Prediction of Wheat Grain Protein by Coupling Multisource Remote Sensing Imagery and ECMWF Data
Abstract
1. Introduction
2. Materials and Methods
2.1. Research Area
2.2. Experimental Design
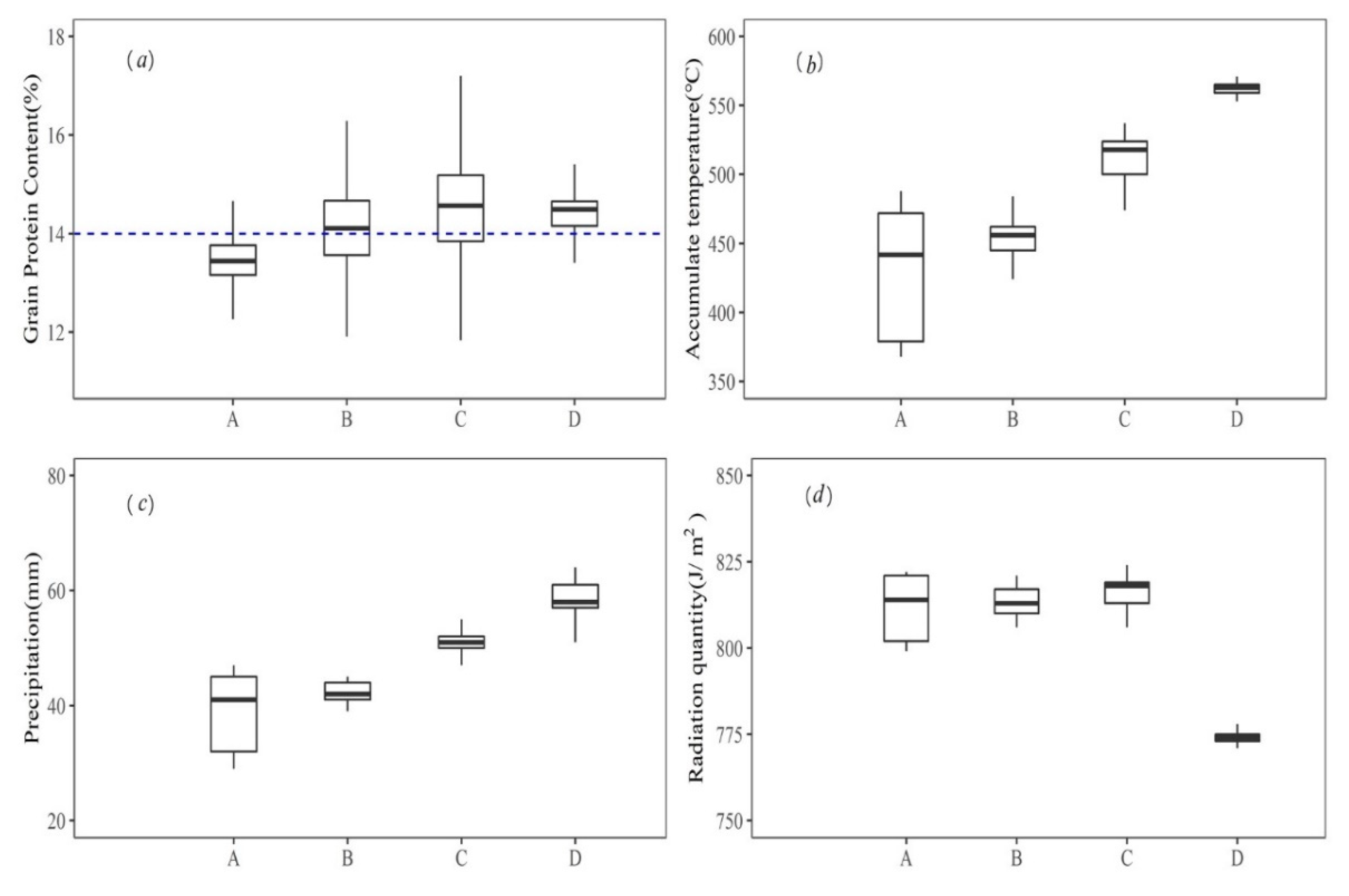
2.3. Data Acquisition
2.3.1. Satellite Image Preprocessing
2.3.2. Meteorological Data
2.3.3. Grain Protein Content (GPC)
2.4. Method
- (1)
- Data pre-processing: The LS8, RE, and S2 RS image data were preprocessed (e.g., radiation calibration and atmospheric correction). The spectral information that corresponds to the ground point was extracted. Accumulated temperature, cumulative rainfall, and light intensity were calculated from the meteorological data.
- (2)
- Consistency analysis: The consistency of the spectral information of the preprocessed LS8 and RE with S2 was compared.
- (3)
- Vegetation index (VI) selection: The sensitive VI with GPC was calculated and screened from the RS images as the first input parameter of HLM.
- (4)
- GPC prediction by HLM method: The selected VI and gluten type were used as the first input parameters, and the meteorological data were used as the second input parameter to construct the HLM for predicting GPC;
- (5)
- GPC map and validation: The validation set was used to validate the HLM in space. The GPC in BJ, XTS, and RQ City in 2018 was predicted, and the thematic map of wheat quality prediction was created.
2.4.1. Vegetation index (VI)
2.4.2. Hierarchical Linear Model (HLM)
2.4.3. Classification Standard of Gluten
2.4.4. Statistical Analysis
3. Results and Analysis
3.1. Spectral Consistency among Sentinel-2 (S2), Landsat 8 (LS8), and RapidEye (RE)
3.2. Screening of VI
3.3. GPC Predicting Model Based on HLM
3.4. GPC Validation and Map
4. Discussion
5. Conclusions
Author Contributions
Funding
Acknowledgments
Conflicts of Interest
References
- Li, Z.; Wang, J.; Liu, C.; Song, X.; Xu, X.; Li, Z. Predicting Grain Protein Content in Winter Wheat Using Hyperspectral and Meteorological Factor. In Proceedings of the 2018 7th International Conference on Agro-geoinformatics (Agro-geoinformatics), Hangzhou, China, 6 August 2018; pp. 1–4. [Google Scholar]
- Wang, D.; Zhang, D.; Li, Y.; Qin, Q.; Wang, J.; Fan, W.; Chen, S. Monitoring wheat quality based on HJ1A/B remote sensing data and ecological factors. Infrared Laser Eng. 2013, 42, 780–786. [Google Scholar]
- Xue, L.-H.; Zhu, Y.; Zhang, X.; Cao, W. Predicting Wheat Grain Quality with Canopy Reflectance Spectra. Acta Agron. Sin. 2004, 30, 1036–1041. [Google Scholar]
- Jin, X.; Xu, X.; Feng, H.; Song, X.; Wang, Q.; Wang, J.; Guo, W. Estimation of grain protein content in winter wheat by using three methods with hyperspectral data. Int. J. Agric. Biol. 2014, 16. [Google Scholar]
- Liu, L.; Wang, J.; Bao, Y.; Huang, W.; Ma, Z.; Zhao, C. Predicting winter wheat condition, grain yield and protein content using multi-temporal EnviSat-ASAR and Landsat TM satellite images. Int. J. Remote Sens. 2006, 27, 737–753. [Google Scholar] [CrossRef]
- Hansen, P.M.; Jorgensen, J.R.; Thomsen, A. Predicting grain yield and protein content in winter wheat and spring barley using repeated canopy reflectance measurements and partial least squares regression. J. Agric. Sci. -Camb. 2003, 139, 61–66. [Google Scholar] [CrossRef]
- Li, Y.; Zhu, Y.; Tian, Y.; You, X.; Zhou, D.; Cao, W. Relationship of grain protein content and relevant quality traits to canopy reflectance spectra in wheat. Sci. Agric. Sin. 2005, 38, 1332–1338. [Google Scholar]
- Rodrigues, F.A.; Gerald, B.; Pierre, B.D.; Ortiz-Monasterio, J.I.; Schulthess, U.; Zarco-Tejada, P.J.; Taylor, J.A.; Gérard, B. Multi-Temporal and Spectral Analysis of High-Resolution Hyperspectral Airborne Imagery for Precision Agriculture: Assessment of Wheat Grain Yield and Grain Protein Content. Remote Sens. 2018, 10, 930. [Google Scholar] [CrossRef]
- Zhou, D.; Zhu, Y.; Yao, X.; Tian, Y.; Cao, W. Estimating Grain Protein Content with Canopy Spectral Reflectance in Rice. Acta Agron. Sin. 2007, 33, 1219–1225. [Google Scholar]
- Pettersson, C.G.; Söderström, M.; Eckersten, H. Canopy reflectance, thermal stress, and apparent soil electrical conductivity as predictors of within-field variability in grain yield and grain protein of malting barley. Precis. Agric. 2006, 7, 343–359. [Google Scholar] [CrossRef]
- Zhang, S.; Feng, M.; Yang, W.; Wang, C.; Sun, H.; Jia, X.; Wu, G. Detection of grain content in winter wheat based on near infrared spectroscopy. Chin. J. Ecol. 2018, 37, 1276–1281. [Google Scholar]
- Zhao, C.; Li, Z.; Yang, G.; Duan, D.; Zhao, Y.; Yang, W. Remote Sensing Prediction of Grain Protein Content in Winter Wheat Based on Gluten Type Correction Coefficient. J. Triticeae Crop. 2020, 1–8. [Google Scholar]
- Cox, M.C.; Qualset, C.O.; Rains, D.W. Genetic Variation for Nitrogen Assimilation and Translocation in Wheat. II. Nitrogen Assimilation in Relation to Grain Yield and Protein. Crop. Sci. 1985, 25, 737–740. [Google Scholar] [CrossRef]
- Liu, D.Y.; Wu, J.X.; Ren, W.J.; Wu, J.X.; Yang, W.Y. Effects of nitrogen strategies on nitrogen uptake, utilization and grain quality of broadcasted rice under no-tillage with high standing-stubbles. Plant. Nutr. Fertil. Sci. 2009, 15, 514–521. [Google Scholar]
- Huang, W.; Wang, J.; Liu, L.; Wang, Z.; Tan, C.; Song, X.; Wang, J. Study on grain quality forecasting method and indicators by using hyperspectral data in wheat. Proc. Spie Int. Soc. Opt. Eng. 2005, 5655, 291–300. [Google Scholar]
- Chen, P.F.; Wang, J.S.; Pan, P.; Xu, Y.Y.; Yao, L. Remote detection of wheat grain protein content using nitrogen nutrition index. Trans. Chin. Soc. Agric. Eng. 2011, 9, 261–265. [Google Scholar]
- Orlando, F.; Marta, A.D.; Mancini, M.; Motha, R.; Qu, J.J.; Orlandini, S. Integration of Remote Sensing and Crop Modeling for the Early Assessment of Durum Wheat Harvest at the Field Scale. Crop. Sci. 2015, 55, 1280. [Google Scholar] [CrossRef]
- Cao, W.; Guo, W.; Wang, L. Physiological Ecology and Optimizing Technology of Wheat Quality; China Agriculture Press: Beijing, China, 2005. [Google Scholar]
- Guasconi, F.; Dalla, M.A.; Grifoni, D.; Mancini, M.; Orlando, F.; Orlandini, S. Influence of climate on durum wheat production and use of remote sensing and weather data to predict quality and quantity of harvests. Ital. J. Agrometeorol. 2011, 16, 21–28. [Google Scholar]
- Orlandini, S.; Mancini, M.; Grifoni, D.; Orlando, F.; Marta, A.D.; Capecchi, V. Integration of meteo-climatic and remote sensing information for the analysis of durum wheat quality in Val d’Orcia (Tuscany, Italy). Q. J. Hung. Meteorol. Serv. 2011, 115, 233–245. [Google Scholar]
- Li, W.G.; Wang, J.H.; Zhao, C.J.; Liu, L.Y.; Song, X.Y.; Tong, Q.X. A model for predicting protein content in winter wheat grain based on Land-Sat TM image and nitrogen accumulation. J. Remote Sens. 2008, 12, 506–514. [Google Scholar]
- Li, Z.; Xu, X.; Jing, X.; Zhang, J.; Song, X.; Song, S.; Yang, G.; Wang, J. Remote sensing prediction of winter wheat protein content based on nitrogen translocation and GRA-PLS method. Sci. Agric. Sin. 2014, 47, 3780–3790. [Google Scholar]
- Li, M.; Observatory, S.M. Study of the Objective Probability Forecast Method for Short-Term Heavy Rain Based on ECMWF Fine-Mesh Model. J. Trop. Meteorol. 2017, 33. [Google Scholar]
- Zhang, H.-L.; Wu, N.-G.; Tian, S.-Y.; Lin, F.-N. Verification and Analysis of Statistics of Rainfall Ensemble Forecast by ECMWF in Guangdong Province. Guangdong Meteorol. 2017, 3–8. [Google Scholar]
- Alpert, P.; Neeman, B.U.; Shay-El, Y. Climatological analysis of Mediterranean cyclones using ECMWF data. Tellus A Dyn. Meteorol. Oceanogr. 1990, 42, 65–77. [Google Scholar] [CrossRef]
- Wang, P. Verification and analysis on the rainstorm forecast performance of ECMWF high resolution numerical model in Guang’ an. Mid-Low Latit. Mt. Meteorol. 2018. [Google Scholar]
- Huang, W.; Song, X.; Lamb, D.W.; Wang, Z.; Niu, Z.; Liu, L.; Wang, J. Estimation of winter wheat grain crude protein content from in situ reflectance and advanced spaceborne thermal emission and reflection radiometer image. J. Appl. Remote Sens. 2008, 2, 1220–1230. [Google Scholar] [CrossRef]
- Li, Z.; James, T.; Hao, Y.; Raffaele, C.; Xiuliang, J.; Zhenhong, L.; Xiaoyu, S.; Guijun, Y. A hierarchical interannual wheat yield and grain protein prediction model using spectral vegetative indices and meteorological data. Field Crop. Res. 2020, 248. [Google Scholar] [CrossRef]
- Pettersson, C.G.; Eckersten, H. Prediction of grain protein in spring malting barley grown in northern Europe. Eur. J. Agron. 2007, 27, 205–214. [Google Scholar] [CrossRef]
- Song, X.; Wang, J.; Huang, W. Winter wheat growth and grain protein uniformity monitoring through remotely sensed data. Proc. Spie Int. Soc. Opt. Eng. 2010, 7824. [Google Scholar]
- Li, C.; Zhang, R.; Guo, W.; Zhu, X.; Peng, Y. Relationship between HMW-GS and GMP Contents with Gluten Content in Wheat for Different End Use. J. Chin. Cereals Oils Assoc. 2009. [Google Scholar]
- Guo, T.; Zhang, X.; Fan, S.; Zhu, Y.; Wang, C.; Ma, D. Effects of different environments on qualitative characters of three gluten wheat cultivars. Chin. J. Appl. Ecol. 2003, 14, 917. [Google Scholar]
- Wilson, A.M.; Silander, J.A.; Gelfand, A.; Glenn, J.H. Scaling up: Linking field data and remote sensing with a hierarchical model. Int. J. Geogr. Inf. Sci. 2011, 25, 509–521. [Google Scholar] [CrossRef]
- Wallach, D. Regional Optimization of Fertilization Using a Hierarchical Linear Model. Biometrics 1995, 51, 338–346. [Google Scholar] [CrossRef]
- Shan, W.; Jin, X.; Meng, X.; Yang, X.; Xu, Z.; Gu, Z.; Zhou, Y. Dynamical monitoring of ecological environment quality of land consolidation based on multi-source remote sensing data. Trans. Chin. Soc. Agric. Eng. 2019, 35, 234–242. [Google Scholar]
- Ma, J.; Zhang, C.; Lu, Y.; Gao, L.; Yun, W.; Zhu, D.; Chen, W.; Wang, H. Monitoring and evaluation of cultivated land quality supported by multi-source remote sensing. China Agric. Inform. 2018, 30, 18–26. [Google Scholar]
- Zhao, J.; Li, J.; Liu, Q.; Fan, W.; Zeng, Y.; Xu, B.; Yin, G. Leaf area index inversion combining with HJ-1/CCD and Landsat 8/OLI data in the middle reach of the Heihe River basin. J. Remote Sens. 2015, 19, 733–749. [Google Scholar]
- Ouyang, L.; Mao, D.; Wang, Z.; Li, H.; Man, W.; Jia, M.; Liu, M.; Zhang, N.; Liu, H. Analysis crops planting structure and yield based on GF-1 and Landsat8 OLI images. Trans. Chin. Soc. Agric. Eng. 2017, 33, 147–156. [Google Scholar]
- Tucker, C.J. Red and photographic infrared linear combinations for monitoring vegetation. Remote Sens. Environ. 1979, 8, 127–150. [Google Scholar] [CrossRef]
- Huete, A.; Didan, K.; Miura, T.; Rodriguez, E.P.; Gao, X.; Ferreira, L.G. Overview of the radiometric and biophysical performance of the MODIS vegetation indices. Remote Sens. Environ. 2002, 83, 195–213. [Google Scholar] [CrossRef]
- Gitelson, A.A.; Merzlyak, M.N. Remote sensing of chlorophyll concentration in higher plant leaves. Adv. Space Res. 1998, 22, 689–692. [Google Scholar] [CrossRef]
- Sripada, R.P.; Heiniger, R.W.; White, J.G.; Meijer, A.D. Aerial color infrared photography for determining early in-season nitrogen requirements in corn. Agron. J. 2006, 98, 968–977. [Google Scholar] [CrossRef]
- Crippen, R.E. Calculating the vegetation index faster. Remote Sens. Environ. 1990, 34, 71–73. [Google Scholar] [CrossRef]
- Chen, J.M. Evaluation of vegetation indices and a modified simple ratio for boreal applications. Can. J. Remote Sens. 1996, 22, 229–242. [Google Scholar] [CrossRef]
- Rouse, J.W.; Haas, R.H.; Schell, J.A.; Deering, D.W. Monitoring vegetation systems in the Great Plains with ERTS. NASA Spec. Publ. 1974, 351, 309. [Google Scholar]
- Rondeaux, G.; Steven, M.; Baret, F. Optimization of soil-adjusted vegetation indices. Remote Sens. Environ. 1996, 55, 95–107. [Google Scholar] [CrossRef]
- Huete, A.R. A soil-adjusted vegetation index (SAVI). Remote Sens. Environ. 1988, 25, 295–309. [Google Scholar] [CrossRef]
- Gitelson, A.A.; Stark, R.; Grits, U.; Rundquist, D.; Kaufman, Y.; Derry, D. Vegetation and soil lines in visible spectral space: A concept and technique for remote estimation of vegetation fraction. Int. J. Remote Sens. 2002, 23, 2537–2562. [Google Scholar] [CrossRef]
- Lin, T.J.; Wu, W.; Yu, W.X.; Wang, J. Citizen’s Satisfaction with Public Education Service in China: A Quantitative Analysis via Hierarchical Linear Model. Fudan Educ. Forum 2011, 9, 54–58. [Google Scholar]
- Qiao, R.-L.; Chen, L.-H. Impact of “Replacement of Business Tax by VAT” on Cash-cash Flow Sensitivities- The Test Based on Hierarchical Linear Model. East. China Econ. Manag. 2016, 30, 163–169. [Google Scholar]
- Marshall, M.; Thenkabail, P. Developing in situ non-destructive estimates of crop biomass to address issues of scale in remote sensing. Remote Sens. 2015, 7, 808–835. [Google Scholar] [CrossRef]
- Ahmad, A. Classification Simulation of RazakSAT Satellite. Procedia Eng. 2013, 53, 472–482. [Google Scholar] [CrossRef][Green Version]
- Li, Z.; Guo, X. Non-photosynthetic vegetation biomass estimation in semiarid Canadian mixed grasslands using ground hyperspectral data, Landsat 8 OLI, and Sentinel-2 images. Int. J. Remote Sens. 2018, 1–21. [Google Scholar] [CrossRef]
- Wang, J.; Huang, W.; Zhao, C.; Yang, M.; Wang, Z. The Inversion of Leaf Biochemical Components and Grain Quality Indicators of Winter Wheat with Spectral Reflectance. J. Remote Sens. 2003, 7. [Google Scholar]
- Song, X.; Wang, J.; Yang, G.; Cui, B.; Chang, H. Winter Wheat GPC Estimation Based on Leaf and Canopy Chlorophyll Parameters. Spectrosc. Spectr. Anal. 2014, 34. [Google Scholar]
- Tian, Y.; Zhu, Y.; Cao, W.; Fan, X.; Liu, X. Monitoring Protein and Starch Accumulation in Wheat Grains with Leaf SPAD and Canopy Spectral Reflectance. Agric. Sci. China 2003, 2, 1205–1211. [Google Scholar]
- Cao, G.C.; Wang, S.Z. Wheat Ecology of Quality; China Science and Technology Press: Beijing, China, 1994. [Google Scholar]
- Feng, W.; Yao, X.; Tian, Y.; Zhu, Y.; Liu, X.; Cao, W. Predicting grain protein content with canopy hyperspectral remote sensing in wheat. Acta Agron. Sin. 2007, 33, 1935–1942. [Google Scholar]










| Exp. | Antithesis | Site | Image | Cultivar | Application | Sample |
|---|---|---|---|---|---|---|
| Exp.1 | 2014.05.05 | Xiaotangshan | RapidEye | J9843 1 | Modeling | 16 |
| ZM175 2 | ||||||
| Exp.2 | 2015.05.18 | Xiaotangshan | Landsat-8 | — 1 | Modeling | 26 |
| Exp.3 | 2017.05.16 | Xiaotangshan | RapidEye | LX167 1 | Modeling | 24 |
| JD18 2 | ||||||
| Exp.4 | 2018.05.08 | Xiaotangshan | RapidEye | LX167 1 | Modeling | 31 |
| JD18 2 | ||||||
| Exp.5 | 2018.05.08 | Xiaotangshan | Sentinel-2 | unknown 1 | Validation | 10 |
| Exp.6 | 2019.05.13 | Xiaotangshan | Sentinel-2 | unknown 2 | Validation | 15 |
| Exp.7 | 2018.05.08 | Beijing | Sentinel-2 | unknown 2 | Validation | 9 |
| Exp.8 | 2018.05.08 | Jinzhou | Sentinel-2 | unknown 2 | Modeling | 6 |
| Exp.9 | 2018.05.08 | Quzhou | Sentinel-2 | unknown 2 | Modeling | 6 |
| Exp.10 | 2018.05.08 | Renqiu | Sentinel-2 | unknown 2 | Validation | 10 |
| Name | Track Height (km) | Revisit Cycle (d) | Sensor | Band Number | Band Range (μm) | Spatial Resolution (m) |
|---|---|---|---|---|---|---|
| S2 | 786 | 5 | Multispectral Imager (MSI) | 13 | 0.4~2.4 | 10 (4 bands) 20 (6 bands) 60 (3 bands) |
| LS8 | 705 | 16 | Operational Land Imager (OLI) | 9 | 0.4~1.4 | 30 (Multispectral) 15 (Panchromatic) |
| Thermal Infrared Sensor (TIRS) | 2 | 10.6~12.5 | 100 | |||
| RE | 630 | 1 | Push-broom Multispectral Imager | 5 | 0.4~0.9 | 5 |
| VI | Full Name | Formulation | Reference |
|---|---|---|---|
| DVI | Difference VI | [39] | |
| EVI | Enhanced VI | [40] | |
| GNDVI | Green normalized difference VI | [41] | |
| GRVI | Green ratio VI | [42] | |
| IPVI | Infrared percentage VI | [43] | |
| MSR | Modified simple ratio | [44] | |
| NDVI | Normalized difference VI | [45] | |
| OSAVI | Optimized soil adjusted VI | [46] | |
| SAVI | Soil adjusted VI | [47] | |
| VARI | Visible atmospherically resistant index | [48] |
| VI | GPC | VI | GPC |
|---|---|---|---|
| DVI | 0.46 ** | MSR | 0.42 ** |
| EVI | 0.48 ** | NDVI | 0.43 ** |
| GNDVI | 0.40 ** | OSAVI | 0.44 ** |
| GRVI | 0.40 ** | SAVI | 0.41 ** |
| IPVI | 0.43 ** | VARI | 0.39 ** |
| Fixed Effect | γp0 | γp1 | γp2 | γp3 |
|---|---|---|---|---|
| For intercept (β0j) | 165.022 | 0.092 | −0.223 | −0.224 |
| For Glu (β1j) | −45.730 | −0.043 | 0.074 | 0.067 |
| For VI (β2j) | −128.380 | −0.007 | 0.157 | 0.220 |
| Gluten | Weak Gluten | Medium Gluten | Strong Gluten of 2nd Grade | Strong Gluten of 1nd Grade |
|---|---|---|---|---|
| 2018Beijing | 0.71% | 46.35% | 34.47% | 18.47% |
| 2018Xiaotangshan | 0% | 3.40% | 19.48% | 77.12% |
| 2019Xiaotangshan | 0.72% | 12.60% | 25.20% | 61.48% |
| 2018Renqiu | 0% | 19.62% | 72.56% | 7.83% |
| Weak Gluten M | Medium Gluten M | Strong Gluten M | |
|---|---|---|---|
| Weak Gluten E | 2 | 1 | 0 |
| Medium Gluten E | 11 | 24 | 8 |
| Strong Gluten E | 2 | 16 | 89 |
© 2020 by the authors. Licensee MDPI, Basel, Switzerland. This article is an open access article distributed under the terms and conditions of the Creative Commons Attribution (CC BY) license (http://creativecommons.org/licenses/by/4.0/).
Share and Cite
Xu, X.; Teng, C.; Zhao, Y.; Du, Y.; Zhao, C.; Yang, G.; Jin, X.; Song, X.; Gu, X.; Casa, R.; et al. Prediction of Wheat Grain Protein by Coupling Multisource Remote Sensing Imagery and ECMWF Data. Remote Sens. 2020, 12, 1349. https://doi.org/10.3390/rs12081349
Xu X, Teng C, Zhao Y, Du Y, Zhao C, Yang G, Jin X, Song X, Gu X, Casa R, et al. Prediction of Wheat Grain Protein by Coupling Multisource Remote Sensing Imagery and ECMWF Data. Remote Sensing. 2020; 12(8):1349. https://doi.org/10.3390/rs12081349
Chicago/Turabian StyleXu, Xiaobin, Cong Teng, Yu Zhao, Ying Du, Chunqi Zhao, Guijun Yang, Xiuliang Jin, Xiaoyu Song, Xiaohe Gu, Raffaele Casa, and et al. 2020. "Prediction of Wheat Grain Protein by Coupling Multisource Remote Sensing Imagery and ECMWF Data" Remote Sensing 12, no. 8: 1349. https://doi.org/10.3390/rs12081349
APA StyleXu, X., Teng, C., Zhao, Y., Du, Y., Zhao, C., Yang, G., Jin, X., Song, X., Gu, X., Casa, R., Chen, L., & Li, Z. (2020). Prediction of Wheat Grain Protein by Coupling Multisource Remote Sensing Imagery and ECMWF Data. Remote Sensing, 12(8), 1349. https://doi.org/10.3390/rs12081349

