NDVI as a Proxy for Estimating Sedimentation and Vegetation Spread in Artificial Lakes—Monitoring of Spatial and Temporal Changes by Using Satellite Images Overarching Three Decades
Abstract
1. Introduction
2. Materials and Methods
2.1. Study Area
2.2. RS Images and Auxiliary Data
2.3. Data Pre-Processing
2.4. Data Processing
2.5. Vegetation Spread Risk Mapping and the Level of Sedimentation Risk Index (LoSRI)
2.6. Validation
3. Results
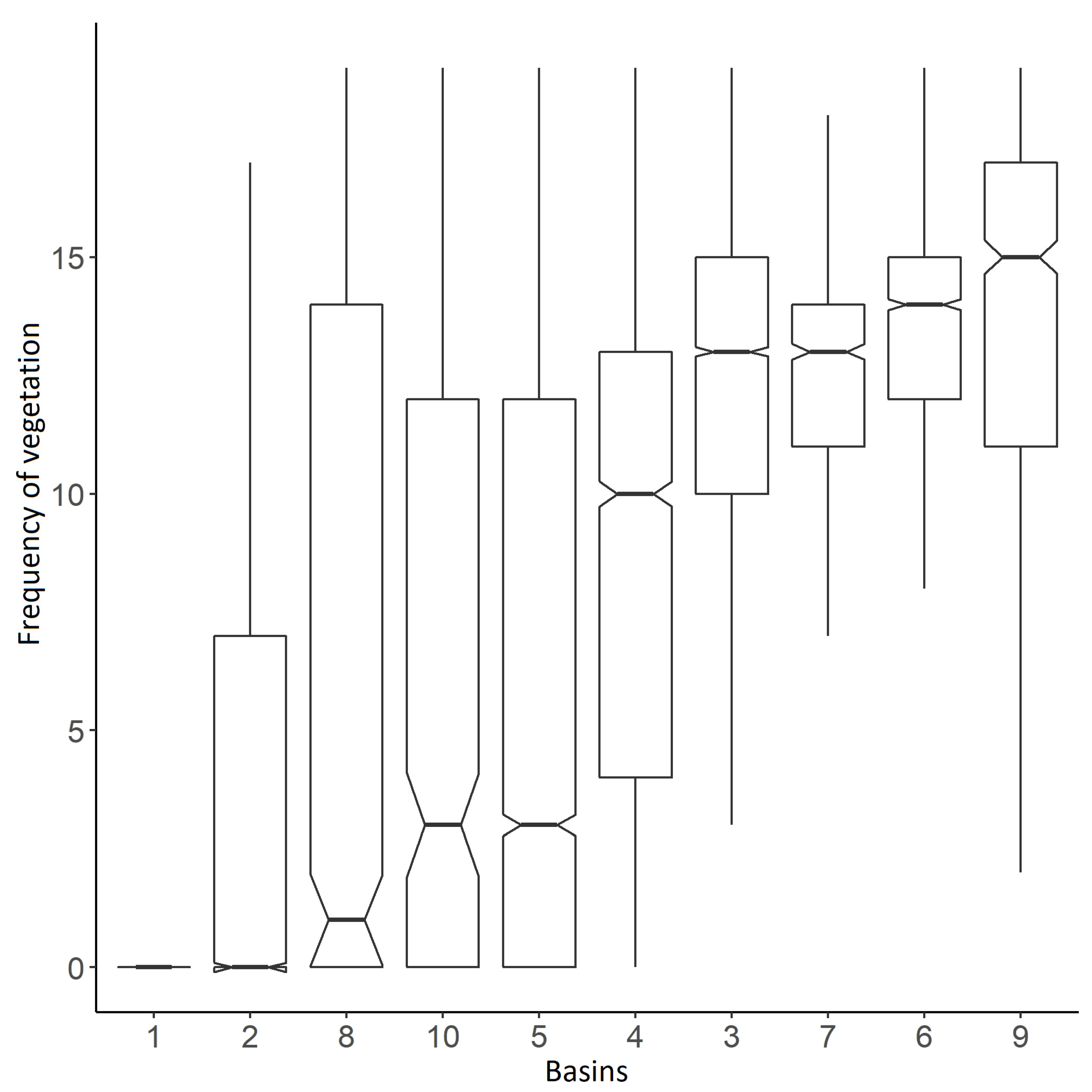
3.1. Aquatic Vegetation Annual Dynamics
3.2. Aquatic Vegetation Dynamics Between 1984 and 2017
3.3. Changes in Open Waterbody Ratios
3.4. The Relationship Between POW and Water Level
3.5. Sedimentation Risk Mapping
3.6. Validation
4. Discussion
5. Conclusions
Author Contributions
Funding
Acknowledgments
Conflicts of Interest
References
- Gulácsi, A.; Kovács, F. Drought Monitoring of Forest Vegetation using MODIS-Based Normalized Difference Drought Index in Hungary. Hung. Geogr. Bull. 2018, 67, 29–42. [Google Scholar] [CrossRef]
- Mas, J. Monitoring Land-Cover Changes: A Comparison of Change Detection Techniques. Int. J. Remote Sens. 1999, 20, 139–152. [Google Scholar] [CrossRef]
- Meyer, W.B.; Turner, B.L. Human Population Growth and Global Land-use/cover Change. Annu. Rev. Ecol. Syst. 1992, 23, 39–61. [Google Scholar] [CrossRef]
- Regmi, P.; Grosse, G.; Jones, M.C.; Jones, B.M.; Anthony, K.W. Characterizing Post-Drainage Succession in Thermokarst Lake Basins on the Seward Peninsula, Alaska with TerraSAR-X Backscatter and Landsat-Based NDVI Data. Remote Sens. 2012, 4, 3741–3765. [Google Scholar] [CrossRef]
- Sterling, S.M.; Ducharne, A.; Polcher, J. The Impact of Global Land-Cover Change on the Terrestrial Water Cycle. Nat. Clim. Chang. 2013, 3, 385–390. [Google Scholar] [CrossRef]
- Galat, D.L.; Verdin, J.P.; Sims, L.L. Large-Scale Patterns of Nodularia Spumigena Blooms in Pyramid Lake, Nevada, Determined from Landsat Imagery: 1972–1986. Hydrobiologia 1990, 197, 147–164. [Google Scholar] [CrossRef]
- Han, X.; Chen, X.; Feng, L. Four Decades of Winter Wetland Changes in Poyang Lake Based on Landsat Observations between 1973 and 2013. Remote Sens. Environ. 2015, 156, 426–437. [Google Scholar] [CrossRef]
- Yuan, F.; Sawaya, K.E.; Loeffelholz, B.C.; Bauer, M.E. Land Cover Classification and Change Analysis of the Twin Cities (Minnesota) Metropolitan Area by Multitemporal Landsat Remote Sensing. Remote Sens. Environ. 2005, 98, 317–328. [Google Scholar] [CrossRef]
- Claverie, M.; Ju, J.; Masek, J.G.; Dungan, J.L.; Vermote, E.F.; Roger, J.; Skakun, S.V.; Justice, C. The Harmonized Landsat and Sentinel-2 Surface Reflectance Data Set. Remote Sens. Environ. 2018, 219, 145–161. [Google Scholar] [CrossRef]
- Pahlevan, N.; Chittimalli, S.K.; Balasubramanian, S.V.; Vellucci, V. Sentinel-2/Landsat-8 Product Consistency and Implications for Monitoring Aquatic Systems. Remote Sens. Environ. 2019, 220, 19–29. [Google Scholar] [CrossRef]
- Foster, C.; Hallam, H.; Mason, J. Orbit Determination and Differential-Drag Control of Planet Labs Cubesat Constellations. arXiv preprint arXiv:1509.03270 2015. Available online: https://arxiv.org/pdf/1509.03270.pdf (accessed on 31 January 2020).
- Thenkabail, P.S. Remotely Sensed Data Characterization, Classification, and Accuracies; CRC Press, Taylor & Francis Group: Boca Raton, FL, USA, 2015. [Google Scholar]
- Zhao, B.; Yan, Y.; Guo, H.; He, M.; Gu, Y.; Li, B. Monitoring Rapid Vegetation Succession in Estuarine Wetland using Time Series MODIS-Based Indicators: An Application in the Yangtze River Delta Area. Ecol. Ind. 2009, 9, 346–356. [Google Scholar] [CrossRef]
- Lambin, E.F.; Turner, B.L.; Geist, H.J.; Agbola, S.B.; Angelsen, A.; Bruce, J.W.; Coomes, O.T.; Dirzo, R.; Fischer, G.; Folke, C. The Causes of Land-use and Land-Cover Change: Moving Beyond the Myths. Glob. Environ. Chang. 2001, 11, 261–269. [Google Scholar] [CrossRef]
- Turner, B.; Meyer, W.B.; Skole, D.L. Global Land-use/land-Cover Change: Towards an Integrated Study. Ambio.Stockholm 1994, 23, 91–95. [Google Scholar]
- Deák, B.; Valkó, O.; Török, P.; Kelemen, A.; Tóth, K.; Miglécz, T.; Tóthmérész, B. Reed Cut, Habitat Diversity and Productivity in Wetlands. Ecol. Complex. 2015, 22, 121–125. [Google Scholar] [CrossRef]
- Russell, M.; Fulford, R.; Murphy, K.; Lane, C.; Harvey, J.; Dantin, D.; Alvarez, F.; Nestlerode, J.; Teague, A.; Harwell, M. Relative Importance of Landscape Versus Local Wetland Characteristics for Estimating Wetland Denitrification Potential. Wetlands 2019, 39, 127–137. [Google Scholar] [CrossRef]
- Weller, M.W. Wetland Birds: Habitat Resources and Conservation Implications; Cambridge University Press: Cambridge, UK, 1999. [Google Scholar]
- Matthews, J.W.; Endress, A.G. Rate of Succession in Restored Wetlands and the Role of Site Context. Appl. Veg. Sci. 2010, 13, 346–355. [Google Scholar] [CrossRef]
- Östlund, C.; Flink, P.; Strömbeck, N.; Pierson, D.; Lindell, T. Mapping of the Water Quality of Lake Erken, Sweden, from Imaging Spectrometry and Landsat Thematic Mapper. Sci. Total Environ. 2001, 268, 139–154. [Google Scholar] [CrossRef]
- Rembold, F.; Carnicelli, S.; Nori, M.; Ferrari, G.A. Use of Aerial Photographs, Landsat TM Imagery and Multidisciplinary Field Survey for Land-Cover Change Analysis in the Lakes Region (Ethiopia). Int. J. Appl. Earth OBS 2000, 2, 181–189. [Google Scholar] [CrossRef]
- Scheffer, M.; van Nes, E.H. Shallow lakes theory revisited: Various alternative regimes driven by climate, nutrients, depth and lake size. In Shallow Lakes in a Changing World; Springer: Dordrecht, The Netherlands, 2007; pp. 455–466. [Google Scholar]
- Tanos, P.; Kovács, J.; Kovács, S.; Anda, A.; Hatvani, I.G. Optimization of the Monitoring Network on the River Tisza (Central Europe, Hungary) using Combined Cluster and Discriminant Analysis, Taking Seasonality into Account. Environ. Monit. Assess. 2015, 187, 575. [Google Scholar] [CrossRef]
- Csáki, P.; Szinetár, M.M.; Herceg, A.; Kalicz, P.; Gribovszki, Z. Climate Change Impacts on the Water Balance-Case Studies in Hungarian Watersheds. Időjárás Q. J. Hung. Meteorol. Serv. 2018, 122, 81–99. [Google Scholar] [CrossRef]
- Farkas, J.Z.; Hoyk, E.; Rakonczai, J. Geographical Analysis of Climate Vulnerability at a Regional Scale: The Case of the Southern Great Plain in Hungary. Hung. Geogr. Bull. 2017, 66, 129–147. [Google Scholar] [CrossRef]
- Babka, B.; Futó, I.; Szabó, S. Seasonal Evaporation Cycle in Oxbow Lakes Formed Along the Tisza River in Hungary for Flood Control. Hydrol. Process. 2018, 32, 2009–2019. [Google Scholar] [CrossRef]
- Csete, M.; Pálvölgyi, T.; Szendrő, G. Assessment of Climate Change Vulnerability of Tourism in Hungary. Reg. Environ. Chang. 2013, 13, 1043–1057. [Google Scholar] [CrossRef]
- Rátz, T.; Vizi, I. The Impacts of Global Climate Change on Water Resources and Tourism: The Responses of Lake Balaton and Lake Tisza. Adv. Tour. Climatol. 2004, 82–89. [Google Scholar]
- Zlinszky, A.; Mücke, W.; Lehner, H.; Briese, C.; Pfeifer, N. Categorizing Wetland Vegetation by Airborne Laser Scanning on Lake Balaton and Kis-Balaton, Hungary. Remote Sens. 2012, 4, 1617–1650. [Google Scholar] [CrossRef]
- Sándor, A.; Kiss, T. Floodplain Aggradation Caused by the High Magnitude Flood of 2006 in the Lower Tisza Region, Hungary. J. Environ. Geogr. 2008, 1, 31–39. [Google Scholar]
- Grygar, T.M.; Elznicová, J.; Kiss, T.; Smith, H. Using Sedimentary Archives to Reconstruct Pollution History and Sediment Provenance: The Ohře River, Czech Republic. Catena 2016, 144, 109–129. [Google Scholar] [CrossRef]
- Latuso, K.D.; Keim, R.F.; King, S.L.; Weindorf, D.C.; DeLaune, R.D. Sediment Deposition and Sources into a Mississippi River Floodplain Lake; Catahoula Lake, Louisiana. Catena 2017, 156, 290–297. [Google Scholar] [CrossRef]
- Nguyen, H.; Braun, M.; Szaloki, I.; Baeyens, W.; Van Grieken, R.; Leermakers, M. Tracing the Metal Pollution History of the Tisza River through the Analysis of a Sediment Depth Profile. Water Air Soil Pollut. 2009, 200, 119–132. [Google Scholar] [CrossRef]
- Hubay, K.; Molnár, M.; Orbán, I.; Braun, M.; Bíró, T.; Magyari, E. Age–depth Relationship and Accumulation Rates in Four Sediment Sequences from the Retezat Mts, South Carpathians (Romania). Quat. Int. 2018, 477, 7–18. [Google Scholar] [CrossRef]
- Babcsányi, I.; Tamás, M.; Szatmári, J.; Hambek-Oláh, B.; Farsang, A. Assessing the Impacts of the Main River and Anthropogenic use on the Degree of Metal Contamination of Oxbow Lake Sediments (Tisza River Valley, Hungary). J. Soils Sediments 2020, 20, 1662–1675. [Google Scholar] [CrossRef]
- Sacks, L.; Lee, T.M.; Tihansky, A. Hydrogeologic Setting and Preliminary Data Analysis for the Hydrologic-Budget Assessment of Lake Barco, an Acidic Seepage Lake in Putnam County, Florida; US Department of the Interior, US Geological Survey: Reston, VA, USA, 1992.
- Halmai, Á.; Gradwohl–Valkay, A.; Czigány, S.; Ficsor, J.; Liptay, Z.Á.; Kiss, K.; Lóczy, D.; Pirkhoffer, E. Applicability of a Recreational-Grade Interferometric Sonar for the Bathymetric Survey and Monitoring of the Drava River. ISPRS Int. J. Geoinf 2020, 9, 149. [Google Scholar] [CrossRef]
- Lague, D.; Feldmann, B. Topo-bathymetric airborne LiDAR for fluvial-geomorphology analysis. In Developments in Earth Surface Processes; Elsevier: Oxford, UK, 2020; Volume 23, pp. 25–54. [Google Scholar]
- Singh, S.K.; Laari, P.B.; Mustak, S.; Srivastava, P.K.; Szabó, S. Modelling of Land use Land Cover Change using Earth Observation Data-Sets of Tons River Basin, Madhya Pradesh, India. Geocarto Int. 2018, 33, 1202–1222. [Google Scholar] [CrossRef]
- Alam, A.; Bhat, M.S.; Maheen, M. Using Landsat Satellite Data for Assessing the Land use and Land Cover Change in Kashmir Valley. GeoJournal 2019, 84, 1–15. [Google Scholar] [CrossRef]
- Büttner, G.; Korandi, M.; Gyömörei, A.; Köte, Z.; Szabó, G. Satellite Remote Sensing of Inland Waters: Lake Balaton and Reservoir Kisköre. Acta Astronaut. 1987, 15, 305–311. [Google Scholar] [CrossRef]
- Li, Q.; Lu, L.; Wang, C.; Li, Y.; Sui, Y.; Guo, H. MODIS-Derived Spatiotemporal Changes of Major Lake Surface Areas in Arid Xinjiang, China, 2000–2014. Water 2015, 7, 5731–5751. [Google Scholar] [CrossRef]
- Balázs, B.; Bíró, T.; Dyke, G.; Singh, S.K.; Szabó, S. Extracting Water-Related Features using Reflectance Data and Principal Component Analysis of Landsat Images. Hydrol. Sci. J. 2018, 63, 269–284. [Google Scholar] [CrossRef]
- Omute, P.; Corner, R.; Awange, J.L. The use of NDVI and its Derivatives for Monitoring Lake Victoria’s Water Level and Drought Conditions. Water Resour. Manag. 2012, 26, 1591–1613. [Google Scholar] [CrossRef]
- Orhan, O.; Ekercin, S.; Dadaser-Celik, F. Use of Landsat Land Surface Temperature and Vegetation Indices for Monitoring Drought in the Salt Lake Basin Area, Turkey. Sci. World J. 2014, 2014, 142939. [Google Scholar] [CrossRef]
- Huang, S.; Li, J.; Xu, M. Water Surface Variations Monitoring and Flood Hazard Analysis in Dongting Lake Area using Long-Term Terra/MODIS Data Time Series. Nat. Hazards 2012, 62, 93–100. [Google Scholar] [CrossRef]
- Reed, B.; Budde, M.; Spencer, P.; Miller, A.E. Integration of MODIS-Derived Metrics to Assess Interannual Variability in Snowpack, Lake Ice, and NDVI in Southwest Alaska. Remote Sens. Environ. 2009, 113, 1443–1452. [Google Scholar] [CrossRef]
- Sawaya, K.E.; Olmanson, L.G.; Heinert, N.J.; Brezonik, P.L.; Bauer, M.E. Extending Satellite Remote Sensing to Local Scales: Land and Water Resource Monitoring using High-Resolution Imagery. Remote Sens. Environ. 2003, 88, 144–156. [Google Scholar] [CrossRef]
- Szabó, L.; Burai, P.; Deák, B.; Dyke, G.J.; Szabó, S. Assessing the Efficiency of Multispectral Satellite and Airborne Hyperspectral Images for Land Cover Mapping in an Aquatic Environment with Emphasis on the Water Caltrop (Trapa Natans). Int. J. Remote Sens. 2019, 40, 4876–4897. [Google Scholar] [CrossRef]
- Szabó, L.; Deák, M.; Szabó, S. Comparative Analysis of Landsat TM, ETM+, OLI and EO-1 ALI Satellite Images at the Tisza-tó Area, Hungary. Acta Geogr. Debrecina Landsc. Environ. 2016, 10, 53. [Google Scholar] [CrossRef]
- Kelemenné Szilágyi, E.; Végvári, P. A Kiskörei Tározó (Tisza-tó) Makrovegetációja-Ahol Nagy a Sulyom Mező, Ott Tömeges a Rucaöröm. ECONOMICA-A Szolnoki Fõiskola Tudományos Közleményei 2011, IV, 83. [Google Scholar]
- Kiss, T.; Sándor, A. Land use Changes and their Effect on Floodplain Aggradation Along the Middle-Tisza River, Hungary. Acta Geogr. Debrecina Landsc. Environ. 2009, 3, 1–10. [Google Scholar]
- Hummel, M.; Kiviat, E. Review of World Literature on Water Chestnut with Implications for Management in North America. J. Aquat. Plant Manag. 2004, 42, 17–27. [Google Scholar]
- Folkard, A.M. Hydrodynamics of Model Posidonia Oceanica Patches in Shallow Water. Limnol. Oceanogr. 2005, 50, 1592–1600. [Google Scholar] [CrossRef]
- Meire, D.W.; Kondziolka, J.M.; Nepf, H.M. Interaction between Neighboring Vegetation Patches: Impact on Flow and Deposition. Water Resour. Res. 2014, 50, 3809–3825. [Google Scholar] [CrossRef]
- USGS ESPA. Available online: https://espa.cr.usgs.gov (accessed on 31 January 2020).
- Rouse, J.W., Jr.; Haas, R.H.; Schell, J.; Deering, D. Monitoring the Vernal Advancement and Retrogradation (Green Wave Effect) of Natural Vegetation; Goddard Space Flight Center: Greenbelt, MD, USA, 1973; p. 120. [Google Scholar]
- Tucker, C.J. Red and Photographic Infrared Linear Combinations for Monitoring Vegetation. Remote Sens. Environ. 1979, 8, 127–150. [Google Scholar] [CrossRef]
- Xu, H. Modification of Normalised Difference Water Index (NDWI) to Enhance Open Water Features in Remotely Sensed Imagery. Int. J. Remote Sens. 2006, 27, 3025–3033. [Google Scholar] [CrossRef]
- Kiage, L.M.; Douglas, P. Linkages between Land Cover Change, Lake Shrinkage, and Sublacustrine Influence Determined from Remote Sensing of Select Rift Valley Lakes in Kenya. Sci. Total Environ. 2020, 709, 136022. [Google Scholar] [CrossRef]
- Szabó, S.; Gácsi, Z.; Balázs, B. Specific Features of NDVI, NDWI and MNDWI as Reflected in Land Cover Categories. Acta Geogr. Debrecina. Landsc. Environ. Ser. 2016, 10, 194–202. [Google Scholar] [CrossRef]
- Van Rees, E. Exelis Visual Information Solutions. GeoInformatics 2013, 16, 24. [Google Scholar]
- ArcGIS 10.4. ESRI GDI, Redlands, CA, USA, 2019. Available online: www.esri.com (accessed on 1 February 2020).
- Selker, R.; Love, J.; Dropmann, D. jmv: The ‘jamovi’ Analyses. R package version 1.2.5. 2020. Available online: https://CRAN.R-project.org/package=jmv (accessed on 17 February 2020).
- R Core Team. R: A Language and Environment for Statistical Computing; Vienna, Austria: R Foundation for Statistical Computing. 2017. Available online: https://www.R-project.org/ (accessed on 31 January 2020).
- Bogárdi, J. (Ed.) Vízfolyások Hordalékszállítása; Akadémiai Kiadó: Budapest, Hungary, 1971; p. 838. [Google Scholar]
- Laczi, Z.; Teszárné Dr Nagy, M.; Fejes, L.; Katona, P.G. Negyvenéves a Tisza-tó; Duna-Mix Kft: Szolnok, Hungary, 2018. [Google Scholar]
- Lóczy, D. Floodplain Evaluation. In Recent Landform Evolution: The Carpatho-Balkan-Dinaric Region; Lóczy, D., Stankoviansky, M., Kotarba, A., Eds.; Springer Science & Business Media: Dordrecht, The Netherlands, 2012; pp. 215–217. [Google Scholar]
- Korponai, J.; Gyulai, I.; Braun, M.; Kövér, C.; Papp, I.; Forró, L. Reconstruction of Flood Events in an Oxbow Lake (Marótzugi-Holt-Tisza, NE Hungary) by using Subfossil Cladoceran Remains and Sediments. Adv. Oceanogr. Limnol. 2016, 7, 131–141. [Google Scholar] [CrossRef]
- Dezső, Z.; Szabó, S.; Bihari, Á.; Mócsy, I.; Szacsvay, K.; Urák, I.; Zsigmond, A.R. Tiszai Hullámtér Feltöltődésének Időbeli Alakulása 137Cs-Izotóp Gamma Spektrometriai Vizsgálata Alapján. In Proceedings of the 5th Edition of the Carpathian Basin Conference on Environmental Science, Kárpát-medencei Környezettudományi Konferencia. Kolozsvár, Romania, 26–29 March 2009; pp. 438–443. [Google Scholar]
- Degife, A.; Worku, H.; Gizaw, S.; Legesse, A. Land use Land Cover Dynamics, its Drivers and Environmental Implications in Lake Hawassa Watershed of Ethiopia. Remote Sens. Appl. Soc. Environ. 2019, 14, 178–190. [Google Scholar] [CrossRef]
- Kangabam, R.D.; Selvaraj, M.; Govindaraju, M. Assessment of Land use Land Cover Changes in Loktak Lake in Indo-Burma Biodiversity Hotspot using Geospatial Techniques. Egypt. J. Remote Sens. Space Sci. 2019, 22, 137–143. [Google Scholar] [CrossRef]
- Were, K.; Dick, Ø.; Singh, B. Remotely Sensing the Spatial and Temporal Land Cover Changes in Eastern Mau Forest Reserve and Lake Nakuru Drainage Basin, Kenya. Appl. Geogr. 2013, 41, 75–86. [Google Scholar] [CrossRef]












| Basin ID | Area (ha) | Type | Description |
|---|---|---|---|
| 1 | 1709 | Large area with a high open-water ratio | Basin has a large open water surface, a high-water level with small vegetation cover |
| 2 | 1136 | Large area with a high open-water ratio | Basin has a large open water surface, a high-water level and coastal areas have moderate vegetation cover |
| 3 | 590 | Medium area with high vegetation cover | Basin has nearly 100% vegetation cover in most years, open water is dominant along a deeper ancient meander in the middle |
| 4 | 274 | Medium area with permanent open water coverage | Basin has a deeper long coastal part with a high open-water ratio and high vegetation cover |
| 5 | 658 | Large area with a high open-water ratio | Basin has a large open water surface and high-water level. Coastal areas have moderate vegetation cover |
| 6 | 157 | Medium area with high vegetation cover | Basin has very high vegetation cover in most years and open water is dominant in the northern part of the basin |
| 7 | 82 | Small area with high vegetation cover | Basin has nearly 100% vegetation cover in most years |
| 8 | 55 | Small area with permanent open water coverage | Basin was an ancient meander with deep water level and a high open-water ratio with small vegetation cover in coastal areas |
| 9 | 69 | Small area with permanent open water coverage | Basin was part of an ancient meander with deep water level and high open-water ratio in the central part. There is high vegetation cover in coastal areas. |
| 10 | 31 | Small area with permanent open water coverage | Basin was an ancient meander with deep water level and high open-water ratio with small vegetation cover in coastal areas |
| One-Year Vegetation Period | Long-Term Change Observation | ||
|---|---|---|---|
| Sensor | Acquisition Date | Sensor | Acquisition Date |
| Landsat 8 OLI | 2015.05.18 | Landsat 5 TM | 1984.07.31 |
| Landsat 8 OLI | 2015.06.03 | Landsat 5 TM | 1985.08.03 |
| Landsat 8 OLI | 2015.07.05 | Landsat 5 TM | 1986.07.30 |
| Landsat 8 OLI | 2015.07.21 | Landsat 5 TM | 1987.08.09 |
| Landsat 8 OLI | 2015.08.06 | Landsat 4 TM | 1992.07.29 |
| Landsat 8 OLI | 2015.09.23 | Landsat 5 TM | 1994.08.05 |
| Landsat 7 ETM+ | 2000.08.04 | ||
| Landsat 7 ETM+ | 2001.07.31 | ||
| Landsat 5 TM | 2003.08.05 | ||
| Landsat 5 TM | 2004.08.07 | ||
| Landsat 5 TM | 2005.08.10 | ||
| Landsat 5 TM | 2006.07.28 | ||
| Landsat 5 TM | 2007.07.31 | ||
| Landsat 5 TM | 2009.07.29 | ||
| Landsat 5 TM | 2010.08.01 | ||
| Landsat 5 TM | 2011.08.11 | ||
| Landsat 8 OLI | 2014.08.03 | ||
| Landsat 8 OLI | 2015.08.06 | ||
| Landsat 8 OLI | 2016.08.08 | ||
| Landsat 8 OLI | 2017.08.11 | ||
| VDF | OWFF | LoSRI | Threat Risk | ||
|---|---|---|---|---|---|
| NDVI Mean Value Range | Threatening Factor | Minimum POW Value Range (%) | Threat Factor | Summarized Threat Factors | |
| −1 to 0.1 | 1 | 65–100 | 1 | 2–5 | Small risk |
| 0.1–0.2 | 2 | 45–65 | 2 | ||
| 0.2–0.3 | 3 | 30–45 | 3 | 6–9 | Medium risk |
| 0.3–0.4 | 4 | 20–30 | 4 | ||
| 0.4–0.5 | 5 | 10–20 | 5 | 10–12 | High risk |
| 0.5–1 | 6 | 0–10 | 6 | ||
| Threatening Factor | |||
|---|---|---|---|
| Basin | VDF | OWFF | LoSRI |
| 1 | 1 | 1 | 2 |
| 2 | 1 | 1 | 2 |
| 5 | 2 | 2 | 4 |
| 8 | 4 | 2 | 6 |
| 10 | 4 | 3 | 7 |
| 4 | 4 | 4 | 8 |
| 9 | 6 | 5 | 11 |
| 3 | 5 | 6 | 11 |
| 6 | 5 | 6 | 11 |
| 7 | 5 | 6 | 11 |
© 2020 by the authors. Licensee MDPI, Basel, Switzerland. This article is an open access article distributed under the terms and conditions of the Creative Commons Attribution (CC BY) license (http://creativecommons.org/licenses/by/4.0/).
Share and Cite
Szabó, L.; Deák, B.; Bíró, T.; Dyke, G.J.; Szabó, S. NDVI as a Proxy for Estimating Sedimentation and Vegetation Spread in Artificial Lakes—Monitoring of Spatial and Temporal Changes by Using Satellite Images Overarching Three Decades. Remote Sens. 2020, 12, 1468. https://doi.org/10.3390/rs12091468
Szabó L, Deák B, Bíró T, Dyke GJ, Szabó S. NDVI as a Proxy for Estimating Sedimentation and Vegetation Spread in Artificial Lakes—Monitoring of Spatial and Temporal Changes by Using Satellite Images Overarching Three Decades. Remote Sensing. 2020; 12(9):1468. https://doi.org/10.3390/rs12091468
Chicago/Turabian StyleSzabó, Loránd, Balázs Deák, Tibor Bíró, Gareth J. Dyke, and Szilárd Szabó. 2020. "NDVI as a Proxy for Estimating Sedimentation and Vegetation Spread in Artificial Lakes—Monitoring of Spatial and Temporal Changes by Using Satellite Images Overarching Three Decades" Remote Sensing 12, no. 9: 1468. https://doi.org/10.3390/rs12091468
APA StyleSzabó, L., Deák, B., Bíró, T., Dyke, G. J., & Szabó, S. (2020). NDVI as a Proxy for Estimating Sedimentation and Vegetation Spread in Artificial Lakes—Monitoring of Spatial and Temporal Changes by Using Satellite Images Overarching Three Decades. Remote Sensing, 12(9), 1468. https://doi.org/10.3390/rs12091468

