Canopy Density and Roughness Differentiate Resistance of a Tropical Dry Forest to Major Hurricane Damage
Abstract
1. Introduction
2. Materials and Methods
2.1. Study Area
2.2. NEON Plot Ground Data Analysis
2.3. Canopy Height Change by Airborne Light Detection and Ranging (LiDAR)
3. Results
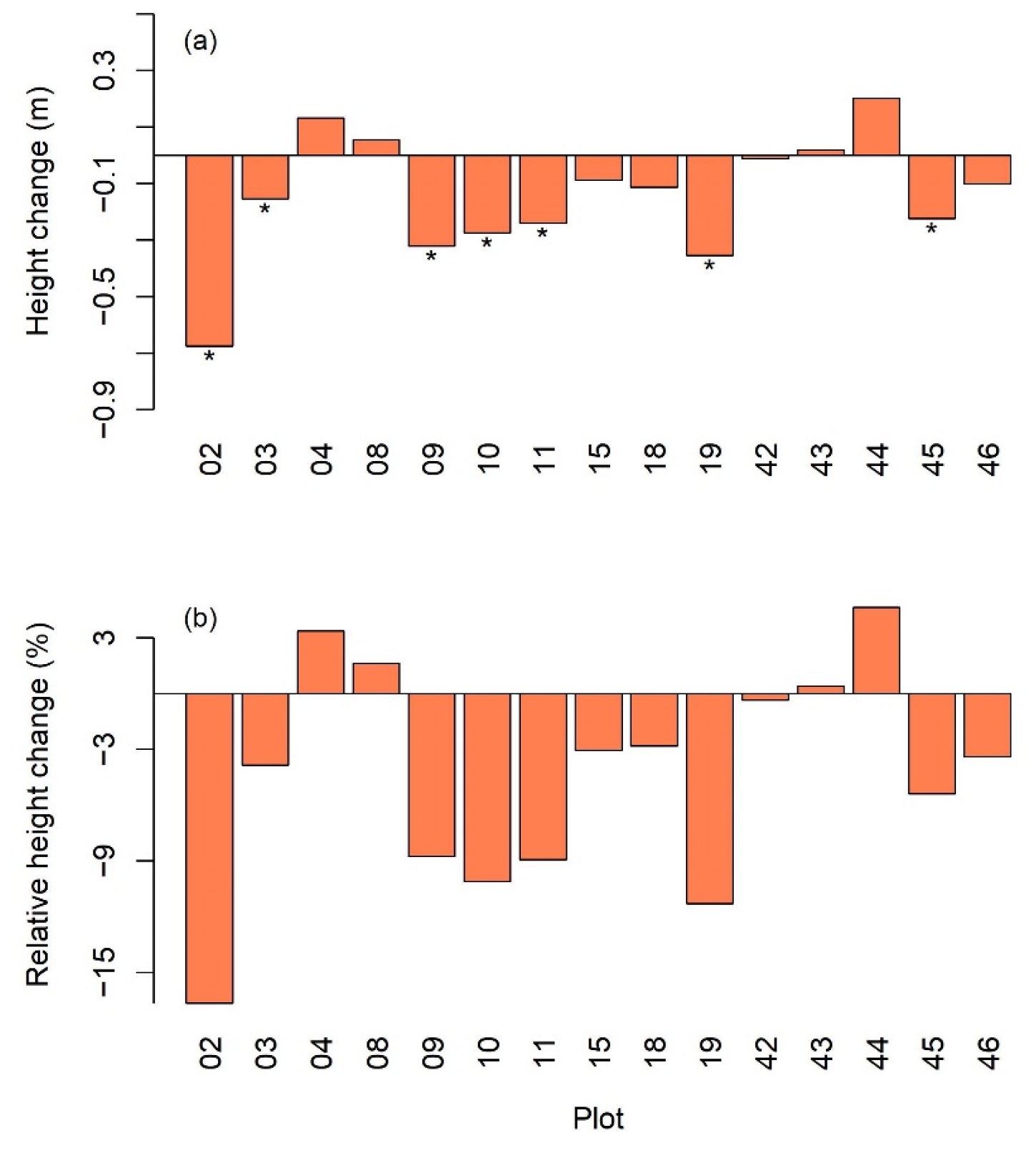
3.1. Mean Change in Stem Height at Plot Level
3.2. Lost and Damaged Stems
3.3. Impact at Species Level
3.4. LiDAR-Derived Canopy Height Change along the Transect
4. Discussion
5. Conclusions
Author Contributions
Funding
Institutional Review Board Statement
Informed Consent Statement
Data Availability Statement
Acknowledgments
Conflicts of Interest
References
- Murphy, P.G.; Lugo, A.E. Ecology of Tropical Dry Forest. Annu. Rev. Ecol. Syst. 1986, 17, 67–88. [Google Scholar] [CrossRef]
- Holdrige, L.R. Life Zone Ecology; Tropical Science Center: San Jose, Coast Rica, 1967. [Google Scholar]
- Holm, J.A.; Van Bloem, S.J.; Larocque, G.R.; Shugart, H.H. Shifts in biomass and productivity for a subtropical dry forest in response to simulated elevated hurricane disturbances. Environ. Res. Lett. 2017, 12, 025007. [Google Scholar] [CrossRef]
- Schlesinger, W.H.; Bernhardt, E.S. Biogeochemistry—An Analysis of Global Change; Academic Press: Boston, MA, USA, 2013. [Google Scholar]
- Stan, K.; Sanchez-Azofeifa, A. Tropical Dry Forest Diversity, Climatic Response, and Resilience in a Changing Climate. Forests 2019, 10, 443. [Google Scholar] [CrossRef]
- Powers, J.S.; Feng, X.; Sanchez-Azofeifa, A.; Medvigy, D. Focus on tropical dry forest ecosystems and ecosystem services in the face of global change. Environ. Res. Lett. 2018, 13, 090201. [Google Scholar] [CrossRef]
- Álvarez-Yépiz, J.C.; Martínez-Yrízar, A.; Fredericksen, T.S. Special Issue: Resilience of tropical dry forests to extreme disturbance events. For. Ecol. Manag. 2018, 426, 1–6. [Google Scholar] [CrossRef]
- Allen, K.; Dupuy, J.M.; Gei, M.G.; Hulshof, C.; Medvigy, D.; Pizano, C.; Salgado-Negret, B.; Smith, C.M.; Trierweiler, A.; Van Bloem, S.J.; et al. Will seasonally dry tropical forests be sensitive or resistant to future changes in rainfall regimes? Environ. Res. Lett. 2017, 12, 023001. [Google Scholar] [CrossRef]
- Waring, B.; Powers, J. Overlooking what is underground: Root:shoot ratios and coarse root allometric equations for tropical forests. For. Ecol. Manag. 2017, 385, 10–15. [Google Scholar] [CrossRef][Green Version]
- Qi, Y.; Wei, W.; Chen, C.; Chen, L. Plant root-shoot biomass allocation over diverse biomes: A global synthesis. Glob. Ecol. Conserv. 2019, 18, e00606. [Google Scholar] [CrossRef]
- Peterson, C.J.; Ribeiro, G.H.P.d.M.; Negrón-Juárez, R.; Marra, D.M.; Chambers, J.Q.; Higuchi, N.; Lima, A.; Cannon, J.B. Critical wind speeds suggest wind could be an important disturbance agent in Amazonian forests. For. Int. J. For. Res. 2019, 92, 444–459. [Google Scholar] [CrossRef]
- Gardiner, B.; Achim, A.; Nicoll, B.; Ruel, J.-C. Understanding the interactions between wind and trees: An introduction to the IUFRO 8th Wind and Trees Conference (2017). For. Int. J. For. Res. 2019, 92, 375–380. [Google Scholar] [CrossRef]
- Feldpausch, T.R.; Banin, L.; Phillips, O.L.; Baker, T.R.; Lewis, S.L.; Quesada, C.A.; Affum-Baffoe, K.; Arets, E.J.M.M.; Berry, N.J.; Bird, M.; et al. Height-diameter allometry of tropical forest trees. Biogeosciences 2011, 8, 1081–1106. [Google Scholar] [CrossRef]
- Curran, T.J.; Brown, R.L.; Edwards, E.; Hopkins, K.; Kelley, C.; Mccarthy, E.; Pounds, E.; Solan, R.; Wolf, J. Plant functional traits explain interspecific differences in immediate cyclone damage to trees of an endangered rainforest community in north Queensland. Austral Ecol. 2008, 33, 451–461. [Google Scholar] [CrossRef]
- Reich, P.B.; Uhl, C.; Walters, M.B.; Ellsworth, D.S. Leaf lifespan as a determinant of leaf structure and function among 23 amazonian tree species. Oecologia 1991, 86, 16–24. [Google Scholar] [CrossRef]
- Angelou, N.; Dellwik, E.; Mann, J. Wind load estimation on an open-grown European oak tree. For. Int. J. For. Res. 2019, 92, 381–392. [Google Scholar] [CrossRef]
- Antúnez, I.; Retamosa, E.C.; Villar, R. Relative growth rate in phylogenetically related deciduous and evergreen woody species. Oecologia 2001, 128, 172–180. [Google Scholar] [CrossRef] [PubMed]
- Hart, E.; Sim, K.; Kamimura, K.; Meredieu, C.; Guyon, D.; Gardiner, B. Use of machine learning techniques to model wind damage to forests. Agric. For. Meteorol. 2019, 265, 16–29. [Google Scholar] [CrossRef]
- Moore, J.; Lin, Y. Determining the extent and drivers of attrition losses from wind using long-term datasets and machine learning techniques. For. Int. J. For. Res. 2019, 92, 425–435. [Google Scholar] [CrossRef]
- Morimoto, J.; Nakagawa, K.; Takano, K.T.; Aiba, M.; Oguro, M.; Furukawa, Y.; Mishima, Y.; Ogawa, K.; Ito, R.; Takemi, T.; et al. Comparison of vulnerability to catastrophic wind between Abies plantation forests and natural mixed forests in northern Japan. For. Int. J. For. Res. 2019, 92, 436–443. [Google Scholar] [CrossRef]
- Uriarte, M.; Thompson, J.; Zimmerman, J.K. Hurricane María tripled stem breaks and doubled tree mortality relative to other major storms. Nat. Commun. 2019, 10, 1362. [Google Scholar] [CrossRef] [PubMed]
- Beard, K.H.; Vogt, K.A.; Vogt, D.J.; Scatena, F.N.; Covich, A.P.; Sigurdardottir, R.; Siccama, T.G.; Crowl, T.A. Structural and functional responses of a subtropical forest to 10 years of hurricanes and droughts. Ecol. Monogr. 2005, 75, 345–361. [Google Scholar] [CrossRef]
- Miller, P.W.; Kumar, A.; Mote, T.L.; Moraes, F.D.S.; Mishra, D.R. Persistent Hydrological Consequences of Hurricane Maria in Puerto Rico. Geophys. Res. Lett. 2019, 46, 1413–1422. [Google Scholar] [CrossRef]
- Yu, M.; Gao, Q. Topography, drainage capability, and legacy of drought differentiate tropical ecosystem response and recovery to major hurricanes. Environ. Res. Lett. 2020, 15, 104046. [Google Scholar] [CrossRef]
- Lugo, A.E. Visible and invisible effects of hurricanes on forest ecosystems: An international review. Austral Ecol. 2008, 33, 368–398. [Google Scholar] [CrossRef]
- Stovall, A.E.L.; Shugart, H.; Yang, X. Tree height explains mortality risk during an intense drought. Nat. Commun. 2019, 10, 4385. [Google Scholar] [CrossRef]
- Atkins, J.W.; Bohrer, G.; Fahey, R.T.; Hardiman, B.S.; Morin, T.H.; Stovall, A.E.L.; Zimmerman, N.; Gough, C.M. Quantifying vegetation and canopy structural complexity from terrestrial LiDAR data using the forestr r package. Methods Ecol. Evol. 2018, 9, 2057–2066. [Google Scholar] [CrossRef]
- Eisemann, E.; Dunkin, L.; Hartman, M.; Wozencraft, J. JALBTCX/NCMP emergency-response airborne Lidar coastal mapping & quick response data products for 2016/2017/2018 hurricane impact assessments. Shore Beach 2019, 87, 31–40. [Google Scholar] [CrossRef]
- Herrera, D.A.; Ault, T.R.; Fasullo, J.T.; Coats, S.J.; Carrillo, C.M.; Cook, B.I.; Williams, A.P. Exacerbation of the 2013-2016 Pan-Caribbean Drought by Anthropogenic Warming. Geophys. Res. Lett. 2018, 45, 10619–10626. [Google Scholar] [CrossRef]
- Van Bloem, S.J.; Murphy, P.G. The inflluence of hurricane winds on Caribbean dry forest structure and nutrient pools. Biotropica 2005, 37, 571–583. [Google Scholar] [CrossRef]
- National Ecological Observation Networks. NEON DP1.10098.001; Battelle: Boulder, CO, USA, 2020; Available online: http://data.neonscience.org (accessed on 15 January 2020).
- Cook, B.; Corp, L.; Nelson, R.; Middleton, E.; Morton, D.; McCorkel, J.; Masek, J.; Ranson, K.; Ly, V.; Montesano, P. NASA Goddard’s LiDAR, Hyperspectral and Thermal (G-LiHT) Airborne Imager. Remote Sens. 2013, 5, 4045. [Google Scholar] [CrossRef]
- National Ecological Observatory Networks. Ecosystem Structure (DP3.30015.001); National Ecological Observatory Network (NEON); Battelle: Boulder, CO, USA, 2021. [Google Scholar] [CrossRef]
- National Ecological Observatory Networks. Elevation—LiDAR (DP3.30024.001); National Ecological Observatory Network (NEON); Battelle: Boulder, CO, USA, 2021. [Google Scholar] [CrossRef]
- Anselin, L.; Griffith, D.A. Do Spatial Effecfs Really Matter in Regression Analysis? Pap. Reg. Sci. 1988, 65, 11–34. [Google Scholar] [CrossRef]
- R Core Team. R: A Language and Environment for Statistical Computing; R Foundation for Statistical Computing: Vienna, Austria, 2017; Available online: https://www.gbif.org/tool/81287/r-a-language-and-environment-for-statistical-computing (accessed on 8 June 2021).
- Chave, J.; Coomes, D.; Jansen, S.; Lewis, S.L.; Swenson, N.G.; Zanne, A.E. Towards a worldwide wood economics spectrum. Ecol. Lett. 2009, 12, 351–366. [Google Scholar] [CrossRef]
- Van Bloem, S.J.; Lugo, A.E.; Murphy, P.G. Structural response of Caribbean dry forests to hurricane winds: A case study from Guanica Forest, Puerto Rico. J. Biogeogr. 2006, 33, 517–523. [Google Scholar] [CrossRef]
- Crowther, T.W.; Glick, H.B.; Covey, K.R.; Bettigole, C.; Maynard, D.S.; Thomas, S.M.; Smith, J.R.; Hintler, G.; Duguid, M.C.; Amatulli, G.; et al. Mapping tree density at a global scale. Nature 2015, 525, 201–205. [Google Scholar] [CrossRef]
- Frangi, J.L.; Lugo, A. Hurricane damage to a flood plain forests in the Luquillo mountain of Puerto Rico. Biotropica 1991, 23, 324–335. [Google Scholar] [CrossRef]
- Duryea, M.L.; Kampf, E. Wind and Trees: Lessons Learned from Hurricanes; Institute of Food and Agricultural Sciences Extension, University of Florida: Gainesville, FL, USA, 2017. [Google Scholar]
- Ribeiro, G.H.P.M.; Chambers, J.Q.; Peterson, C.J.; Trumbore, S.E.; Magnabosco Marra, D.; Wirth, C.; Cannon, J.B.; Négron-Juárez, R.I.; Lima, A.J.N.; de Paula, E.V.C.M.; et al. Mechanical vulnerability and resistance to snapping and uprooting for Central Amazon tree species. For. Ecol. Manag. 2016, 380, 1–10. [Google Scholar] [CrossRef]
- Hale, S.E.; Gardiner, B.; Peace, A.; Nicoll, B.; Taylor, P.; Pizzirani, S. Comparison and validation of three versions of a forest wind risk model. Environ. Model. Softw. 2015, 68, 27–41. [Google Scholar] [CrossRef]
- Zhu, P. Impact of land-surface roughness on surface winds during hurricane landfall. Q. J. R. Meteorol. Soc. 2008, 134, 1051–1057. [Google Scholar] [CrossRef]
- Nilsson, E.D. Planetary boundary layer structure and air mass transport during the International Arctic Ocean Expedition 1991. Tellus B 1996, 48, 178–196. [Google Scholar] [CrossRef][Green Version]
- Hu, T.; Smith, R.B. The Impact of Hurricane Maria on the Vegetation of Dominica and Puerto Rico Using Multispectral Remote Sensing. Remote Sens. 2018, 10, 827. [Google Scholar] [CrossRef]
- Santana, R.A.S.d.; Dias-Júnior, C.Q.; Vale, R.S.d.; Tóta, J.; Fitzjarrald, D.R. Observing and Modeling the Vertical Wind Profile at Multiple Sites in and above the Amazon Rain Forest Canopy. Adv. Meteorol. 2017, 2017, 5436157. [Google Scholar] [CrossRef]
- Wunderle, J.J.; Lodge, D.; Waide, R. Short-Term Effects of Hurricane Gilbert on Terrestrial Bird Populations on Jamaica. Auk 1992, 109, 148–166. [Google Scholar] [CrossRef]
- Lugo, A.E.; Applefield, M.; Pool, D.J.; McDonald, R.B. The impact of Hurricane David on the forests of Dominica. Can. J. For. Res. 1983, 13, 201–211. [Google Scholar] [CrossRef]
- Cai, W.J.; Wang, G.J.; Santoso, A.; McPhaden, M.J.; Wu, L.X.; Jin, F.F.; Timmermann, A.; Collins, M.; Vecchi, G.; Lengaigne, M.; et al. Increased frequency of extreme La Nina events under greenhouse warming. Nat. Clim. Chang. 2015, 5, 132–137. [Google Scholar] [CrossRef]
- Cai, W.J.; Borlace, S.; Lengaigne, M.; van Rensch, P.; Collins, M.; Vecchi, G.; Timmermann, A.; Santoso, A.; McPhaden, M.J.; Wu, L.X.; et al. Increasing frequency of extreme El Nino events due to greenhouse warming. Nat. Clim. Chang. 2014, 4, 111–116. [Google Scholar] [CrossRef]
- Feng, X.; Porporato, A.; Rodriguez-Iturbe, I. Changes in rainfall seasonality in the tropics. Nat. Clim. Chang. 2013, 3, 811–815. [Google Scholar] [CrossRef]





| Plot ID | Plot Type | Time Before | Time After | Altitude (m) |
|---|---|---|---|---|
| GUAN_002 | Distribute | August 2015 | January 2018 | 89.1 |
| GUAN_003 | Distribute | April 2016 | December 2017 | 182.9 |
| GUAN_004 | Distribute | February 2016 | January 2018 | 133.5 |
| GUAN_008 | Distribute | March–April 2016 | January 2018 | 65.8 |
| GUAN_009 | Distribute | May 2016 | January 2018 | 116.5 |
| GUAN_010 | Distribute | May 2016 | January 2018 | 177.6 |
| GUAN_011 | Distribute | May 2016 | February 2018 | 201.2 |
| GUAN_015 | Distribute | April 2016 | December 2017 | 207.8 |
| GUAN_018 | Distribute | February 2016 | January 2018 | 162.6 |
| GUAN_019 | Distribute | May–June 2016 | February 2018 | 131.7 |
| GUAN_042 | Tower | April 2017 | February 2018 | 146.9 |
| GUAN_043 | Tower | April 2017 | February 2018 | 115.9 |
| GUAN_044 | Tower | April 2017 | February 2018 | 147.5 |
| GUAN_045 | Tower | April 2017 | February 2018 | 145.3 |
| GUAN_046 | Tower | March 2017 | February 2018 | 168.0 |
| Scientific Name | # Stems | # Affected | % Affected |
|---|---|---|---|
| Gymnanthes lucida Sw. | 1714 | 18 | 1.1 |
| Croton lucidus L. | 537 | 15 | 2.8 |
| Bucida buceras L. | 610 | 13 | 2.1 |
| Eugenia foetida Pers. | 997 | 8 | 0.8 |
| Thouinia striata Radlk. var. portoricensis (Radlk.) Votava & Alain | 490 | 8 | 1.6 |
| Leucaena leucocephala (Lam.) de Wit | 487 | 6 | 1.2 |
| Pisonia albida (Heimerl) Britton ex Standl. | 541 | 6 | 1.1 |
| Pithecellobium unguis-cati (L.) Benth. | 171 | 6 | 3.5 |
| Bursera simaruba (L.) Sarg. | 305 | 5 | 1.6 |
| Guaiacum sanctum L. | 181 | 5 | 2.8 |
| Coccoloba microstachya Willd. | 223 | 3 | 1.3 |
| Acacia farnesiana (L.) Willd. | 82 | 2 | 2.4 |
| Bunchosia glandulosa (Cav.) DC. | 39 | 2 | 5.1 |
| Capparis flexuosa (L.) L. | 54 | 2 | 3.7 |
| Colubrina arborescens (Mill.) Sarg. | 29 | 2 | 6.9 |
| Croton betulinus Vahl | 6 | 2 | 33.3 |
| Guaiacum officinale L. | 262 | 2 | 0.8 |
| Pictetia aculeata (Vahl) Urb. | 173 | 2 | 1.2 |
| Poitea florida (Vahl) Lavin | 42 | 2 | 4.8 |
| Rochefortia acanthophora (DC.) Griseb. | 25 | 2 | 8.0 |
| Schaefferia frutescens Jacq. | 58 | 2 | 3.4 |
| Swietenia mahagoni (L.) Jacq. | 562 | 2 | 0.4 |
| Capparis hastata Jacq. | 112 | 1 | 0.9 |
| Capparis indica (L.) Druce | 22 | 1 | 4.5 |
| Coccoloba diversifolia Jacq. | 207 | 1 | 0.5 |
| Comocladia dodonaea (L.) Urb. | 35 | 1 | 2.9 |
| Croton flavens L. | 7 | 1 | 14.3 |
| Croton sp. | 40 | 1 | 2.5 |
| Eugenia xerophytica Britton | 30 | 1 | 3.3 |
| Exostema caribaeum (Jacq.) Schult. | 66 | 1 | 1.5 |
| Guapira obtusata (Jacq.) Little | 10 | 1 | 10.0 |
| Guettarda krugii Urb. | 122 | 1 | 0.8 |
| Guettarda sp. | 32 | 1 | 3.1 |
| Lantana exarata Urb. & Ekman | 81 | 1 | 1.2 |
| Reynosia uncinata Urb. | 39 | 1 | 2.6 |
| Unknown plant | 526 | 1 | 0.2 |
Publisher’s Note: MDPI stays neutral with regard to jurisdictional claims in published maps and institutional affiliations. |
© 2021 by the authors. Licensee MDPI, Basel, Switzerland. This article is an open access article distributed under the terms and conditions of the Creative Commons Attribution (CC BY) license (https://creativecommons.org/licenses/by/4.0/).
Share and Cite
Gao, Q.; Yu, M. Canopy Density and Roughness Differentiate Resistance of a Tropical Dry Forest to Major Hurricane Damage. Remote Sens. 2021, 13, 2262. https://doi.org/10.3390/rs13122262
Gao Q, Yu M. Canopy Density and Roughness Differentiate Resistance of a Tropical Dry Forest to Major Hurricane Damage. Remote Sensing. 2021; 13(12):2262. https://doi.org/10.3390/rs13122262
Chicago/Turabian StyleGao, Qiong, and Mei Yu. 2021. "Canopy Density and Roughness Differentiate Resistance of a Tropical Dry Forest to Major Hurricane Damage" Remote Sensing 13, no. 12: 2262. https://doi.org/10.3390/rs13122262
APA StyleGao, Q., & Yu, M. (2021). Canopy Density and Roughness Differentiate Resistance of a Tropical Dry Forest to Major Hurricane Damage. Remote Sensing, 13(12), 2262. https://doi.org/10.3390/rs13122262
