Climatology Perspective of Sensitive Regimes and Active Regions of Aerosol Indirect Effect for Cirrus Clouds over the Global Oceans
Abstract
1. Introduction
2. Data
2.1. Satellite Data
2.2. Reanalysis Data
2.3. Aerosol Model Data
3. Methodology of Analysis
4. AIE Sensitive Regimes
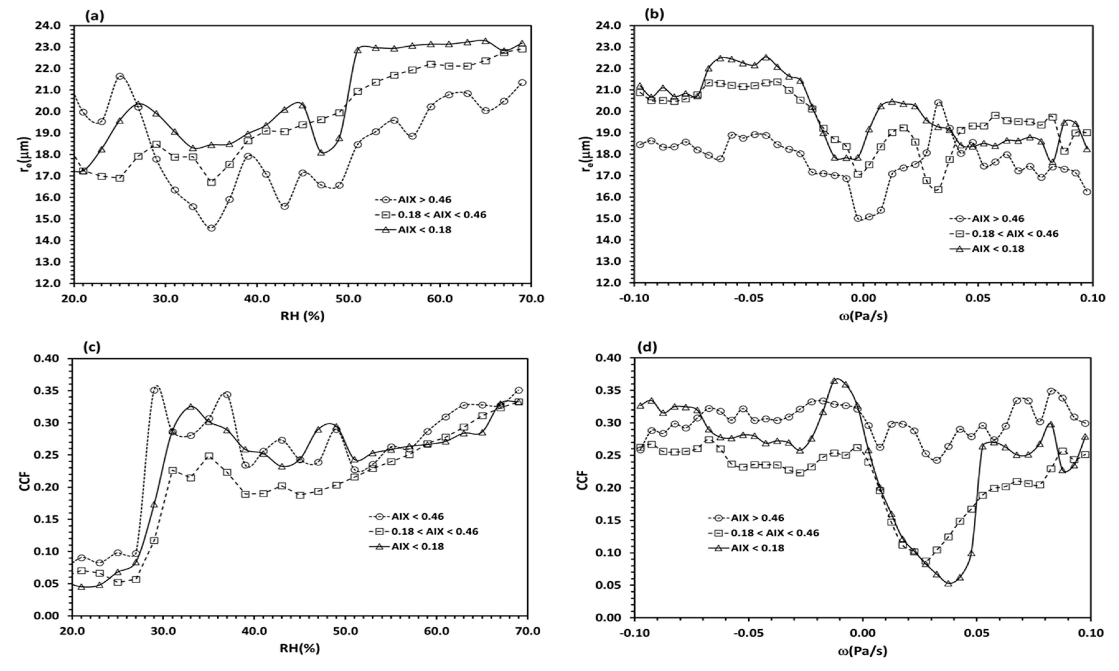
4.1. Statistical Relationships
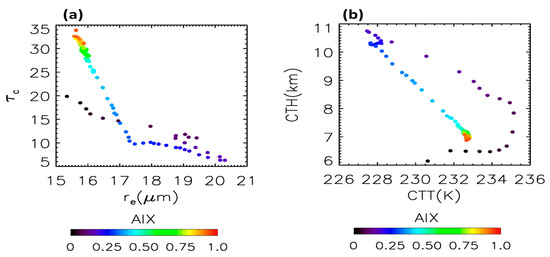
4.2. Physical Interpretations
4.3. Further Deliberation
5. AIE Active Regions
5.1. Active Regions of Aerosol Albedo Effect
5.2. Active Regions of Aerosol Lifetime Effect
6. Discussions
7. Summary and Conclusions
Author Contributions
Funding
Acknowledgments
Conflicts of Interest
Acronyms
| AIE | aerosol indirect effect |
| AIX | aerosol index |
| AOD | aerosol optical depth |
| AOT | aerosol optical thickness |
| APM | aerosol particle microphysics |
| AVHRR | Advanced Very High-Resolution Radiometer |
| CCF | cloud cover fraction |
| CCN | cloud condensation nuclei |
| CDR(s) | climate data record(s) |
| CFSR | climate forecast system reanalysis |
| COD | cloud optical depth |
| CPER | cloud particle effective radius |
| CTH | cloud top height |
| CTT | cloud top temperature |
| DEAD | mineral dust entrainment and deposition |
| GAC | global area coverage |
| GEOS | Goddard Earth Observing System |
| GMAO | Global Modeling Assimilation Office |
| IN | ice nuclei |
| IWP | ice water path |
| NASA | National Aeronautics and Space Administration |
| MODIS | Moderate-resolution Imaging Spectroradiometer |
| NCEI | National Centers for Environmental Information |
| NCEP | National Centers for Environmental Prediction |
| NESDIS | National Environmental Satellite, Data, and Information Service |
| NOAA | National Oceanic and Atmospheric Administration |
| PATMOS-x | Pathfinder Atmospheres-Extended |
| RH | relative humidity |
| SH | south hemisphere |
| STAR | Center for Satellite Applications and Research |
References
- Cziczo, D.J.; Froyd, K.D.; Hoose, C.; Jensen, E.J.; Diao, M.H.; Zondlo, M.A.; Smith, J.B.; Twohy, C.H.; Murphy, D.M. Clarifying the dominant sources and mechanisms of cirrus cloud formation. Science 2013, 340, 1320–1324. [Google Scholar] [CrossRef]
- Lohmann, U. Possible aerosol effects on ice clouds via contact nucleation. J. Atmos. Sci. 2002, 59, 647–656. [Google Scholar] [CrossRef]
- Lohmann, U.; Feichter, J. Global indirect aerosol effects: A review. Atmos. Chem. Phys. 2005, 5, 715–737. [Google Scholar] [CrossRef]
- Sassen, K.; Khvorostyanov, V.I. Cloud effects from boreal forest fire smoke: Evidence for ice nucleation from polarization lidar data and cloud model simulations. Environ. Res. Lett. 2008, 3. [Google Scholar] [CrossRef]
- Penner, J.E.; Chen, Y.; Wang, M.; Liu, X. Possible influence of anthropogenic aerosols on cirrus clouds and anthropogenic forcing. Atmos. Chem. Phys. 2009, 9, 879–896. [Google Scholar] [CrossRef]
- Rosenfeld, D. Suppression of rain and snow by urban and industrial air pollution. Science 2000, 287, 1793–1796. [Google Scholar] [CrossRef]
- Li, Z.Q.; Rosenfeld, D.; Fan, J.W. Aerosols and their impact on radiation, clouds, precipitation, and severe weather events. In Oxford Research Encyclopedia of Environmental Science; Oxford University Press: New York, NY, USA, 2017; pp. 1–36. [Google Scholar]
- Ramanathan, V.; Crutzen, P.J.; Kiehl, J.T.; Rosenfeld, D. Atmosphere - aerosols, climate, and the hydrological cycle. Science 2001, 294, 2119–2124. [Google Scholar] [CrossRef]
- Rosenfeld, D.; Lohmann, U.; Raga, G.B.; O’Dowd, C.D.; Kulmala, M.; Fuzzi, S.; Reissell, A.; Andreae, M.O. Flood or drought: How do aerosols affect precipitation? Science 2008, 321, 1309–1313. [Google Scholar] [CrossRef]
- Seinfeld, J.H.; Bretherton, C.; Carslaw, K.S.; Coe, H.; DeMott, P.J.; Dunlea, E.J.; Feingold, G.; Ghan, S.; Guenther, A.B.; Kahn, R.; et al. Improving our fundamental understanding of the role of aerosol-cloud interactions in the climate system. P. Natl. Acad. Sci. USA 2016, 113, 5781–5790. [Google Scholar] [CrossRef]
- Coakley, J.A.; Bernstein, R.L.; Durkee, P.A. Effect of ship-stack effluents on cloud reflectivity. Science 1987, 237, 1020–1022. [Google Scholar] [CrossRef]
- Breon, F.M.; Tanre, D.; Generoso, S. Aerosol effect on cloud droplet size monitored from satellite. Science 2002, 295, 834–838. [Google Scholar] [CrossRef] [PubMed]
- Rosenfeld, D.; Woodley, W. Pollution and clouds. Phys. World 2001, 14, 33–37. [Google Scholar] [CrossRef]
- Nakajima, T.; Higurashi, A.; Kawamoto, K.; Penner, J.E. A possible correlation between satellite-derived cloud and aerosol microphysical parameters. Geophys. Res. Lett. 2001, 28, 1171–1174. [Google Scholar] [CrossRef]
- Huang, J.P.; Minnis, P.; Lin, B.; Wang, T.H.; Yi, Y.H.; Hu, Y.X.; Sun-Mack, S.; Ayers, K. Possible influences of asian dust aerosols on cloud properties and radiative forcing observed from modis and ceres. Geophys. Res. Lett. 2006, 33. [Google Scholar] [CrossRef]
- Jiang, J.H.; Su, H.; Zhai, C.; Massie, S.T.; Schoeberl, M.R.; Colarco, P.R.; Platnick, S.; Gu, Y.; Liou, K.N. Influence of convection and aerosol pollution on ice cloud particle effective radius. Atmos. Chem. Phys. 2011, 11, 457–463. [Google Scholar] [CrossRef]
- Zhao, B.; Liou, K.N.; Gu, Y.; Jiang, J.H.; Li, Q.B.; Fu, R.; Huang, L.; Liu, X.H.; Shi, X.J.; Su, H.; et al. Impact of aerosols on ice crystal size. Atmos. Chem. Phys. 2018, 18, 1065–1078. [Google Scholar] [CrossRef]
- Sekiguchi, M.; Nakajima, T.; Suzuki, K.; Kawamoto, K.; Higurashi, A.; Rosenfeld, D.; Sano, I.; Mukai, S. A study of the direct and indirect effects of aerosols using global satellite data sets of aerosol and cloud parameters. J. Geophys. Res-Atmos. 2003, 108. [Google Scholar] [CrossRef]
- Zhao, X.P.; Liu, Y.G.; Yu, F.Q.; Heidinger, A.K. Using long-term satellite observations to identify sensitive regimes and active regions of aerosol indirect effects for liquid clouds over global oceans. J. Geophys. Res-Atmos. 2018, 123, 457–472. [Google Scholar] [CrossRef]
- Chylek, P.; Dubey, M.K.; Lohmann, U.; Ramanathan, V.; Kaufman, Y.J.; Lesins, G.; Hudson, J.; Altmann, G.; Olsen, S. Aerosol indirect effect over the indian ocean. Geophys. Res. Lett. 2006, 33. [Google Scholar] [CrossRef]
- Twomey, S. Pollution and planetary albedo. Atmos. Environ. 1974, 8, 1251–1256. [Google Scholar] [CrossRef]
- Albrecht, B.A. Aerosols, cloud microphysics, and fractional cloudiness. Science 1989, 245, 1227–1230. [Google Scholar] [CrossRef] [PubMed]
- Givati, A.; Rosenfeld, D. Separation between cloud-seeding and air-pollution effects. J. Appl. Meteorol. 2005, 44, 1298–1314. [Google Scholar] [CrossRef]
- Jensen, E.J.; Toon, O.B. The potential impact of soot particles from aircraft exhaust on cirrus clouds. Geophys. Res. Lett. 1997, 24, 249–252. [Google Scholar] [CrossRef]
- Karcher, B.; Mohler, O.; DeMott, P.J.; Pechtl, S.; Yu, F. Insights into the role of soot aerosols in cirrus cloud formation. Atmos. Chem. Phys. 2007, 7, 4203–4227. [Google Scholar] [CrossRef]
- Zhao, X.P.; Heidinger, A.K.; Walther, A. Climatology analysis of aerosol effect on marine water cloud from long-term satellite climate data records. Remote Sens. 2016, 8, 300. [Google Scholar] [CrossRef]
- Heidinger, A.K.; Foster, M.J.; Walther, A.; Zhao, X.P. The pathfinder atmospheres-extended avhrr climate dataset. Bull. Am. Meteorolo. Soc. 2014, 95. [Google Scholar] [CrossRef]
- Walther, A.; Heidinger, A.K. Implementation of the daytime cloud optical and microphysical properties algorithm (dcomp) in patmos-x. J. Appl. Meteorol. Clim. 2012, 51, 1371–1390. [Google Scholar] [CrossRef]
- Cao, C.; Weinreb, M.; Xu, H. Predicting simultaneous nadir overpasses among polar-orbiting meteorological satellites for the intersatellite calibration of radiometers. J. Atmos. Ocean. Technol. 2004, 21, 537–542. [Google Scholar] [CrossRef]
- Cao, C.Y.; Xiong, X.X.; Wu, A.H.; Wu, X.Q. Assessing the consistency of avhrr and modis l1b reflectance for generating fundamental climate data records. J. Geophys. Res-Atmos. 2008, 113. [Google Scholar] [CrossRef]
- Heidinger, A.K.; Cao, C.; Sullivan, J.T. Using moderate resolution imaging spectrometer (MODIS) to calibrate advanced very high resolution radiometer reflectance channels. J. Geophys. Res. 2002, 107, 4702. [Google Scholar] [CrossRef]
- Heidinger, A.K.; Straka, W.C.; Molling, C.C.; Sullivan, J.T.; Wu, X.Q. Deriving an inter-sensor consistent calibration for the avhrr solar reflectance data record. Inter. J. Remote Sens. 2010, 31, 6493–6517. [Google Scholar] [CrossRef]
- Pavolonis, M.J.; Heidinger, A.K.; Uttal, T. Daytime global cloud typing from avhrr and viirs: Algorithm description, validation, and comparisons. J. Appl. Meteorol. 2005, 44, 804–826. [Google Scholar] [CrossRef]
- Zhao, X.-P.; Dubovik, O.; Smirnov, A.; Holben, B.N.; Sapper, J.; Pietras, C.; Voss, K.J.; Frouin, R. Regional evaluation of an advanced very high resolution radiometer (AVHRR) two-channel aerosol retrieval algorithm. J. Geophys. Res. 2004, 109, D02204. [Google Scholar] [CrossRef]
- Liu, J.J.; Li, Z.Q. Estimation of cloud condensation nuclei concentration from aerosol optical quantities: Influential factors and uncertainties. Atmos. Chem. Phys. 2014, 14, 471–483. [Google Scholar] [CrossRef]
- Stier, P. Limitations of passive remote sensing to constrain global cloud condensation nuclei. Atmos. Chem. Phys. 2016, 16, 6595–6607. [Google Scholar] [CrossRef]
- Ignatov, A.; Stowe, L. Aerosol retrievals from individual avhrr channels. Part ii: Quality control, probability distribution functions, information content, and consistency checks of retrievals. J. Atmos. Sci. 2002, 59, 335–362. [Google Scholar] [CrossRef]
- Stowe, L.L.; Ignatov, A.M.; Singh, R.R. Development, validation, and potential enhancements to the second-generation operational aerosol product at the national environmental satellite, data, and information service of the national oceanic and atmospheric administration. J. Geophys. Res-Atmos. 1997, 102, 16923–16934. [Google Scholar] [CrossRef]
- Saha, S.; Moorthi, S.; Pan, H.L.; Wu, X.R.; Wang, J.D.; Nadiga, S.; Tripp, P.; Kistler, R.; Woollen, J.; Behringer, D.; et al. The ncep climate forecast system reanalysis. Bull. Am. Meteorol. Soc. 2010, 91, 1015–1057. [Google Scholar] [CrossRef]
- Yu, F.; Luo, G. Simulation of particle size distribution with a global aerosol model: Contribution of nucleation to aerosol and ccn number concentrations. Atmos. Chem. Phys. 2009, 9, 7691–7710. [Google Scholar] [CrossRef]
- Yu, F.Q.; Nair, A.A.; Luo, G. Long-term trend of gaseous ammonia over the united states: Modeling and comparison with observations. J. Geophys. Res-Atmos. 2018, 123, 8315–8325. [Google Scholar] [CrossRef]
- Bian, H.S.; Zender, C.S. Mineral dust and global tropospheric chemistry: Relative roles of photolysis and heterogeneous uptake. J. Geophys. Res-Atmos. 2003, 108. [Google Scholar] [CrossRef]
- Liu, H.Y.; Jacob, D.J.; Bey, I.; Yantosca, R.M. Constraints from pb-210 and be-7 on wet deposition and transport in a global three-dimensional chemical tracer model driven by assimilated meteorological fields. J. Geophys. Res-Atmos. 2001, 106, 12109–12128. [Google Scholar] [CrossRef]
- Fairlie, T.D.; Jacob, D.J.; Dibb, J.E.; Alexander, B.; Avery, M.A.; van Donkelaar, A.; Zhang, L. Impact of mineral dust on nitrate, sulfate, and ozone in transpacific asian pollution plumes. Atmos. Chem. Phys. 2010, 10, 3999–4012. [Google Scholar] [CrossRef]
- Kim, P.S.; Jacob, D.J.; Fisher, J.A.; Travis, K.; Yu, K.; Zhu, L.; Yantosca, R.M.; Sulprizio, M.P.; Jimenez, J.L.; Campuzano-Jost, P.; et al. Sources, seasonality, and trends of southeast us aerosol: An integrated analysis of surface, aircraft, and satellite observations with the geos-chem chemical transport model. Atmos. Chem. Phys. 2015, 15, 10411–10433. [Google Scholar] [CrossRef]
- Ridley, D.A.; Heald, C.L.; Kok, J.F.; Zhao, C. An observationally constrained estimate of global dust aerosol optical depth. Atmos. Chem. Phys. 2016, 16, 15097–15117. [Google Scholar] [CrossRef]
- Li, S.; Zhang, L.; Cai, K.; Ge, W.; Zhang, X. Comparisons of the vertical distributions of aerosols in the calipso and geos-chem datasets in china. Atmos. Environ. X 2019, 3, 100036. [Google Scholar] [CrossRef]
- Zhang, Y.D.; Luo, G.; Yu, F.Q. Seasonal variations and long-term trend of dust particle number concentration over the northeastern united states. J. Geophys. Res-Atmos. 2019, 124, 13140–13155. [Google Scholar] [CrossRef]
- Twomey, S.A. Influence of Pollution on Shortwave Albedo of Clouds. J. Atmos. Sci. 1977, 34, 1149–1152. [Google Scholar] [CrossRef]
- Koren, I.; Dagan, G.; Altaratz, O. From aerosol-limited to invigoration of warm convective clouds. Science 2014, 344, 1143–1146. [Google Scholar] [CrossRef]
- Altaratz, O.; Koren, I.; Remer, L.A.; Hirsch, E. Review: Cloud invigoration by aerosols-coupling between microphysics and dynamics. Atmos. Res. 2014, 140, 38–60. [Google Scholar] [CrossRef]
- Kramer, M.; Rolf, C.; Luebke, A.; Afchine, A.; Spelten, N.; Costa, A.; Meyer, J.; Zoger, M.; Smith, J.; Herman, R.L.; et al. A microphysics guide to cirrus clouds - part 1: Cirrus types. Atmos. Chem. Phys. 2016, 16, 3463–3483. [Google Scholar] [CrossRef]
- Froyd, K.D.; Cziczo, D.J.; Hoose, C.; Jensen, E.J.; Diao, M.H.; Zondlo, M.A.; Smith, J.B.; Twohy, C.H.; Murphy, D.M. Cirrus cloud formation and the role of heterogeneous ice nuclei. Aip. Conf. Proc. 2013, 1527, 976–978. [Google Scholar]
- Pruppacher, H.R.; Klett, J.D. Microphysics of Clouds and Precipitation; Springer: Dordretch, The Netherlands, 1997; p. 954. [Google Scholar] [CrossRef]
- Karydis, V.A.; Kumar, P.; Barahona, D.; Sokolik, I.N.; Nenes, A. On the effect of dust particles on global cloud condensation nuclei and cloud droplet number. J. Geophys. Res-Atmos 2011, 116. [Google Scholar] [CrossRef]
- Karydis, V.A.; Tsimpidi, A.P.; Bacer, S.; Pozzer, A.; Nenes, A.; Lelieveld, J. Global impact of mineral dust on cloud droplet number concentration. Atmos. Chem. Phys. 2017, 17, 5601–5621. [Google Scholar] [CrossRef]
- Hoose, C.; Mohler, O. Heterogeneous ice nucleation on atmospheric aerosols: A review of results from laboratory experiments. Atmos. Chem. Phys. 2012, 12, 9817–9854. [Google Scholar] [CrossRef]
- Kanji, Z.A.; Ladino, L.A.; Wex, H.; Boose, Y.; Burkert-Kohn, M.; Cziczo, D.J.; Krämer, M. Overview of ice nucleating particles. Meteorol. Monogr. 2017, 58, 1.1–1.33. [Google Scholar] [CrossRef]
- Gryspeerdt, E.; Stier, P. Regime-based analysis of aerosol-cloud interactions. Geophys. Res. Lett. 2012, 39. [Google Scholar] [CrossRef]
- Gryspeerdt, E.; Stier, P.; Grandey, B.S. Cloud fraction mediates the aerosol optical depth-cloud top height relationship. Geophys. Res. Lett. 2014, 41, 3622–3627. [Google Scholar] [CrossRef]
- Koop, T.; Ng, H.P.; Molina, L.T.; Molina, M.J. A new optical technique to study aerosol phase transitions: The nucleation of ice from h2so4 aerosols. J. Phys. Chem. A 1998, 102, 8924–8931. [Google Scholar] [CrossRef]
- Mohler, O.; Bunz, H.; Stetzer, O. Homogeneous nucleation rates of nitric acid dihydrate (NAD) at simulated stratospheric conditions - part ii: Modelling. Atmos. Chem. Phys. 2006, 6, 3035–3047. [Google Scholar] [CrossRef]
- Richardson, M.S.; DeMott, P.J.; Kreidenweis, S.M.; Petters, M.D.; Carrico, C.M. Observations of ice nucleation by ambient aerosol in the homogeneous freezing regime. Geophys. Res. Lett. 2010, 37. [Google Scholar] [CrossRef]
- Stetzer, O.; Mohler, O.; Wagner, R.; Benz, S.; Saathoff, H.; Bunz, H.; Indris, O. Homogeneous nucleation rates of nitric acid dihydrate (nad) at simulated stratospheric conditions - part i: Experimental results. Atmos. Chem. Phys. 2006, 6, 3023–3033. [Google Scholar] [CrossRef]
- DeMott, P.J.; Sassen, K.; Poellot, M.R.; Baumgardner, D.; Rogers, D.C.; Brooks, S.D.; Prenni, A.J.; Kreidenweis, S.M. African dust aerosols as atmospheric ice nuclei. Geophys. Res. Lett. 2003, 30. [Google Scholar] [CrossRef]
- DeMott, P.J.; Prenni, A.J. New directions: Need for defining the numbers and sources of biological aerosols acting as ice nuclei. Atmos. Environ. 2010, 44, 1944–1945. [Google Scholar] [CrossRef]
- DeMott, P.J.; Prenni, A.J.; Liu, X.; Kreidenweis, S.M.; Petters, M.D.; Twohy, C.H.; Richardson, M.S.; Eidhammer, T.; Rogers, D.C. Predicting global atmospheric ice nuclei distributions and their impacts on climate. P. Natl. Acad. Sci. USA 2010, 107, 11217–11222. [Google Scholar] [CrossRef] [PubMed]
- Lynch, F.; Khodadoust, A. Effects of ice accretions on aircraft aerodynamics. Prog. Aerosp. Sci. 2002, 38, 273–274. [Google Scholar] [CrossRef]
- Field, P.R.; Mohler, O.; Connolly, P.; Kramer, M.; Cotton, R.; Heymsfield, A.J.; Saathoff, H.; Schnaiter, M. Some ice nucleation characteristics of asian and saharan desert dust. Atmos. Chem. Phys. 2006, 6, 2991–3006. [Google Scholar] [CrossRef]
- Mohler, O.; Buttner, S.; Linke, C.; Schnaiter, M.; Saathoff, H.; Stetzer, O.; Wagner, R.; Kramer, M.; Mangold, A.; Ebert, V.; et al. Effect of sulfuric acid coating on heterogeneous ice nucleation by soot aerosol particles. J. Geophys. Res-Atmos. 2005, 110. [Google Scholar] [CrossRef]
- Mohler, O.; Field, P.R.; Connolly, P.; Benz, S.; Saathoff, H.; Schnaiter, M.; Wagner, R.; Cotton, R.; Kramer, M.; Mangold, A.; et al. Efficiency of the deposition mode ice nucleation on mineral dust particles. Atmos. Chem. Phys. 2006, 6, 3007–3021. [Google Scholar] [CrossRef]
- Luebke, A.E.; Afchine, A.; Costa, A.; Grooss, J.U.; Meyer, J.; Rolf, C.; Spelten, N.; Avallone, L.M.; Baumgardner, D.; Kramer, M. The origin of midlatitude ice clouds and the resulting influence on their microphysical properties. Atmos. Chem. Phys. 2016, 16, 5793–5809. [Google Scholar] [CrossRef]
- Mace, G.G.; Clothiaux, E.E.; Ackerman, T.P. The composite characteristics of cirrus clouds: Bulk properties revealed by one year of continuous cloud radar data. J. Climate 2001, 14, 2185–2203. [Google Scholar] [CrossRef]
- Mace, G.G.; Benson, S.; Vernon, E. Cirrus clouds and the large-scale atmospheric state: Relationships revealed by six years of ground-based data. J. Climate 2006, 19, 3257–3278. [Google Scholar] [CrossRef]











© 2020 by the authors. Licensee MDPI, Basel, Switzerland. This article is an open access article distributed under the terms and conditions of the Creative Commons Attribution (CC BY) license (http://creativecommons.org/licenses/by/4.0/).
Share and Cite
Zhao, X.; Liu, Y.; Yu, F.; Heidinger, A.K.; Saha, K. Climatology Perspective of Sensitive Regimes and Active Regions of Aerosol Indirect Effect for Cirrus Clouds over the Global Oceans. Remote Sens. 2020, 12, 823. https://doi.org/10.3390/rs12050823
Zhao X, Liu Y, Yu F, Heidinger AK, Saha K. Climatology Perspective of Sensitive Regimes and Active Regions of Aerosol Indirect Effect for Cirrus Clouds over the Global Oceans. Remote Sensing. 2020; 12(5):823. https://doi.org/10.3390/rs12050823
Chicago/Turabian StyleZhao, Xuepeng, Yangang Liu, Fangqun Yu, Andrew K. Heidinger, and Korak Saha. 2020. "Climatology Perspective of Sensitive Regimes and Active Regions of Aerosol Indirect Effect for Cirrus Clouds over the Global Oceans" Remote Sensing 12, no. 5: 823. https://doi.org/10.3390/rs12050823
APA StyleZhao, X., Liu, Y., Yu, F., Heidinger, A. K., & Saha, K. (2020). Climatology Perspective of Sensitive Regimes and Active Regions of Aerosol Indirect Effect for Cirrus Clouds over the Global Oceans. Remote Sensing, 12(5), 823. https://doi.org/10.3390/rs12050823

