Ground Validation and Error Sources Identification for GPM IMERG Product over the Southeast Coastal Regions of China
Abstract
1. Introduction
2. Materials and Methods
2.1. Study Region
2.2. Dataset
2.2.1. IMERG
2.2.2. CMPA
2.2.3. Topography and Surface Type Data
2.3. Methodology
2.3.1. Variables Processing
2.3.2. Statistical Evaluation Metrics
3. Results
3.1. General Assessment
3.2. Topographic Influence
3.3. Influence of Surface Type
3.3.1. Urban and Water Body
3.3.2. Distance to the Coast
4. Discussion
5. Conclusions
- In general, MHS has superior and stable comprehensive behavior among six individual PMWs. In general, MHS has outstanding and stable comprehensive behavior among six individual PMW sensors, and SSMIS operates well in terms of precipitation detectability, while SAPHIR has the worst performance on both precipitation detectability and quantitative estimation. The merged PMW estimate has the POD and FAR of 0.48 and 0.52, respectively, and tends to overestimate both light (<1 mm/h) and extremely large rain rates (>50 mm/h) and underestimates medium rain (around 20 mm/h). IR has undesirable overall performance with the POD and FAR of 0.40 and 0.57, respectively, and aberrantly caps all extreme rain events within 54 mm/h. The biases of merged PMW and IR are 1.0% and −5.7%. The morphed PMW and the mixture of PMW and IR estimates detect more precipitation events, increasing the POD and FAR to 0.62 and 0.58, while the conditional mean rain rate is decreased, leading to significant underestimation, with a bias of −18%. After the monthly gauge calibration, most of the indicators slightly improve.
- For the topographic influence, more precipitation events are detected in lower places with larger condition mean rate rates than highlands, and therefore suffer from larger random errors. In the first level of evaluation among six PMW sensors, except for MHS and SSMIS, the biases for the other four PMW instruments are sensitive to the elevation change and vary between 40% and −20%. IR estimate displays worse precipitation detectability in highlands with lower CSI which is stable for PMW estimates. Besides, PMW estimates have larger CC in high elevations, which characteristic further propagate to the final estimate. The monthly gauge calibration mitigates the elevation impact on the errors.
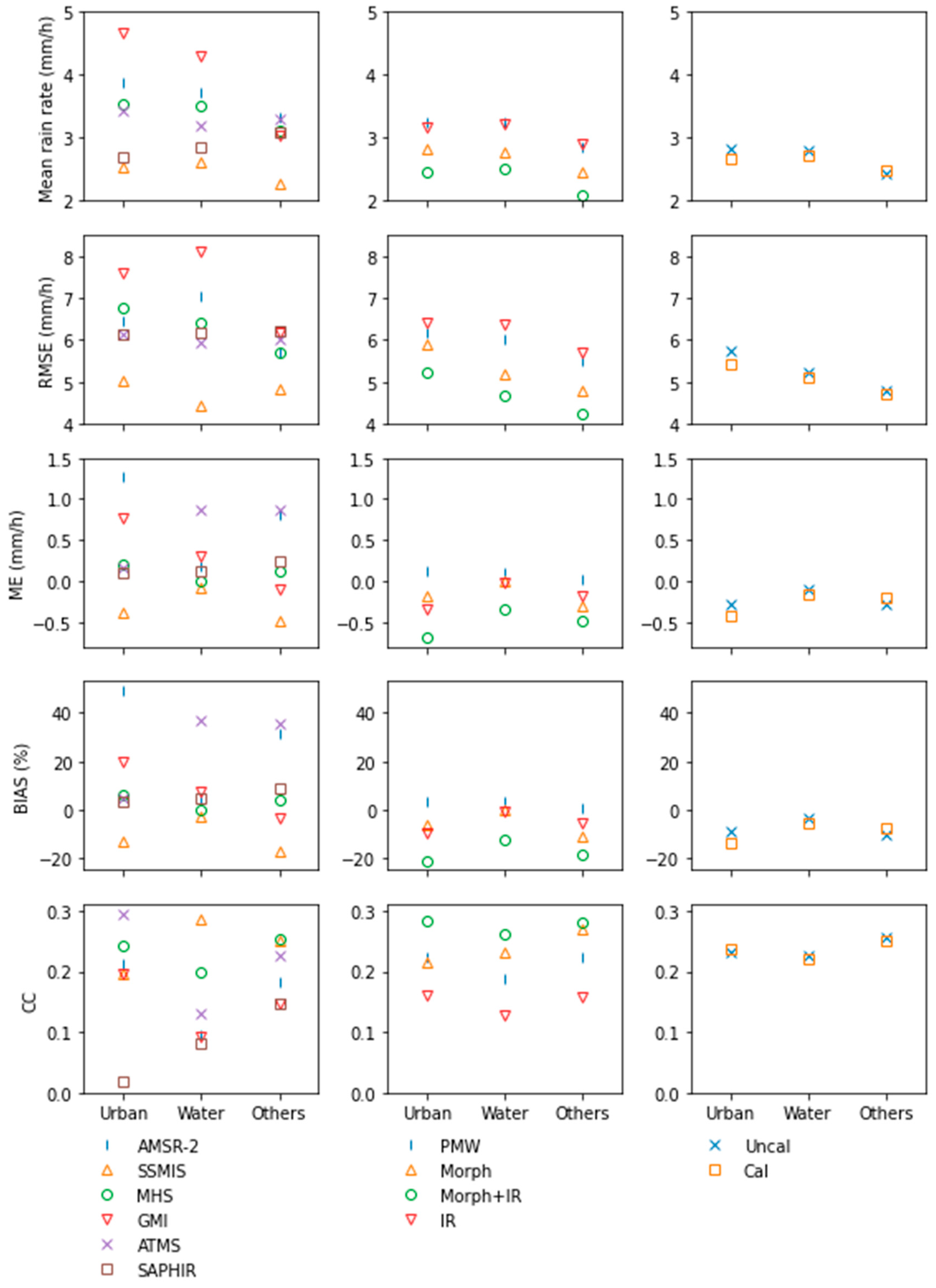
- More precipitation with larger quantitative uncertainty is recognized in urban and water body areas, while other places have a stable performance with higher CSI scores. Different from other PMW sensors, GMI shows good precipitation detectability over water areas. The gauge calibration shrinks the differences among urban, water, and other places. As for the distance to the coast, coastal areas have more precipitation than inland places with larger POD and FAR. ATMS, GMI, and MHS have better detectability over coastal areas with higher CSI values, while SSMIS, AMSR-2, and SAPHIR yield better results in inland places. For six estimates in the second and third levels of evaluations, within 240 km from the sea, the POD indexes decrease gradually from coast to inland districts, whose range for FAR is 80 km from the sea. The CSI of IR decreases from 0.29 for the most coastal group to 0.23 for the most inland places. The conditional RMSE and mean rain rate of 12 IMERG estimates obey a linear regression with the slope as 1.9, according to different distances to the coast. The monthly gauge calibration reduces the differences between the inland and coastal areas and adjusts the spatial distribution of precipitation as larger condition rain rates are detected in inland areas (>50 km from the sea) and less for coastal districts (<50 km from the sea).
Author Contributions
Funding
Conflicts of Interest
References
- Skofronick-Jackson, G.; Petersen, W.A.; Berg, W.; Kidd, C.; Stocker, E.F.; Kirschbaum, D.B.; Kakar, R.; Braun, S.A.; Huffman, G.J.; Iguchi, T.; et al. The Global Precipitation Measurement (GPM) mission for science and society. Bull. Am. Meteorol. Soc. 2017, 98, 1679–1695. [Google Scholar] [CrossRef]
- Li, Z.; Chen, M.; Gao, S.; Hong, Z.; Tang, G.; Wen, Y.; Jonathan, J.G.; Hong, Y. Cross-Examination of similarity, difference and deficiency of gauge, radar and satellite precipitation measuring uncertainties for extreme events using conventional metrics and multiplicative triple collocation. Remote Sens. 2020, 12, 1258. [Google Scholar] [CrossRef]
- Kidd, C.; Becker, A.; Huffman, G.J.; Muller, C.L.; Joe, P.; Skofronick-Jackson, G.; Kirschbaum, D.B. So, how much of the Earth’s surface is covered by rain gauges? Bull. Am. Meteorol. Soc. 2017, 98, 69–78. [Google Scholar] [CrossRef] [PubMed]
- Hou, A.Y.; Kakar, R.K.; Neeck, S.; Azarbarzin, A.A.; Kummerow, C.D.; Kojima, M.; Riko, O.; Kenji, N.; Iguchi, T. The global precipitation measurement mission. Bull. Am. Meteorol. Soc. 2014, 95, 701–722. [Google Scholar] [CrossRef]
- Huffman, G.J.; Bolvin, D.T.; Nelkin, E.J.; Tan, J. Integrated Multi-satellitE Retrievals for GPM (IMERG) technical documentation. NASA/GSFC Code 2019, 612, 1–25. [Google Scholar]
- Huffman, G.J.; Bolvin, D.T.; Braithwaite, D.; Hsu, K.; Joyce, R.; Kidd, C.; Nelkin, E.J.; Sorooshian, S.; Tan, J.; Xie, P. NASA global precipitation measurement (GPM) integrated multi-satellite retrievals for GPM (IMERG). Algor. Theor. Basis Doc. (ATBD) Vers. 2019, 4, 8–67. [Google Scholar]
- Chiaravalloti, F.; Brocca, L.; Procopio, A.; Massari, C.; Gabriele, S. Assessment of GPM and SM2RAIN-ASCAT rainfall products over complex terrain in southern Italy. Atmos. Res. 2018, 206, 64–74. [Google Scholar] [CrossRef]
- Lu, D.; Yong, B. Evaluation and hydrological utility of the latest GPM IMERG V5 and GSMaP V7 precipitation products over the Tibetan Plateau. Remote Sens. 2018, 10, 2022. [Google Scholar] [CrossRef]
- Prakash, S.; Mitra, A.K.; Aghakouchak, A.; Liu, Z.; Norouzi, H.; Pai, D. A preliminary assessment of GPM-based multi-satellite precipitation estimates over a monsoon dominated region. J. Hydrol. 2018, 556, 865–876. [Google Scholar] [CrossRef]
- Tan, J.; Petersen, W.A.; Tokay, A. A novel Approach to identify sources of errors in IMERG for GPM ground validation. J. Hydrometeorol. 2016, 17, 2477–2491. [Google Scholar] [CrossRef]
- Wang, D.; Wang, X.; Liu, L.; Wang, D.; Huang, H.; Pan, C. Evaluation of TMPA 3B42V7, GPM IMERG and CMPA precipitation estimates in Guangdong Province, China. Int. J. Climatol. 2018, 39, 738–755. [Google Scholar] [CrossRef]
- Wang, Z.; Zhong, R.; Lai, C.; Chen, J. Evaluation of the GPM IMERG satellite-based precipitation products and the hydrological utility. Atmos. Res. 2017, 196, 151–163. [Google Scholar] [CrossRef]
- Tang, G.; Clark, M.P.; Papalexiou, S.M.; Ma, Z.; Hong, Y. Have satellite precipitation products improved over last two decades? A comprehensive comparison of GPM IMERG with nine satellite and reanalysis datasets. Remote Sens. Environ. 2020, 240, 111697. [Google Scholar] [CrossRef]
- Xu, F.; Guo, B.; Ye, B.; Ye, Q.; Chen, H.; Ju, X.; Guo, J.; Wang, Z. Systematical evaluation of GPM IMERG and TRMM 3B42V7 precipitation products in the Huang-Huai-Hai Plain, China. Remote Sens. 2019, 11, 697. [Google Scholar] [CrossRef]
- Xu, R.; Tian, F.; Yang, L.; Hu, H.; Lu, H.; Hou, A. Ground validation of GPM IMERG and TRMM 3B42V7 rainfall products over southern Tibetan Plateau based on a high-density rain gauge network. J. Geophys. 2017, 122, 910–924. [Google Scholar] [CrossRef]
- Zhang, Z.; Wang, D.; Wang, G.; Qiu, J.; Liao, W. Use of SMAP soil moisture and fitting methods in improving GPM estimation in near real time. Remote Sens. 2019, 11, 368. [Google Scholar] [CrossRef]
- Kidd, C. Algorithm Theoretical Basis Document (ATBD) Version 01–02 for the NASA Global Precipitation Measurement (GPM) Precipitation Retrieval and Profiling Scheme (PRPS) 2018, GPM Project, Greenbelt, MD, 16p. Available online: https://pps.gsfc.nasa.gov/Documents/20180203_SAPHIR-ATBD.pdf (accessed on 8 September 2020).
- Hong, Y.; Hsu, K.L.; Sorooshian, S.; Gao, X. Precipitation estimation from remotely sensed imagery using an artificial neural network cloud classification system. J. Appl. Meteorol. Climatol. 2014, 43, 1834–1853. [Google Scholar] [CrossRef]
- Joyce, R.J.; Xie, P. Kalman filter–based CMORPH. J. Hydrometeorol. 2011, 12, 1547–1563. [Google Scholar] [CrossRef]
- Shen, Y.; Zhao, P.; Pan, Y.; Yu, J. A high spatiotemporal gauge-satellite merged precipitation analysis over China. J. Geophys. Res. Atmos. 2014, 119, 3063–3075. [Google Scholar] [CrossRef]
- Joyce, R.J.; Janowiak, J.E.; Arkin, P.A.; Xie, P. CMORPH: A method that produces global precipitation estimates from passive microwave and infrared data at high spatial and temporal resolution. J. Hydrometeorol. 2004, 5, 487–503. [Google Scholar] [CrossRef]
- Wang, D.; Wang, X.; Liu, L.; Wang, D.; Huang, H.; Pan, C. Evaluation of CMPA precipitation estimate in the evolution of typhoon-related storm rainfall in Guangdong, China. J. Hydroinform. 2016, 18, 1055–1068. [Google Scholar] [CrossRef]
- Chen, H.; Yong, B.; Gourley, J.J.; Liu, J.; Ren, L.; Wang, W.; Wang, W.; Hong, Y.; Zhang, J. Impact of the crucial geographic and climatic factors on the input source errors of GPM-based global satellite precipitation estimates. J. Hydrol. 2019, 575, 1–16. [Google Scholar] [CrossRef]
- Gao, Y.C.; Liu, M. Evaluation of high-resolution satellite precipitation products using rain gauge observations over the Tibetan Plateau. Hydrol. Earth Syst. Sci. 2013, 17, 837–849. [Google Scholar] [CrossRef]
- Hong, Y.; Gochis, D.; Cheng, J.T.; Hsu, K.L.; Sorooshian, S. Evaluation of PERSIANN-CCS rainfall measurement using the NAME event rain gauge network. J. Hydrometeorol. 2007, 8, 469–482. [Google Scholar] [CrossRef]
- Tian, Y.; Peters-Lidard, C.D. Systematic anomalies over inland water bodies in satellite-based precipitation estimates. Geophys. Res. Lett. 2007, 34. [Google Scholar] [CrossRef]
- Li, Z.; Wen, Y.; Schreier, M.; Behrangi, A.; Hong, Y.; Lambrigtsen, B. Advancing satellite precipitation retrievals with data driven approaches: Is black box model explainable? Earth Space Sci. 2020, 7. [Google Scholar] [CrossRef]












| Variable Name | Definition | Units |
|---|---|---|
| HQprecipitation 1 | Merged microwave-only precipitation estimate | mm/h |
| IRprecipitation | IR-only precipitation estimate | mm/h |
| precipitationUncal | Multi-satellite precipitation estimate | mm/h |
| precipitationCal | Multi-satellite precipitation estimate with gauge calibration | mm/h |
| HQprecipSource | Microwave satellite source identifier | - |
| IRkalmanFilterWeight | Weights of IR-only precipitation relative to the morphed merged microwave-only precipitation | % |
| HQprecipsource | Sensor Type | PMW Instrument | Amount of Data | Weight of Data |
|---|---|---|---|---|
| 3 | Imager | Advanced Microwave Scanning Radiometer Version 2 (AMSR-2) | 542,790 | 9.5% |
| 5 | Imager | Special Sensor Microwave Imager/Sounder (SSMIS) | 1,612,327 | 28% |
| 7 | Sounder | Microwave Humidity Sounder (MHS) | 2,139,939 | 37% |
| 9 | Imager | GPM Microwave Imager (GMI) | 325,118 | 5.7% |
| 11 | Sounder | Advanced Temperature and Moisture Sounder (ATMS) | 683,712 | 12% |
| 20 | Sounder | Sounder for Atmospheric Profiling of Humidity in the Intertropics by Radiometry (SAPHIR) | 422,434 | 7.4% |
| Type | Metric | Formula | Unit | Optimal Value |
|---|---|---|---|---|
| Categorical index | Probability of Detection (POD) | - | 1 | |
| False Alert Ratio (FAR) | - | 0 | ||
| Critical Successful Index (CSI) | - | 1 | ||
| Continuous index | Mean Error (ME) | mm/h | 0 | |
| Root-Mean-Square Error (RMSE) | mm/h | 0 | ||
| BIAS | - | 0 | ||
| Correlation Coefficient (CC) | - | 1 |
| Amount of Hit Samples | Conditional Mean Rain Rate for CMPA (mm/h) | Conditional Mean Rain Rate for IMERG (mm/h) | Conditional ME (mm/h) | Conditional RMSE (mm/h) | Conditional BIAS (%) | Conditional CC | |
|---|---|---|---|---|---|---|---|
| AMSR-2 | 34,714 | 2.54 | 3.35 | 0.81 | 5.7 | 32 | 0.18 |
| SSMIS | 135,627 | 2.77 | 2.29 | −0.48 | 4.8 | −17 | 0.25 |
| MHS | 136,174 | 3.01 | 3.13 | 0.12 | 5.8 | 3.9 | 0.25 |
| GMI | 16,448 | 3.18 | 3.10 | −0.08 | 6.3 | −2.5 | 0.15 |
| ATMS | 32,950 | 2.45 | 3.29 | 0.84 | 6.0 | 34 | 0.23 |
| SAPHIR | 21,529 | 2.83 | 3.06 | 0.24 | 6.2 | 8.4 | 0.14 |
| PMW | 377,442 | 2.83 | 2.86 | 0.03 | 5.5 | 1.0 | 0.22 |
| Morph | 617,039 | 2.74 | 2.45 | −0.29 | 4.8 | −11 | 0.27 |
| Morph +IR | 507,484 | 2.58 | 2.10 | −0.48 | 4.3 | −19 | 0.28 |
| IR | 2,629,350 | 3.08 | 2.9 | −0.18 | 5.7 | −5.7 | 0.16 |
| Uncal | 2,661,065 | 2.71 | 2.44 | −0.27 | 4.8 | −10 | 0.25 |
| Cal | 2,661,065 | 2.69 | 2.49 | −0.20 | 4.7 | −7.6 | 0.25 |
Publisher’s Note: MDPI stays neutral with regard to jurisdictional claims in published maps and institutional affiliations. |
© 2020 by the authors. Licensee MDPI, Basel, Switzerland. This article is an open access article distributed under the terms and conditions of the Creative Commons Attribution (CC BY) license (http://creativecommons.org/licenses/by/4.0/).
Share and Cite
Sui, X.; Li, Z.; Ma, Z.; Xu, J.; Zhu, S.; Liu, H. Ground Validation and Error Sources Identification for GPM IMERG Product over the Southeast Coastal Regions of China. Remote Sens. 2020, 12, 4154. https://doi.org/10.3390/rs12244154
Sui X, Li Z, Ma Z, Xu J, Zhu S, Liu H. Ground Validation and Error Sources Identification for GPM IMERG Product over the Southeast Coastal Regions of China. Remote Sensing. 2020; 12(24):4154. https://doi.org/10.3390/rs12244154
Chicago/Turabian StyleSui, Xinxin, Zhi Li, Ziqiang Ma, Jintao Xu, Siyu Zhu, and Hui Liu. 2020. "Ground Validation and Error Sources Identification for GPM IMERG Product over the Southeast Coastal Regions of China" Remote Sensing 12, no. 24: 4154. https://doi.org/10.3390/rs12244154
APA StyleSui, X., Li, Z., Ma, Z., Xu, J., Zhu, S., & Liu, H. (2020). Ground Validation and Error Sources Identification for GPM IMERG Product over the Southeast Coastal Regions of China. Remote Sensing, 12(24), 4154. https://doi.org/10.3390/rs12244154

