Utilizing the Available Open-Source Remotely Sensed Data in Assessing the Wildfire Ignition and Spread Capacities of Vegetated Surfaces in Romania
Abstract
:1. Introduction
2. Materials and Methods
2.1. Study Area
2.2. WIPI/WSCI Model and the Current Updates
2.3. Data Acquisition
3. Results
3.1. Multi-Criteria Inventory of Wildfire-Related Factors in Romania
3.2. Calibrated Weighting of Criteria
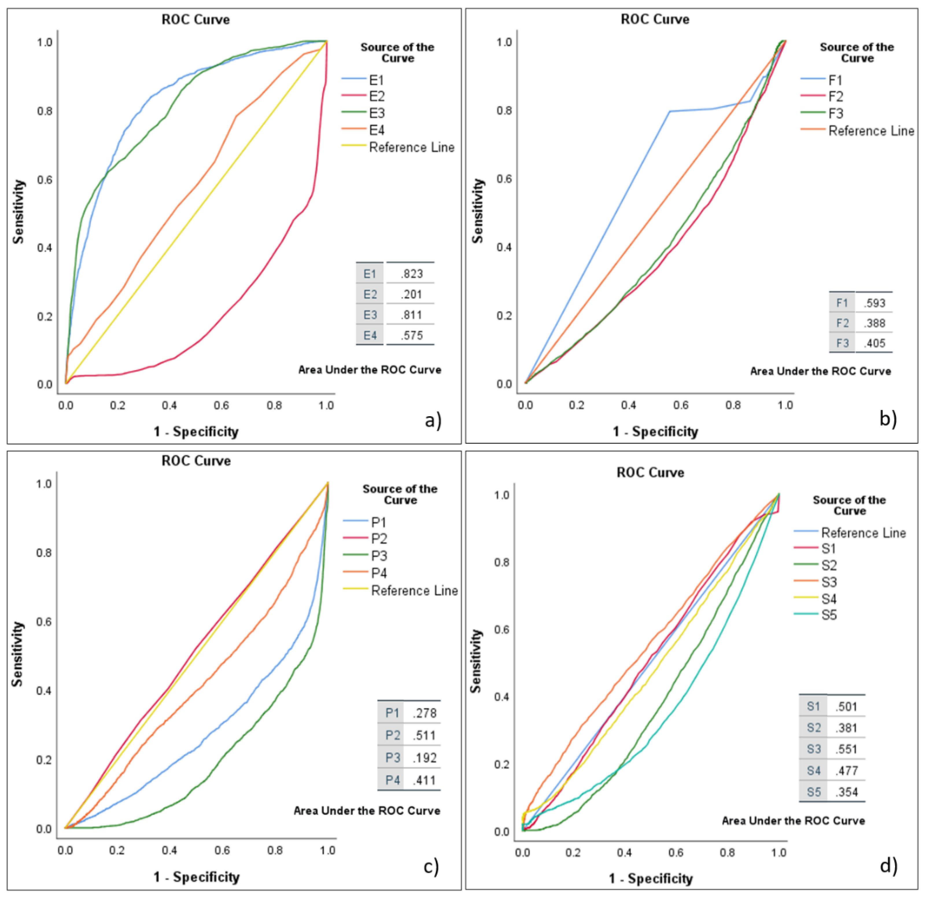
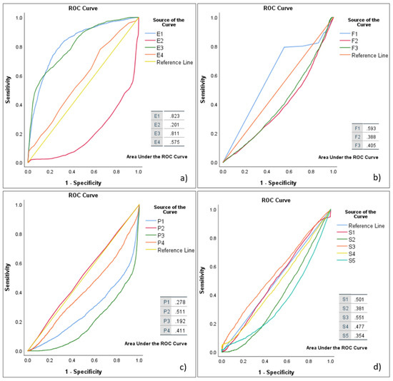
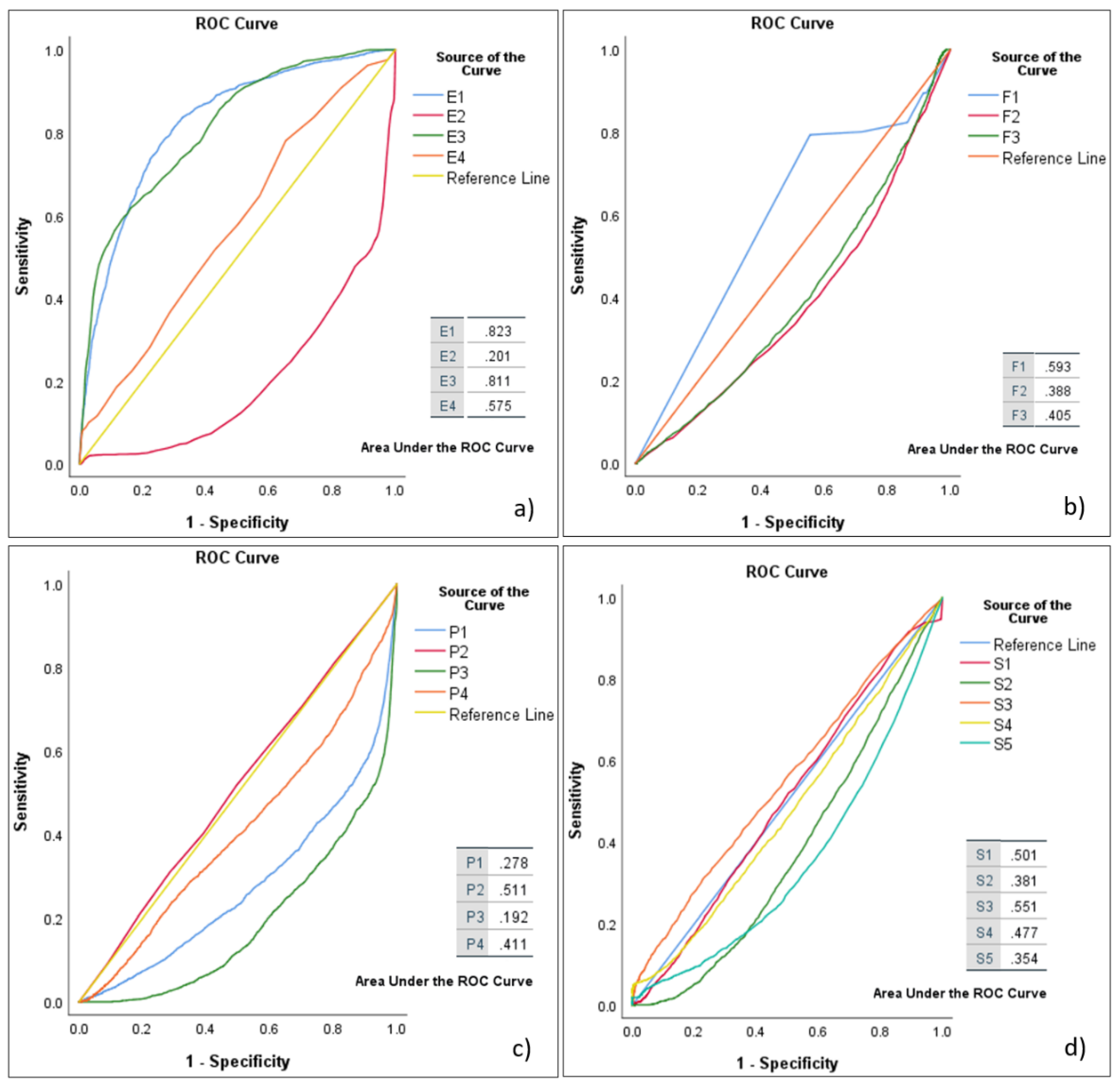
3.3. Comparing between WIPI/WSCI and WIPI_ROC/WSCI_ROC Results
4. Discussion on the Vulnerability of Protected Areas and Exposure of Settlements
4.1. The Vulnerability of the Romanian Protected Areas to Wildfires
4.2. Wildfire Exposure of Populated Areas within the Metropolitan Area of Bucharest
5. Conclusions
Author Contributions
Funding
Data Availability Statement
Acknowledgments
Conflicts of Interest
Appendix A
Vegetation Structure of Romania and Wildfire Regimes
| Major Relief Unit | Consistency Categories | |||||||
|---|---|---|---|---|---|---|---|---|
| Arboretum with Full Consistency (C = 100) | Arboretum with Almost Full Consistency (C = 70–90) | Arboretum with Sparse, Lighted, or Braced Consistency (C = 40–60) | Arboretum with Degraded Consistency (C = 10–30) | |||||
| Km2 | % | Km2 | % | Km2 | % | Km2 | % | |
| Romanian Plain | 45,459.89 | 92.9 | 881.28 | 1.8 | 1874.65 | 3.8 | 703.66 | 1.4 |
| Getic Plateau | 8358.95 | 60.5 | 1647.01 | 11.9 | 3580.86 | 25.9 | 234.7 | 1.7 |
| Western Hills south of Mures | 2458.28 | 54.3 | 394.81 | 8.7 | 1559.46 | 34.4 | 115.32 | 2.5 |
| Banat Mountains | 1429.78 | 20.4 | 612.92 | 8.7 | 4568.48 | 65.2 | 399.24 | 5.7 |
| Transylvanian Depression | 18,164.37 | 71.8 | 1970.75 | 7.8 | 4593.99 | 18.2 | 568.38 | 2.2 |
| Apuseni Mountains | 2319.16 | 21.7 | 1102.65 | 10.3 | 5275.04 | 49.4 | 1973.78 | 18.5 |
| Moldavian Plateau | 19,059.32 | 83.1 | 802.81 | 3.5 | 2766.84 | 12.1 | 300.88 | 1.3 |
| Subcarpathian | 8206.62 | 49.5 | 1941.2 | 11.7 | 4867.73 | 29.3 | 1574.77 | 9.5 |
| Dobrogea Plateau | 9136.14 | 60.5 | 160.5 | 11.9 | 765.5 | 25.9 | 90.79 | 1.7 |
| Danube Delta | 4289.01 | 72.52 | 87.99 | 10.18 | ||||
| Mehedinti Plateau | 333.11 | 41.6 | 112.58 | 14.1 | 350.02 | 43.7 | 5.46 | 0.7 |
| Western Plain | 15,337.49 | 97.8 | 236.43 | 1.5 | 504.67 | 3.1 | 99.38 | 0.6 |
| Eastern Carpathians | 8753.47 | 30.9 | 2738.64 | 9.7 | 12,664.1 | 44.8 | 4128.64 | 14.6 |
| Curvature Carpathians | 954.29 | 15.6 | 429.88 | 7.0 | 2605.22 | 42.5 | 2141.88 | 34.9 |
| Southern Carpathians | 3852.61 | 27.2 | 1092.47 | 7.7 | 7488.87 | 52.8 | 1741.48 | 12.3 |
| Western hills north of Mures | 5258.13 | 63.3 | 649.76 | 7.8 | 2090.52 | 25.2 | 305.84 | 3.7 |
| Total (km2) | 15,3370.62 | 14,846.21 | 55,643.94 | 14,394.38 | ||||
Appendix B
Data Sources and Their Acquisition
| Data | Type | MMU | Utility within the Method | Source | |
|---|---|---|---|---|---|
| 1 | CORINE land cover | Vector | 25 ha | Vegetated surfaces; Settlements (S2); Fuel type (F1); Distance to agriculture (S5) | Copernicus/EEA |
| 2 | DEM | Raster | 25 m | Slope (P1); Aspect (P2); Altitude (P3) | Copernicus/EEA |
| 3 | NDVI | Raster | 250 m | NDVI (F3) | Earth data/NASA |
| 4 | TCD | Raster | TCD (F2) | Copernicus/EEA | |
| 5 | Weather data | Raster | 30 s | Solar radiation (E1); Precipitation (E2); Maximum Temperature (E3); Wind speed (E4) | Worldclim 2.0 |
| 6 | Burned area fraction | Raster | ROC/AUC analysis | Climate Change Service | |
| 7 | Burned areas | Vector | ROC/AUC analysis | EFFIS/JRC | |
| 8 | OSM | Vector | Distance to water (P4); Distance to any road (S3); Distance to the main road (S4); Exposure analysis | OSM Geofabrik | |
| 9 | Population Density | Raster | Population density (S1); Exposure analysis | National Institute of Statistics (RO) | |
| 10 | Administrative/NUTS | Vector | Exposure analysis | EUROSTAT | |
| 11 | Protected areas | Vector | Vulnerability analysis | Eionet/EEA |

Appendix C
Data Sources and Their Acquisition

References
- AghaKouchak, A.; Huning, L.S.; Chiang, F.; Sadegh, M.; Vahedifard, F.; Mazdiyasni, O.; Moftakhari, H.; Mallakpour, I. How do natural hazards cascade to cause disasters? Nat. Cell Biol. 2018, 561, 458–460. [Google Scholar] [CrossRef] [PubMed] [Green Version]
- Naderpour, M.; Khakzad, N. Texas LPG fire: Domino effects triggered by natural hazards. Process. Saf. Environ. Prot. 2018, 116, 354–364. [Google Scholar] [CrossRef]
- Ruffault, J.; Curt, T.; Moron, V.; Trigo, R.M.; Mouillot, F.; Koutsias, N.; Pimont, F.; Martin-StPaul, N.; Barbero, R.; Dupuy, J.-L.; et al. Increased likelihood of heat-induced large wildfires in the Mediterranean Basin. Sci. Rep. 2020, 10, 1–9. [Google Scholar] [CrossRef] [PubMed]
- Chapin, F.S.; Trainor, S.F.; Huntington, O.; Lovecraft, A.L.; Zavaleta, E.; Natcher, D.C.; McGuire, A.D.; Nelson, J.L.; Ray, L.; Calef, M.; et al. Increasing Wildfire in Alaska’s Boreal Forest: Pathways to Potential Solutions of a Wicked Problem. Bioscience 2008, 58, 531–540. [Google Scholar] [CrossRef] [Green Version]
- Levin, N.; Tessler, N.; Smith, A.; McAlpine, C. The Human and Physical Determinants of Wildfires and Burnt Areas in Israel. Environ. Manag. 2016, 58, 549–562. [Google Scholar] [CrossRef] [PubMed]
- Ganteaume, A.; Camia, A.; Jappiot, M.; San-Miguel-Ayanz, J.; Long-Fournel, M.; Lampin, C. A Review of the Main Driving Factors of Forest Fire Ignition Over Europe. Environ. Manag. 2013, 51, 651–662. [Google Scholar] [CrossRef] [PubMed] [Green Version]
- Guo, F.; Su, Z.; Wang, G.; Sun, L.; Lin, F.; Liu, A. Wildfire ignition in the forests of southeast China: Identifying drivers and spatial distribution to predict wildfire likelihood. Appl. Geogr. 2016, 66, 12–21. [Google Scholar] [CrossRef]
- Ruffault, J.; Mouillot, F. Contribution of human and biophysical factors to the spatial distribution of forest fire ignitions and large wildfires in a French Mediterranean region. Int. J. Wildland Fire 2017, 26, 498–508. [Google Scholar] [CrossRef] [Green Version]
- Davis, R.; Yang, Z.; Yost, A.; Belongie, C.; Cohen, W. The normal fire environment—Modeling environmental suitability for large forest wildfires using past, present, and future climate normals. For. Ecol. Manag. 2017, 390, 173–186. [Google Scholar] [CrossRef]
- Granström, A. Spatial and temporal variation in lightning ignitions in Sweden. J. Veg. Sci. 1993, 4, 737–744. [Google Scholar] [CrossRef]
- Curt, T.; Frejaville, T.; Lahaye, S. Modelling the spatial patterns of ignition causes and fire regime features in southern France: Implications for fire prevention policy. Int. J. Wildland Fire 2016, 25, 785. [Google Scholar] [CrossRef] [Green Version]
- Hawbaker, T.; Radeloff, V.C.; Stewart, S.I.; Hammer, R.B.; Keuler, N.S.; Clayton, M.K. Human and biophysical influences on fire occurrence in the United States. Ecol. Appl. 2013, 23, 565–582. [Google Scholar] [CrossRef] [PubMed]
- Mahmoud, H.; Chulahwat, A. Unraveling the Complexity of Wildland Urban Interface Fires. Sci. Rep. 2018, 8, 1–12. [Google Scholar] [CrossRef] [Green Version]
- Mansuy, N.; Miller, C.; Parisien, M.-A.; A Parks, S.; Batllori, E.; A Moritz, M. Contrasting human influences and macro-environmental factors on fire activity inside and outside protected areas of North America. Environ. Res. Lett. 2019, 14, 064007. [Google Scholar] [CrossRef]
- Syphard, A.D.; Keeley, J.E.; Pfaff, A.H.; Ferschweiler, K. Human presence diminishes the importance of climate in driving fire activity across the United States. Proc. Natl. Acad. Sci. USA 2017, 114, 13750–13755. [Google Scholar] [CrossRef] [Green Version]
- Kountouris, Y. Human activity, daylight saving time and wildfire occurrence. Sci. Total. Environ. 2020, 727, 138044. [Google Scholar] [CrossRef] [PubMed]
- Rodrigues, M.; Gelabert, P.J.; Ameztegui, A.; Coll, L.; Vega-García, C. Has COVID-19 halted winter-spring wildfires in the Mediterranean? Insights for wildfire science under a pandemic context. Sci. Total. Environ. 2020, 765, 142793. [Google Scholar] [CrossRef] [PubMed]
- Mann, M.L.; Batllori, E.; Moritz, M.A.; Waller, E.K.; Berck, P.; Flint, A.L.; Flint, L.E.; Dolfi, E. Incorporating Anthropogenic Influences into Fire Probability Models: Effects of Human Activity and Climate Change on Fire Activity in California. PLoS ONE 2016, 11, e0153589. [Google Scholar] [CrossRef] [Green Version]
- Hysa, A.; Başkaya, F.A.T. A GIS based method for indexing the broad-leaved forest surfaces by their wildfire ignition probability and wildfire spreading capacity. Model. Earth Syst. Environ. 2018, 5, 71–84. [Google Scholar] [CrossRef]
- Hysa, A.; Teqja, Z. Counting fuel properties as input in the wildfire spreading capacities of vegetated surfaces: Case of Albania. Not. Bot. Horti Agrobot. Cluj-Napoca 2020, 48, 1667–1682. [Google Scholar] [CrossRef]
- Adámek, M.; Jankovská, Z.; Hadincová, V.; Kula, E.; Wild, J. Drivers of forest fire occurrence in the cultural landscape of Central Europe. Landsc. Ecol. 2018, 33, 2031–2045. [Google Scholar] [CrossRef]
- Pinto, G.; Rousseu, F.; Niklasson, M.; Drobyshev, I. Effects of human-related and biotic landscape features on the occurrence and size of modern forest fires in Sweden. Agric. For. Meteorol. 2020, 291, 108084. [Google Scholar] [CrossRef]
- Ioja, C.; Grădinaru, S.R.; Onose, D.A.; Vânău, G.O.; Tudor, A.C. The potential of school green areas to improve urban green connectivity and multifunctionality. Urban For. Urban Green. 2014, 13, 704–713. [Google Scholar] [CrossRef]
- Dumitrașcu, M.; Kucsicsa, G.; Dumitrică, C.; Popovici, E.-A.; Vrînceanu, A.; Mitrică, B.; Mocanu, I.; Șerban, P.-R. Estimation of Future Changes in Aboveground Forest Carbon Stock in Romania. A Prediction Based on Forest-Cover Pattern Scenario. Forests 2020, 11, 914. [Google Scholar] [CrossRef]
- Popovici, E.A.; Bălteanu, D.; Kucsicsa, G. Assessment of changes in land-use and land-cover pattern in Romania using Corine Land Cover Database. Carpathian J. Earth Environ. Sci. 2013, 8, 195–208. [Google Scholar]
- Kucsicsa, G.; Popovici, E.-A.; Bălteanu, D.; Dumitraşcu, M.; Grigorescu, I.; Mitrică, B. Assessing the Potential Future Forest-Cover Change in Romania, Predicted Using a Scenario-Based Modelling. Environ. Model. Assess. 2020, 25, 471–491. [Google Scholar] [CrossRef]
- Matei, I.; Pacurar, I.; Roșca, S.; Bilașco, Ș.; Sestras, P.; Rusu, T.; Jude, E.T.; Tăut, F.D. Land Use Favourability Assessment Based on Soil Characteristics and Anthropic Pollution. Case Study Somesul Mic Valley Corridor, Romania. Agronomy 2020, 10, 1245. [Google Scholar] [CrossRef]
- Munteanu, C.; Nita, M.D.; Abrudan, I.V.; Radeloff, V.C. Historical forest management in Romania is imposing strong legacies on contemporary forests and their management. For. Ecol. Manag. 2016, 361, 179–193. [Google Scholar] [CrossRef]
- Hysa, A.; Spalevic, V. Testing NDVI, tree cover density and land cover type as fuel indicators in the wildfire spread capacity index (WSCI): Case of Montenegro. Not. Bot. Horti Agrobot. Cluj-Napoca 2020, 48, 2368–2384. [Google Scholar] [CrossRef]
- Jain, A.; Nandakumar, K.; Ross, A. Score normalization in multimodal biometric systems. Pattern Recognit. 2005, 38, 2270–2285. [Google Scholar] [CrossRef]
- Büttner, G.; Kosztra, B.; Soukup, T.; Sousa, A.; Langanke, T. CLC2018 Technical Guidelines. Eur. Environ. Agency 2017, 25, 1–60. [Google Scholar]
- Didan, K. MOD13Q1 MODIS/Terra Vegetation Indices 16-Day L3 Global 250 m SIN Grid V006. NASA EOSDIS Land Processes DAAC. 2015. Available online: https://doi.org/10.5067/MODIS/MOD13Q1.006 (accessed on 27 December 2020).
- Palchaudhuri, M.; Biswas, S. Application of LISS III and MODIS-derived vegetation indices for assessment of micro-level agricultural drought. Egypt. J. Remote. Sens. Space Sci. 2020, 23, 221–229. [Google Scholar] [CrossRef]
- Fick, S.E.; Hijmans, R.J. WorldClim 2: New 1-km spatial resolution climate surfaces for global land areas. Int. J. Climatol. 2017, 37, 4302–4315. [Google Scholar] [CrossRef]
- Buontempo, C.; Hutjes, R.; Beavis, P.; Berckmans, J.; Cagnazzo, C.; Vamborg, F.; Thépaut, J.-N.; Bergeron, C.; Almond, S.; Amici, A.; et al. Fostering the development of climate services through Copernicus Climate Change Service (C3S) for agriculture applications. Weather. Clim. Extremes 2020, 27, 100226. [Google Scholar] [CrossRef]
- Loepfe, L.; Lloret, F.; Roman-Cuesta, R.M. Comparison of burnt area estimates derived from satellite products and national statistics in Europe. Int. J. Remote Sens. 2011, 33, 3653–3671. [Google Scholar] [CrossRef]
- Giglio, L.; van der Werf, G.; Randerson, J.T.; Collatz, G.J.; Kasibhatla, P. Global estimation of burned area using MODIS active fire observations. Atmos. Chem. Phys. Discuss. 2006, 6, 957–974. [Google Scholar] [CrossRef] [Green Version]
- Mouillot, F.; Schultz, M.; Yue, C.; Cadule, P.; Tansey, K.; Ciais, P.; Chuvieco, E. Ten years of global burned area products from spaceborne remote sensing—A review: Analysis of user needs and recommendations for future developments. Int. J. Appl. Earth Obs. Geoinf. 2014, 26, 64–79. [Google Scholar] [CrossRef] [Green Version]
- Artés, T.; Oom, D.; De Rigo, D.; Durrant, T.H.; Maianti, P.; Libertà, G.; San-Miguel-Ayanz, J. A global wildfire dataset for the analysis of fire regimes and fire behaviour. Sci. Data 2019, 6, 1–11. [Google Scholar] [CrossRef]
- Fornacca, D.; Ren, G.; Xiao, W. Performance of Three MODIS Fire Products (MCD45A1, MCD64A1, MCD14ML), and ESA Fire_CCI in a Mountainous Area of Northwest Yunnan, China, Characterized by Frequent Small Fires. Remote Sens. 2017, 9, 1131. [Google Scholar] [CrossRef] [Green Version]
- Hall, J.V.; Loboda, T.V.; Giglio, L.; McCarty, G.W. A MODIS-based burned area assessment for Russian croplands: Mapping requirements and challenges. Remote Sens. Environ. 2016, 184, 506–521. [Google Scholar] [CrossRef] [Green Version]
- Galizia, L.F.; Curt, T.; Barbero, R.; Rodrigues, M. Assessing the accuracy of remotely sensed fire datasets across the southwestern Mediterranean Basin. Nat. Hazards Earth Syst. Sci. 2021, 21, 73–86. [Google Scholar] [CrossRef]
- Moreno-Ruiz, J.A.; García-Lázaro, J.R.; Arbelo, M.; Cantón-Garbín, M. MODIS Sensor Capability to Burned Area Mapping—Assessment of Performance and Improvements Provided by the Latest Standard Products in Boreal Regions. Sensors 2020, 20, 5423. [Google Scholar] [CrossRef]
- Wei, T.; Simko, V. R package “corrplot”: Visualization of a Correlation Matrix. Statistician 2017, 56, e24. [Google Scholar]
- He, T.; Belcher, C.M.; Lamont, B.B.; Lim, S.L. A 350-million-year legacy of fire adaptation among conifers. J. Ecol. 2016, 104, 352–363. [Google Scholar] [CrossRef] [Green Version]
- Crisp, M.D.; Burrows, G.E.; Cook, L.G.; Thornhill, A.; Bowman, D.M.J.S. Flammable biomes dominated by eucalypts originated at the Cretaceous–Palaeogene boundary. Nat. Commun. 2011, 2, 193. [Google Scholar] [CrossRef] [Green Version]
- Pausas, J.G.; Keeley, J.E. Abrupt Climate-Independent Fire Regime Changes. Ecosystems 2014, 17, 1109–1120. [Google Scholar] [CrossRef]
- Zhu, C.; Kobayashi, H.; Kanaya, Y.; Saito, M. Size-dependent validation of MODIS MCD64A1 burned area over six vegetation types in boreal Eurasia: Large underestimation in croplands. Sci. Rep. 2017, 7, 1–9. [Google Scholar] [CrossRef]
- Radeloff, V.C.; Stewart, S.I.; Hawbaker, T.; Gimmi, U.; Pidgeon, A.M.; Flather, C.; Hammer, R.B.; Helmers, D.P. Housing growth in and near United States protected areas limits their conservation value. Proc. Natl. Acad. Sci. USA 2010, 107, 940–945. [Google Scholar] [CrossRef] [PubMed] [Green Version]
- Geldmann, J.; Joppa, L.N.; Burgess, N.D. Mapping Change in Human Pressure Globally on Land and within Protected Areas. Conserv. Biol. 2014, 28, 1604–1616. [Google Scholar] [CrossRef] [PubMed]
- Jones, K.R.; Venter, O.; Fuller, R.A.; Allan, J.R.; Maxwell, S.L.; Negret, P.J.; Watson, J.E.M. One-third of global protected land is under intense human pressure. Science 2018, 360, 788–791. [Google Scholar] [CrossRef] [PubMed] [Green Version]
- Schulze, K.; Knights, K.; Coad, L.; Geldmann, J.; Leverington, F.; Eassom, A.; Marr, M.; Butchart, S.H.M.; Hockings, M.; Burgess, N.D. An assessment of threats to terrestrial protected areas. Conserv. Lett. 2018, 11. [Google Scholar] [CrossRef] [Green Version]
- DiTomaso, J.M.; Brooks, M.L.; Allen, E.B.; Minnich, R.; Rice, P.M.; Kyser, G.B. Control of Invasive Weeds with Prescribed Burning. Weed Technol. 2006, 20, 535–548. [Google Scholar] [CrossRef]
- Grigorescu, I.; Kucsicsa, G.; Dumitraşcu, M.; Doroftei, M. Invasive terrestrial plant species in the Romanian protected areas. A review of the geographical aspects. Folia Oecol. 2020, 47, 168–177. [Google Scholar] [CrossRef]
- Martín-Martín, C.; Bunce, R.G.; Saura, S.; Elena-Rossello, R. Changes and interactions between forest landscape connectivity and burnt area in Spain. Ecol. Indic. 2013, 33, 129–138. [Google Scholar] [CrossRef]
- O’Donnell, A.J.; Boer, M.; McCaw, W.L.; Grierson, P. Vegetation and landscape connectivity control wildfire intervals in unmanaged semi-arid shrublands and woodlands in Australia. J. Biogeogr. 2010, 38, 112–124. [Google Scholar] [CrossRef]
- Brenner, J.C.; Franklin, K.A. Living on the Edge: Emerging Environmental Hazards on the Peri-Urban Fringe. Environ. Sci. Policy Sustain. Dev. 2017, 59, 16–29. [Google Scholar] [CrossRef]
- Sestras, P.; Bilașco, Ș.; Roșca, S.; Dudic, B.; Hysa, A.; Spalević, V. Geodetic and UAV Monitoring in the Sustainable Management of Shallow Landslides and Erosion of a Susceptible Urban Environment. Remote Sens. 2021, 13, 385. [Google Scholar] [CrossRef]
- Davis, J.B. The wildland-urban interface: Paradise or battleground? J. For. 1990, 88, 26–31. [Google Scholar]
- Hysa, A. Classifying the Forest Surfaces in Metropolitan Areas by Their Wildfire Ignition Probability and Spreading Capacity in Support of Forest Fire Risk Reduction. In Integrated Research on Disaster Risks: Contributions from the IRDR Young Scientists Programme; Djalante, R., Bisri, M.B.F., Shaw, R., Eds.; Springer Science and Business Media LLC: Cham, Switzerland, 2021; pp. 51–70. [Google Scholar]
- Hysa, A. Indexing the vegetated surfaces within WUI by their wildfire ignition and spreading capacity, a comparative case from developing metropolitan areas. Int. J. Disaster Risk Reduct. 2021, 63, 102434. [Google Scholar] [CrossRef]
- Basiri, A.; Jackson, M.; Amirian, P.; Pourabdollah, A.; Sester, M.; Winstanley, A.; Moore, T.; Zhang, L. Quality assessment of OpenStreetMap data using trajectory mining. Geo-Spatial Inf. Sci. 2016, 19, 56–68. [Google Scholar] [CrossRef] [Green Version]











| WIPI | WSCI | ||||||||||
|---|---|---|---|---|---|---|---|---|---|---|---|
| ROC/AUC | AUC/Norm | + − | AHP | ROC | AUC/Norm | + − | AHP | ROC | AUC/Norm | ||
| E1 | Solar radiation | 0.823 | 0.110 | + | 0.032 | 0.823 | 0.110 | + | 0.011 | 0.823 | 0.103 |
| E2 | Precipitation | 0.201 | 0.027 | − | 0.097 | 0.799 | 0.107 | − | 0.048 | 0.799 | 0.100 |
| E3 | Max. Temp. | 0.811 | 0.109 | + | 0.032 | 0.811 | 0.108 | + | 0.022 | 0.811 | 0.101 |
| E4 | Wind speed | 0.575 | 0.077 | + | 0.155 | 0.575 | 0.072 | ||||
| F1 | Fuel type | 0.593 | 0.080 | + | 0.056 | 0.593 | 0.079 | + | 0.033 | 0.593 | 0.074 |
| F2 | TCD | 0.388 | 0.052 | + | 0.299 | 0.388 | 0.048 | ||||
| F3 | NDVI | 0.405 | 0.054 | − | 0.125 | 0.405 | 0.054 | − | 0.170 | 0.595 | 0.074 |
| P1 | Slope | 0.278 | 0.037 | + | 0.033 | 0.278 | 0.035 | ||||
| P2 | Aspect | 0.511 | 0.069 | + | 0.049 | 0.511 | 0.068 | + | 0.013 | 0.511 | 0.064 |
| P3 | Altitude | 0.192 | 0.026 | − | 0.016 | 0.808 | 0.108 | − | 0.006 | 0.808 | 0.101 |
| P4 | Dist. To water | 0.411 | 0.055 | + | 0.070 | 0.411 | 0.051 | ||||
| S1 | Pop. density | 0.501 | 0.067 | + | 0.026 | 0.501 | 0.067 | ||||
| S2 | Dist. Settlements | 0.381 | 0.051 | − | 0.076 | 0.619 | 0.083 | + | 0.017 | 0.381 | 0.048 |
| S3 | Dist. roads | 0.551 | 0.074 | − | 0.140 | 0.449 | 0.060 | + | 0.006 | 0.551 | 0.069 |
| S4 | Dist. main roads | 0.477 | 0.064 | − | 0.045 | 0.523 | 0.070 | + | 0.047 | 0.477 | 0.060 |
| S5 | Dist. agriculture | 0.354 | 0.048 | − | 0.305 | 0.646 | 0.086 | ||||
Publisher’s Note: MDPI stays neutral with regard to jurisdictional claims in published maps and institutional affiliations. |
© 2021 by the authors. Licensee MDPI, Basel, Switzerland. This article is an open access article distributed under the terms and conditions of the Creative Commons Attribution (CC BY) license (https://creativecommons.org/licenses/by/4.0/).
Share and Cite
Hysa, A.; Spalevic, V.; Dudic, B.; Roșca, S.; Kuriqi, A.; Bilașco, Ș.; Sestras, P. Utilizing the Available Open-Source Remotely Sensed Data in Assessing the Wildfire Ignition and Spread Capacities of Vegetated Surfaces in Romania. Remote Sens. 2021, 13, 2737. https://doi.org/10.3390/rs13142737
Hysa A, Spalevic V, Dudic B, Roșca S, Kuriqi A, Bilașco Ș, Sestras P. Utilizing the Available Open-Source Remotely Sensed Data in Assessing the Wildfire Ignition and Spread Capacities of Vegetated Surfaces in Romania. Remote Sensing. 2021; 13(14):2737. https://doi.org/10.3390/rs13142737
Chicago/Turabian StyleHysa, Artan, Velibor Spalevic, Branislav Dudic, Sanda Roșca, Alban Kuriqi, Ștefan Bilașco, and Paul Sestras. 2021. "Utilizing the Available Open-Source Remotely Sensed Data in Assessing the Wildfire Ignition and Spread Capacities of Vegetated Surfaces in Romania" Remote Sensing 13, no. 14: 2737. https://doi.org/10.3390/rs13142737
APA StyleHysa, A., Spalevic, V., Dudic, B., Roșca, S., Kuriqi, A., Bilașco, Ș., & Sestras, P. (2021). Utilizing the Available Open-Source Remotely Sensed Data in Assessing the Wildfire Ignition and Spread Capacities of Vegetated Surfaces in Romania. Remote Sensing, 13(14), 2737. https://doi.org/10.3390/rs13142737

