Regional Dependence of Atmospheric Responses to Oceanic Eddies in the North Pacific Ocean
Abstract
1. Introduction
2. Data and Methods
2.1. SSHA
2.2. AMSR-E
2.3. J-OFURO3
2.4. CFSR
2.5. Eddy Detection Scheme
- Along an east–west (E–W) section, the v′ component of velocity changes sign across the eddy center, and its magnitude increases away from the center.
- Along a north–south (N–S) section, the u′ component of velocity changes sign across the eddy center, and its magnitude increases away from the center. In addition, the u′ or v′ component should rotate in the same direction.
- The minimum velocity, which is defined at the eddy center in a region which extends up to a specific grid point.
- The directions must change with an invariable rotation direction of two neighboring velocity vectors around the eddy center, and be located within the same or two adjacent quadrants.
2.6. Method of Matching Atmospheric Variables with Oceanic Eddies
3. Results
3.1. Statistics of Eddy Characteristics
3.2. Atmospheric Responses to Eddies
3.2.1. Wind Speed
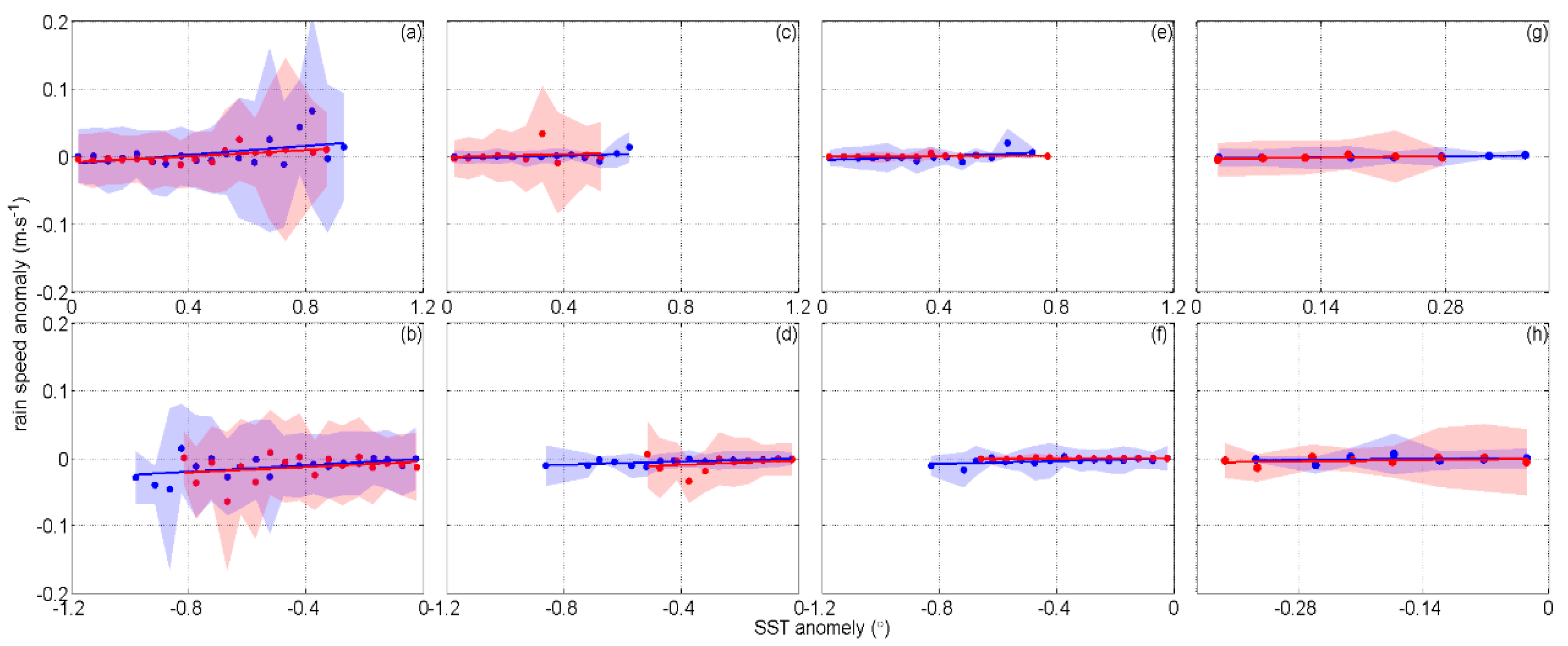
3.2.2. Precipitation
3.2.3. Heat Flux
4. Possible Mechanisms for Atmospheric Response and Regional Dependence
5. Conclusions and Discussion
Author Contributions
Funding
Acknowledgments
Conflicts of Interest
References
- Chelton, D.B.; Schlax, M.G.; Samelson, R.M. Global observations of nonlinear mesoscale eddies. Prog. Oceanogr. 2011, 91, 167–216. [Google Scholar] [CrossRef]
- Chelton, D. Ocean–atmosphere coupling: Mesoscale eddy effects. Nat. Geosci. 2013, 6, 594. [Google Scholar] [CrossRef]
- Zhang, Z.; Zhong, Y.; Tian, J.; Yang, Q.; Zhao, W. Estimation of eddy heat transport in the global ocean from Argo data. Acta Oceanol. Sin. 2014, 33, 42–47. [Google Scholar] [CrossRef]
- Faghmous, J.H.; Frenger, I.; Yao, Y.; Warmka, R.; Lindell, A.; Kumar, V. A daily global mesoscale ocean eddy dataset from satellite altimetry. Sci. Data 2015, 2, 150028. [Google Scholar] [CrossRef] [PubMed]
- Luecke, C.A.; Arbic, B.K.; Bassette, S.L.; Richman, J.G.; Shriver, J.F.; Alford, M.H.; Smedstad, O.M.; Timko, P.G.; Trossman, D.S.; Wallcraft, A.J. The global mesoscale eddy available potential energy field in models and observations. J. Geophys. Res. Ocean. 2017, 122, 9126–9143. [Google Scholar] [CrossRef]
- Chen, G.; Han, G. Contrasting Short-Lived With Long-Lived Mesoscale Eddies in the Global Ocean. J. Geophys. Res. Ocean. 2019, 124, 3149–3167. [Google Scholar] [CrossRef]
- Roemmich, D.; Gilson, J. Eddy transport of heat and thermocline waters in the North Pacific: A key to interannual/decadal climate variability? J. Phys. Oceanogr. 2001, 31, 675–687. [Google Scholar] [CrossRef]
- Chelton, D.B.; Schlax, M.G.; Samelson, R.M.; de Szoeke, R.A. Global observations of large oceanic eddies. Geophys. Res. Lett. 2007, 34, L15606. [Google Scholar] [CrossRef]
- Chelton, D.B.; Xie, S.P. Coupled ocean-atmosphere interaction at oceanic mesoscales. Oceanography 2010, 23, 52–69. [Google Scholar] [CrossRef]
- Volkov, D.L.; Lee, T.; Fu, L.L. Eddy-induced meridional heat transport in the ocean. Geophys. Res. Lett. 2008, 35, L20601. [Google Scholar] [CrossRef]
- Wang, X.; Li, W.; Qi, Y.; Han, G. Heat, salt and volume transports by eddies in the vicinity of the Luzon Strait. Deep Sea Res. Part I Oceanogr. Res. Papers 2012, 61, 21–33. [Google Scholar] [CrossRef]
- Bishop, S.P.; Watts, D.R.; Donohue, K.A. Divergent eddy heat fluxes in the Kuroshio extension at 144–148 E. Part I: Mean structure. J. Phys. Oceanogr. 2013, 43, 1533–1550. [Google Scholar] [CrossRef]
- Dong, C.; McWilliams, J.C.; Liu, Y.; Chen, D. Global heat and salt transports by eddy movement. Nat. Commun. 2014, 5, 3294. [Google Scholar] [CrossRef] [PubMed]
- Zhang, Z.; Wang, W.; Qiu, B. Oceanic mass transport by mesoscale eddies. Science 2014, 345, 322–324. [Google Scholar] [CrossRef] [PubMed]
- Griffies, S.M.; Winton, M.; Anderson, W.G.; Benson, R.; Delworth, T.L.; Dufour, C.O.; Dunne, J.P.; Goddard, P.; Morrison, A.K.; Rosati, A.; et al. Impacts on ocean heat from transient mesoscale eddies in a hierarchy of climate models. J. Clim. 2015, 28, 952–977. [Google Scholar] [CrossRef]
- Guo, M.; Xiu, P.; Li, S.; Chai, F.; Xue, H.; Zhou, K.; Dai, M. Seasonal variability and mechanisms regulating chlorophyll distribution in mesoscale eddies in the South China Sea. J. Geophys. Res. Ocean. 2017, 122, 5329–5347. [Google Scholar] [CrossRef]
- Doddridge, E.W.; Marshall, D.P. Implications of Eddy Cancellation for Nutrient Distribution within Subtropical Gyres. J. Geophys. Res. Ocean. 2018, 123, 6720–6735. [Google Scholar] [CrossRef]
- Huang, J.; Xu, F. Observational Evidence of Subsurface Chlorophyll Response to Mesoscale Eddies in the North Pacific. Geophys. Res. Lett. 2018, 45, 8462–8470. [Google Scholar] [CrossRef]
- Harrison, C.S.; Long, M.C.; Lovenduski, N.S.; Moore, J.K. Mesoscale effects on carbon export: A global perspective. Glob. Biogeochem. Cycles 2018, 32, 680–703. [Google Scholar] [CrossRef]
- Sun, B.; Liu, C.; Wang, F. Global meridional eddy heat transport inferred from Argo and altimetry observations. Sci. Rep. 2019, 9, 1345. [Google Scholar] [CrossRef]
- Minobe, S.; Kuwano-Yoshida, A.; Komori, N.; Xie, S.P.; Small, R.J. Influence of the Gulf Stream on the troposphere. Nature 2008, 452, 206. [Google Scholar] [CrossRef] [PubMed]
- Shimada, T.; Minobe, S. Global analysis of the pressure adjustment mechanism over sea surface temperature fronts using AIRS/Aqua data. Geophys. Res. Lett. 2011, 38, L06704. [Google Scholar] [CrossRef]
- Byrne, D.; Münnich, M.; Frenger, I.; Gruber, N. Mesoscale atmosphere ocean coupling enhances the transfer of wind energy into the ocean. Nat. Commun. 2016, 7, 11867. [Google Scholar] [CrossRef] [PubMed]
- Ma, J.; Xu, H.; Dong, C.; Lin, P.; Liu, Y. Atmospheric responses to oceanic eddies in the Kuroshio Extension region. J. Geophys. Res. Atmos. 2015, 120, 6313–6330. [Google Scholar] [CrossRef]
- Bishop, S.P.; Small, R.J.; Bryan, F.O.; Tomas, R.A. Scale dependence of midlatitude air-sea interaction. J. Clim. 2017, 30, 8207–8221. [Google Scholar] [CrossRef]
- Bryan, F.O.; Tomas, R.; Dennis, J.M.; Chelton, D.B.; Loeb, N.G.; McClean, J.L. Frontal scale air-sea interaction in high-resolution coupled climate models. J. Clim. 2010, 23, 6277–6291. [Google Scholar] [CrossRef]
- Byrne, D.; Papritz, L.; Frenger, I.; Münnich, M.; Gruber, N. Atmospheric response to mesoscale sea surface temperature anomalies: Assessment of mechanisms and coupling strength in a high-resolution coupled model over the South Atlantic. J. Atmos. Sci. 2015, 72, 1872–1890. [Google Scholar] [CrossRef]
- Frenger, I.; Gruber, N.; Knutti, R.; Münnich, M. Imprint of Southern Ocean eddies on winds, clouds and rainfall. Nat. Geosci. 2013, 6, 608. [Google Scholar] [CrossRef]
- Nonaka, M.; Xie, S.P. Covariations of sea surface temperature and wind over the Kuroshio and its extension: Evidence for ocean-to-atmosphere feedback. J. Clim. 2003, 16, 1404–1413. [Google Scholar] [CrossRef]
- Small, R.D.; deSzoeke, S.P.; Xie, S.P.; O’neill, L.; Seo, H.; Song, Q.; Cornillon, P.; Spall, M.; Minobe, S. Air–sea interaction over ocean fronts and eddies. Dyn. Atmos. Ocean. 2008, 45, 274–319. [Google Scholar] [CrossRef]
- Tokinaga, H.; Tanimoto, Y.; Nonaka, M.; Taguchi, B.; Fukamachi, T.; Xie, S.P.; Nakamura, H.; Watanabe, T.; Yasuda, I. Atmospheric sounding over the winter Kuroshio Extension: Effect of surface stability on atmospheric boundary layer structure. Geophys. Res. Lett. 2006, 33, L04703. [Google Scholar] [CrossRef]
- Sweet, W.; Fett, R.; Kerling, J.; La Violette, P. Air-sea interaction effects in the lower troposphere across the north wall of the Gulf Stream. Mon. Weather Rev. 1981, 109, 1042–1052. [Google Scholar] [CrossRef]
- Wallace, J.M.; Mitchell, T.P.; Deser, C. The influence of sea-surface temperature on surface wind in the eastern equatorial Pacific: Seasonal and interannual variability. J. Clim. 1989, 2, 1492–1499. [Google Scholar] [CrossRef]
- Lindzen, R.S.; Nigam, S. On the role of sea surface temperature gradients in forcing low-level winds and convergence in the tropics. J. Atmos. Sci. 1987, 44, 2418–2436. [Google Scholar] [CrossRef]
- Kilpatrick, T.; Schneider, N.; Qiu, B. Atmospheric response to a midlatitude SST front: Alongfront winds. J. Atmos. Sci. 2016, 73, 3489–3509. [Google Scholar] [CrossRef]
- O’Neill, L.W.; Chelton, D.B.; Esbensen, S.K. Observations of SST-induced perturbations of the wind stress field over the Southern Ocean on seasonal timescales. J. Clim. 2003, 16, 2340–2354. [Google Scholar] [CrossRef]
- Tanimoto, Y.; Xie, S.P.; Kai, K.; Okajima, H.; Tokinaga, H.; Murayama, T.; Nakamura, H. Observations of marine atmospheric boundary layer transitions across the summer Kuroshio Extension. J. Clim. 2009, 22, 1360–1374. [Google Scholar] [CrossRef]
- Shibata, A.; Imaoka, K.; Koike, T. AMSR/AMSR-E level 2 and 3 algorithm developments and data validation plans of NASDA. IEEE Trans. Geosci. Remote Sens. 2003, 41, 195–203. [Google Scholar] [CrossRef]
- Kubota, M.; Tomita, H. Present state of the J-OFURO air–sea interaction data product. Flux News 2007, 4, 13–15. [Google Scholar]
- Nencioli, F.; Dong, C.; Dickey, T.; Washburn, L.; McWilliams, J.C. A vector geometry–based eddy detection algorithm and its application to a high-resolution numerical model product and high-frequency radar surface velocities in the Southern California Bight. J. Atmos. Ocean. Technol. 2010, 27, 564–579. [Google Scholar] [CrossRef]
- Dong, C.; Lin, X.; Liu, Y.; Nencioli, F.; Chao, Y.; Guan, Y.; Chen, D.; Dickey, T.; McWilliams, J.C. Three-dimensional oceanic eddy analysis in the Southern California Bight from a numerical product. J. Geophys. Res. Ocean. 2012, 117, C00H14. [Google Scholar] [CrossRef]
- Ji, J.; Dong, C.; Zhang, B.; Liu, Y.; Zou, B.; King, G.P.; Xu, G.; Chen, D. Oceanic eddy characteristics and generation mechanisms in the Kuroshio Extension region. J. Geophys. Res. Ocean. 2018, 123, 8548–8567. [Google Scholar] [CrossRef]
- Liu, Y.; Dong, C.; Guan, Y.; Chen, D.; McWilliams, J.; Nencioli, F. Eddy analysis in the subtropical zonal band of the North Pacific Ocean. Deep Sea Res. Part I Oceanogr. Res. Pap. 2012, 68, 54–67. [Google Scholar] [CrossRef]
- Qiu, B.; Chen, S. Concurrent decadal mesoscale eddy modulations in the western North Pacific subtropical gyre. J. Phys. Oceanogr. 2013, 43, 344–358. [Google Scholar] [CrossRef]
- Fu, L.L.; Chelton, D.B.; Le Traon, P.Y.; Morrow, R. Eddy dynamics from satellite altimetry. Oceanography 2010, 23, 14–25. [Google Scholar] [CrossRef]
- Chelton, D.B.; DeSzoeke, R.A.; Schlax, M.G.; El Naggar, K.; Siwertz, N. Geographical variability of the first baroclinic Rossby radius of deformation. J. Phys. Oceanogr. 1998, 28, 433–460. [Google Scholar] [CrossRef]
- Chen, L.; Jia, Y.; Liu, Q. Oceanic eddy-driven atmospheric secondary circulation in the winter Kuroshio Extension region. J. Oceanogr. 2017, 73, 295–307. [Google Scholar] [CrossRef]
- Chelton, D.B.; Schlax, M.G.; Samelson, R.M. Summertime coupling between sea surface temperature and wind stress in the California Current System. J. Phys. Oceanogr. 2007, 37, 495–517. [Google Scholar] [CrossRef]
- Sun, S.; Fang, Y.; Zu, Y.; Liu, B.; Samah, A.A. Seasonal Characteristics of Mesoscale Coupling between the Sea Surface Temperature and Wind Speed in the South China Sea. J. Clim. 2020, 33, 625–638. [Google Scholar] [CrossRef]
- Wang, B.; Wu, R.; Lau, K.M. Interannual variability of the Asian summer monsoon: Contrasts between the Indian and the western North Pacific–East Asian monsoons. J. Clim. 2001, 14, 4073–4090. [Google Scholar] [CrossRef]
- Hawcroft, M.K.; Shaffrey, L.C.; Hodges, K.I.; Dacre, H.F. How much Northern Hemisphere precipitation is associated with extratropical cyclones? Geophys. Res. Lett. 2012, 39, L24809. [Google Scholar] [CrossRef]
- Seager, R.; Osborn, T.J.; Kushnir, Y.; Simpson, I.R.; Nakamura, J.; Liu, H. Climate variability and change of Mediterranean-type climates. J. Clim. 2019, 32, 2887–2915. [Google Scholar] [CrossRef]















| Subdomain | KE Cyclone/Anticyclone | SF Cyclone/Anticyclone | CC Cyclone/Anticyclone | AI Cyclone/Anticyclone | |
|---|---|---|---|---|---|
| Variables | |||||
| Sensible heat flux Winter (Summer) Unit: W·m−2 | 12.6 (3.2)/−14.8 (−4.4) | 2.9 (1.1)/−3.7 (−1.7) | 2.6 (2.0)/−3.6 (−1.9) | 2.1 (0.5)/−3.2 (−0.6) | |
| Latent heat flux Winter (Summer) Unit: W·m−2 | 19.6 (6.9)/−24.5 (−9.9) | 9.3 (5.1)/−12.1(−7.4) | 6.9 (4.1)/−7.8 (−4.5) | 2.1 (0.5)/−2.3 (−0.6) | |
| Subdomain | KE Cyclone/Anticyclone | SF Cyclone/Anticyclone | CC Cyclone/Anticyclone | AI Cyclone/Anticyclone | |
|---|---|---|---|---|---|
| Variables | |||||
| Wind speed Winter (Summer) Unit: m s−1·°C−1 | 0.461 (0.291)/0.407 (0.284) | 0.246 (0.168)/0.234 (0.166) | 0.285 (0.241)/0.267 (0.201) | 0.211 (0.137)/0.2 (0.116) | |
| precipitation rate Winter (Summer) Unit: mm h−1·°C−1 | 2.27 × 10−2 (1.52 × 10−2)/2.22 × 10−2 (1.37 ×10−2) | 1.09 × 10−2 (1.35 × 10−2)/0.73 × 10−2 (0.94 × 10−2) | 1.15 × 10−2 (0.23 × 10−2)/0.93 × 10−2 (0.2 × 10−2) | 1.37 × 10−2 (1.12 × 10−2)/1.17 × 10−2 (0.81 × 10−2) | |
© 2020 by the authors. Licensee MDPI, Basel, Switzerland. This article is an open access article distributed under the terms and conditions of the Creative Commons Attribution (CC BY) license (http://creativecommons.org/licenses/by/4.0/).
Share and Cite
Ji, J.; Ma, J.; Dong, C.; Chiang, J.C.H.; Chen, D. Regional Dependence of Atmospheric Responses to Oceanic Eddies in the North Pacific Ocean. Remote Sens. 2020, 12, 1161. https://doi.org/10.3390/rs12071161
Ji J, Ma J, Dong C, Chiang JCH, Chen D. Regional Dependence of Atmospheric Responses to Oceanic Eddies in the North Pacific Ocean. Remote Sensing. 2020; 12(7):1161. https://doi.org/10.3390/rs12071161
Chicago/Turabian StyleJi, Jinlin, Jing Ma, Changming Dong, John C. H. Chiang, and Dake Chen. 2020. "Regional Dependence of Atmospheric Responses to Oceanic Eddies in the North Pacific Ocean" Remote Sensing 12, no. 7: 1161. https://doi.org/10.3390/rs12071161
APA StyleJi, J., Ma, J., Dong, C., Chiang, J. C. H., & Chen, D. (2020). Regional Dependence of Atmospheric Responses to Oceanic Eddies in the North Pacific Ocean. Remote Sensing, 12(7), 1161. https://doi.org/10.3390/rs12071161
