Impact of Atmospheric Optical Properties on Net Ecosystem Productivity of Peatland in Poland
Abstract
1. Introduction
2. Materials and Methods
2.1. Site Description
2.2. Meteorological Conditions
2.3. Measurement Equipment
2.3.1. Eddy Covariance
2.3.2. Sun Radiometer
2.3.3. Meteorological Measurements
2.4. Ecosystem Productivity (EP) and Atmospheric Radiative Transfer (ART) Modeling
2.5. Data Selection
2.5.1. Broad–band Normalized Difference Vegetation Index
2.5.2. Vapor Pressure Deficit (VPD)
2.5.3. Clear Sky Conditions
2.6. EP and ART Models Accuracy Assessment
3. Results
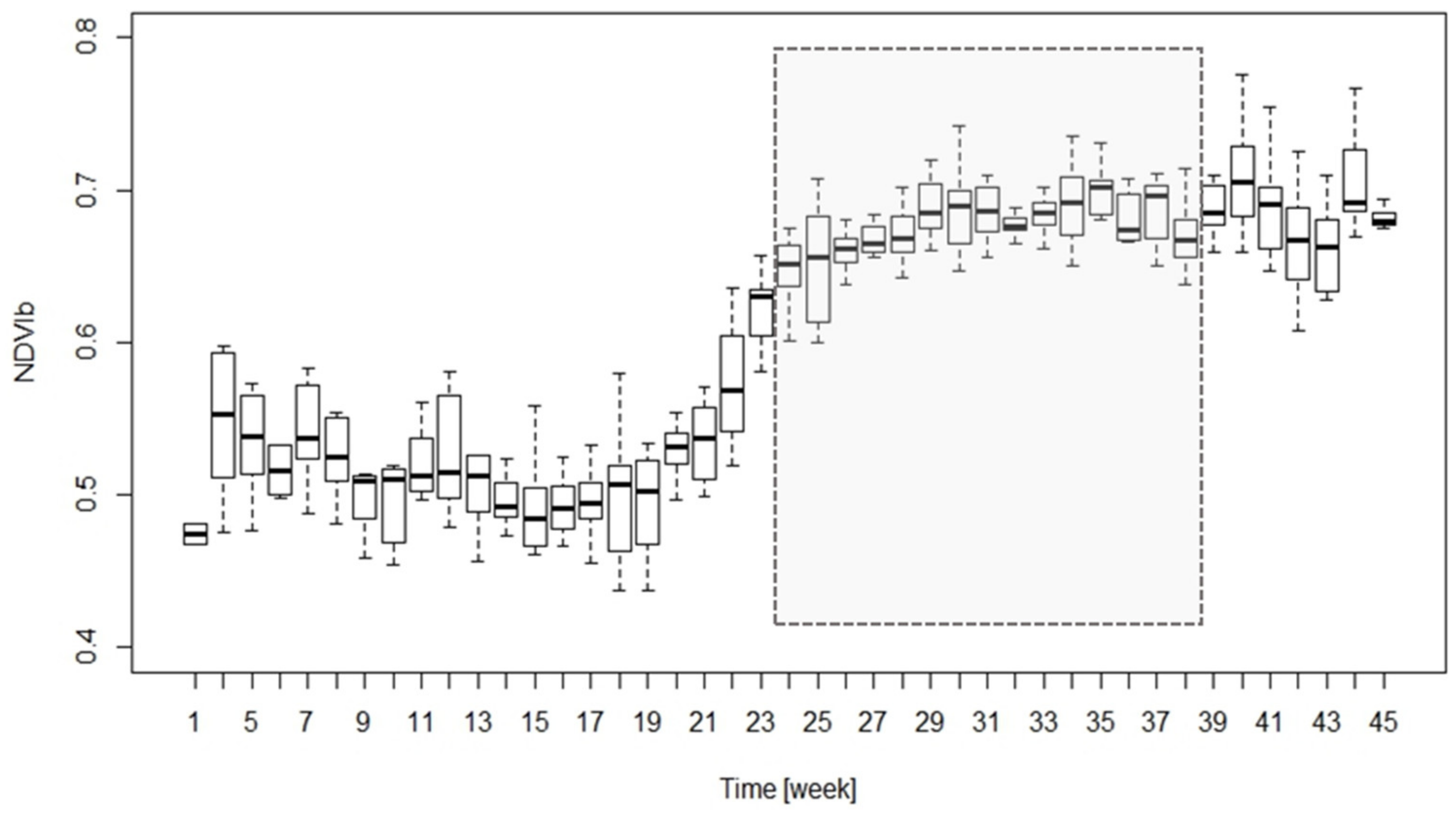
3.1. Seasonal Patterns of NDVIb
3.2. Diurnal Patterns of VPD
3.3. Diurnal Patterns of Micrometeorological Parameters
3.4. ART Model Parametrization
3.5. EP Model Parametrization
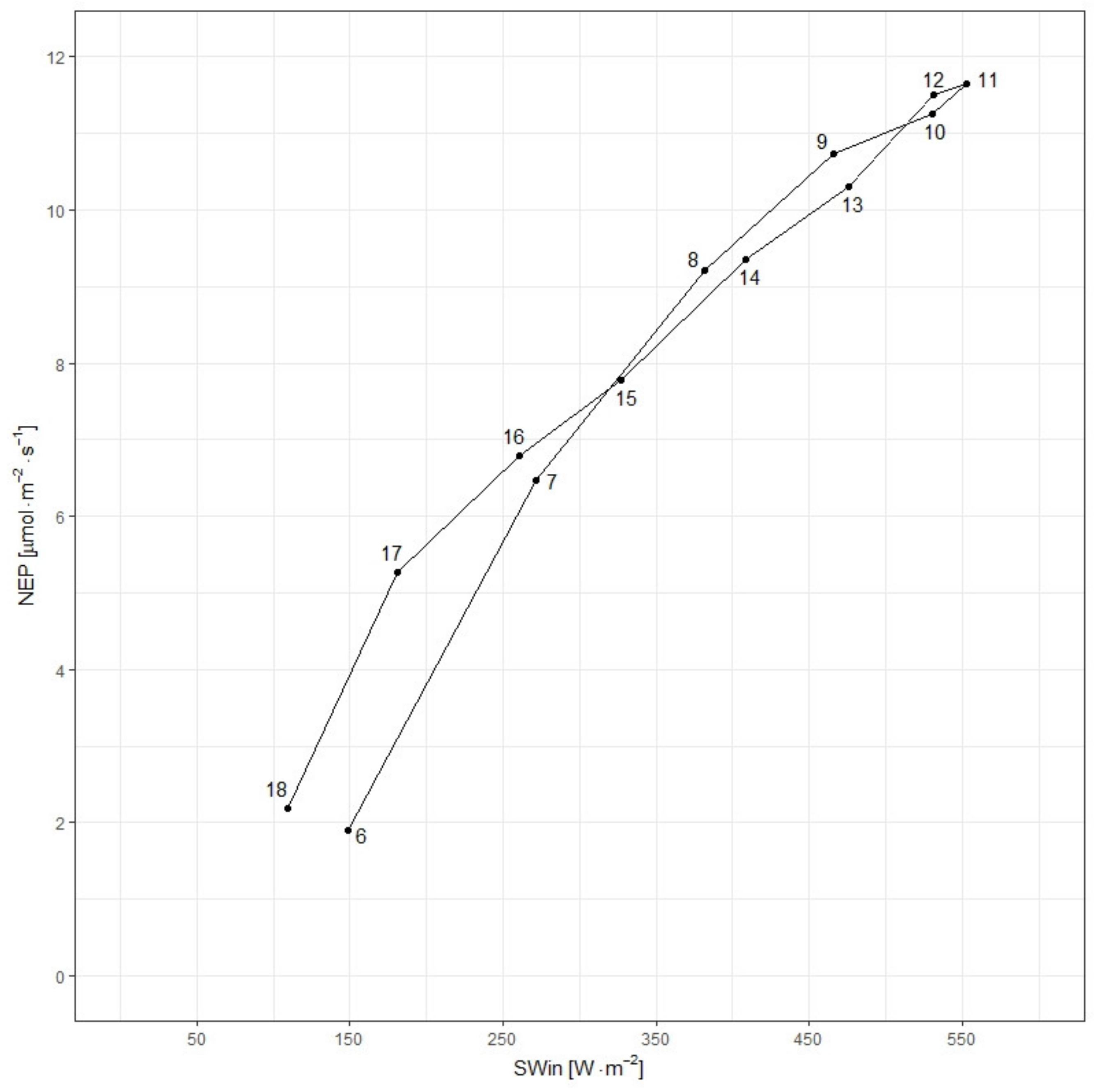
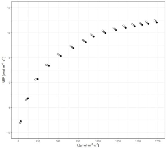
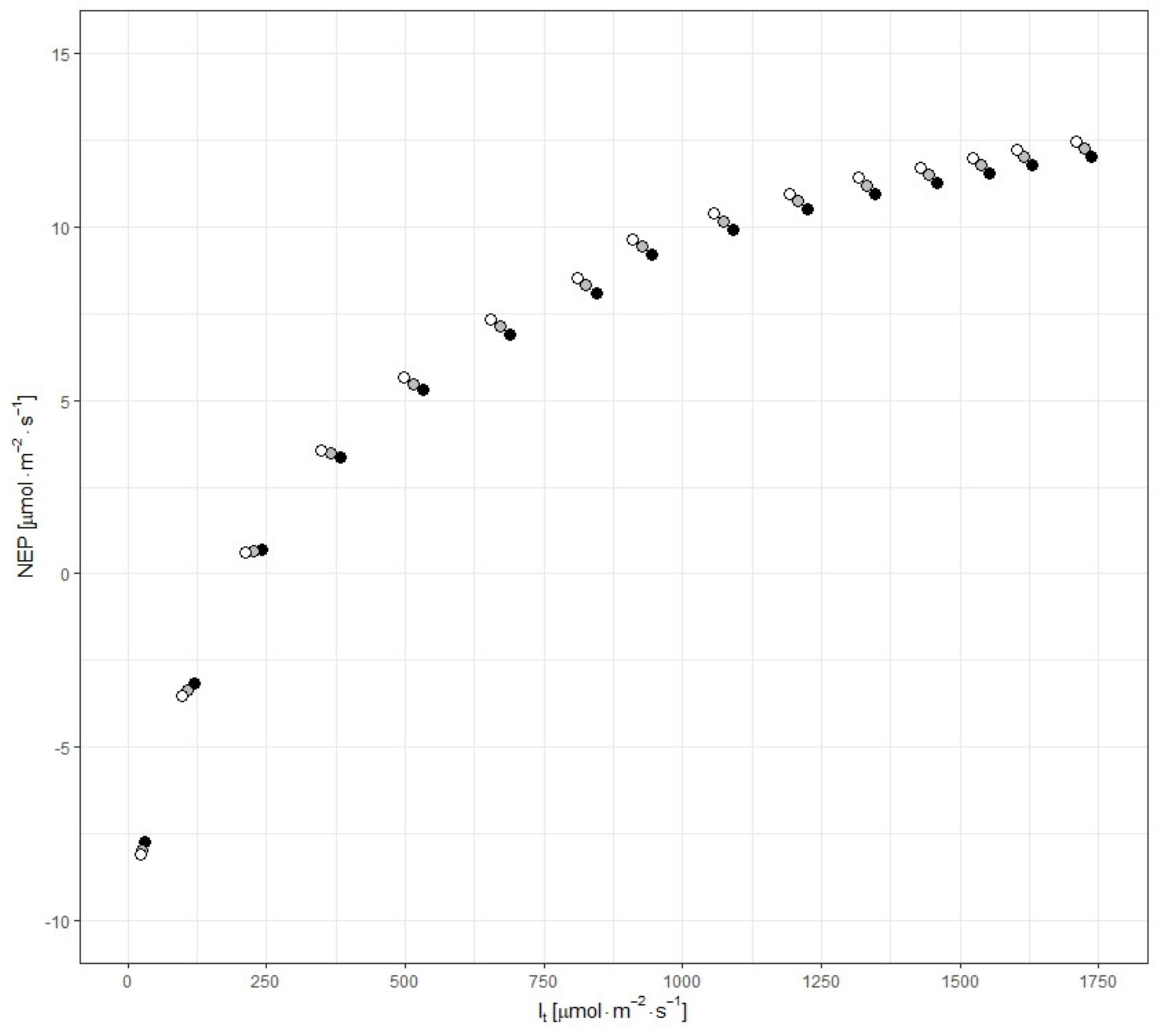
3.6. Effects of Meteorological Conditions and Optical Properties on NEP
4. Discussion
5. Conclusions
Author Contributions
Funding
Acknowledgments
Conflicts of Interest
References
- Stocker, T.F.; Qin, D.; Plattner, G.-K.; Tignor, M.; Allen, S.K.; Boschung, J.; Nauels, A.; Xia, Y.; Bex, V.; Midgley, P.M. IPCC 2013: Climate Change 2013: The Physical Science Basis. Contribution of Working Group I to the Fifth Assessment Report of the Intergovernmental Panel on Climate Change; Cambridge University Press: Cambridge, UK; New York, NY, USA, 2013; p. 1535. [Google Scholar] [CrossRef]
- Baldocchi, D.D.; Vogel, C.A.; Hall, B. Seasonal variation of carbon dioxide exchange rates above and below a boreal jack pine forest. Agric. For. Meteorol. 1997, 83, 147–170. [Google Scholar] [CrossRef]
- Chapin, F.S.; Woodwell, G.M.; Randerson, J.T.; Rastetter, E.B.; Lovett, G.M.; Baldocchi, D.D.; Clark, D.A.; Harmon, M.E.; Schimel, D.S.; Valentini, R.; et al. Reconciling carbon-cycle concepts, terminology, and methods. Ecosystems 2006, 9, 1041–1050. [Google Scholar] [CrossRef]
- Limpens, J.; Berendse, F.; Blodau, C.; Canadell, J.G.; Freeman, C.; Holden, J.; Roulet, N.; Rydin, H.; Schaepman-Strub, G. Peatlands and the carbon cycle: From local processes to global implications—A synthesis. Biogeosciences 2006, 5, 1475–1491. [Google Scholar] [CrossRef]
- Dise, N.B. Peatland response to global change. Science 2009, 326, 810–811. [Google Scholar] [CrossRef]
- Harenda, K.M.; Lamentowicz, M.; Samson, M.; Chojnicki, B.H. The Role of Peatlands and Their Carbon Storage Function in the Context of Climate Change. In Interdisciplinary Approaches for Sustainable Development Goals; GeoPlanet Earth and Planetary Sciences; Zielinski, T., Sagan, I., Surosz, W., Eds.; Springer: Heidelberg/Berlin, Germany, 2018; pp. 169–187. ISBN 978-3-319-71787-6. [Google Scholar]
- Gorham, E. Northern peatlands: Role in the carbon cycle and probably responses to climate warming. Ecol. Appl. 1991, 182–195. [Google Scholar] [CrossRef]
- Lappalainen, E. General review on world peatland and peat resources. In Global Peat Resources; Lappalainen, E., Ed.; International Peat Society: Jyväskylä, Finland, 1996; pp. 53–56. [Google Scholar]
- Page, S.E.; Rieley, J.O.; Banks, C.J. Global and regional importance of the tropical peatland carbon pool. Glob. Change Biol. 2011, 17, 798–818. [Google Scholar] [CrossRef]
- Rydin, H.; Jeglum, J.K. The Biology of Peatlands, 2nd ed.; Oxford University Press: Oxford, UK, 2013; ISBN 978-0-19-960300-8. [Google Scholar]
- Heiskanen, L.; Tuovinen, J.-P.; Räsänen, A.; Virtanen, T.; Juutinen, S.; Lohila, A.; Penttilä, T.; Linkosalmi, M.; Mikola, J.; Laurila, T.; et al. Carbon dioxide and methane exchange of a patterned subarctic fen during two contrasting growing seasons. Biogeosciences 2021, 18, 873–896. [Google Scholar] [CrossRef]
- Steffen, W.; Rockström, J.; Richardson, K.; Lenton, T.M.; Folke, C.; Liverman, D.; Summerhayes, C.P.; Barnosky, A.D.; Cornell, S.E.; Crucifix, M.; et al. Trajectories of the Earth System in the Anthropocene. Proc. Natl. Acad. Sci. USA 2018, 115, 8252–8259. [Google Scholar] [CrossRef] [PubMed]
- Sinclair, T.R.; Murphy, C.E.; Knoerr, K.R. Development and evaluation of simplified models for simulating canopy photosynthesis and transpiration. J. Appl. Ecol. 1976, 13, 813–829. [Google Scholar] [CrossRef]
- Mercado, L.M.; Bellouin, N.; Sitch, S.; Boucher, O.; Huntingford, C.; Wild, M.; Cox, P.M. Impact of changes in diffuse radiation on the global land carbon sink. Nature 2009, 458, 1014–1017. [Google Scholar] [CrossRef]
- Zhou, H.; Yue, X.; Lei, Y.; Zhang, T.; Tian, C.; Ma, Y.; Cao, Y. Responses of gross primary productivity to diffuse radiation at global FLUXNET sites. Atmos. Environ. 2021, 244, 117905. [Google Scholar] [CrossRef]
- Urban, O.; Klem, K.; Ač, A.; Havránková, K.; Holišová, P.; Navrátil, M.; Zitová, M.; Kozlová, K.; Pokorný, R.; Šprtová, M.; et al. Impact of clear and cloudy sky conditions on the vertical distribution of photosynthetic CO2 uptake within a spruce canopy. Funct. Ecol. 2012, 26, 46–55. [Google Scholar] [CrossRef]
- Harenda, K.; Piątyszek, M.; Chojnicki, B.H. Reed canopy transparency under different levels of diffuse radiation. Acta Agrophys. 2015, 22, 387–395. [Google Scholar]
- Stanhill, G. Long-term trends in, and spatial variation of solar irradiances in Ireland. Int. J. Climatol. 1998, 18, 1015–1030. [Google Scholar] [CrossRef]
- Russak, V. Changes in solar radiation and their influence on temperature trend in Estonia (1955–2007). J. Geophys. Res. 2009, 114, D00D01. [Google Scholar] [CrossRef]
- Abakumova, G.M.; Gorbarenko, E.V.; Nezval, E.I.; Shilovtseva, O.A. Fifty years of actinometrical measurements in Moscow. Int. J. Remote Sens. 2008, 29, 2629–2665. [Google Scholar] [CrossRef]
- Wild, M. Global dimming and brightening: A review. J. Geophys. Res. 2009, 114, D00D16. [Google Scholar] [CrossRef]
- Soni, V.K.; Pandithurai, G.; Pai, D.S. Evaluation of long-term changes of solar radiation in India. Int. J. Climatol. 2012, 32, 540–551. [Google Scholar] [CrossRef]
- Alpert, P.; Kishcha, P.; Kaufman, Y.J.; Schwarzbard, R. Global dimming or local dimming?: Effect of urbanization on sunlight availability. Geophys. Res. Lett. 2005, 32, 1–4. [Google Scholar] [CrossRef]
- Kleniewska, M.; Chojnicki, B.H.; Acosta, M. Long-term total solar radiation variability at the Polish Baltic coast in Kołobrzeg within the period 1964–2013. Meteorol. Hydrol. Water Manag. 2016, 4, 35–40. [Google Scholar] [CrossRef]
- Kleniewska, M.; Chojnicki, B.H. Long-term solar radiation variability in Warszawa within the period 1964–2013. Acta Geogr. Lodz. 2016, 104, 67–74. (In Polish) [Google Scholar]
- Liou, K.N. Light scattering by particulates in the atmosphere. In An Introduction to Atmospheric Radiation; Liou, K.N., Ed.; International Geophysics: Amsterdam, The Netherlands, 1980; Volume 26, pp. 122–175. ISBN 978-0-12-451450-8. [Google Scholar]
- Wang, D.; Stachlewska, I.S.; Song, X.; Heese, B.; Nemuc, A. Variability of the boundary layer over an urban continental site based on 10 years of active remote sensing observations in Warsaw. Remote Sens. 2020, 12, 340. [Google Scholar] [CrossRef]
- Stachlewska, I.S.; Zawadzka, O.; Engelmann, R. Effect of heat wave conditions on aerosol optical properties derived from satellite and ground-based remote sensing over Poland. Remote Sens. 2017, 9, 1199. [Google Scholar] [CrossRef]
- Stachlewska, I.S.; Samson, M.; Zawadzka, O.; Harenda, K.M.; Janicka, L.; Poczta, P.; Szczepanik, D.; Heese, B.; Wang, D.; Borek, K.; et al. Modification of local urban aerosol properties by long-range transport of biomass burning aerosol. Remote Sens. 2018, 10, 412. [Google Scholar] [CrossRef]
- Kaufman, Y.J.; Tanré, D.; Boucher, O. A satellite view of aerosols in the climate system. Nature 2002, 419, 215–223. [Google Scholar] [CrossRef]
- Dieudonné, E.; Chazette, P.; Marnas, F.; Totems, J.; Shang, X. Raman Lidar Observations of Aerosol Optical Properties in 11 Cities from France to Siberia. Remote Sens. 2017, 9, 978. [Google Scholar] [CrossRef]
- Zawadzka-Manko, O.; Stachlewska, I.S.; Markowicz, K.M. Near-Real-Time Application of SEVIRI Aerosol Optical Depth Algorithm. Remote Sens. 2020, 12, 1481. [Google Scholar] [CrossRef]
- Justus, C.G.; Paris, M.V. A model for solar spectral irradiance and radiance at the bottom and top of a cloudless atmosphere. J. Clim. Appl. Meteorol. 1985, 24, 193–205. [Google Scholar] [CrossRef]
- Zdunkowski, W.; Trautmann, T.; Bott, A. Radiation in the Atmosphere; Cambridge University Press: Cambridge, UK, 2007; 496p, ISBN 978-0-521-87107-5. [Google Scholar]
- Yu, X.; Zhu, B.; Fan, S.; Yin, Y.; Bu, X. Ground-based observation of aerosol optical properties in Lanzhou. China J. Environ. Sci. 2009, 21, 1519–1524. [Google Scholar] [CrossRef]
- Katsev, I.L.; Prikhach, A.S.; Zege, E.P.; Grudo, J.O.; Kokhanovsky, A.A. Speeding up the aerosol optical thickness retrieval using analytical solutions of radiative transfer theory. Atmos. Measur. Tech. 2010, 3, 1403–1422. [Google Scholar] [CrossRef]
- Smirnov, A.; Holben, B.N.; Eck, T.F.; Dubovik, O.; Slutsker, I. Cloud-screening and quality control algorithms for the AERONET database. Remote Sens. Environ. 2000, 73, 337–349. [Google Scholar] [CrossRef]
- Sinclair, T.R.; Shiraiwa, T.; Hammer, G.L. Variation in Crop Radiation-Use Efficiency with Increased Diffuse Radiation. Crop Ecol. Prod. Manag. 1992. [Google Scholar] [CrossRef]
- Sinclair, T.R.; Shiraiwa, T. Soybean Radiation-Use Efficiency as Influenced by Nonuniform Specific Leaf Nitrogen Distribution and Diffuse Radiation. Crop Physiol. Metab. 1993. [Google Scholar] [CrossRef]
- Healey, K.D.; Hammer, G.L.; Rickert, K.G.; Bange, M.P. Radiation use efficiency increases when the diffuse component of incident radiation is enhanced under shade. Aust. J. Agric. Res. 1998, 49, 665–672. [Google Scholar] [CrossRef]
- Moureaux, C.; Debacq, A.; Bodson, B.; Heinesch, B.; Aubinet, M. Annual net ecosystem carbon exchange by a sugar beet crop. Agric. For. Meteorol. 2006, 139, 25–39. [Google Scholar] [CrossRef]
- Hollinger, D.Y.; Kelliher, F.M.; Byers, J.N.; Hunt, J.E.; McSeveny, T.M.; Weir, P.L. Carbon dioxide exchange between an undisturbed old-growth temperate forest and the atmosphere. Ecology 1994, 75, 134–150. [Google Scholar] [CrossRef]
- Law, B.E.; Falge, E.; Gu, L.; Baldocchi, D.D.; Bakwin, P.; Berbigier, P.; Davis, K.; Dolman, A.J.; Falk, M.; Fuentes, J.D.; et al. Environmental controls over carbon dioxide and water vapor exchange of terrestrial vegetation. Agric. For. Meteorol. 2002, 113, 97–120. [Google Scholar] [CrossRef]
- Gu, L.; Baldocchi, D.D.; Wofsy, S.C.; Munger, J.W.; Michalsky, J.J.; Urbanski, S.P.; Boden, T.A. Response of deciduous forest to the Mont Pinatubo eruption: Enhanced photosynthesis. Science 2003, 299, 2035–2038. [Google Scholar] [CrossRef]
- Alton, P.B.; North, P.R.; Los, S.O. The impact of diffuse sunlight on canopy light-use efficiency, gross photosynthetic product and net ecosystem exchange in three forest biomes. Glob. Change Biol. 2007, 13, 776–787. [Google Scholar] [CrossRef]
- Knohl, A.; Baldocchi, D.D. Effects of diffuse radiation on canopy gas exchange processes in a forest ecosystem. J. Geophys. Res. 2008, 113, G02023. [Google Scholar] [CrossRef]
- Urban, O.; Janous, D.; Acosta, M.; Czerny, R.; Markova, I.; Navratil, M.; Pavelka, M.; Pokorny, R.; Sprtova, M.; Zhang, R.; et al. Ecophysiological controls over the net ecosystem exchange of mountain spruce stand. Comparison of the response in direct vs. diffuse solar radiation. Glob. Change Biol. 2007, 13, 157–168. [Google Scholar] [CrossRef]
- Dengel, S.; Grace, J. Carbon dioxide exchange and canopy conductance of two coniferus forests under various sky conditions. Oecologia 2010, 164, 797–808. [Google Scholar] [CrossRef] [PubMed]
- Sims, D.A.; Rahman, A.F.; Cordova, V.D.; Baldocchi, D.D.; Flanagan, L.B.; Goldstein, A.H.; Hollinger, D.Y.; Misson, L.; Monson, R.K.; Schmid, H.P.; et al. Midday values of gross CO2 flux and light use efficiency during satellite overpasses can be used to directly estimate eight-day mean flux. Agric. For. Meteorol. 2005, 131, 1–12. [Google Scholar] [CrossRef]
- Letts, M.G.; Lafleur, P.M.; Roulet, N.T. On the relationship between cloudiness and net ecosystem carbon dioxide exchange in a peatland ecosystem. Ecoscience 2005, 12, 53–59. [Google Scholar] [CrossRef]
- Goodrich, J.P.; Campbell, D.I.; Clearwater, M.J.; Rutledge, S.; Schipper, L.A. High vapor pressure deficit constrains GPP and the light response of NEE at a Southern Hemisphere bog. Agric. For. Meteorol. 2015, 203, 54–63. [Google Scholar] [CrossRef]
- Kross, A.; Seaquist, J.W.; Roulet, N.T. Light use efficiency of peatlands: Variability and suitability for modeling ecosystem production. Remote Sens. Environ. 2016, 183, 239–249. [Google Scholar] [CrossRef]
- Chojnicki, B.H.; Urbaniak, M.; Józefczyk, D.; Augustin, J.; Olejnik, J. Measurements of gas and heat fluxes at Rzecin wetland. In Wetlands: Monitoring, Monitoring, Modeling and Menagement; Okruszko, T., Maltby, E., Szatyłowicz, J., Świątek, D., Kotowski, W., Eds.; Taylor & Francis Group: London, UK, 2007; pp. 125–130. ISBN 978-0-415-40820-2. [Google Scholar]
- Wojterska, M.; Stachanowicz, W.; Melosik, I. Flora i roślinność torfowiska nad Jeziorem Rzecińskim koło Wronek. In Szata roślinna Wielkopolski i Pojezierza Południowo Pomorskiego; Wojterska, M., Ed.; Bogucki Wydawnictwo Naukowe: Poznan, Poland, 2001; pp. 211–219. ISBN 978-8-38-816380-7. [Google Scholar]
- Acosta, M.; Juszczak, R.; Chojnicki, B.; Pavelka, M.; Havránková, K.; Leśny, J.; Krupková, L.; Urbaniak, M.; Machačová, K.; Olejnik, J. CO2 fluxes from different vegetation communities on a peatland ecosystem. Wetlands 2017, 37, 423–435. [Google Scholar] [CrossRef]
- Bandopadhyay, S.; Rastogi, A.; Rascher, U.; Rademske, P.; Schickling, A.; Cogliati, S.; Julitta, T.; Mac Arthur, A.; Hueni, A.; Tomelleri, E.; et al. HyPlant-Derived Sun-Induced Fluorescence—A New Opportunity to Disentangle Complex Vegetation Signals from Diverse Vegetation Types. Remote Sens. 2019, 11, 1691. [Google Scholar] [CrossRef]
- Barabach, J. The history of Lake Rzecin, its surroundings drawn on maps as a background to palaeoecological reconstruction. Limnol. Rev. 2012, 12, 103–114. [Google Scholar] [CrossRef]
- Lamentowicz, M.; Mueller, M.; Gałka, M.; Barabach, J.; Mileca, K.; Goslar, T.; Binkowski, M. Reconstructing human impact on peatland development during the past 200 years in CE Europe through biotic proxies and X-ray tomography. Quat. Int. 2015, 357, 282–294. [Google Scholar] [CrossRef]
- Milecka, K.; Kowalewski, G.; Fiałkiewicz-Kozieł, B.; Gałka, M.; Lamentowicz, M.; Chojnicki, B.H.; Goslar, T.; Barabach, J. Hydrological changes in the Rzecin peatland (PuszczaNotecka, Poland) induced by anthropogenic factors: Implications for mire development and carbon sequestration. Holocene 2016, 1–14. [Google Scholar] [CrossRef]
- Romanowska, J. Analysis of the pH Spatial Variability of Peat at Rzecin Bog. Master’s Thesis, Poznan University of Life Sciences, Poznan, Poland, 2015. (In Polish). [Google Scholar]
- Farat, R. Climate Atlas of the Wielkopolska Region; Wydawnictwo IMGW: Warszawa, Poland, 2004. [Google Scholar]
- Baldocchi, D. Measuring fluxes of trace gases and energy between ecosystems and the atmosphere—The state and future of the eddy covariance method. Glob. Change Biol. 2014, 20, 3600–3609. [Google Scholar] [CrossRef]
- Schmid, H.P. Source areas for scalars and scalar fluxes. Bound. Layer Meteorol. 1994, 67, 293–318. [Google Scholar] [CrossRef]
- Liang, S.; Wang, J. Estimate of vegetation production of terrestrial ecosystem. Adv. Remote Sens. (Second Ed.) 2020, 581–620. [Google Scholar] [CrossRef]
- Dabberdt, W.F.; Lenschow, D.H.; Horst, T.W.; Zimmerman, P.R.; Oncley, S.P.; Delany, A.C. Atmosphere-surface exchange measurements. Science 1993, 260, 1472–1481. [Google Scholar] [CrossRef] [PubMed]
- Aubinet, M.; Vesala, T.; Papale, D. (Eds.) Eddy Covariance: A Practical Guide to Measurement and Data Analysis; Springer: Dordrecht, The Netherlands, 2012; p. 438. ISBN 978-94-007-2351-1. [Google Scholar]
- LI-COR. EddyPro5 Help and User’s Guide; LI-COR Inc.: Lincoln, NE, USA, 2014. [Google Scholar]
- Vickers, D.; Mahrt, L. Quality control and flux sampling problems for tower and aircraft data. J. Atm. Ocean. Tech. 1997, 14, 512–526. [Google Scholar] [CrossRef]
- Mauder, M.; Cuntz, M.; Drüe, C.; Graf, A.; Rebmann, C.; Schmid, H.P.; Schmidt, M.; Steinbrecher, R. A strategy for quality and uncertainty assessment of long-term eddy-covariance measurements. Agric. For. Meteorol. 2013, 169, 122–135. [Google Scholar] [CrossRef]
- Ibrom, A.; Dellwik, E.; Larsen, S.E.; Pilegaard, K. On the use of the Webb–Pearman–Leuning theory for closed-path eddy correlation measurements. Tellus B 2007, 59, 937–946. [Google Scholar] [CrossRef]
- Moncrieff, J.B.; Massheder, J.M.; de Bruin, H.; Ebers, J.; Friborg, T.; Heusinkveld, B.; Kabat, P.; Scott, S.; Soegaard, H.; Verhoef, A. A system to measure surface fluxes of momentum, sensible heat, water vapor and carbon dioxide. J. Hydrol. 1997, 188, 589–611. [Google Scholar] [CrossRef]
- Mauder, M.; Foken, T. Impact of post-field data processing on eddy covariance flux estimates and energy balance closure. Meteorol. Z. 2006, 15, 597–609. [Google Scholar] [CrossRef]
- Kljun, N.; Calanca, P.; Rotach, M.W.; Schmid, H.P. A simple parameterisation for flux footprint predictions. Bound. Layer Meteorol. 2004, 112, 503–523. [Google Scholar] [CrossRef]
- Holben, B.N.; Eck, T.F.; Slutsker, I.; Tanré, D.; Buis, J.P.; Setzer, A.; Vermote, E.; Reagan, J.A.; Kaufman, Y.J.; Nakajima, T.; et al. AERONET—A federated instrument network and data archive for aerosol characterization. Remote Sens. Environ. 1998, 66, 1–16. [Google Scholar] [CrossRef]
- AERONET, 2018. Aerosol Robotic Network. Available online: https://aeronet.gsfc.nasa.gov/ (accessed on 6 February 2018).
- Markowicz, K. Metody pomiaru optycznych właściwości aerozolu atmosferycznego. In Pyły Drobne w Atmosferze. Kompendium Wiedzy o Zanieczyszczeniu Powietrza Pyłem Zawieszonym w Polsce; Juda-Rezler, K., Toczko, B., Eds.; Biblioteka Monitoringu Środowiska: Warsaw, Poland, 2016; pp. 115–119. ISBN 978-83-61227-73-1. [Google Scholar]
- Wood, J.; Muneer, T.; Kubie, J. Evaluation of a New Photodiode Sensor for Measuring Global and Diffuse Irradiance, and Sunshine Duration. J. Sol. Energy Eng. 2003, 125, 1–6. [Google Scholar] [CrossRef]
- Hájek, M.; Hájková, P. Menyantho trifoliatae-Sphagnetum teretis Warén 1926. In Vegetace České Republiky. 3. Vodní a Mokřadní Vegetace [Vegetation of the Czech Republic 3. Aquatic and Wetland Vegetation]; Chytrý, M., Ed.; Academia: Praha, Czech Republic, 2011; pp. 657–660. [Google Scholar]
- Huemmrich, K.F.; Black, T.A.; Jarvis, P.G.; McCaughey, J.H.; Hall, F.G. High temporal resolution NDVI phenology from micrometeorological radiation sensors. J. Geophys. Res. 1999, 104, 27935–27944. [Google Scholar] [CrossRef]
- Wohlfahrt, G.; Pilloni, S.; Hörtnagl, L.; Hammerle, A. Estimating carbon dioxide fluxes from temperate mountain grasslands using broad-band vegetation indices. Biogeosciences 2010, 7, 683–694. [Google Scholar] [CrossRef] [PubMed]
- Chojnicki, B.H. Spectral estimation of wetland carbon dioxide exchange. Int. Agrophys. 2013, 27, 1–5. [Google Scholar] [CrossRef]
- Frolking, S.; Roulet, N.T.; Tuittila, E.; Bubier, J.L.; Quillet, A.; Talbot, J.; Richard, P.J.H. A new model of Holocene peatland net primary production, decomposition, water balance, and peat accumulation. Earth Syst. Dynam. 2010, 1, 1–21. [Google Scholar] [CrossRef]
- Wania, R.; Ross, I.; Prentice, I.C. Integrating peatlands and permafrost into a dynamic global vegetation model: 1. Evaluation and sensitivity of physical land surface processes. Global Biogeochem. Cycles 2009, 23, 1–19. [Google Scholar] [CrossRef]
- Wania, R.; Ross, I.; Prentice, I.C. Integrating peatlands and permafrost into a dynamic global vegetation model: 2. Evaluation and sensitivity of vegetation and carbon cycle processes. Global Biogeochem. Cycles 2009, 23, 1–15. [Google Scholar] [CrossRef]
- Wu, Y.; Verseghy, D.L.; Melton, J.R. Integrating peatlands into the coupled Canadian Land Surface Scheme (CLASS) v3.6 and the Canadian Terrestrial Ecosystem Model (CTEM) v2.0. Geosci. Model Dev. 2016, 9, 2639–2663. [Google Scholar] [CrossRef]
- Charbonnier, F.; Roupsard, O.; le Maire, G.; Guillemot, J.; Casanoves, F.; Lacointe, A.; Vaast, P.; Allinne, C.; Audebert, L.; Cambou, A.; et al. Increased light-use efficiency sustains Net Primary Productivity of shaded coffee plants in agroforestry system. Plant. Cell Environ. 2017, 40, 1–36. [Google Scholar] [CrossRef] [PubMed]
- Gu, L.; Baldocchi, D.; Verma, S.B.; Black, T.A.; Vesala, T.; Falge, E.M.; Dowty, P.R. Advantages of diffuse radiation for terrestrial ecosystem productivity. J. Geophys. Res. 2002, 107, 4050. [Google Scholar] [CrossRef]
- Myers, D.; Emery, K.; Gueymard, C. Revising and validating spectral irradiance reference standards for photovoltaic performance evaluation. Trans. ASME J. Solar Eng. 2004, 126, 567–574. [Google Scholar] [CrossRef]
- Box, E.O.; Holben, B.N.; Kalb, V. Accuracy of the AVHRR vegetation index as a predictor of biomass, primary productivity and net CO2 flux. Vegetatio 1989, 80, 71–89. [Google Scholar] [CrossRef]
- Markowicz, K.M.; Zawadzka, O.; Lisok, J.; Chilinski, M.T.; Xian, P. Impact of moderate absorbing aerosol on surface sensible, latent and net radiative fluxes during summer of 2015 over Central Europe. J. Aerosol Sci. 2020, 151, 105627. [Google Scholar] [CrossRef]
- Malinovic-Milicevic, S.; Mihailovic, D.T. The use of NEOPLANTA model for evaluating the UV index in the Vojvodina region (Serbia). Atmos. Res. 2011, 101, 621–630. [Google Scholar] [CrossRef]
- Tuzet, F.; Dumont, M.; Lafaysse, M.; Picard, G.; Arnaud, L.; Voisin, D.; Lejeune, Y.; Charrois, L.; Nabat, P.; Morin, S. A multilayer physically based snowpack model simulating direct and indirect radiative impacts of light-absorbing impurities in snow. Cryosphere 2017, 11, 2633–2653. [Google Scholar] [CrossRef]
- Brine, D.T.; Iqbal, M. Diffuse and global solar spectral irradiance under cloudless skies. Sol. Energy 1983, 30, 447–453. [Google Scholar] [CrossRef]
- McAdam, S.A.M.; Brodribb, T.J. The Evolution of Mechanisms Driving the Stomatal Response to Vapor Pressure Deficit. Plant Physiol. 2015, 167, 833–843. [Google Scholar] [CrossRef]
- Angelocci, L.R.; Marin, F.R.; de Oliveira, R.F.; Righi, E.Z. Transpiration, leaf diffusive conductance, and atmospheric water demand relationship in an irrigated acid lime orchard. Braz. J. Plant Physiol. 2004, 16. [Google Scholar] [CrossRef]
- McAdam, S.A.M.; Sussmilch, F.A.; Brodribb, T.J. Stomatal responses to vapour pressure deficit are regulated by high speed gene expression in angiosperms. Plant Cell Environ. 2015, 39, 485–491. [Google Scholar] [CrossRef]
- Willmott, C.J.; Matsuura, K. Advantages of the mean absolute error (MAE) over the root mean square error (RMSE) in assessing average model performance. Clim. Res. 2005, 30, 79–82. [Google Scholar] [CrossRef]
- Altman, D.G.; Bland, J.M. Standard deviations and standard errors. BMJ Br. Med. J. 2005, 331, 903. [Google Scholar] [CrossRef]
- R Core Team. R: A Language and Environment for Statistical Computing; R Foundation for Statistical Computing: Vienna, Austria, 2019; Available online: https://www.R-project.org/ (accessed on 20 April 2021).
- Misson, L.; Lunden, M.; McKay, M.; Goldstein, A.H. Atmospheric aerosol light scattering and surface wetness influence the diurnal pattern of net ecosystem exchange in a semi-arid ponderosa pine plantation. Agric. For. Meteorol. 2005, 129, 69–83. [Google Scholar] [CrossRef]
- Schaffer, B.; Andersen, P.C. Handbook of Environmental Physiology of Fruit Crops; CRC Press: Boca Raton, FL, USA, 1994; ISBN 0849301793/9780849301797. [Google Scholar]
- Cernusak, L.A.; Goldsmith, G.R.; Arend, M.; Siegwolf, R.T.W. Effect of Vapor Pressure Deficit on Gas Exchange in Wild-Type and Abscisic Acid-Insensitive Plants. Plant Physiol. 2019. [Google Scholar] [CrossRef]
- Roderick, M.L.; Farquhar, G.D.; Berry, S.L.; Noble, I.R. On the direct effect of clouds and atmospheric particles on the productivity and structure of vegetation. Oceologia 2001, 129, 21–30. [Google Scholar] [CrossRef] [PubMed]
- Kanniah, K.D.; Beringer, J.; North, P.; Hutley, L. Control of atmospheric particles on diffuse radiation and terrestrial plant productivity: A review. Prog. Phys. Geogr. Earth Environ. 2012, 36, 209–237. [Google Scholar] [CrossRef]
- Steiner, A.L.; Chameides, W.L. Aerosol-induced thermal effects increase modelled terrestrial photosynthesis and transpiration. Tellus B Chem. Phys. Meteorol. 2005, 57, 404–411. [Google Scholar] [CrossRef]
- Park, S.-B.; Knohl, A.; Lucas-Moffat, A.M.; Migliavacca, M.; Gerbig, C.; Vesala, T.; Peltola, O.; Mammarella, I.; Kolle, O.; Lavrič, J.V.; et al. Strong radiative effect induced by clouds and smoke on forest net ecosystem productivity in central Siberia. Agric. For. Meteorol. 2018, 250, 376–387. [Google Scholar] [CrossRef]
- Fu, Y.L.; Yu, G.R.; Sun, X.M.; Li, Y.N.; Wen, X.F.; Zhang, L.M.; Li, Z.Q.; Zhao, L.; Hao, Y.B. Depression of net ecosystem CO2 exchange in semi-arid Leymuschinensis steppe and alpine shrub. Agric. For. Meteorol. 2006, 137, 234–244. [Google Scholar] [CrossRef]
- Kobayashi, H.; Matsunaga, T.; Hoyano, A. Net primary production in Southeast Asia following a largereduction in Photosynthetically Active Radiation owing to smoke. Geophys. Res. Lett. 2005, 32, L02403. [Google Scholar] [CrossRef]
- Greenwald, R.; Bergin, M.H.; Xu, G.; Cohan, D.; Hoogenboom, G.; Chameides, W.L. The influence of aerosols on crop production: A study using the CERES cropmodel. Agric. Syst. 2006, 89, 390–413. [Google Scholar] [CrossRef]
- Oliveira, P.H.F.; Artaxo, P.; Pires, C.; De Lucca, S.; Procopio, A.; Holben, B.; Schafer, J.; Cardoso, L.F.; Wofsy, S.C.; Rocha, H.R. The effects of biomass burning aerosols and clouds on the CO2 flux in Amazonia. Tellus B 2007, 59, 338–349. [Google Scholar] [CrossRef]
- Ezhova, E.; Ylivinkka, I.; Kuusk, J.; Komsaare, K.; Vana, M.; Krasnova, A.; Noe, S.; Arshinov, M.; Belan, B.; Park, S.-B.; et al. Direct effect of aerosols on solar radiation and gross primary production in boreal and hemiboreal forests. Atmos. Chem. Phys. 2018, 18, 17863–17881. [Google Scholar] [CrossRef]
- Kobayashi, H.; Iwabuchi, H. A coupled 1-Datmopshere and 3-D canopy radiative transfer model for canopy reflectance, light environment, and photosynthesis simulation in a heterogeneous landscape. Remote Sens. Environ. 2008, 112, 173–185. [Google Scholar] [CrossRef]
- Baldocchi, D.; Falge, E.; Gu, L.; Olson, R.; Hollinger, D.; Running, S.; Anthoni, P.; Bernhofer, C.; Davis, K.; Evans, R.; et al. FLUXNET: A new tool to study the temporal and spatial variability of ecosystem-scale carbon dioxide, water vapor, and energy flux densities. Bull. Amer. Meteor. Soc. 2001, 82, 2415–2434. [Google Scholar] [CrossRef]
- Ohmura, A.; Dutton, E.G.; Forgan, B.; Frohlich, C.; Gilgen, H.; Hegner, H.; Heimo, A.; Konig-Langlo, G.; McArthur, B.; Muller, G.; et al. Baseline Surface Radiation Network (BSRN/WRMC), a new precision radiometry for climate research. Bull. Am. Meteorol. Soc. 1998, 79, 2115–2136. [Google Scholar] [CrossRef]
- Russak, V. Trends of solar radiation, cloudiness and atmospheric transparency during recent decades in Estonia. Tellus. B Chem. Phys. Meteorol. 1990, 42, 206–210. [Google Scholar] [CrossRef]
- Power, H.C. Trends in solar radiation over Germany and an assessment of the role of aerosols and sunshine duration. Theor. Appl. Climatol. 2003, 76, 47–63. [Google Scholar] [CrossRef]
- Sanchez–Lorenzo, A.; Calbo, J.; Wild, M. Global and diffuse solar radiation in Spain: Building a homogeneous dataset and assessing their trends. Glob. Planet. Change 2013, 100, 343–352. [Google Scholar] [CrossRef]
- Long, C.N.; Dutton, E.G.; Augustine, J.A.; Wiscombe, W.; Wild, M.; McFarlane, S.A.; Flynn, C.J. Significant decadal brightening of downwelling shortwave in the continental United States. J. Geophys. Res. 2009, 114, D00D06. [Google Scholar] [CrossRef]
- Bogdańska, B.; Podogrocki, J. The Variability of Global Solar Radiation in Poland during the Period 1961–1995; Research Materials Meteorology Institute of Meteorology and Water Management (IMGW): Warsaw, Poland, 2000; p. 43. (In Polish) [Google Scholar]
- Rojan, P. The Influence of Urbanization and Industrialization on Global Solar Radiation Structure. Urban Climate and Bioclimate; Lodz University: Łódź, Poland, 1995; pp. 111–115. (In Polish) [Google Scholar]
- Bryś, K. Dynamics of Net Radiation Balance of Grass Surface and Bare Soil; Wroclaw University of Environmental and Life Science: Wroclaw, Poland, 2013. (In Polish) [Google Scholar]
- Alados-Arboledas, L.; Olmo, F.J.; Ohrvil, H.O.; Teral, H.; Arak, M.; Teral, K. Evolution of solar radiative effects of Mount Pinatubo at ground level. Tellus. B Chem. Phys. Meteorol. 1997, 49, 190–198. [Google Scholar] [CrossRef][Green Version]
- Norris, J.; Allen, R.; Evan, A.; Zelinka, M.D.; O’Dell, C.W.; Klein, S.A. Evidence for climate change in the satellite cloud record. Nature 2016, 536, 72–75. [Google Scholar] [CrossRef] [PubMed]
- Schneider, T.; Kaul, C.M.; Pressel, K.G. Possible climate transitions from breakup of stratocumulus decks under greenhouse warming. Nat. Geosci. 2019, 12, 163–167. [Google Scholar] [CrossRef]








| Parameter | Estimate | Standard Error |
|---|---|---|
| c1 | 11.450 *** | 2.581 |
| c2 | −0.011 * | 0.005 |
| αf | 0.333 ** | 0.117 |
| αr | 0.0576 ** | 0.020 |
| βf | 23.686 *** | 2.006 |
| βr | 27.550 *** | 2.262 |
| It | DI | NEP (DI − 0.1) | NEP (DI) | NEP (DI + 0.1) | ΔNEP (DI − 0.1) − DI | ΔNEP (DI + 0.1) − DI |
|---|---|---|---|---|---|---|
| µmol·m−2·s−1 | [-] | µmol·m−2·s−1 | µmol·m−2·s−1 | µmol·m−2·s−1 | % | % |
| 172 | 0.56 | 0.82 | 1.61 | 2.29 | −49.0 | 42.3 |
| 294 | 0.43 | 3.19 | 4.21 | 5.03 | −24.2 | 19.7 |
| 430 | 0.35 | 4.92 | 6.09 | 6.99 | −19.3 | 14.8 |
| 582 | 0.30 | 6.36 | 7.63 | 8.56 | −16.6 | 12.2 |
| 748 | 0.26 | 7.48 | 8.85 | 9.80 | −15.4 | 10.8 |
| 900 | 0.23 | 8.17 | 9.63 | 10.61 | −15.2 | 10.2 |
| 1045 | 0.21 | 8.87 | 10.36 | 11.32 | −14.4 | 9.3 |
| 1176 | 0.20 | 9.49 | 10.98 | 11.92 | −13.6 | 8.6 |
| 1304 | 0.18 | 9.83 | 11.38 | 12.32 | −13.6 | 8.3 |
| 1416 | 0.17 | 10.21 | 11.74 | 12.66 | −13.1 | 7.8 |
| 1513 | 0.18 | 10.69 | 12.14 | 13.00 | −12.0 | 7.1 |
| 1594 | 0.17 | 11.01 | 12.43 | 13.25 | −11.4 | 6.6 |
| 1655 | 0.18 | 11.34 | 12.67 | 13.44 | −10.5 | 6.1 |
| 1697 | 0.17 | 11.34 | 12.71 | 13.50 | −10.8 | 6.2 |
| 1719 | 0.16 | 11.26 | 12.70 | 13.53 | −11.4 | 6.5 |
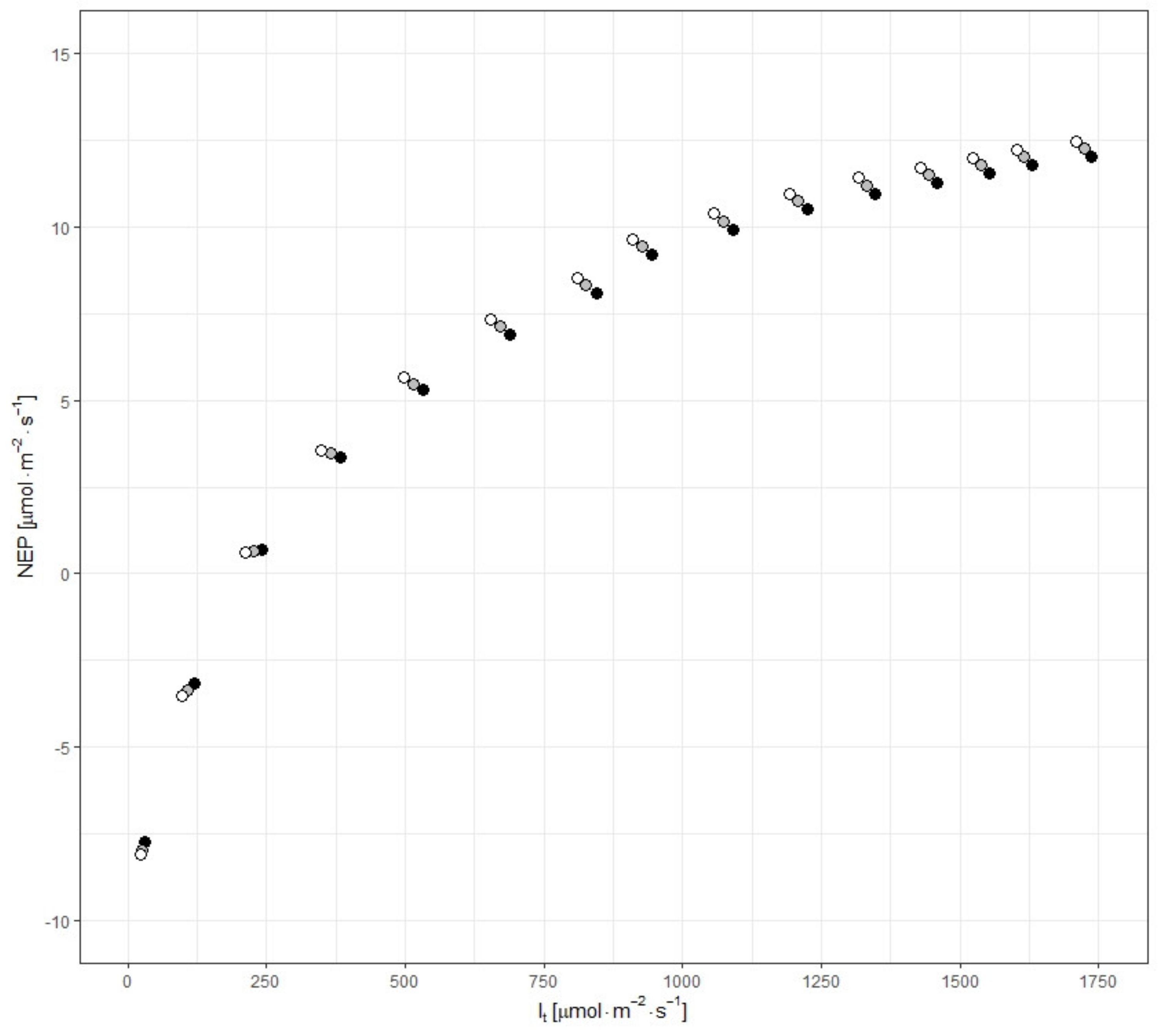
| AOT500 = 0.09 | AOT500 = 0.13 | AOT500 = 0.17 | AOT500 (0.09–0.13) | AOT500 (0.13–0.17) | AOT500 (0.09–0.17) | |||
|---|---|---|---|---|---|---|---|---|
| It | NEP | It | NEP | It | NEP | ΔNEP | ΔNEP | ΔNEP |
| µmol·m−2·s−1 | µmol·m−2·s−1 | µmol·m−2·s−1 | % | % | % | |||
| 74.94 | −5.45 | 66.51 | −5.67 | 60.31 | −5.79 | −3.9 | −2.1 | −5.9 |
| 220.39 | 0.71 | 204.82 | 0.63 | 191.93 | 0.60 | −11.8 | −5.4 | −17.8 |
| 358.76 | 3.46 | 341.05 | 3.54 | 325.64 | 3.62 | 2.2 | 2.3 | 4.4 |
| 507.71 | 5.42 | 489.25 | 5.59 | 472.73 | 5.75 | 3.0 | 2.7 | 5.7 |
| 662.25 | 7.00 | 643.79 | 7.22 | 626.95 | 7.42 | 3.1 | 2.6 | 5.6 |
| 817.93 | 8.17 | 799.85 | 8.42 | 783.13 | 8.63 | 2.9 | 2.5 | 5.3 |
| 968.70 | 9.10 | 951.17 | 9.35 | 934.81 | 9.58 | 2.7 | 2.3 | 5.0 |
| 1113.58 | 9.87 | 1096.66 | 10.13 | 1080.75 | 10.35 | 2.5 | 2.2 | 4.6 |
| 1247.64 | 10.46 | 1231.31 | 10.71 | 1215.88 | 10.93 | 2.4 | 2.0 | 4.3 |
| 1369.18 | 10.91 | 1353.39 | 11.16 | 1338.41 | 11.38 | 2.2 | 1.9 | 4.1 |
| 1476.54 | 11.24 | 1461.22 | 11.49 | 1446.63 | 11.70 | 2.1 | 1.8 | 3.9 |
| 1566.64 | 11.54 | 1551.71 | 11.78 | 1537.45 | 11.98 | 2.0 | 1.7 | 3.7 |
| 1640.73 | 11.76 | 1626.09 | 11.99 | 1612.08 | 12.19 | 1.9 | 1.7 | 3.6 |
| 1695.88 | 11.90 | 1681.45 | 12.13 | 1667.62 | 12.33 | 1.9 | 1.6 | 3.5 |
| 1730.58 | 12.02 | 1716.27 | 12.25 | 1702.55 | 12.45 | 1.9 | 1.6 | 3.4 |
Publisher’s Note: MDPI stays neutral with regard to jurisdictional claims in published maps and institutional affiliations. |
© 2021 by the authors. Licensee MDPI, Basel, Switzerland. This article is an open access article distributed under the terms and conditions of the Creative Commons Attribution (CC BY) license (https://creativecommons.org/licenses/by/4.0/).
Share and Cite
Harenda, K.M.; Samson, M.; Juszczak, R.; Markowicz, K.M.; Stachlewska, I.S.; Kleniewska, M.; MacArthur, A.; Schüttemeyer, D.; Chojnicki, B.H. Impact of Atmospheric Optical Properties on Net Ecosystem Productivity of Peatland in Poland. Remote Sens. 2021, 13, 2124. https://doi.org/10.3390/rs13112124
Harenda KM, Samson M, Juszczak R, Markowicz KM, Stachlewska IS, Kleniewska M, MacArthur A, Schüttemeyer D, Chojnicki BH. Impact of Atmospheric Optical Properties on Net Ecosystem Productivity of Peatland in Poland. Remote Sensing. 2021; 13(11):2124. https://doi.org/10.3390/rs13112124
Chicago/Turabian StyleHarenda, Kamila M., Mateusz Samson, Radosław Juszczak, Krzysztof M. Markowicz, Iwona S. Stachlewska, Małgorzata Kleniewska, Alasdair MacArthur, Dirk Schüttemeyer, and Bogdan H. Chojnicki. 2021. "Impact of Atmospheric Optical Properties on Net Ecosystem Productivity of Peatland in Poland" Remote Sensing 13, no. 11: 2124. https://doi.org/10.3390/rs13112124
APA StyleHarenda, K. M., Samson, M., Juszczak, R., Markowicz, K. M., Stachlewska, I. S., Kleniewska, M., MacArthur, A., Schüttemeyer, D., & Chojnicki, B. H. (2021). Impact of Atmospheric Optical Properties on Net Ecosystem Productivity of Peatland in Poland. Remote Sensing, 13(11), 2124. https://doi.org/10.3390/rs13112124

