Multi-Dimension and Multi-Channel Seismic-Ionospheric Coupling: Case Study of Mw 8.8 Concepcion Quake on 27 February 2010
Abstract
1. Introduction
2. Data and Methods
2.1. Solar and Geomagnetic Data
2.2. Ionosphere Data
2.3. Data Preprocessing and Background Field Construction
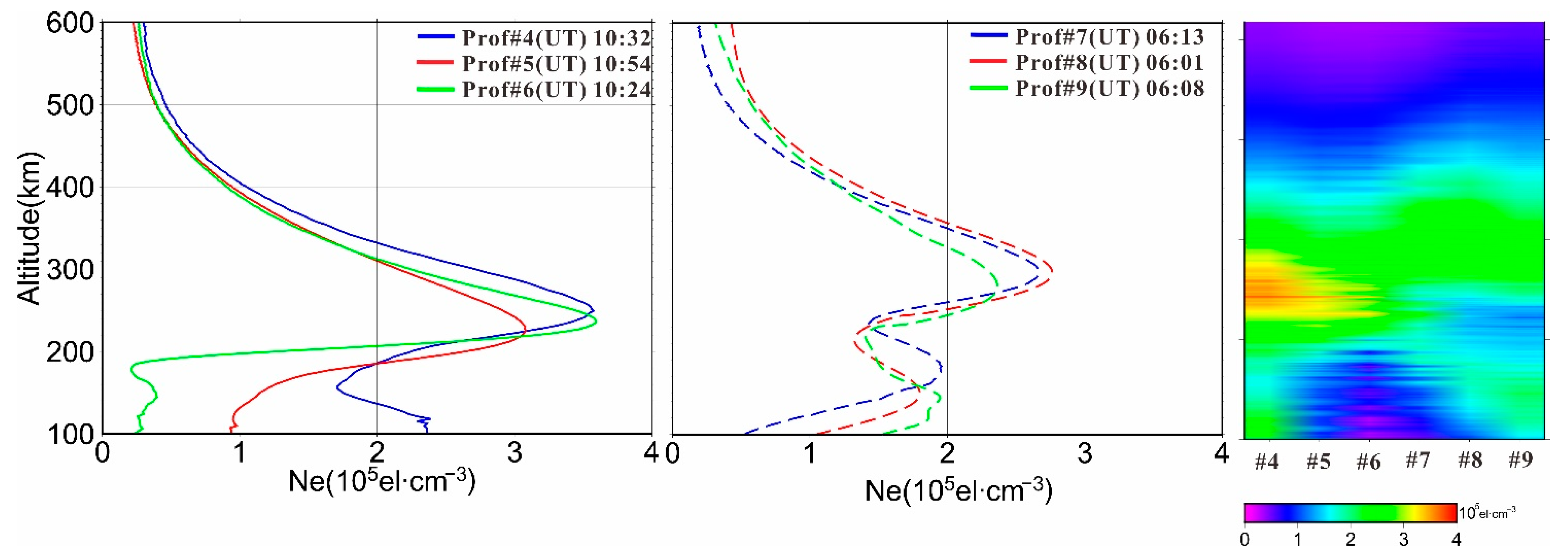
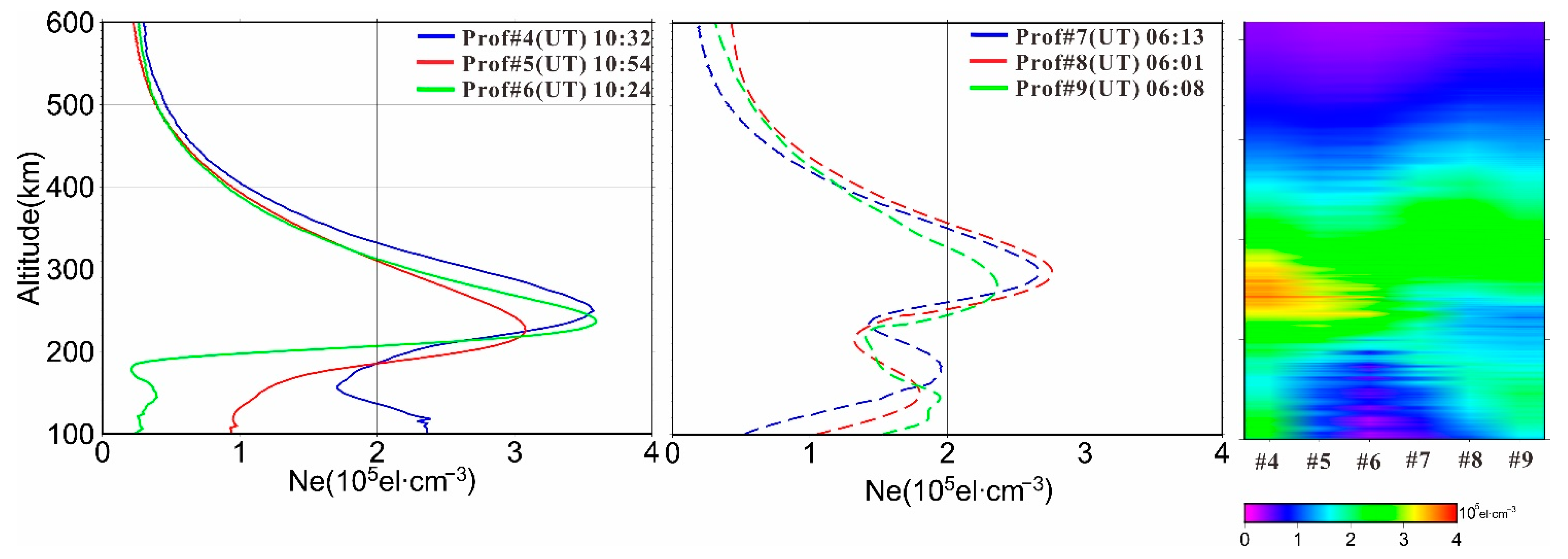
3. Feasibility Study on GNM Nmf2
4. Case Analysis of Concepcion Earthquake
4.1. Space Environment Analysis
4.2. Ionospheric Structure Anomaly before Earthquake
5. Conclusions
Supplementary Materials
Author Contributions
Funding
Institutional Review Board Statement
Informed Consent Statement
Data Availability Statement
Conflicts of Interest
Appendix A
Appendix B
- 1.
- The ordinary kriging interpolation
- 2.
- The calculation of variograms
- 3.
- The variograms with the Gaussian psill
References
- Pulinets, S.A.; Boyarchuk, K. Ionospheric Precursors of Earthquakes, 1st ed.; Springer: Berlin/Heidelberg, Germany, 2004; pp. 121–133. [Google Scholar]
- Guo, J.; Yu, H.; Li, W.; Liu, X.; Kong, Q.; Zhao, C. Total Electron Content Anomalies Before Mw 6.0+ Earthquakes in the Seismic Zone of Southwest China Between 2001 and 2013. J. Test. Eval. 2016, 45, 131–139. [Google Scholar] [CrossRef]
- Shi, K.; Guo, J.; Liu, X.; Liu, L.; You, X.; Wang, F. Seismo-ionospheric anomalies associated with Mw 7.8 Nepal earthquake on 2015 April 25 from CMONOC GPS data. Geosci. J. 2020, 24, 391–406. [Google Scholar] [CrossRef]
- Pulinets, S.; Davidenko, D. Ionospheric precursors of earthquakes and Global Electric Circuit. Adv. Space Res. 2014, 53, 709–723. [Google Scholar] [CrossRef]
- Shi, K.; Liu, X.; Guo, J.; You, X.; Wang, F. Pre-Earthquake and Coseismic Ionosphere Disturbances of the Mw 6.6 Lushan Earthquake on 20 April 2013 Monitored by CMONOC. Atmosphere 2019, 10, 216. [Google Scholar] [CrossRef]
- Guo, J.; Li, W.; Liu, X.; Wang, J.; Chang, X.; Zhao, C. On TEC anomalies as precursor before MW 8.6 Sumatra earthquake and MW 6.7 Mexico earthquake on 11April 2012. Geosci. J. 2015, 19, 721–730. [Google Scholar] [CrossRef]
- Guo, J.; Li, W.; Yu, H.; Liu, Z.; Zhao, C.; Kong, Q. Impending ionospheric anomaly preceding the Iquique Mw8.2 earthquake in Chile on 2014 April 1. Geophys. J. Int. 2015, 203, 1461–1470. [Google Scholar] [CrossRef]
- Freund, F. Charge generation and propagation in igneous rocks. J. Geodyn. 2002, 33, 543–570. [Google Scholar] [CrossRef]
- Sorokin, V.; Chmyrev, V.; Yaschenko, A. Ionospheric generation mechanism of geomagnetic pulsations observed on the Earth’s surface before earthquake. J. Atmos. Solar Terr. Phys. 2003, 65, 21–29. [Google Scholar] [CrossRef]
- Rapoport, Y.; Gotynyan, O.; Ivchenko, V.; Kozak, L.; Parrot, M. Effect of acoustic-gravity wave of the lithospheric origin on the ionospheric F region before earthquakes. Phys. Chem. Earth 2004, 29, 607–616. [Google Scholar] [CrossRef]
- Zolotov, O.V. Ionosphere quasistatic electric fields disturbances over seismically active regions as inferred from satellite-based observations: A review. Russ. J. Phys. Chem. B 2015, 9, 785–788. [Google Scholar] [CrossRef]
- Anthony, M.; Brian, W.; Dah-Ning, Y. An Improved Ionospheric Correction Method for Wide-Area Augmentation Systems. In Proceedings of the International Technical Meeting of the Satellite Division of the Institute of Navigation, Palm Springs, CA, USA, 12–15 September 1995; pp. 1199–1208. [Google Scholar]
- Anthes, R.A.; Bernhardt, P.A.; Chen, Y.; Cucurull, L.; Dymond, K.F.; Ector, D.; Healy, S.B.; Ho, S.-P.; Hunt, D.C.; Kuo, Y.; et al. The COSMIC/FORMOSAT-3 Mission: Early Results. Bull. Am. Meteorol. Soc. 2008, 89, 313–334. [Google Scholar] [CrossRef]
- Zhou, Y.; Wu, Y.; Qiao, X. GPS occltation techique and ionospheric inversion. J. Geod. Geodyn. 2005, 25, 29–35. [Google Scholar] [CrossRef]
- Yang, J.; Wu, Y.; Zhou, Y. Research on seismo-ionospheric anomalies using GPS radio occultation data. J. Geod. Geodyn. 2008, 28, 16–22. [Google Scholar] [CrossRef]
- Munawar, S.; Calabia, A.A.; Arslan, T.M.; Junaid, A.; Arslan, A. Possible ionosphere and atmosphere precursory analysis related to Mw > 6.0 earthquakes in Japan. Remote Sens. Environ. 2020, 239, 111620. [Google Scholar] [CrossRef]
- He, L.; Heki, K. Three-dimensional distribution of ionospheric anomalies prior to three large earthquakes in Chile. Geophys. Res. Lett. 2016, 43, 7287–7293. [Google Scholar] [CrossRef]
- Kuo, C.L.; Huba, J.D.; Joyce, G.; Lee, L.C. Ionosphere plasma bubbles and density variations induced by pre-earthquake rock currents and associated surface charges. J. Geophys. Res. Space Phys. 2011, 116. [Google Scholar] [CrossRef]
- Tsai, L.-C.; Liu, C.-H.; Hsiao, T.Y. Profiling of Ionospheric Electron Density Based on FormoSat-3/COSMIC Data: Results from the Intense Observation Period Experiment. Terr. Atmos. Ocean. Sci. 2009, 20, 181. [Google Scholar] [CrossRef][Green Version]
- Schreiner, W.; Weiss, J.; Anthes, R.; Braun, J.; Chu, V.; Fong, J.; Hunt, D.; Kuo, Y.; Meehan, T.; Serafino, W.; et al. COSMIC-2 Radio Occultation Constellation: First Results. Geophys. Res. Lett. 2020, 47. [Google Scholar] [CrossRef]
- Kendrick, E.; Bevis, M.; Smalley, R.; Brooks, B.; Vargas, R.B.; Lauría, E.; Fortes, L.P.S. The Nazca–South America Euler vector and its rate of change. J. S. Am. Earth Sci. 2003, 16, 125–131. [Google Scholar] [CrossRef]
- Yue, X.A.; Guo, Y.H.; Zeng, Z.; Wan, W.X. GNSS radio occultation technique for near-Earth space environment detection. Chin. J. Geophys. 2016, 59, 1161–1188. [Google Scholar] [CrossRef]
- Guo, J.; Shi, K.; Liu, X.; Sun, Y.; Li, W.; Kong, Q. Singular spectrum analysis of ionospheric anomalies preceding great earthquakes: Case studies of Kaikoura and Fukushima earthquakes. J. Geodyn. 2019, 124, 1–13. [Google Scholar] [CrossRef]
- Fejer, B.G.; De Paula, E.R.; Batista, I.S.; Bonelli, E.; Woodman, R.F. Equatorial F region vertical plasma drifts during solar maxima. J. Geophys. Res. Space Phys. 1989, 94, 12049. [Google Scholar] [CrossRef]
- Rostoker, G. Geomagnetic indices. Rev. Geophys. 1972, 10, 935–950. [Google Scholar] [CrossRef]
- Lei, J.; Syndergaard, S.; Burns, A.G.; Solomon, S.; Wang, W.; Zeng, Z.; Roble, R.G.; Wu, Q.; Kuo, Y.-H.; Holt, J.M.; et al. Comparison of COSMIC ionospheric measurements with ground-based observations and model predictions: Preliminary results. J. Geophys. Res. Space Phys. 2007, 112. [Google Scholar] [CrossRef]
- Schreiner, W.S.; Sokolovskiy, S.V.; Rocken, C.; Hunt, D.C. Analysis and validation of GPS/MET radio occultation data in the ionosphere. Radio Sci. 1999, 34, 949–966. [Google Scholar] [CrossRef]
- Le, H.; Yang, N.; Liu, L.; Chen, Y.; Zhang, H. The latitudinal structure of nighttime ionospheric TEC and its empirical orthogonal functions model over North American sector. J. Geophys. Res. Space Phys. 2016, 122, 963–977. [Google Scholar] [CrossRef]
- Ram, S.T.; Sudarsanam, T.; Tsai, L.-C.; Liu, C.H. A self-contained GIM-aided Abel retrieval method to improve GNSS-Radio Occultation retrieved electron density profiles. GPS Solut. 2016, 20, 825–836. [Google Scholar] [CrossRef]
- Foster, M.P.; Evans, A. An Evaluation of Interpolation Techniques for Reconstructing Ionospheric TEC Maps. IEEE Trans. Geosci. Remote Sens. 2008, 46, 2153–2164. [Google Scholar] [CrossRef]
- Rodríguez-Bouza, M.; Paparini, C.; Otero, X.; Herraiz, M.; Radicella, S.M.; Abe, O.E.; Rodríguez-Caderot, G. Southern European ionospheric TEC maps based on Kriging technique to monitor ionosphere behavior. Adv. Space Res. 2017, 60, 1606–1616. [Google Scholar] [CrossRef]
- Stanislawska, I.; Juchnikowski, G.; Cander, L.; Ciraolo, L.; Bradley, P.; Zbyszyński, Z.; Swiatek, A. The kriging method of TEC instantaneous mapping. Adv. Space Res. 2002, 29, 945–948. [Google Scholar] [CrossRef]
- Minkwitz, D.; Boogaart, K.G.V.D.; Gerzen, T.; Hoque, M.M. Tomography of the ionospheric electron density with geostatistical inversion. Ann. Geophys. 2015, 33, 1071–1079. [Google Scholar] [CrossRef]
- Guo, P.; Xu, X.; Zhang, G. Analysis of the ionospheric equivalent slab thickness based on ground-based GPS/TEC and GPS/COSMIC RO measurements. J. Atmos. Solar Terr. Phys. 2011, 73, 839–846. [Google Scholar] [CrossRef]
- Li, W.; Guo, J.; Yue, J.; Shen, Y.; Yang, Y. Total electron content anomalies associated with global VEI4 + volcanic eruptions during 2002–2015. J. Volcanol. Geotherm. Res. 2016, 325, 98–109. [Google Scholar] [CrossRef]
- Cai, X.; Burns, A.G.; Wang, W.; Qian, L.; Solomon, S.C.; Eastes, R.W.; Pedatella, N.; Daniell, R.E.; McClintock, W.E. The Two-Dimensional Evolution of Thermospheric ∑O/N 2 Response to Weak Geomagnetic Activity During Solar-Minimum Observed by GOLD. Geophys. Res. Lett. 2020, 47. [Google Scholar] [CrossRef]
- Rajesh, P.K.; Lin, C.H.; Chen, C.H.; Liu, J.Y.; Matsuo, T.; Chen, S.P.; Yeh, W.H.; Huang, C.Y. Extreme Positive Ionosphere Storm Triggered by a Minor Magnetic Storm in Deep Solar Minimum Revealed by FORMOSAT-7/COSMIC-2 and GNSS Observations. J. Geophys. Res. Space Phys. 2021, 126. [Google Scholar] [CrossRef]
- Chen, S.; Huang, Z. Ionospheric F-layer global scintillation index variation using COSMIC during the period of 2007–2013. GPS Solut. 2017, 21, 1049–1058. [Google Scholar] [CrossRef]
- Akhoondzadeh, M. Ant Colony Optimization detects anomalous aerosol variations associated with the Chile earthquake of 27 February 2010. Adv. Space Res. 2015, 55, 1754–1763. [Google Scholar] [CrossRef]
- Liu, J.-Y.; Chen, C.-Y.; Sun, Y.-Y.; Lee, I.-T.; Chum, J. Fluctuations on vertical profiles of the ionospheric electron density perturbed by the March 11, 2011 M9.0 Tohoku earthquake and tsunami. GPS Solut. 2019, 23, 76. [Google Scholar] [CrossRef]
- Ding, Z.H.; Jian, W.; Sun, S.J.; Chen, J.S.; Ban, P.P. The variation of ionosphere on some days before the Wenchuan Earthquake. Chin. J. Geophys. 2010, 53, 30–38. [Google Scholar] [CrossRef]
- Pedatella, N.M.; Yue, X.; Schreiner, W.S. An improved inversion for FORMOSAT-3/COSMIC ionosphere electron density profiles. J. Geophys. Res. Space Phys. 2015, 120, 8942–8953. [Google Scholar] [CrossRef]
- Hayakawa, M.; Molchanov, O.; Team, N. Summary report of NASDA’s earthquake remote sensing frontier project. Phys. Chem. Earth 2004, 29, 617–625. [Google Scholar] [CrossRef]
- Du, A.; Huang, Q.; Yang, S. Epicenter location by abnormal ULF electromagnetic emissions. Geophys. Res. Lett. 2002, 29, 94-1–94-3. [Google Scholar] [CrossRef]
- Du, A.M.; Tsurutani, B.T.; Sun, W. Solar wind energy input during prolonged, intense northward interplanetary magnetic fields: A new coupling function. J. Geophys. Res. Space Phys. 2011, 116, 12215. [Google Scholar] [CrossRef]
- Freund, F.T.; Takeuchi, A.; Lau, B.W.S.; Post, R.; Keefner, J.; Mellon, J.; Al-Manaseer, A. Stress-Induced Changes in the Electrical Conductivity of Igneous Rocks and the Generation of Ground Currents. Terr. Atmos. Ocean. Sci. 2004, 15, 437. [Google Scholar] [CrossRef]
- Kamogawa, M. Preseismic lithosphere-atmosphere-ionosphere coupling. Eos 2006, 87, 417–424. [Google Scholar] [CrossRef]
- Wang, Y.D.; Pi, D.C.; Zhang, X.M.; Shen, X.H. Seismo-ionospheric precursory anomalies detection from DEMETER satellite data based on data mining. Nat. Hazards 2015, 76, 823–837. [Google Scholar] [CrossRef]
- Namgaladze, A.; Karpov, M.; Knyazeva, M. Aerosols and seismo-ionosphere coupling: A review. J. Atmos. Solar Terr. Phys. 2018, 171, 83–93. [Google Scholar] [CrossRef]
- Fenoglio, M.A.; Johnston, M.J.S.; Byerlee, J.D. Magnetic and electric fields associated with changes in high pore pressure in fault zones: Application to the Loma Prieta ULF emissions. J. Geophys. Res. Space Phys. 1995, 100, 12951–12958. [Google Scholar] [CrossRef]
- Huang, Q. One possible generation mechanism of co-seismic electric signals. Proc. Jpn. Acad. B Phys. Biol. Sci. 2002, 78, 173–178. [Google Scholar] [CrossRef]
- Ho, Y.-Y.; Jhuang, H.-K.; Su, Y.-C.; Liu, J.-Y. Seismo-ionospheric anomalies in total electron content of the GIM and electron density of DEMETER before the 27 February 2010 M8.8 Chile earthquake. Adv. Space Res. 2013, 51, 2309–2315. [Google Scholar] [CrossRef]
- Zhang, Z.X.; Li, X.; Shen, X.; Ma, Y.; Chen, H.; You, X.; Yuan, Y. DEMETER Satellite Observations of Particle Burst Prior to Chile Earthquake. Adv. Space Res. 2010, 51, 2309–2315. [Google Scholar]
- Zhang, Z.X.; Lin, X.Q.; Wu, S.G.; Ma, Y.Q.; Shen, X.H.; Chen, H.R.; Wang, P.; You, X.Z.; Yuan, Y.H. DEMETER satellite observations of energetic particle prior to Chile earthquake. Chin. J. Geophys. 2012, 55, 1581–1590. [Google Scholar] [CrossRef]
- Shi, K.; Ding, H.; Guo, J.; Yu, T. Refined seismic-ionospheric effects: Case study of Mw 8.2 Chiapas earthquake on September 7, 2017. GPS Solut. 2021, 25, 1–12. [Google Scholar] [CrossRef]
- Mao, T. Central and Northern China TEC Map using the Kriging method. Chin. J. Space Sci. 2007, 4, 279–285. [Google Scholar] [CrossRef]














Publisher’s Note: MDPI stays neutral with regard to jurisdictional claims in published maps and institutional affiliations. |
© 2021 by the authors. Licensee MDPI, Basel, Switzerland. This article is an open access article distributed under the terms and conditions of the Creative Commons Attribution (CC BY) license (https://creativecommons.org/licenses/by/4.0/).
Share and Cite
Shi, K.; Guo, J.; Zhang, Y.; Li, W.; Kong, Q.; Yu, T. Multi-Dimension and Multi-Channel Seismic-Ionospheric Coupling: Case Study of Mw 8.8 Concepcion Quake on 27 February 2010. Remote Sens. 2021, 13, 2724. https://doi.org/10.3390/rs13142724
Shi K, Guo J, Zhang Y, Li W, Kong Q, Yu T. Multi-Dimension and Multi-Channel Seismic-Ionospheric Coupling: Case Study of Mw 8.8 Concepcion Quake on 27 February 2010. Remote Sensing. 2021; 13(14):2724. https://doi.org/10.3390/rs13142724
Chicago/Turabian StyleShi, Kunpeng, Jinyun Guo, Yongming Zhang, Wang Li, Qiaoli Kong, and Teng Yu. 2021. "Multi-Dimension and Multi-Channel Seismic-Ionospheric Coupling: Case Study of Mw 8.8 Concepcion Quake on 27 February 2010" Remote Sensing 13, no. 14: 2724. https://doi.org/10.3390/rs13142724
APA StyleShi, K., Guo, J., Zhang, Y., Li, W., Kong, Q., & Yu, T. (2021). Multi-Dimension and Multi-Channel Seismic-Ionospheric Coupling: Case Study of Mw 8.8 Concepcion Quake on 27 February 2010. Remote Sensing, 13(14), 2724. https://doi.org/10.3390/rs13142724

