Google Earth Engine for the Detection of Soiling on Photovoltaic Solar Panels in Arid Environments
Abstract
1. Introduction
2. Study Area
3. Materials and Methods
3.1. Satellite Data
3.2. Methodology
3.2.1. Normalized Difference Sand Index (NDSI)
3.2.2. Ratio Normalized Difference Soil Index (RNDSI)
3.2.3. Land Surface Temperature (LST)
3.2.4. Dry Bare Sand Index (DBSI)
Where, NDVI = (NIR - Red)/(NIR + Red)
4. Results
4.1. Spatial Correlation between NDSI, and RNDSI with LST
4.2. Sand Layer Detection Using DBSI
4.3. Time Series Behaviour of Sand Indices
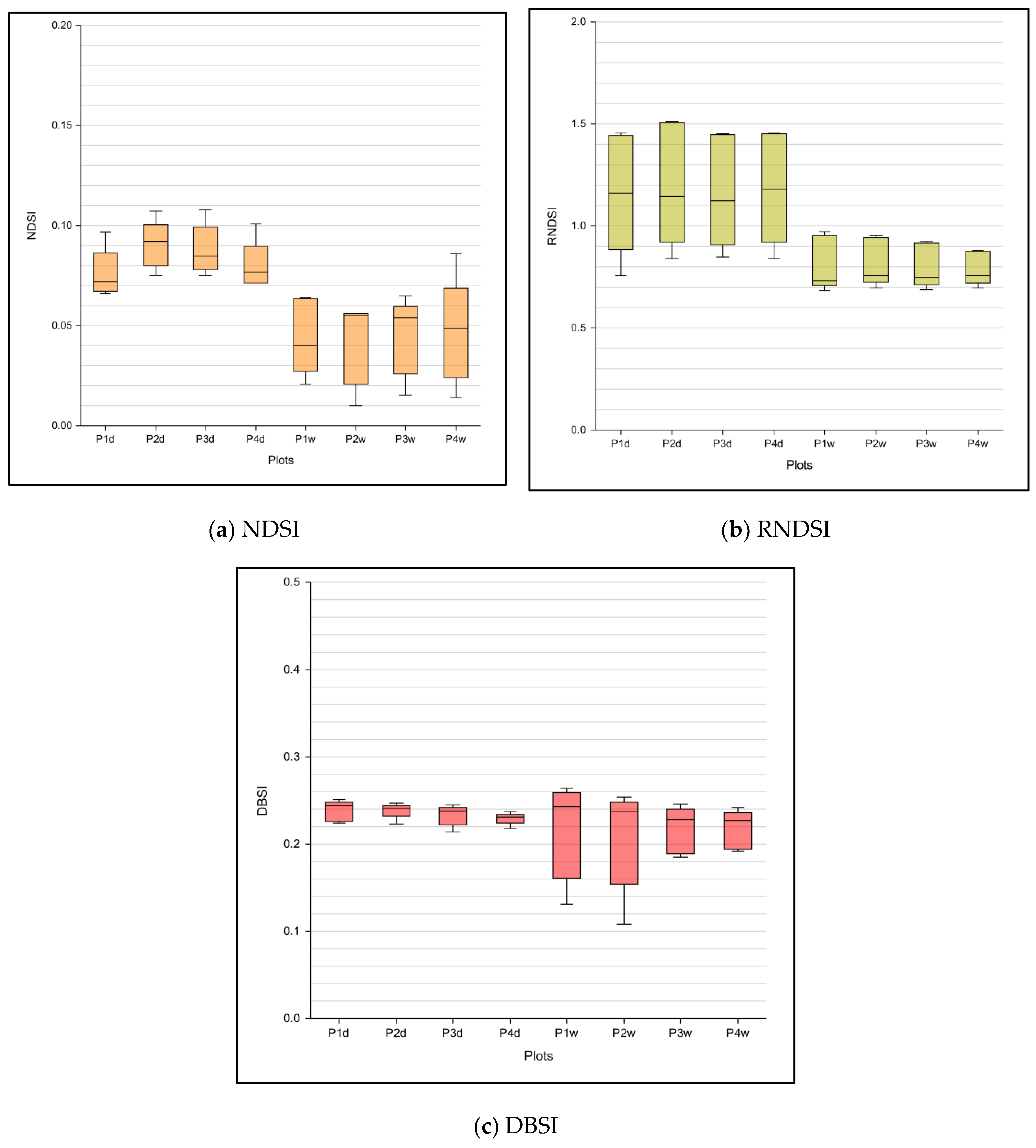
4.4. Comparison of NDSI, RNDSI and DBSI
4.5. Accuracy Assessment
5. Discussion
6. Conclusions
Author Contributions
Funding
Acknowledgments
Conflicts of Interest
References
- Avtar, R.; Tripathi, S.; Aggarwal, A.K.; Kumar, P. Population–Urbanization–Energy Nexus: A Review. Resources 2019, 8, 136. [Google Scholar] [CrossRef]
- Avtar, R.; Sahu, N.; Aggarwal, A.K.; Chakraborty, S.; Kharrazi, A.; Yunus, A.P.; Dou, J.; Kurniawan, T.A. Kurniawan Exploring Renewable Energy Resources Using Remote Sensing and GIS—A Review. Resources 2019, 8, 149. [Google Scholar] [CrossRef]
- Avtar, R.; Tripathi, S.; Aggarwal, A.K. Assessment of Energy–Population–Urbanization Nexus with Changing Energy Industry Scenario in India. Land 2019, 8, 124. [Google Scholar] [CrossRef]
- Raturi, A.K. Asia and the Pacific Renewable Energy Status Report; REN21: Suva, Fiji, 2019. [Google Scholar]
- Devabhaktuni, V.; Alam, M.; Shekara Sreenadh Reddy Depuru, S.; Green, R.C.; Nims, D.; Near, C. Solar energy: Trends and enabling technologies. Renew. Sustain. Energy Rev. 2013, 19, 555–564. [Google Scholar] [CrossRef]
- Sahu, B.K. A study on global solar PV energy developments and policies with special focus on the top ten solar PV power producing countries. Renew. Sustain. Energy Rev. 2015, 43, 621–634. [Google Scholar] [CrossRef]
- PV Solar Power around the World. Available online: https://en.wikipedia.org/wiki/Solar_power_by_country (accessed on 5 April 2019).
- Yap, W.K.; Galet, R.; Yeo, K.C. Quantitative analysis of dust and soiling on solar pv panels in the tropics utilizing image-processing methods. In Proceedings of the 2015 Asia-Pacific Solar Research Conference, Brisbane, Australia, 9 December 2015. [Google Scholar]
- Wilson, N.R.; Norman, L.M.; Villarreal, M.; Gass, L.; Tiller, R.; Salywon, A. Comparison of remote sensing indices for monitoring of desert cienegas. Arid Land Res. Manag. 2016, 30, 460–478. [Google Scholar] [CrossRef]
- Li, D. Using GIS and Remote Sensing Techniques for Solar Panel Installation Site Selection. Master’s Thesis, University of Waterloo, Waterloo, ON, Canada, 2013. [Google Scholar]
- Bergin, M.H.; Ghoroi, C.; Dixit, D.; Schauer, J.J.; Shindell, D.T. Large reductions in solar energy production due to dust and particulate air pollution. Environ. Sci. Technol. Lett. 2017, 4, 339–344. [Google Scholar] [CrossRef]
- Avtar, R.; Aggarwal, R.; Kharrazi, A.; Kumar, P.; Kurniawan, T.A. Utilizing geospatial information to implement SDGs and monitor their Progress. Environ. Monit. Assess. 2020, 192, 35. [Google Scholar] [CrossRef]
- Avtar, R.; Kumar, P.; Oono, A.; Saraswat, C.; Dorji, S.; Hlaing, Z. Potential application of remote sensing in monitoring ecosystem services of forests, mangroves and urban areas. Geocarto Int. 2017, 32, 874–885. [Google Scholar] [CrossRef]
- Saidan, M.; Albaali, A.G.; Alasis, E.; Kaldellis, J.K. Experimental study on the effect of dust deposition on solar photovoltaic panels in desert environment. Renew. Energy 2016, 92, 499–505. [Google Scholar] [CrossRef]
- Salim, A.; Huraib, F.; Eugenio, N. PV power-study of system options and optimization. In Proceedings of the EC photovoltaic Solar Conference, Florence, Italy, 8–9 May 1988; pp. 688–692. [Google Scholar]
- Jain, A.; Kapoor, A. Exact analytical solutions of the parameters of real solar cells using Lambert W-function. Sol. Energy Mater. Sol. Cells 2004, 81, 269–277. [Google Scholar] [CrossRef]
- Jiang, H.; Lu, L.; Sun, K. Experimental investigation of the impact of airborne dust deposition on the performance of solar photovoltaic (PV) modules. Atmos. Environ. 2011, 45, 4299–4304. [Google Scholar] [CrossRef]
- Gupta, J. Wind erosion of soil in drought-prone areas. In Desertification and Its Control in the Thar, Sahara and Sahel Regions; Scientific Publisher: Jodhpur, India, 1993. [Google Scholar]
- Schill, C.; Brachmann, S.; Koehl, M. Impact of soiling on IV-curves and efficiency of PV-modules. Sol. Energy 2015, 112, 259–262. [Google Scholar] [CrossRef]
- Maghami, M.R.; Hizam, H.; Gomes, C.; Radzi, M.A.; Rezadad, M.I.; Hajighorbani, S. Power loss due to soiling on solar panel: A review. Renew. Sustain. Energy Rev. 2016, 59, 1307–1316. [Google Scholar] [CrossRef]
- Zea-Cabrera, E.; Iwasa, Y.; Levin, S.; Rodríguez-Iturbe, I. Tragedy of the commons in plant water use. Water Resour. Res. 2006, 42. [Google Scholar] [CrossRef]
- Karnataka: 100% Water Tariff Hike Ups Production Cost for Heavy Industries. Available online: https://economictimes.indiatimes.com/industry/indl-goods/svs/steel/karnataka-100-water-tariff-hike-ups-production-cost-for-heavy-industries/articleshow/65167007.cms?from=mdr (accessed on 15 April 2019).
- Avtar, R.; Herath, S.; Saito, O.; Gera, W.; Singh, G.; Mishra, B.; Takeuchi, K. Application of remote sensing techniques toward the role of traditional water bodies with respect to vegetation conditions. Environ. Dev. Sustain. 2014, 16, 995–1011. [Google Scholar] [CrossRef]
- Minh, H.V.T.; Avtar, R.; Mohan, G.; Misra, P.; Kurasaki, M. Monitoring and Mapping of Rice Cropping Pattern in Flooding Area in the Vietnamese Mekong Delta Using Sentinel-1A Data: A Case of An Giang Province. IJGI 2019, 8, 211. [Google Scholar] [CrossRef]
- Rasul, A.; Balzter, H.; Ibrahim, G.; Hameed, H.; Wheeler, J.; Adamu, B.; Ibrahim, S.; Najmaddin, P. Applying built-up and bare-soil indices from Landsat 8 to cities in dry climates. Land 2018, 7, 81. [Google Scholar] [CrossRef]
- Deng, Y.; Wu, C.; Li, M.; Chen, R. RNDSI: A ratio normalized difference soil index for remote sensing of urban/suburban environments. Int. J. Appl. Earth Obs. Geoinf. 2015, 39, 40–48. [Google Scholar] [CrossRef]
- Al-Quraishi, A. Sand Dunes Monitoring Using Remote Sensing and GIS Techniques for Some Sites in Iraq; International Society for Optics and Photonics: Sanya, China, 2013. [Google Scholar]
- Rudiyanto; Minasny; Shah; Soh; Arif; Setiawan Automated Near-Real-Time Mapping and Monitoring of Rice Extent, Cropping Patterns, and Growth Stages in Southeast Asia Using Sentinel-1 Time Series on a Google Earth Engine Platform. Remote Sens. 2019, 11, 1666. [CrossRef]
- Bhadla Solar Park, Rajasthan. Available online: https://www.nsenergybusiness.com/projects/bhadla-solar-park-rajasthan/ (accessed on 24 April 2019).
- Pandey, S. Success in Scaling-up Solar Energy in Rajasthan, India. 2013. Available online: http://re.indiaenvironmentportal.org.in/files/file/Success%20in%20Scaling-up%20Solar%20Energy%20in%20Rajasthan,%20India.pdf (accessed on 5 May 2019).
- Publications Division. INDIA 2019: A Reference Mannual, 1st ed.; Ministry of Information & Broadcasting, Government of India: New Delhi, India, 2018; Volume 63.
- Kar, S.K.; Sharma, A.; Roy, B. Solar energy market developments in India. Renew. Sustain. Energy Rev. 2016, 62, 121–133. [Google Scholar] [CrossRef]
- Climate Data. Available online: https://en.climate-data.org/asia/india-129/ (accessed on 3 May 2019).
- Adani Group. Available online: https://www.areprl.com/solar-resource/#solarbhadla (accessed on 12 June 2019).
- Google Earth Engine. Available online: https://earthengine.google.com/ (accessed on 14 April 2019).
- GIS Course. Available online: https://www.giscourse.com/ (accessed on 21 April 2019).
- Márquez, F.P.G.; Ramírez, I.S. Condition monitoring system for solar power plants with radiometric and thermographic sensors embedded in unmanned aerial vehicles. Measurement 2019, 139, 152–162. [Google Scholar] [CrossRef]
- Bonafoni, S. Downscaling of Landsat and MODIS land surface temperature over the heterogeneous urban area of Milan. IEEE J. Sel. Top. Appl. Earth Obs. Remote Sens. 2016, 9, 2019–2027. [Google Scholar] [CrossRef]
- Saradjian, M.R.; Jouybari-Moghaddam, Y. Land Surface Emissivity and temperature retrieval from Landsat-8 satellite data using Support Vector Regression and weighted least squares approach. Remote Sens. Lett. 2019, 10, 439–448. [Google Scholar] [CrossRef]
- Hofierka, J.; Gallay, M.; Onačillová, K.; Hofierka, J., Jr. Physically-based land surface temperature modeling in urban areas using a 3-D city model and multispectral satellite data. Urban Clim. 2020, 31, 100566. [Google Scholar] [CrossRef]
- Rahman, M.; Avtar, R.; Yunus, A.P.; Dou, J.; Misra, P.; Takeuchi, W.; Sahu, N.; Kumar, P.; Johnson, B.A.; Dasgupta, R. Monitoring Effect of Spatial Growth on Land Surface Temperature in Dhaka. Remote Sens. 2020, 12, 1191. [Google Scholar] [CrossRef]
- Wang, F.; Qin, Z.; Song, C.; Tu, L.; Karnieli, A.; Zhao, S. An Improved Mono-Window Algorithm for Land Surface Temperature Retrieval from Landsat 8 Thermal Infrared Sensor Data. Remote Sens. 2015, 7, 4268–4289. [Google Scholar] [CrossRef]
- Israel’s Ecoppia To Deploy 2000 E4 Solar Panel Cleaning Robots for SB Energy’s Installations in Bhadla Solar Park. Available online: http://taiyangnews.info/business/ecoppia-secures-580-mw-order-for-bhadla-solar-park/ (accessed on 24 April 2019).
- Patil, P.; Bagi, J.; Wagh, M. A review on cleaning mechanism of solar photovoltaic panel. In Proceedings of the 2017 International Conference on Energy, Communication, Data Analytics and Soft Computing (ICECDS), Chennai, India, 1–2 August 2017; pp. 250–256. [Google Scholar]
- Ecoppia Expands Bhadla Park Cloud-Based Robotic Cleaning Footprint with Additional 580MWp. Available online: https://www.ecoppia.com/press-releases/ecoppia-expands-bhadla-park-cloud-based-robotic-cleaning-footprint-with-additional-580mwp/ (accessed on 15 May 2019).
- PV Solar Panel Field Inspection with UgCS. 2013. Available online: https://www.ugcs.com/solar-panel-inspection-with-ugcs (accessed on 25 June 2019).
- Kidron, G.; Yair, A. Rainfall–runoff relationship over encrusted dune surfaces, Nizzana, Western Negev, Israel. Earth Surf. Process. Landf. J. Br. Geomorphol. Group 1997, 22, 1169–1184. [Google Scholar] [CrossRef]
- Tsoar, H. Sand dunes mobility and stability in relation to climate. Phys. A Stat. Mech. Appl. 2005, 357, 50–56. [Google Scholar] [CrossRef]
- Van Dijk, P.; Stroosnijder, L.; De Lima, J. The influence of rainfall on transport of beach sand by wind. Earth Surf. Process. Landf. 1996, 21, 341–352. [Google Scholar] [CrossRef]
- O’Neill, A.L. Reflectance spectra of microphytic soil crusts in semi-arid Australia. Int. J. Remote Sens. 1994, 15, 675–681. [Google Scholar] [CrossRef]



















| Data Source | Date of Acquisition (YYYY.MM.DD)/ (YYYY.MM) | Number of Images |
|---|---|---|
| Landsat 8 (30 meters) | 2017.09.09; 2017.09.25; 2017.10.11; 2017.10.27; 2017.11.12; 2017.11.28; 2017.12.30; 2018.01.15; 2018.01.31; 2018.02.16; 2018.03.20; 2018.04.05; 2018.04.21; 2018.05.07; 2018.05.23; 2018.06.08; 2018.06.24; 2018.07.10; 2018.08.11; 2018.09.12; 2018.10.14; 2018.11.15; 2018.12.17; 2019.01.18; 2019.02.03 | 25 |
| Sentinel-2 (10 meters) | 2017.09; 2017.10; 2017.11; 2017.12; 2018.01; 2018.02; 2018.03; 2018.04; 2018.05; 2018.06; 2018.07; 2018.08; 2018.09; 2018.10; 2018.11; 2018.12; 2019.01; 2019.02; | 18 |
| PlanetScope (3 meters) | 2018.01.31 | 1 |
| Sensors | Band Number | Bands (Wavelength) | Spatial Resolution (Meters) | Band Range (μm) | Radiometric Resolution (bit) | Revisit Cycle (Days) |
|---|---|---|---|---|---|---|
| A. Landsat 8 | 16 | 16 | ||||
| 2 | Blue | 30 | 0.45–0.51 | |||
| 3 | Green | 30 | 0.53–0.59 | |||
| 4 | Red | 30 | 0.64–0.67 | |||
| 5 | Near-Infrared | 30 | 0.85–0.88 | |||
| 6 | SWIR 1 | 30 | 1.57–1.65 | |||
| 7 | SWIR 2 | 30 | 2.11–2.29 | |||
| 10 | TIR Sensor 1 | 100 | 10.6–11.19 | |||
| 11 | TIR Sensor 2 | 100 | 11.5–12.51 | |||
| B. Sentinel-2 | 12 | 5 | ||||
| 3 | Green | 10 | 0.54–0.57 | |||
| 4 | Red | 10 | 0.65–0.68 | |||
| 8 | Near-Infrared | 10 | 0.78–0.89 | |||
| 11 | SWIR 1 | 20 | 1.56–1.65 | |||
| 12 | SWIR 2 | 20 | 2.10–2.28 | |||
| C. Planet Scope | 12 | Daily | ||||
| 1 | Blue | 3 | 0.455–0.515 | |||
| 2 | Green | 3 | 0.5–0.59 | |||
| 3 | Red | 3 | 0.59–0.67 | |||
| 4 | Near-Infrared | 3 | 0.78–0.86 |
| Index | Accuracy | Kappa | Weighted | AUC | MCC | |
|---|---|---|---|---|---|---|
| TP Rate | FP Rate | |||||
| DBSI | 76% | 0.45 | 0.76 | 0.33 | 0.69 | 0.42 |
| NDSI | 67% | 0.28 | 0.67 | 0.38 | 0.7 | 0.28 |
| RNDSI | 61% | 0.14 | 0.61 | 0.46 | 0.65 | 0.15 |
| DBSI+NDSI | 80% | 0.56 | 0.8 | 0.25 | 0.8 | 0.56 |
| DBSI+RNDSI | 74% | 0.44 | 0.7 | 0.29 | 0.79 | 0.44 |
| NDSI+RNDSI | 72% | 0.38 | 0.72 | 0.34 | 0.79 | 0.38 |
| DBSI+NDSI+RNDSI | 79% | 0.54 | 0.79 | 0.24 | 0.85 | 0.54 |
| Index | Accuracy | Kappa | Weighted | AUC | MCC | |
|---|---|---|---|---|---|---|
| TP Rate | FP Rate | |||||
| DBSI | 89.6% | 0.77 | 0.89 | 0.12 | 0.86 | 0.77 |
| NDSI | 87.9% | 0.73 | 0.87 | 0.15 | 0.88 | 0.73 |
| RNDSI | 86.2% | 0.70 | 0.86 | 0.14 | 0.88 | 0.70 |
© 2020 by the authors. Licensee MDPI, Basel, Switzerland. This article is an open access article distributed under the terms and conditions of the Creative Commons Attribution (CC BY) license (http://creativecommons.org/licenses/by/4.0/).
Share and Cite
Supe, H.; Avtar, R.; Singh, D.; Gupta, A.; Yunus, A.P.; Dou, J.; A. Ravankar, A.; Mohan, G.; Chapagain, S.K.; Sharma, V.; et al. Google Earth Engine for the Detection of Soiling on Photovoltaic Solar Panels in Arid Environments. Remote Sens. 2020, 12, 1466. https://doi.org/10.3390/rs12091466
Supe H, Avtar R, Singh D, Gupta A, Yunus AP, Dou J, A. Ravankar A, Mohan G, Chapagain SK, Sharma V, et al. Google Earth Engine for the Detection of Soiling on Photovoltaic Solar Panels in Arid Environments. Remote Sensing. 2020; 12(9):1466. https://doi.org/10.3390/rs12091466
Chicago/Turabian StyleSupe, Hitesh, Ram Avtar, Deepak Singh, Ankita Gupta, Ali P. Yunus, Jie Dou, Ankit A. Ravankar, Geetha Mohan, Saroj Kumar Chapagain, Vivek Sharma, and et al. 2020. "Google Earth Engine for the Detection of Soiling on Photovoltaic Solar Panels in Arid Environments" Remote Sensing 12, no. 9: 1466. https://doi.org/10.3390/rs12091466
APA StyleSupe, H., Avtar, R., Singh, D., Gupta, A., Yunus, A. P., Dou, J., A. Ravankar, A., Mohan, G., Chapagain, S. K., Sharma, V., Singh, C. K., Tutubalina, O., & Kharrazi, A. (2020). Google Earth Engine for the Detection of Soiling on Photovoltaic Solar Panels in Arid Environments. Remote Sensing, 12(9), 1466. https://doi.org/10.3390/rs12091466

