Green Version]
- Kramer, M.; Hohermuth, B.; Valero, D.; Felder, S. Best practices for velocity estimations in highly aerated flows with dual-tip phase-detection probes. Int. J. Multiphase Flow 2020, 126, 103228. [Google Scholar] [CrossRef] [Green Version]
- Cain, P. Measurements within Self-Aerated Flow on a Large Spillway. Ph.D. Thesis, University of Canterbury, Christchurch, New Zealand, 1978. [Google Scholar]
- Hohermuth, B.; Boes, R.; Felder, S. High-velocity air-water flow measurements in a prototype tunnel chute—Scaling of void fraction and interfacial velocity. J. Hydraul. Eng. 2021. [Google Scholar] [CrossRef]
- Muste, M.; Fujita, I.; Hauet, A. Large-scale particle image velocimetry for measurements in riverine environments. Water Resour. Res. 2008, 44, W00D19. [Google Scholar] [CrossRef] [Green Version]
- Tauro, F.; Piscopia, R.; Grimaldi, S. Streamflow Observations From Cameras: Large-Scale Particle Image Velocimetry or Particle Tracking Velocimetry? Water Resour. Res. 2017, 53, 374–394. [Google Scholar] [CrossRef] [Green Version]
- Costa, J.E.; Spicer, K.R.; Cheng, R.T.; Haeni, F.P.; Melcher, N.B.; Thurman, M.T. Measuring stream discharge by non-contact methods: A proof-of-concept experiment. Geophys. Res. Lett. 2000, 27, 553–556. [Google Scholar] [CrossRef]
- Johnson, E.D.; Cowen, E.A. Remote monitoring of volumetric discharge employing bathymetry determined from surface turbulence metrics. Water Resour. Res. 2016, 52, 2178–2193. [Google Scholar] [CrossRef] [Green Version]
- Paul, J.D.; Buytaert, W.; Sah, N. A Technical Evaluation of Lidar-Based Measurement of River Water Levels. Water Resour. Res. 2020, 56. [Google Scholar] [CrossRef] [Green Version]
- Bung, D. Non-intrusive detection of air-water surface roughness in self-aerated chute flows. J. Hydraul. Res. 2013, 51, 322–329. [Google Scholar] [CrossRef]
- Zhang, G.; Valero, D.; Bung, D.; Chanson, H. On the estimation of free-surface turbulence using ultrasonic sensors. Flow Meas. Instru. 2018, 60, 171–184. [Google Scholar] [CrossRef] [Green Version]
- Kramer, M.; Chanson, H.; Felder, S. Can we improve the non-intrusive characterisation of high-velocity air-water flows? Application of LIDAR technology to stepped spillways. J. Hydraul. Res. 2019, 171–184. [Google Scholar]
- Bung, D.; Valero, D. Optical flow estimation in aerated flows. J. Hydraul. Res. 2016, 54, 575–580. [Google Scholar] [CrossRef]
- Zhang, G.; Chanson, H. Application of local optical flow methods to high-velocity free-surface flows: Validation and application to stepped chutes. Exp. Ther. Fluid Sci. 2018, 90, 186–199. [Google Scholar] [CrossRef] [Green Version]
- Kramer, M.; Chanson, H. Optical flow estimations in aerated spillway flows: Filtering discussion on sampling parameters. Exp. Ther. Fluid Sci. 2019, 103, 318–328. [Google Scholar] [CrossRef] [Green Version]
- Pressy007. Hinze Dam over the Spillway. [Video]. YouTube. 2017. Available online: https://www.youtube.com/watch?v=zHbC7hC1SRI&t=1s (accessed on 15 May 2017).
- Zhang, G.; Chanson, H. Hydraulics of the developing flow region of stepped spillways. I: Physical modeling and boundary layer development. J. Hydraul. Eng. 2016, 142, 04016015. [Google Scholar] [CrossRef] [Green Version]
- Kramer, M.; Chanson, H. Transition flow regime on stepped spillways: Air–water flow characteristics and step-cavity fluctuations. Environ. Fluid Mech. 2018, 18, 947–965. [Google Scholar] [CrossRef] [Green Version]
- Chamani, M.R.; Rajaratnam, N. Characteristics of Skimming Flow over Stepped Spillways. J. Hydraul. Eng. 1999, 125, 361–368. [Google Scholar] [CrossRef]
- Wood, I.; Ackers, P.; Loveless, J. General method for critical point on spillways. J. Hydraul. Eng. 1983, 109, 308–312. [Google Scholar] [CrossRef]
- Meireles, I.; Renna, F.; Matos, J.; Bombardelli, F. Skimming, nonaerated flow on stepped spillways over roller compacted concrete dams. J. Hydraul. Eng. 2012, 138, 870–877. [Google Scholar] [CrossRef]
- Kramer, M.; Valero, D. Turbulence and self-similarity in highly-aerated shear flows: The stable hydraulic jump. Int. J. Multiphase Flow 2020, 129, 103316. [Google Scholar] [CrossRef]
- Valero, D.; Chanson, H.; Bung, D.B. Robust estimators for free surface turbulence characterization: A stepped spillway application. Flow Meas. Instrum. 2020, 76, 101809. [Google Scholar] [CrossRef]
- Goring, D.G.; Nikora, V.I. Despiking Acoustic Doppler Velocimeter Data. J. Hydraul. Eng. 2002, 128, 117–126. [Google Scholar] [CrossRef] [Green Version]
- Zhang, J.Y.; Chen, Y.; Huang, X.X. Edge Detection of Images Based on Improved Sobel Operator and Genetic Algorithms. In Proceedings of the International Conference on Image Analysis and Signal Processing ISAP09, Kuala Lumpur, Malaysia, 18–19 November 2009; pp. 31–35. [Google Scholar]
- Kramer, M.; Hohermuth, B.; Valero, D.; Felder, S. On velocity estimations in highly aerated flows with dual-tip phase-detection probes-closure. Int. J. Multiphase Flow 2021, 134, 103475. [Google Scholar] [CrossRef]
- Matos, J.; Mereiles, I. Hydraulics of stepped weirs and dam spillways: Engineering challenges, labyrinths of research. In Proceedings of the 11th National Conference on Hydraulics in Civil Engineering & 5th International Symposium on Hydraulic Structures: Hydraulic Structures and Society-Engineering Challenges and Extremes Engineers, Brisbane, Australia, 25–27 June 2014; p. 330. [Google Scholar]
- Valero, D.; Bung, D. Development of the interfacial air layer in the non-aerated region of high-velocity spillway flows. Instabilities growth, entrapped air and influence on the self-aeration onset. Int. J. Multiphase Flow 2016, 84, 66–74. [Google Scholar] [CrossRef]
- Pfister, M.; Hager, W. Self-entrainment of air on stepped spillways. Int. J. Multiphase Flow 2011, 37, 99–107. [Google Scholar] [CrossRef]
- Zhang, G.; Wang, H.; Chanson, H. Turbulence and aeration in hydraulic jumps: Free-surface fluctuation and integral turbulent scale measurements. Environ. Fluid Mech. 2013, 13, 189–204. [Google Scholar] [CrossRef]
- Wuthrich, D.; Shi, R.; Chanson, H. Physical study of the 3-dimensional characteristics and free-surface properties of a breaking roller in bores and surges. Exp. Ther. Fluid Sci. 2020, 112, 109980. [Google Scholar] [CrossRef]
- Chanson, H.; Bung, D.; Matos, J. Stepped Spillways and Cascades; Energy Dissipation in Hydraulic Structures, IAHR Monograph; CRC Press, Taylor & Francis: Leiden, The Netherlands, 2015; pp. 45–64. [Google Scholar]
- Chanson, H. Hydraulics of skimming flows on stepped chutes: The effects of inflow conditions? J. Hydraul. Res. 2006, 44, 51–60. [Google Scholar] [CrossRef] [Green Version]
- Chanson, H.; Toombes, L. Experimental Investigations of Air Entrainment in Transition and Skimming Flows down a Stepped Chute; Research Report No. CE158; Department of Civil Engineering, The University of Queensland: Brisbane, Australia, 2001; p. 74. [Google Scholar]
- Amador, A.; Sanchez-Juny, M.; Dolz, J. Characterization of the nonaerated flow region in a stepped spillway by PIV. J. Fluids Eng. 2006, 128, 1266–1273. [Google Scholar] [CrossRef] [Green Version]
- Cain, P.; Wood, I. Measurements of Self-Aerated Flow on a Spillway. J. Hydraul. Div. 1981, 107, 1425–1444. [Google Scholar] [CrossRef]
- Boes, R. Two-Phase Flow and Energy Disspation at Large Cascades. Ph.D. Thesis, ETH, Zurich, Switzerland, 2000. (In German). [Google Scholar]
- Chen, C.L. Unified theory on power laws for flow resistance. J. Hydraul. Eng. 1991, 117, 371–389. [Google Scholar] [CrossRef]
- Takahashi, M.; Ohtsu, I. Aerated flow characteristics of skimming flow over stepped chutes. J. Hydraul. Res. 2012, 50, 427–434. [Google Scholar] [CrossRef]
- Lopes, P.; Leandro, J.; Carvahlo, R.F.; Bung, D.B. Alternating skimming flow over a stepped spillway. Environ. Fluid Mech. 2017, 17, 303–322. [Google Scholar] [CrossRef]
- Nezu, I.; Nakagawa, H. Turbulence in Open-Channel Flows; IAHR Monograph; Balkema: Rotterdam, The Netherlands, 1993. [Google Scholar]
- Levi, E. Longitudinal Streakings In Liquid Currents. J. Hydraul. Res. 1965, 3, 25–39. [Google Scholar] [CrossRef]
- Chanson, H. Interactions between a Developing Boundary Layer and the Free-Surface on a Stepped Spillway: Hinze Dam Spillway Operation in January 2013. In Proceedings of the 8th International Conference on Multiphase Flow ICMF 2013, Jeju, Korea, 26–31 May 2013. Gallery Session ICMF2013-005 (2:15). [Google Scholar]
- Hager, W.; Boes, R.M. Backwater and drawdown curves in stepped spillway flow. In Hydraulics of Stepped Spillways; Minor & Hager, Ed.; Balkema: Rotterdam, The Netherlands, 2000; pp. 129–136. ISBN 9781003078609. [Google Scholar]
- Boes, R.; Hager, W.H. Hydraulic Design of Stepped Spillways. J. Hydraul. Eng. 2003, 129, 671–679. [Google Scholar] [CrossRef] [Green Version]
- Bung, D. Zur selbstbeluefteten Gerinnestroemung auf Kaskaden mit gemaessigter Neigung. Ph.D. Thesis, Bergische Universitaet, Wuppertal, Germany, 2009. [Google Scholar]
- Farnebaeck, G. Polynomial Expansion for Orientation and Motion Estimation. Ph.D. Thesis, University of Linkoeping, Linkoeping, Sweden, 2002. [Google Scholar]
- Farnebaeck, G. Two-frame motion estimation based on polynomial expansion. In Proceedings of the 13th Scandinavian Conference on Image Analysis, Halmstad, Sweden, 29 June–2 July 2003. [Google Scholar]
- Stephenson, D. Energy dissipation down stepped spillways. Int. Water Power Dam Construct. 1991, 48, 27–30. [Google Scholar]
- Hager, W.H. Uniform aerated chute flow. J. Hydraul. Eng. 1991, 117, 528–533. [Google Scholar] [CrossRef]
- Felder, S.; Pfister, M. Comparative analyses of phase-detective intrusive probes in high-velocity air–water flows. Int. J. Multiphase Flow 2017, 90, 88–101. [Google Scholar] [CrossRef] [Green Version]
- Severi, A. Aeration Performance and Flow Resistance in High-Velocity Flows over Moderately Sloped Spillways with Micro-Rough Bed. Ph.D. Thesis, School of Civil and Environmental Engineering, USNW, Sydney, Australia, 2018. [Google Scholar]
- Felder, S.; Hohermuth, B.; Boes, R.M. High-velocity air-water flows downstream of sluice gates including selection of optimum phase-detection probe. Int. J. Multiphase Flow 2019, 116, 203–220. [Google Scholar] [CrossRef]









| Regime | / | /k | Comment | ||||||
|---|---|---|---|---|---|---|---|---|---|
| (−) | (m/s) | (m/s) | (−) | () | (−) | (−) | (−) | (−) | |
| 0.5 | 0.032 | 0.68 | 0.65 | 45 | TRA | 2 | 4 | Laboratory scale | |
| 0.8 | 0.067 | 0.87 | 1.35 | 45 | TRA | 2 | 4 | broad-crested weir | |
| 1.1 | 0.110 | 1.02 | 2.22 | 45 | SK | 4 | 8 | clear water | |
| 2.6 | ≈17.21 | 7.18 | 51.3 | SK | 12 | 24.6 | Prototype scale | ||
| ogee-crested weir | |||||||||
| turbid water |
Publisher’s Note: MDPI stays neutral with regard to jurisdictional claims in published maps and institutional affiliations. |
© 2021 by the authors. Licensee MDPI, Basel, Switzerland. This article is an open access article distributed under the terms and conditions of the Creative Commons Attribution (CC BY) license (https://creativecommons.org/licenses/by/4.0/).
Share and Cite
Kramer, M.; Felder, S. Remote Sensing of Aerated Flows at Large Dams: Proof of Concept. Remote Sens. 2021, 13, 2836. https://doi.org/10.3390/rs13142836
Kramer M, Felder S. Remote Sensing of Aerated Flows at Large Dams: Proof of Concept. Remote Sensing. 2021; 13(14):2836. https://doi.org/10.3390/rs13142836
Chicago/Turabian StyleKramer, Matthias, and Stefan Felder. 2021. "Remote Sensing of Aerated Flows at Large Dams: Proof of Concept" Remote Sensing 13, no. 14: 2836. https://doi.org/10.3390/rs13142836
APA StyleKramer, M., & Felder, S. (2021). Remote Sensing of Aerated Flows at Large Dams: Proof of Concept. Remote Sensing, 13(14), 2836. https://doi.org/10.3390/rs13142836

