Use of Hyperion for Mangrove Forest Carbon Stock Assessment in Bhitarkanika Forest Reserve: A Contribution Towards Blue Carbon Initiative
Abstract
1. Introduction
2. Materials and Methods
2.1. Study Area
2.2. EO Data Acquisition
2.3. Field-Inventory Based Biomass Measurement
2.4. Covariance Matrix Based Band Selection
2.5. NDVI and EVI
3. Results
3.1. Spatial Distribution of Species
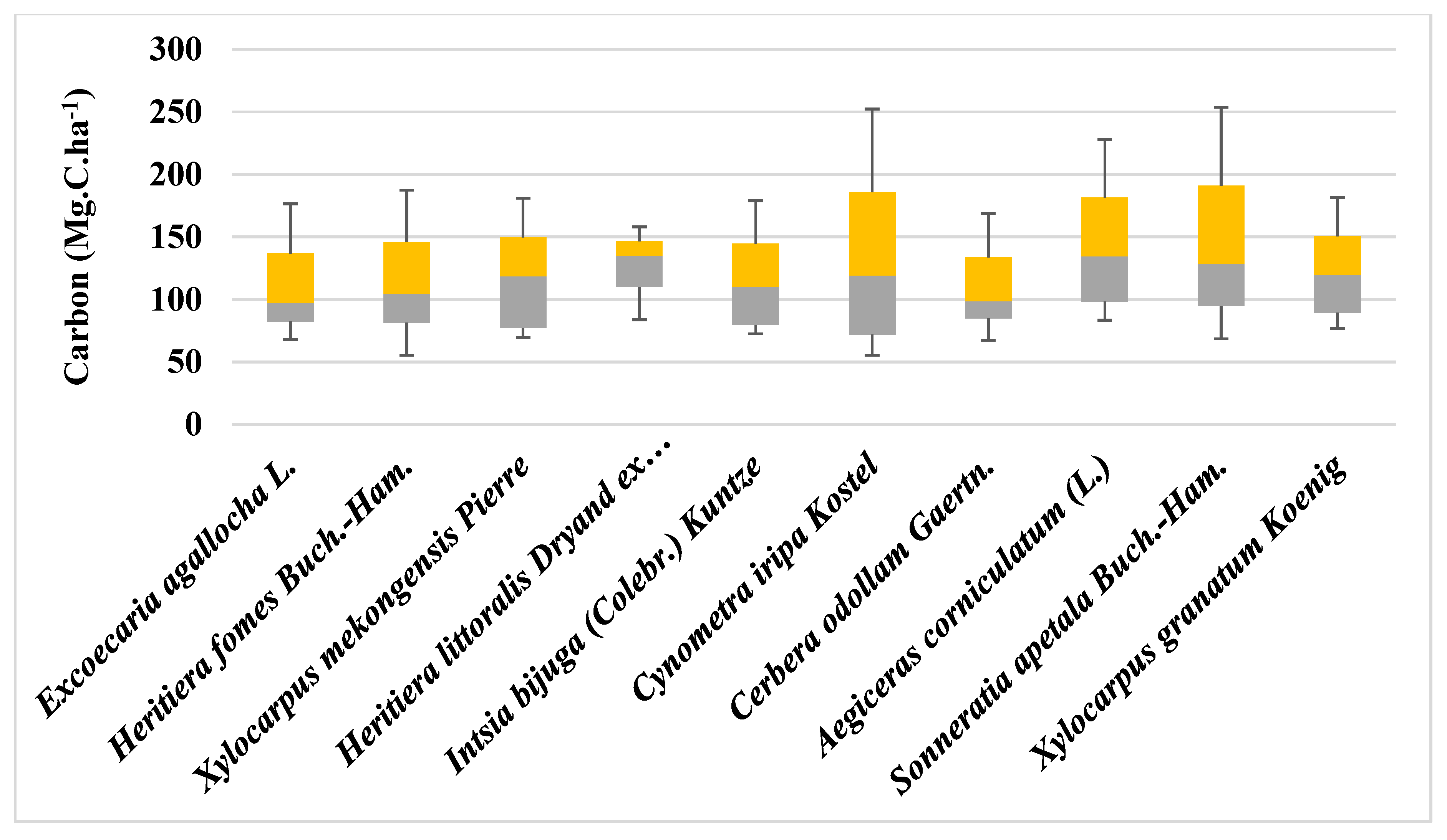
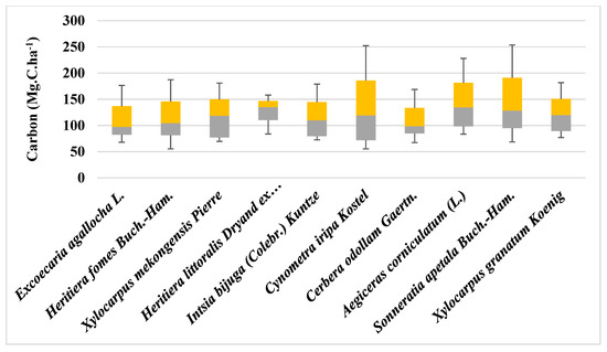
3.2. Estimation of Carbon Stock Using Spectral Derived Indices
3.3. Species-Wise Carbon Stock Assessment
4. Conclusions
Author Contributions
Funding
Acknowledgments
Conflicts of Interest
References
- Saenger, P.; Hegerl, E.; Davie, J.D. Global Status of Mangrove Ecosystems; International Union for Conservation of Nature and Natural Resources: Gland, Switzerland, 1983. [Google Scholar]
- Barbier, E.B. The protective service of mangrove ecosystems: A review of valuation methods. Mar. Pollut. Bull. 2016, 109, 676–681. [Google Scholar] [CrossRef]
- Houghton, R.; Hall, F.; Goetz, S.J. Importance of biomass in the global carbon cycle. J. Geophys. Res. Biogeosci. 2009, 114. [Google Scholar] [CrossRef]
- Conservation-International. The Blue Carbon Initiatives. Available online: https://www.thebluecarboninitiative.org/ (accessed on 15 May 2019).
- Giri, C.; Ochieng, E.; Tieszen, L.L.; Zhu, Z.; Singh, A.; Loveland, T.; Masek, J.; Duke, N. Status and distribution of mangrove forests of the world using earth observation satellite data. Glob. Ecol. Biogeogr. 2011, 20, 154–159. [Google Scholar] [CrossRef]
- FSI. Mangrove Cover. Available online: http://fsi.nic.in/isfr2017/isfr-mangrove-cover-2017.pdf (accessed on 23 May 2019).
- Osland, M.J.; Feher, L.C.; Griffith, K.T.; Cavanaugh, K.C.; Enwright, N.M.; Day, R.H.; Stagg, C.L.; Krauss, K.W.; Howard, R.J.; Grace, J.B. Climatic controls on the global distribution, abundance, and species richness of mangrove forests. Ecol. Monogr. 2017, 87, 341–359. [Google Scholar] [CrossRef]
- Himes-Cornell, A.; Pendleton, L.; Atiyah, P. Valuing ecosystem services from blue forests: A systematic review of the valuation of salt marshes, sea grass beds and mangrove forests. Ecosyst. Serv. 2018, 30, 36–48. [Google Scholar] [CrossRef]
- Gilman, E.L.; Ellison, J.; Duke, N.C.; Field, C. Threats to mangroves from climate change and adaptation options: A review. Aquat. Bot. 2008, 89, 237–250. [Google Scholar] [CrossRef]
- Kairo, J.G.; Lang’at, J.K.; Dahdouh-Guebas, F.; Bosire, J.; Karachi, M. Structural development and productivity of replanted mangrove plantations in Kenya. For. Ecol. Manag. 2008, 255, 2670–2677. [Google Scholar] [CrossRef]
- Bosire, J.O.; Dahdouh-Guebas, F.; Walton, M.; Crona, B.I.; Lewis, R., III; Field, C.; Kairo, J.G.; Koedam, N. Functionality of restored mangroves: A review. Aquat. Bot. 2008, 89, 251–259. [Google Scholar] [CrossRef]
- Duke, N.C.; Meynecke, J.-O.; Dittmann, S.; Ellison, A.M.; Anger, K.; Berger, U.; Cannicci, S.; Diele, K.; Ewel, K.C.; Field, C.D. A world without mangroves? Science 2007, 317, 41–42. [Google Scholar] [CrossRef]
- Hamilton, S.E.; Casey, D. Creation of a high spatio-temporal resolution global database of continuous mangrove forest cover for the 21st century (CGMFC-21). Glob. Ecol. Biogeogr. 2016, 25, 729–738. [Google Scholar] [CrossRef]
- Hamilton, S.E.; Friess, D.A. Global carbon stocks and potential emissions due to mangrove deforestation from 2000 to 2012. Nat. Clim. Chang. 2018, 8, 240. [Google Scholar] [CrossRef]
- Valiela, I.; Bowen, J.L.; York, J.K. Mangrove Forests: One of the World’s Threatened Major Tropical Environments. Bioscience 2001, 51, 807–815. [Google Scholar] [CrossRef]
- Alongi, D.M. Present state and future of the world’s mangrove forests. Environ. Conserv. 2002, 29, 331–349. [Google Scholar] [CrossRef]
- Allen, J.A.; Ewel, K.C.; Jack, J. Patterns of natural and anthropogenic disturbance of the mangroves on the Pacific Island of Kosrae. Wetl. Ecol. Manag. 2001, 9, 291–301. [Google Scholar] [CrossRef]
- Giri, C.; Zhu, Z.; Tieszen, L.; Singh, A.; Gillette, S.; Kelmelis, J. Mangrove forest distributions and dynamics (1975–2005) of the tsunami-affected region of Asia. J. Biogeogr. 2008, 35, 519–528. [Google Scholar] [CrossRef]
- Baillie, J.E.; Hilton-Taylor, C.; Stuart, S.N. A Global Species Assessment; International Union for Conservation of Nature (IUCN): Gland, Switzerland, 2004. [Google Scholar]
- Kathiresan, K.; Rajendran, N. Mangrove ecosystems of the Indian Ocean region. Indian J. Mar. Sci. 2005, 34, 104–113. [Google Scholar]
- Sandilyan, S.; Kathiresan, K. Mangrove conservation: A global perspective. Biodivers. Conserv. 2012, 21, 3523–3542. [Google Scholar] [CrossRef]
- Shanker, K. Biodiversity of Mangrove Ecosystems; Medknow Publications: Mumbai, India, 2005. [Google Scholar]
- Kathiresan, K.; Qasim, S.Z. Biodiversity of Mangrove Ecosystems; Hindustan Publishing: New Delhi, India, 2005. [Google Scholar]
- Kathiresan, K. Importance of mangrove forest of India. J. Coast. Environ. 2010, 1, 11–26. [Google Scholar]
- Kathiresan, K. Why are mangroves degrading? Curr. Sci. 2002, 83, 1246–1249. [Google Scholar]
- Pandey, P.C.; Anand, A.; Srivastava, P.K. Spatial Distribution of Mangrove Forest species and Biomass Assessment Using Field Inventory and Earth Observation Hyperspectral data. Biodivers. Conserv. 2019, 28, 2143–2162. [Google Scholar] [CrossRef]
- Yang, C.; Liu, J.; Zhang, Z.; Zhang, Z. Estimation of the carbon stock of tropical forest vegetation by using remote sensing and GIS. In Proceedings of the IGARSS 2001. Scanning the Present and Resolving the Future. In Proceedings of the IEEE 2001 International Geoscience and Remote Sensing Symposium (Cat. No. 01CH37217), Sydney, Australia, 9–13 July 2001; pp. 1672–1674. [Google Scholar]
- Ramankutty, N.; Gibbs, H.K.; Achard, F.; Defries, R.; Foley, J.A.; Houghton, R. Challenges to estimating carbon emissions from tropical deforestation. Glob. Chang. Biol. 2007, 13, 51–66. [Google Scholar] [CrossRef]
- Atmadja, S.; Verchot, L. A review of the state of research, policies and strategies in addressing leakage from reducing emissions from deforestation and forest degradation (REDD+). Mitig. Adapt. Strateg. Glob. Chang. 2012, 17, 311–336. [Google Scholar] [CrossRef]
- Minang, P.A.; Van Noordwijk, M. Design challenges for achieving reduced emissions from deforestation and forest degradation through conservation: Leveraging multiple paradigms at the tropical forest margins. Land Use Policy 2013, 31, 61–70. [Google Scholar] [CrossRef]
- CIFOR. Global Comparative Study on REDD+ Subnational REDD+ Initiatives. Available online: https://www.cifor.org/gcs/modules/redd-subnationalinitiatives/ (accessed on 25 May 2018).
- Atwood, T.B.; Connolly, R.M.; Almahasheer, H.; Carnell, P.E.; Duarte, C.M.; Lewis, C.J.E.; Irigoien, X.; Kelleway, J.J.; Lavery, P.S.; Macreadie, P.I. Global patterns in mangrove soil carbon stocks and losses. Nat. Clim. Chang. 2017, 7, 523. [Google Scholar] [CrossRef]
- Heumann, B.W. An object-based classification of mangroves using a hybrid decision tree—Support vector machine approach. Remote Sens. 2011, 3, 2440–2460. [Google Scholar] [CrossRef]
- Chaube, N.R.; Lele, N.; Misra, A.; Murthy, T.; Manna, S.; Hazra, S.; Panda, M.; Samal, R. Mangrove species discrimination and health assessment using AVIRIS-NG hyperspectral data. Curr. Sci. 2019, 116, 1136. [Google Scholar] [CrossRef]
- Kumar, T.; Panigrahy, S.; Kumar, P.; Parihar, J.S. Classification of floristic composition of mangrove forests using hyperspectral data: Case study of Bhitarkanika National Park, India. J. Coast. Conserv. 2013, 17, 121–132. [Google Scholar] [CrossRef]
- Ashokkumar, L.; Shanmugam, S. Hyperspectral band selection and classification of Hyperion image of Bhitarkanika mangrove ecosystem, eastern India. Proc. SPIE 2014, 9239, 923914. [Google Scholar]
- Padma, S.; Sanjeevi, S. Jeffries Matusita-Spectral Angle Mapper (JM-SAM) spectral matching for species level mapping at Bhitarkanika, Muthupet and Pichavaram mangroves. Int. Arch. Photogramm. Remote Sens. Spat. Inf. Sci. 2014, 40, 1403. [Google Scholar] [CrossRef]
- Everitt, J.; Yang, C.; Judd, F.; Summy, K. Use of archive aerial photography for monitoring black mangrove populations. J. Coast. Res. 2010, 26, 649–653. [Google Scholar] [CrossRef]
- Lam-Dao, N.; Pham-Bach, V.; Nguyen-Thanh, M.; Pham-Thi, M.-T.; Hoang-Phi, P. Change detection of land use and riverbank in Mekong Delta, Vietnam using time series remotely sensed data. J. Resour. Ecol. 2011, 2, 370–375. [Google Scholar]
- Satyanarayana, B.; Mohamad, K.A.; Idris, I.F.; Husain, M.-L.; Dahdouh-Guebas, F. Assessment of mangrove vegetation based on remote sensing and ground-truth measurements at Tumpat, Kelantan Delta, East Coast of Peninsular Malaysia. Int. J. Remote Sens. 2011, 32, 1635–1650. [Google Scholar] [CrossRef]
- Pattanaik, C.; Prasad, S.N. Assessment of aquaculture impact on mangroves of Mahanadi delta (Orissa), East coast of India using remote sensing and GIS. Ocean Coast. Manag. 2011, 54, 789–795. [Google Scholar] [CrossRef]
- Rahman, A.F.; Dragoni, D.; Didan, K.; Barreto-Munoz, A.; Hutabarat, J.A. Detecting large scale conversion of mangroves to aquaculture with change point and mixed-pixel analyses of high-fidelity MODIS data. Remote Sens. Environ. 2013, 130, 96–107. [Google Scholar] [CrossRef]
- Pu, R.; Bell, S. A protocol for improving mapping and assessing of seagrass abundance along the West Central Coast of Florida using Landsat TM and EO-1 ALI/Hyperion images. ISPRS J. Photogramm. Remote Sens. 2013, 83, 116–129. [Google Scholar] [CrossRef]
- Lucas, R.; Rebelo, L.-M.; Fatoyinbo, L.; Rosenqvist, A.; Itoh, T.; Shimada, M.; Simard, M.; Souza-Filho, P.W.; Thomas, N.; Trettin, C. Contribution of L-band SAR to systematic global mangrove monitoring. Mar. Freshw. Res. 2014, 65, 589–603. [Google Scholar] [CrossRef]
- Vu, T.D.; Takeuchi, W.; Van, N.A. Carbon stock calculating and forest change assessment toward REDD+ activities for the mangrove forest in Vietnam. Trans. Jpn. Soc. Aeronaut. Space Sci. Aerosp. Technol. Jpn. 2014, 12. [Google Scholar] [CrossRef]
- Thomas, N.; Lucas, R.; Itoh, T.; Simard, M.; Fatoyinbo, L.; Bunting, P.; Rosenqvist, A. An approach to monitoring mangrove extents through time-series comparison of JERS-1 SAR and ALOS PALSAR data. Wetl. Ecol. Manag. 2015, 23, 3–17. [Google Scholar] [CrossRef]
- Garcia, R.; Hedley, J.; Tin, H.; Fearns, P. A method to analyze the potential of optical remote sensing for benthic habitat mapping. Remote Sens. 2015, 7, 13157–13189. [Google Scholar] [CrossRef]
- Son, N.T.; Thanh, B.X.; Da, C.T. Monitoring mangrove forest changes from multi-temporal Landsat data in Can Gio Biosphere Reserve, Vietnam. Wetlands 2016, 36, 565–576. [Google Scholar] [CrossRef]
- Nardin, W.; Locatelli, S.; Pasquarella, V.; Rulli, M.C.; Woodcock, C.E.; Fagherazzi, S. Dynamics of a fringe mangrove forest detected by Landsat images in the Mekong River Delta, Vietnam. Earth Surf. Process. Landf. 2016, 41, 2024–2037. [Google Scholar] [CrossRef]
- Viennois, G.; Proisy, C.; Feret, J.-B.; Prosperi, J.; Sidik, F.; Rahmania, R.; Longépé, N.; Germain, O.; Gaspar, P. Multitemporal analysis of high-spatial-resolution optical satellite imagery for mangrove species mapping in Bali, Indonesia. IEEE J. Sel. Top. Appl. Earth Obs. Remote Sens. 2016, 9, 3680–3686. [Google Scholar] [CrossRef]
- Pham, L.T.; Brabyn, L. Monitoring mangrove biomass change in Vietnam using SPOT images and an object-based approach combined with machine learning algorithms. ISPRS J. Photogramm. Remote Sens. 2017, 128, 86–97. [Google Scholar] [CrossRef]
- Benson, L.; Glass, L.; Jones, T.; Ravaoarinorotsihoarana, L.; Rakotomahazo, C. Mangrove carbon stocks and ecosystem cover dynamics in southwest Madagascar and the implications for local management. Forests 2017, 8, 190. [Google Scholar] [CrossRef]
- Bullock, E.L.; Fagherazzi, S.; Nardin, W.; Vo-Luong, P.; Nguyen, P.; Woodcock, C.E. Temporal patterns in species zonation in a mangrove forest in the Mekong Delta, Vietnam, using a time series of Landsat imagery. Cont. Shelf Res. 2017, 147, 144–154. [Google Scholar] [CrossRef]
- Mondal, P.; Trzaska, S.; de Sherbinin, A. Landsat-derived estimates of mangrove extents in the sierra leone coastal landscape complex during 1990–2016. Sensors 2018, 18, 12. [Google Scholar] [CrossRef]
- Wang, M.; Cao, W.; Guan, Q.; Wu, G.; Wang, F. Assessing changes of mangrove forest in a coastal region of southeast China using multi-temporal satellite images. Estuar. Coast. Shelf Sci. 2018, 207, 283–292. [Google Scholar] [CrossRef]
- Abdel-Hamid, A.; Dubovyk, O.; Abou El-Magd, I.; Menz, G. Mapping Mangroves Extents on the Red Sea Coastline in Egypt using Polarimetric SAR and High Resolution Optical Remote Sensing Data. Sustainability 2018, 10, 646. [Google Scholar] [CrossRef]
- Pan, Z.; Glennie, C.; Fernandez-Diaz, J.C.; Starek, M. Comparison of bathymetry and seagrass mapping with hyperspectral imagery and airborne bathymetric lidar in a shallow estuarine environment. Int. J. Remote Sens. 2016, 37, 516–536. [Google Scholar] [CrossRef]
- Warfield, A.D.; Leon, J.X. Estimating Mangrove Forest Volume Using Terrestrial Laser Scanning and UAV-Derived Structure-from-Motion. Drones 2019, 3, 32. [Google Scholar] [CrossRef]
- Green, E.; Clark, C.; Mumby, P.; Edwards, A.; Ellis, A. Remote sensing techniques for mangrove mapping. Int. J. Remote Sens. 1998, 19, 935–956. [Google Scholar] [CrossRef]
- Wang, L.; Sousa, W.P. Distinguishing mangrove species with laboratory measurements of hyperspectral leaf reflectance. Int. J. Remote Sens. 2009, 30, 1267–1281. [Google Scholar] [CrossRef]
- Yang, C.; Everitt, J.H.; Fletcher, R.S.; Jensen, R.R.; Mausel, P.W. Evaluating AISA+ hyperspectral imagery for mapping black mangrove along the South Texas Gulf Coast. Photogramm. Eng. Remote Sens. 2009, 75, 425–435. [Google Scholar] [CrossRef]
- Held, A.; Ticehurst, C.; Lymburner, L.; Williams, N. High resolution mapping of tropical mangrove ecosystems using hyperspectral and radar remote sensing. Int. J. Remote Sens. 2003, 24, 2739–2759. [Google Scholar] [CrossRef]
- Cao, J.; Leng, W.; Liu, K.; Liu, L.; He, Z.; Zhu, Y. Object-based mangrove species classification using unmanned aerial vehicle hyperspectral images and digital surface models. Remote Sens. 2018, 10, 89. [Google Scholar] [CrossRef]
- Hirano, A.; Madden, M.; Welch, R. Hyperspectral image data for mapping wetland vegetation. Wetlands 2003, 23, 436–448. [Google Scholar] [CrossRef]
- Koedsin, W.; Vaiphasa, C. Discrimination of tropical mangroves at the species level with EO-1 Hyperion data. Remote Sens. 2013, 5, 3562–3582. [Google Scholar] [CrossRef]
- Kamal, M.; Phinn, S. Hyperspectral data for mangrove species mapping: A comparison of pixel-based and object-based approach. Remote Sens. 2011, 3, 2222–2242. [Google Scholar] [CrossRef]
- Odisha, W.O. Bhitarkanika Wildlife Sanctuary. Available online: https://www.wildlife.odisha.gov.in/WebPortal/PA_Bhitarkanika.aspx (accessed on 28 May 2018).
- Pandey, P.C.; Tate, N.J.; Balzter, H. Mapping tree species in coastal portugal using statistically segmented principal component analysis and other methods. IEEE Sens. J. 2014, 14, 4434–4441. [Google Scholar] [CrossRef]
- Pattanaik, C.; Reddy, C.; Dhal, N.; Das, R. Utilisation of Mangrove Forests in Bhitarkanika Wildlife Sanctuary, Orissa. Indian J. Tradit. Know. 2008, 7, 598–603. [Google Scholar]
- Boardman, J.W. Automating Spectral Unmixing of AVIRIS Data Using Convex Geometry Concepts; NASA: Wahington, DC, USA, 1993.
- Research Systems. ENVI Tutorials; Research Systems: 2000; Harris Geospatial Solutions: Broomfield, CO, USA; Available online: https://www.harrisgeospatial.com/docs/tutorials.html (accessed on 4 December 2019).
- Kruse, F.A.; Lefkoff, A.; Boardman, J.; Heidebrecht, K.; Shapiro, A.; Barloon, P.; Goetz, A. The spectral image processing system (SIPS)—Interactive visualization and analysis of imaging spectrometer data. Remote Sens. Environ. 1993, 44, 145–163. [Google Scholar] [CrossRef]
- Elatawneh, A.C.; Kalaitzidis, G.P.; Schneider, T. Evaluation of Diverse Classification Approaches for Land Use/Cover Mapping in a Mediterranean Region Utilizing Hyperion Data. Int. J. Digit. Earth 2012, 1–23. [Google Scholar] [CrossRef]
- Petropoulos, G.K.P.; Vadrevu, G.; Xanthopoulos, G.K.; Scholze, M. A Comparison of Spectral Angle Mapper and Artificial Neural Network Classifiers Combined with Landsat TM Imagery Analysis for Obtaining Burnt Area Mapping. Sensors 2010, 10, 1967–1985. [Google Scholar] [CrossRef] [PubMed]
- Brown, S.; Gillespie, A.J.; Lugo, A.E. Biomass estimation methods for tropical forests with applications to forest inventory data. For. Sci. 1989, 35, 881–902. [Google Scholar]
- Negi, J.; Sharma, S.; Sharma, D. Comparative assessment of methods for estimating biomass in forest ecosystem. Indian For. 1988, 114, 136–144. [Google Scholar]
- Luckman, A.; Baker, J.; Kuplich, T.M.; Yanasse, C.D.C.F.; Frery, A.C. A study of the relationship between radar backscatter and regenerating tropical forest biomass for spaceborne SAR instruments. Remote Sens. Environ. 1997, 60, 1–13. [Google Scholar] [CrossRef]
- Schroeder, P.; Brown, S.; Mo, J.; Birdsey, R.; Cieszewski, C. Biomass estimation for temperate broadleaf forests of the United States using inventory data. For. Sci. 1997, 43, 424–434. [Google Scholar]
- Vargas-Larreta, B.; López-Sánchez, C.A.; Corral-Rivas, J.J.; López-Martínez, J.O.; Aguirre-Calderón, C.G.; Álvarez-González, J.G. Allometric equations for estimating biomass and carbon stocks in the temperate forests of North-Western Mexico. Forests 2017, 8, 269. [Google Scholar] [CrossRef]
- Komiyama, A.; Jintana, V.; Sangtiean, T.; Kato, S. A common allometric equation for predicting stem weight of mangroves growing in secondary forests. Ecol. Res. 2002, 17, 415–418. [Google Scholar] [CrossRef]
- Komiyama, A.; Poungparn, S.; Kato, S. Common allometric equations for estimating the tree weight of mangroves. J. Trop. Ecol. 2005, 21, 471–477. [Google Scholar] [CrossRef]
- Alves, D.; Soares, J.V.; Amaral, S.; Mello, E.; Almeida, S.; da Silva, O.F.; Silveira, A. Biomass of primary and secondary vegetation in Rondônia, Western Brazilian Amazon. Glob. Chang. Biol. 1997, 3, 451–461. [Google Scholar] [CrossRef]
- Brown, S. Estimating Biomass and Biomass Change of Tropical Forests: A Primer; Food & Agriculture Organization: Rome, Italy, 1997; Volume 134. [Google Scholar]
- Negi, J.; Manhas, R.; Chauhan, P. Carbon allocation in different components of some tree species of India: A new approach for carbon estimation. Curr. Sci. 2003, 85, 1528–1531. [Google Scholar]
- Vicharnakorn, P.; Shrestha, R.; Nagai, M.; Salam, A.; Kiratiprayoon, S. Carbon stock assessment using remote sensing and forest inventory data in Savannakhet, Lao PDR. Remote Sens. 2014, 6, 5452–5479. [Google Scholar] [CrossRef]
- Mattsson, E.; Ostwald, M.; Nissanka, S.; Pushpakumara, D. Quantification of carbon stock and tree diversity of homegardens in a dry zone area of Moneragala district, Sri Lanka. Agrofor. Syst. 2015, 89, 435–445. [Google Scholar] [CrossRef]
- Sheffield, C. Selecting Band Combinations from Multi Spectral Data. Photogramm. Eng. Remote Sens. 1985, 58, 681–687. [Google Scholar]
- Tucker, C.J. Red and photographic infrared linear combinations for monitoring vegetation. Remote Sens. Environ. 1979, 8, 127–150. [Google Scholar] [CrossRef]
- Tomar, V.; Kumar, P.; Rani, M.; Gupta, G.; Singh, J. A satellite-based biodiversity dynamics capability in tropical forest. Electron. J. Geotech. Eng. 2013, 18, 1171–1180. [Google Scholar]
- Huete, A.; Didan, K.; Miura, T.; Rodriguez, E.P.; Gao, X.; Ferreira, L.G. Overview of the radiometric and biophysical performance of the MODIS vegetation indices. Remote Sens. Environ. 2002, 83, 195–213. [Google Scholar] [CrossRef]
- Heute, A.; Liu, H.; Batchily, K.; Van Leeuwen, W. A comparison of vegetation indices over a global set of TM images for EOS-MODIS. Remote Sens. Environ. 1997, 59, 440–451. [Google Scholar] [CrossRef]
- Matsushita, B.; Yang, W.; Chen, J.; Onda, Y.; Qiu, G. Sensitivity of the enhanced vegetation index (EVI) and normalized difference vegetation index (NDVI) to topographic effects: A case study in high-density cypress forest. Sensors 2007, 7, 2636–2651. [Google Scholar] [CrossRef]
- Gedan, K.B.; Silliman, B.R.; Bertness, M.D. Centuries of human-driven change in salt marsh ecosystems. Annu. Rev. Mar. Sci. 2009, 1, 117–141. [Google Scholar] [CrossRef] [PubMed]
- Morris, J.T.; Sundareshwar, P.; Nietch, C.T.; Kjerfve, B.; Cahoon, D.R. Responses of coastal wetlands to rising sea level. Ecology 2002, 83, 2869–2877. [Google Scholar] [CrossRef]
- Adam, E.; Mutanga, O.; Abdel-Rahman, E.M.; Ismail, R. Estimating standing biomass in papyrus (Cyperus papyrus L.) swamp: Exploratory of in situ hyperspectral indices and random forest regression. Int. J. Remote Sens. 2014, 35, 693–714. [Google Scholar] [CrossRef]
- Santin-Janin, H.; Garel, M.; Chapuis, J.-L.; Pontier, D. Assessing the performance of NDVI as a proxy for plant biomass using non-linear models: A case study on the Kerguelen archipelago. Polar Biol. 2009, 32, 861–871. [Google Scholar] [CrossRef]
- Wicaksono, P.; Danoedoro, P.; Hartono; Nehren, U. Mangrove biomass carbon stock mapping of the Karimunjawa Islands using multispectral remote sensing. Int. J. Remote Sens. 2016, 37, 26–52. [Google Scholar] [CrossRef]












| Technique Used | Datasets | Study Location | Ref. | Year |
|---|---|---|---|---|
| Maximum Likelihood Classifier (MLC) | Aerial Photographs | Texas, USA | [38] | 2010 |
| MLC and The Iterative Self-Organizing Data Analysis Technique (ISODATA) algorithm | Landsat, Radar Satellite (RADARSAT), Satellite Pour l Observation de la Terre (SPOT) | Vietnam | [39] | 2011 |
| MLC | IKONOS | Sri Lanka | [40] | 2011 |
| Unsupervised | Landsat and The Linear Imaging Self Scanning Sensor (LISS-III) | Eastern coast of India | [41] | 2011 |
| Sub-Pixel | Moderate Resolution Imaging Spectroradiometer (MODIS) | Indonesia | [42] | 2013 |
| Spectral Angle Mapper (SAM) | Hyperion | Florida | [34,43] | 2013 |
| Neural Network | Landsat | Global | [44] | 2014 |
| Object based | Landsat | Vietnam | [45] | 2014 |
| Object based | Advanced Land Observing Satellite (ALOS) Phased Array type L-band Synthetic Aperture Radar (PALSAR)/ Japanese Earth Resources Satellite 1 (JERS-1) Synethetic Aperture Radar (SAR) | Brazil and Australia | [46] | 2015 |
| Hierarchical clustering | Hyperspectral Imager for the Coastal Ocean (HICO) and HyMap | Australia | [47] | 2015 |
| Tasseled cap transformation | Landsat | Vietnam | [48] | 2016 |
| NDVI | Landsat | Vietnam | [49] | 2016 |
| MLC | IKONOS, QuickBird, Worldview-2 | Indonesia | [50] | 2016 |
| Object based Support Vector Machine | SPOT-5 | Vietnam | [36,51] | 2017 |
| Iso-cluster | Landsat | Madagascar | [52] | 2017 |
| Random Forest | Landsat | Vietnam | [53] | 2017 |
| K-means | Landsat | West Africa | [54] | 2018 |
| Decision Tree | Landsat | China | [55] | 2018 |
| Data Fusion | ALOS PALSAR & Rapid Eye | Egypt | [56] | 2018 |
| Compact Airborne Spectrographic Imager (CASI) and Bathymetric Light Detection and Ranging (LiDAR) | Mexico | [57] | 2016 | |
| Structure from Motion (SfM) Multi-View Stereo (MVS) Algorithm | Unmanned Aerial Vehicle (UAV) | Australia | [58] | 2019 |
| Hybrid decision tree/ Support Vector Machine (SVM) | Hyperspectral | Galapagos Islands | [33] | 2011 |
| Hierarchical cluster analysis | Compact Airborne Spectrographic Imager (CASI) | South Caicos, United Kingdom | [59] | 1998 |
| Feature Selection Algorithm | CASI | Galeta Island, Panama | [60] | 2009 |
| SAM | Airborne Imaging Spectrometer for Applications (AISA) | South Padre Island, Texas | [61] | 2009 |
| SVM | Earth EO-1 (Earth Observation) Hyperion | Bhit arkanika National Park, India | [35] | 2013 |
| MLC & Hierarchical neural network | CASI | Daintree river estuary, Australia | [62] | 2003 |
| Object based Classification | UAV based Hyperspectral Image | Qi’ao Island, China | [63] | 2018 |
| SAM | Airborne Visible/Infrared Imaging Spectrometer (AVIRIS) | Everglades National Park, Florida, USA | [64] | 2003 |
| SAM | EO-1 Hyperion | Talumpuk cape, Thailand | [65] | 2013 |
| Pixel based and Object based classification | CASI-2 (CASI-2) | Brisbane River, Australia | [66] | 2011 |
| SAM | Airborne Visible/Infrared Imaging Spectrometer—Next Generation (AVIRIS-NG) | Lothian Island and Bhitarkanika National Park, India | [34] | 2019 |
| Species | Tree Height (m) | Diameter at Breast Height (DBH) (cm) | No of Trees | Wood Density (g/cm3) | Stem volume (m3) | Biomass (t. ha1) | Carbon stock (t. C ha1) | |
|---|---|---|---|---|---|---|---|---|
| 1 | Excoecaria agallocha L. | 18.45 ± 2.11 | 20.14 ± 2.56 | 11 | 0.49 | 6.46 | 222.74 ± 11.17 | 104.68 ± 5.24 |
| 2 | Cynometra iripa Kostel | 17.23 ± 1.62 | 16.54 ± 4.39 | 10 | 0.81 | 3.70 | 231.43 ± 29.09 | 108.77 ± 13.67 |
| 3 | Aegiceras corniculatum (L.) | 15.03 ± 1.82 | 22.17 ± 2.81 | 9 | 0.59 | 5.22 | 262.44 ± 13.84 | 123.34 ± 6.50 |
| 4 | Heritiera littoralis Dryand ex Ait. | 18.17 ± 2.17 | 17.21 ± 2.56 | 10 | 1.06 | 4.22 | 339.13 ± 23.85 | 159.39 ± 11.21 |
| 5 | Heritiera fomes Buch.-Ham. | 12.35 ± 1.03 | 18.83 ± 2.94 | 12 | 0.88 | 4.13 | 287.66 ± 12.81 | 135.20 ± 6.02 |
| 6 | Xylocarpus granatum Koenig | 14.13 ± 2.01 | 27.52 ± 4.28 | 5 | 0.67 | 4.20 | 379.64 ± 38.10 | 178.43 ± 17.90 |
| 7 | Xylocarpus mekongensis Pierre | 15.38 ± 1.98 | 20.28 ± 3.40 | 8 | 0.73 | 3.97 | 162.13 ± 26.30 | 76.20 ± 12.36 |
| 8 | Intsia bijuga (Colebr.) Kuntze | 12.29 ± 1.38 | 26.69 ± 4.90 | 9 | 0.84 | 6.18 | 196.92 ± 32.78 | 92.55 ± 15.40 |
| 9 | Cerbera odollam Gaertn. | 12.24 ± 1.86 | 28.56 ± 5.05 | 6 | 0.33 | 4.70 | 355.36 ± 24.69 | 167.01 ± 11.60 |
| 10 | Sonneratia apetala Buch.-Ham. | 11.25 ± 1.67 | 21.85 ± 4.06 | 10 | 0.53 | 4.22 | 351.14 ± 23.14 | 165.03 ± 10.87 |
| Average | 278.86 ± 23.57 | 131.06 ± 11.08 |
| Satellite Data | EO-Hyperion |
|---|---|
| Path/Row | 139/45 |
| Spatial Resolution | 30 meters |
| Flight Date | 31 December 2015 |
| Inclination | 97.97 degree |
| Cloud Cover | <5% |
| (a) | Species Name | NDVI Derived Carbon Stocks | ||||
| Area (km2) | Total carbon (kt. C) | Min carbon (t. C ha-1) | Max carbon (t. C ha-1) | Ave. carbon ± SD (t. C ha-1) | ||
| 1 | Excoecaria agallocha L. | 3.80 | 52.25 | 68.14 | 258.23 | 143.48 ± 17.39 |
| 2 | Cynometra iripa Kostel | 3.77 | 42.20 | 55.28 | 226.90 | 115.88 ± 19.61 |
| 3 | Aegiceras corniculatum (L.) | 0.96 | 54.59 | 69.66 | 254.65 | 149.90 ± 5.57 |
| 4 | Heritiera littoralis Dryand ex Ait. | 2.07 | 53.08 | 83.76 | 225.30 | 145.55 ± 7.88 |
| 5 | Heritiera fomes Buch.-Ham. | 4.21 | 51.69 | 72.47 | 258.83 | 141.95 ± 10.60 |
| 6 | Xylocarpus granatum Koenig | 6.41 | 54.69 | 55.28 | 252.01 | 150.50 ± 15.51 |
| 7 | Xylocarpus mekongensis Pierre | 0.48 | 47.48 | 67.35 | 258.84 | 130.39 ± 12.70 |
| 8 | Intsia bijuga (Colebr.) Kuntze | 1.66 | 50.21 | 83.36 | 256.40 | 137.87 ± 12.57 |
| 9 | Cerbera odollam Gaertn. | 8.34 | 56.36 | 68.52 | 219.66 | 154.78 ± 18.39 |
| 10 | Sonneratia apetala Buch.-Ham. | 4.72 | 51.84 | 76.91 | 254.54 | 142.34 ±22.46 |
| Total Area (36.42 km2) | 36.42 | 514.47 | ||||
| (b) | Species Name | EVI Derived Carbon Stocks | ||||
| Area (km2) | Total carbon (kt. C) | Min carbon (t. C ha−1) | Max. carbon (t. C ha−1) | Ave. carbon ± SD (t. C ha−1) | ||
| 1 | Excoecaria agallocha L. | 3.80 | 45.22 | 56.57 | 225.45 | 124.18 ± 10.15 |
| 2 | Cynometra iripa Kostel | 3.77 | 31.02 | 61.25 | 241.22 | 85.19 ± 26.29 |
| 3 | Aegiceras corniculatum (L.) | 0.96 | 44.35 | 63.30 | 222.70 | 121.80 ± 16.38 |
| 4 | Heritiera littoralis Dryand ex Ait. | 2.07 | 42.45 | 57.17 | 190.22 | 116.57 ± 22.72 |
| 5 | Heritiera fomes Buch.-Ham. | 4.21 | 47.38 | 55.28 | 229.22 | 130.11 ± 32.21 |
| 6 | Xylocarpus granatum Koenig | 6.41 | 46.90 | 67.66 | 253.04 | 128.78 ± 15.70 |
| 7 | Xylocarpus mekongensis Pierre | 0.48 | 50.60 | 66.66 | 218.84 | 138.95 ± 20.75 |
| 8 | Intsia bijuga (Colebr.) Kuntze | 1.66 | 53.10 | 97.24 | 253.40 | 145.83 ± 18.84 |
| 9 | Cerbera odollam Gaertn. | 8.34 | 48.56 | 61.51 | 209.66 | 133.36 ± 10.19 |
| 10 | Sonneratia apetala Buch.-Ham. | 4.72 | 50.19 | 61.05 | 235.54 | 137.83 ± 15.30 |
| Total Area (36.42 km2) | 36.42 | 459.82 | ||||
© 2020 by the authors. Licensee MDPI, Basel, Switzerland. This article is an open access article distributed under the terms and conditions of the Creative Commons Attribution (CC BY) license (http://creativecommons.org/licenses/by/4.0/).
Share and Cite
Anand, A.; Pandey, P.C.; Petropoulos, G.P.; Pavlides, A.; Srivastava, P.K.; Sharma, J.K.; Malhi, R.K.M. Use of Hyperion for Mangrove Forest Carbon Stock Assessment in Bhitarkanika Forest Reserve: A Contribution Towards Blue Carbon Initiative. Remote Sens. 2020, 12, 597. https://doi.org/10.3390/rs12040597
Anand A, Pandey PC, Petropoulos GP, Pavlides A, Srivastava PK, Sharma JK, Malhi RKM. Use of Hyperion for Mangrove Forest Carbon Stock Assessment in Bhitarkanika Forest Reserve: A Contribution Towards Blue Carbon Initiative. Remote Sensing. 2020; 12(4):597. https://doi.org/10.3390/rs12040597
Chicago/Turabian StyleAnand, Akash, Prem Chandra Pandey, George P. Petropoulos, Andrew Pavlides, Prashant K. Srivastava, Jyoti K. Sharma, and Ramandeep Kaur M. Malhi. 2020. "Use of Hyperion for Mangrove Forest Carbon Stock Assessment in Bhitarkanika Forest Reserve: A Contribution Towards Blue Carbon Initiative" Remote Sensing 12, no. 4: 597. https://doi.org/10.3390/rs12040597
APA StyleAnand, A., Pandey, P. C., Petropoulos, G. P., Pavlides, A., Srivastava, P. K., Sharma, J. K., & Malhi, R. K. M. (2020). Use of Hyperion for Mangrove Forest Carbon Stock Assessment in Bhitarkanika Forest Reserve: A Contribution Towards Blue Carbon Initiative. Remote Sensing, 12(4), 597. https://doi.org/10.3390/rs12040597

