Assessment of Close-Range Remote Sensing Methods for DTM Estimation in a Lowland Deciduous Forest
Abstract
1. Introduction
2. Materials and Methods
2.1. Study Area
2.2. Remote Sensing Data Collection
2.2.1. Reference Data
2.2.2. UAVimage Data
2.2.3. Unmanned Aerial Vehicle Laser Scanning (ULS) Data
2.2.4. Terrestrial Laser Scanning (TLS) Data
2.2.5. Handheld Personal Laser Scanning (PLShh) Data
2.3. Methods
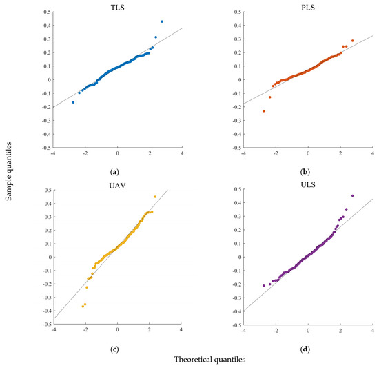
3. Results and Discussion
4. Conclusions
Author Contributions
Funding
Institutional Review Board Statement
Informed Consent Statement
Acknowledgments
Conflicts of Interest
Appendix A

| PLShh | TLS | UAVimage | ULS | |
|---|---|---|---|---|
| W | 0.95468 | 0.96050 | 0.91964 | 0.96847 |
| p | 0.00003 | 0.00011 | 0.00000 | 0.00075 |

References
- Salach, A.; Bakula, K.; Pilarska, M.; Ostrowski, W.; Górski, K.; Kurczynski, Z. Accuracy assessment of point clouds from LidaR and dense image matching acquired using the UAV platform for DTM creation. ISPRS Int. J. Geo Inf. 2018, 7, 342. [Google Scholar] [CrossRef]
- Niethammer, U.; James, M.R.; Rothmund, S.; Travelletti, J.; Joswig, M. UAV-based remote sensing of the Super-Sauze landslide: Evaluation and results. Eng. Geol. 2012. [Google Scholar] [CrossRef]
- Silva, B.M.; Silva, S.H.G.; de Oliveira, G.C.; Peters, P.H.C.R.; dos Santos, W.J.R.; Curi, N. Umidade do solo obtida por técnicas de mapeamento digital e sua validação de campo. Cienc. Agrotecnol. 2014, 38, 140–148. [Google Scholar] [CrossRef][Green Version]
- Albrecht, C.M.; Fisher, C.; Freitag, M.; Hamann, H.F.; Pankanti, S.; Pezzutti, F.; Rossi, F. Learning and Recognizing Archeological Features from LiDAR Data. In Proceedings of the 2019 IEEE International Conference on Big Data (Big Data), Los Angeles, CA, USA, 9–12 December 2019; Institute of Electrical and Electronics Engineers Inc.: Piscataway, NJ, USA, 2019; pp. 5630–5636. [Google Scholar]
- Hyyppä, J.; Hyyppä, H.; Leckie, D.; Gougeon, F.; Yu, X.; Maltamo, M. Review of methods of small-footprint airborne laser scanning for extracting forest inventory data in boreal forests. Int. J. Remote Sens. 2008, 29, 1339–1366. [Google Scholar] [CrossRef]
- Balenović, I.; Jurjević, L.; Milas, A.S.; Gašparović, M. Testing the Applicability of the Official Croatian DTM for Normalization of UAV-based DSMs and Plot-level Tree Height Estimations in Lowland Forests. Croat. J. For. Eng. 2019, 40, 163–174. [Google Scholar]
- Maltamo, M.; Naesset, E.; Vauhkonen, J. Forestry applications of airborne laser scanning. Concepts Case Stud. Manag. For. Ecosyst. 2014, 27, 460. [Google Scholar]
- Jurjević, L.; Liang, X.; Gašparović, M.; Balenović, I. Is field-measured tree height as reliable as believed—Part II, A comparison study of tree height estimates from conventional field measurement and low-cost close-range remote sensing in a deciduous forest. ISPRS J. Photogramm. Remote Sens. 2020, 169, 227–241. [Google Scholar] [CrossRef]
- Pierzchała, M.; Talbot, B.; Astrup, R. Estimating soil displacement from timber extraction trails in steep terrain: Application of an unmanned aircraft for 3D modelling. Forests 2014, 5, 1212–1223. [Google Scholar] [CrossRef]
- Höhle, J.; Potuckova, M. Assessment of the quality of Digital Terrain Models. Off. Publ. EuroSDR 2011, 60, 85. [Google Scholar]
- Kaartinen, H.; Hyyppä, J.; Vastaranta, M.; Kukko, A.; Jaakkola, A.; Yu, X.; Pyörälä, J.; Liang, X.; Liu, J.; Wang, Y.; et al. Accuracy of Kinematic Positioning Using Global Satellite Navigation Systems under Forest Canopies. Forests 2015, 6, 3218–3236. [Google Scholar] [CrossRef]
- Baltsavias, E.P. A comparison between photogrammetry and laser scanning. ISPRS J. Photogramm. Remote Sens. 1999. [Google Scholar] [CrossRef]
- Baltsavias, E.; Gruen, A.; Eisenbeiss, H.; Zhang, L.; Waser, L.T. High-quality image matching and automated generation of 3D tree models. Int. J. Remote Sens. 2008. [Google Scholar] [CrossRef]
- Hyyppä, H.; Yu, X.; Hyyppä, J.; Kaartinen, H.; Kaasalainen, S.; Honkavaara, E.; Rönnholm, P. Factors affecting the quality of dtm generation in forested areas. Int. Arch. Photogramm. Remote Sens. Spat. Inf. Sci. 2005, 36, 85–90. [Google Scholar]
- Kraus, C.K.; Briese, M.; Attwenger, N.P. Quality measures for digital terrain models. Int. Arch. Photogramm. Remote Sens. Spat. Inf. Sci. 2004, XXXV-B2, 113–118. [Google Scholar]
- Stereńczak, K.; Kozak, J. Evaluation of digital terrain models generated in forest conditions from airborne laser scanning data acquired in two seasons. Scand. J. For. Res. 2011. [Google Scholar] [CrossRef]
- Debella-Gilo, M. Bare-earth extraction and DTM generation from photogrammetric point clouds including the use of an existing lower-resolution DTM. Int. J. Remote Sens. 2016, 37, 3104–3124. [Google Scholar] [CrossRef]
- White, J.C.; Coops, N.C.; Wulder, M.A.; Vastaranta, M.; Hilker, T.; Tompalski, P. Remote Sensing Technologies for Enhancing Forest Inventories: A Review. Can. J. Remote Sens. 2016, 42, 619–641. [Google Scholar] [CrossRef]
- Balenović, I.; Gašparović, M.; Milas, A.S.; Berta, A.; Seletković, A. Accuracy assessment of digital terrain models of lowland pedunculate oak forests derived from airborne laser scanning and photogrammetry. Croat. J. For. Eng. 2018, 39, 117–128. [Google Scholar]
- Liang, X.; Hyyppa, J.; Kukko, A.; Kaartinen, H.; Jaakkola, A.; Yu, X. The use of a mobile laser scanning system for mapping large forest plots. IEEE Geosci. Remote Sens. Lett. 2014, 11, 1504–1508. [Google Scholar] [CrossRef]
- Qian, C.; Liu, H.; Tang, J.; Chen, Y.; Kaartinen, H.; Kukko, A.; Zhu, L.; Liang, X.; Chen, L.; Hyyppä, J. An integrated GNSS/INS/LiDAR-SLAM positioning method for highly accurate forest stem mapping. Remote Sens. 2017, 9, 3. [Google Scholar] [CrossRef]
- Balenović, I.; Liang, X.; Jurjević, L.; Hyyppä, J.; Seletković, A.; Kukko, A. Hand-Held Personal Laser Scanning. Croat. J. For. Eng. 2021, 42. [Google Scholar] [CrossRef]
- Liang, X.; Kankare, V.; Hyyppä, J.; Wang, Y.; Kukko, A.; Haggrén, H.; Yu, X.; Kaartinen, H.; Jaakkola, A.; Guan, F.; et al. Terrestrial laser scanning in forest inventories. ISPRS J. Photogramm. Remote Sens. 2016. [Google Scholar] [CrossRef]
- Moudrý, V.; Gdulová, K.; Fogl, M.; Klápště, P.; Urban, R.; Komárek, J.; Moudrá, L.; Štroner, M.; Barták, V.; Solský, M. Comparison of leaf-off and leaf-on combined UAV imagery and airborne LiDAR for assessment of a post-mining site terrain and vegetation structure: Prospects for monitoring hazards and restoration success. Appl. Geogr. 2019, 104, 32–41. [Google Scholar] [CrossRef]
- Aguilar, F.J.; Rivas, J.R.; Nemmaoui, A.; Peñalver, A.; Aguilar, M.A. UAV-based digital terrain model generation under leaf-off conditions to support teak plantations inventories in tropical dry forests. A case of the coastal region of Ecuador. Sensors 2019, 19, 1934. [Google Scholar] [CrossRef]
- Debella-Gilo, M. Bare-earth extraction and dtm generation from photogrammetric point clouds with a partial use of an existing lower resolution DTM. In Proceedings of the International Archives of the Photogrammetry, Remote Sensing and Spatial Information Sciences—ISPRS Archives, Prague, Cezch Republic, 12–19 July 2016. [Google Scholar]
- Liang, X.; Hyyppä, J.; Kaartinen, H.; Lehtomäki, M.; Pyörälä, J.; Pfeifer, N.; Holopainen, M.; Brolly, G.; Francesco, P.; Hackenberg, J.; et al. International benchmarking of terrestrial laser scanning approaches for forest inventories. ISPRS J. Photogramm. Remote Sens. 2018, 144, 137–179. [Google Scholar] [CrossRef]
- Liang, X.; Kukko, A.; Hyyppä, J.; Lehtomäki, M.; Pyörälä, J.; Yu, X.; Kaartinen, H.; Jaakkola, A.; Wang, Y. In-situ measurements from mobile platforms: An emerging approach to address the old challenges associated with forest inventories. ISPRS J. Photogramm. Remote Sens. 2018, 143, 97–107. [Google Scholar] [CrossRef]
- Höhle, J.; Höhle, M. Accuracy assessment of digital elevation models by means of robust statistical methods. ISPRS J. Photogramm. Remote Sens. 2009, 64, 398–406. [Google Scholar] [CrossRef]
- Höhle, J.; Potuckova, M. The EuroSDR Test: Checking and Improving of Digital Terrain Models; Gopher: Utrecht, The Netherlands, 2006. [Google Scholar]



| Data Source | Date of Data Collection | Sensor | Data Collection Duration |
|---|---|---|---|
| PLShh | 8 February 2019 | Geoslam Zeb Horizon | 45 min |
| TLS | 20 March 2020 | Faro S70 | 6 h 30 min |
| UAVimage | 19 March 2019 | Sony A7RII | 40 min |
| ULS | 26 April 2019 | LidarSwiss LS Nano M8 | 25 min |
| 1st total station survey | February 2019 | Topcon e58 | 16 h |
| 2nd total station survey | January 2021 | Topcon e58 | 5 h |
| Statistics. | PLShh | TLS | UAVimage | ULS |
|---|---|---|---|---|
| RMSE (cm) | 10 | 11 | 16 | 10 |
| ME (cm) | 7 | 9 | 7 | 1 |
| SD (cm) | 6 | 7 | 14 | 10 |
| RMSE * (cm) | 10 | 11 | 14 | 9 |
| ME * (cm) | 7 | 8 | 8 | 0 |
| SD * (cm) | 6 | 7 | 12 | 9 |
| NMAD (cm) | 5 | 6 | 9 | 10 |
| Median (cm) | 7 | 9 | 7 | 0 |
| 68.3% quantile (cm) | 10 | 12 | 15 | 9 |
| 95% quantile (cm) | 18 | 19 | 3 | 20 |
| Statistics | PLShh | TLS | UAVimage | ULS |
|---|---|---|---|---|
| RMSE (cm) | 9 | 10 | 14 | 9 |
| ME (cm) | 7 | 8 | 8 | 0 |
| SD (cm) | 6 | 7 | 12 | 9 |
| NMAD (cm) | 5 | 6 | 9 | 9 |
| Median (cm) | 7 | 9 | 7 | 0 |
| 68.3% quantile (cm) | 9 | 12 | 14 | 10 |
| 95% quantile (cm) | 17 | 18 | 30 | 18 |
Publisher’s Note: MDPI stays neutral with regard to jurisdictional claims in published maps and institutional affiliations. |
© 2021 by the authors. Licensee MDPI, Basel, Switzerland. This article is an open access article distributed under the terms and conditions of the Creative Commons Attribution (CC BY) license (https://creativecommons.org/licenses/by/4.0/).
Share and Cite
Jurjević, L.; Gašparović, M.; Liang, X.; Balenović, I. Assessment of Close-Range Remote Sensing Methods for DTM Estimation in a Lowland Deciduous Forest. Remote Sens. 2021, 13, 2063. https://doi.org/10.3390/rs13112063
Jurjević L, Gašparović M, Liang X, Balenović I. Assessment of Close-Range Remote Sensing Methods for DTM Estimation in a Lowland Deciduous Forest. Remote Sensing. 2021; 13(11):2063. https://doi.org/10.3390/rs13112063
Chicago/Turabian StyleJurjević, Luka, Mateo Gašparović, Xinlian Liang, and Ivan Balenović. 2021. "Assessment of Close-Range Remote Sensing Methods for DTM Estimation in a Lowland Deciduous Forest" Remote Sensing 13, no. 11: 2063. https://doi.org/10.3390/rs13112063
APA StyleJurjević, L., Gašparović, M., Liang, X., & Balenović, I. (2021). Assessment of Close-Range Remote Sensing Methods for DTM Estimation in a Lowland Deciduous Forest. Remote Sensing, 13(11), 2063. https://doi.org/10.3390/rs13112063

