Impact of Molecular Spectroscopy on Carbon Monoxide Abundances from TROPOMI
Abstract
1. Introduction
1.1. TROPOMI aboard S5P
1.2. Carbon Monoxide
1.3. Absorption in the SWIR and Retrieval
1.4. Spectroscopic Line Data and Line Profiles
1.5. Previous Studies
2. Methodology
2.1. Retrieval Setup
2.2. Input Data
2.2.1. Calibrated Level 1b Spectra
2.2.2. The Instrument’s Spectral Response
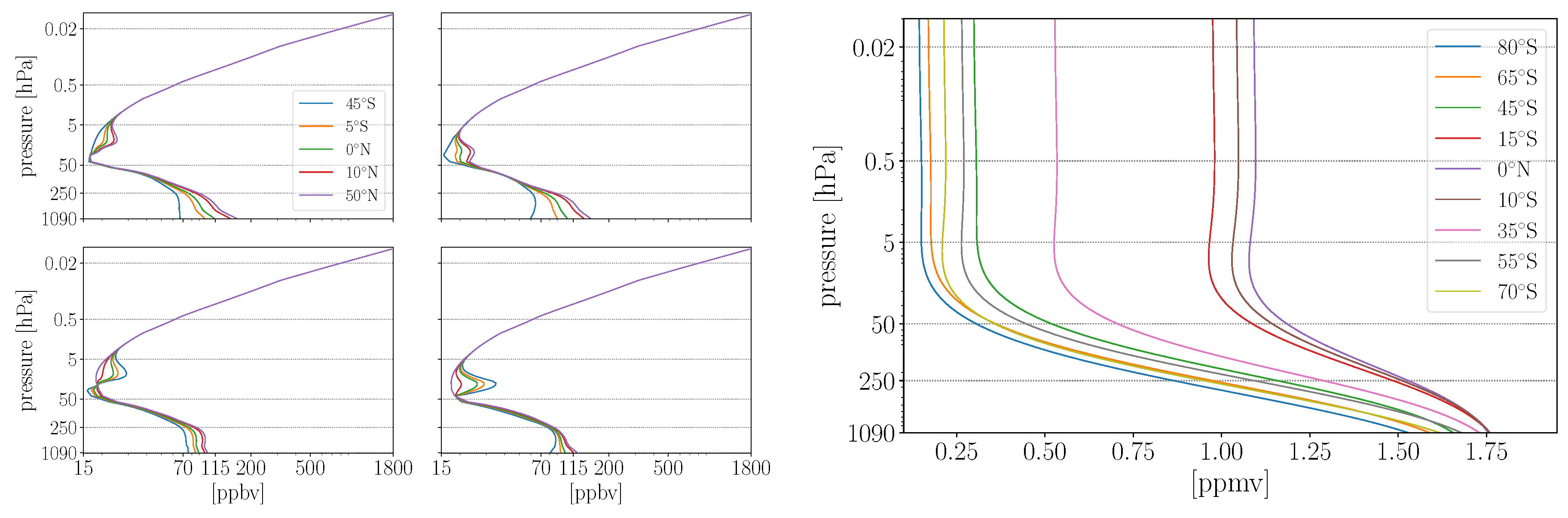
2.2.3. Atmospheric Input Data
2.2.4. Cloud Filtering and Topographic Information
2.3. Vertical Sensitivity and Relation to Priors
2.4. Assessing the Quality of the Fit
3. Results
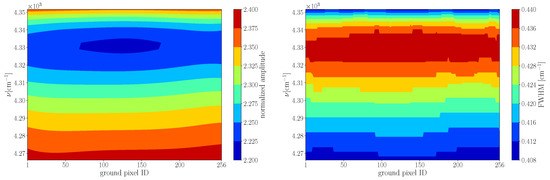
3.1. Spectral Fitting Residuals
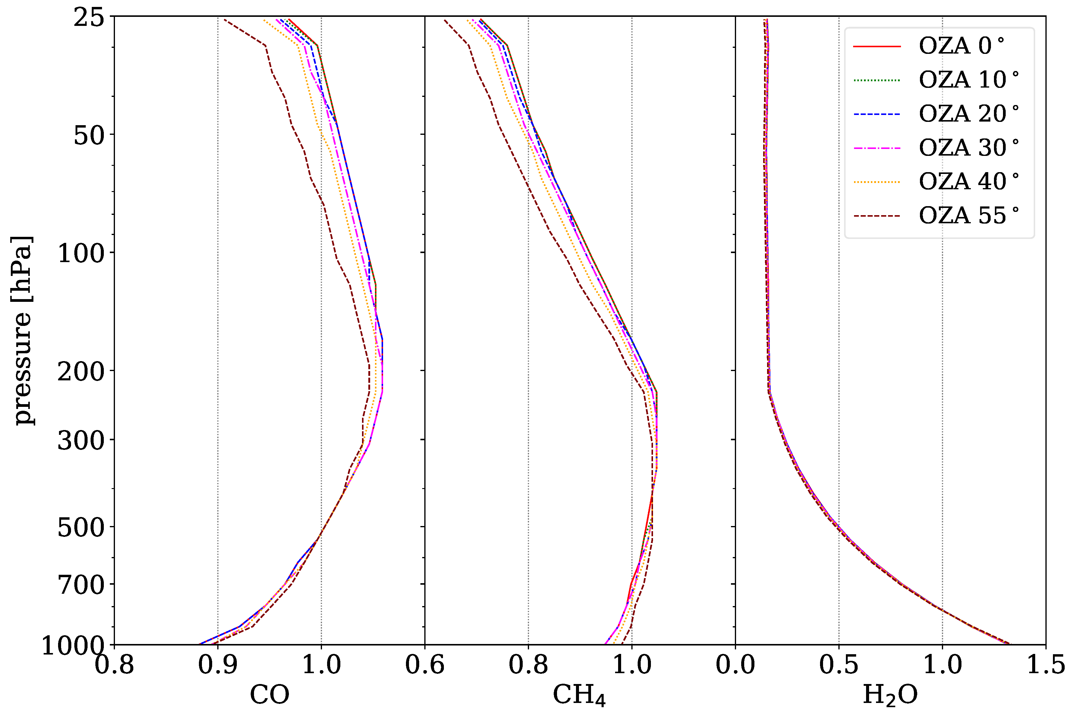
3.2. Impact on Retrieved Columns and Corresponding Errors
3.3. over Amazonia and Central-Europe
3.4. Comparison to Ground-Based Observations
4. Discussion
4.1. Spectral Residuals
4.2. Mole Fractions
4.3. Validation
5. Summary and Conclusions
Author Contributions
Funding
Acknowledgments
Conflicts of Interest
Abbreviations
| BIRRA | Beer Infrared Retrieval Algorithm |
| CRDS | Cavity Ring-Down Spectroscopy |
| FTS | Fourier Transform Spectrometer |
| FWHM | Full Width Half Maximum |
| GARLIC | Generic Atmospheric Radiation Line-by-line Infrared Code |
| G15 | Gestion et Etude des Informations Spectroscopiques Atmosphériques 2015 (GEISA 2015) |
| H16 | High Resolution Transmission 2016 (HITRAN 2016) |
| HT | Hartmann-Tran |
| HWHM | Half Width Half Maximum |
| lbl | line-by-line |
| NDACC | Network for the Detection of Atmospheric Composition Change |
| NIR | Near InfraRed |
| Py4CAtS | PYthon scripts for Computational ATmospheric Spectroscopy |
| S5P | Sentinel-5 Precursor |
| SCIAMACHY | Scanning Imaging Absorption SpectroMeter for Atmospheric CHartographY |
| SEOM | Scientific Exploitation of Operational Missions–Improved Atmospheric Spectroscopy |
| SDRM | SEOM with Speed-Dependent Rautian and line-Mixing |
| SNR | Signal-to-Noise Ratio |
| SWIR | ShortWave InfraRed |
| TCCON | Total Column Carbon Observing Network |
| TOA | Top Of Atmosphere |
| TROPOMI | TROPOspheric Monitoring Instrument |
| UVIS | Ultraviolet and VISible |
| VGT | SEOM with Voigt |
Appendix A. Errors of the Retrieved Quantities


Appendix B. TCCON Data Providers
Appendix C. NDACC Data Providers
| NDACC Site | Station PI and Coorperating Institutions |
|---|---|
| Bremen | Prof. Dr. Justus Notholt |
| Institute of Environmental Physics; University of Bremen, Germany |
References
- Struve, W.S. Fundamentals of Molecular Spectroscopy; Wiley-Interscience: New York, NY, USA, 1989; p. 379. [Google Scholar]
- Clerbaux, C.; Hadji-Lazaro, J.; Turquety, S.; Mégie, G.; Coheur, P.F. Trace gas measurements from infrared satellite for chemistry and climate applications. Atm. Chem. Phys. 2003, 3, 1495–1508. [Google Scholar] [CrossRef]
- Burrows, J.P.; Platt, U.; Borrell, P. The Remote Sensing of Tropospheric Composition from Space; Physics of Earth and Space Environment; Springer: Berlin/Heidelberg, Germany, 2011. [Google Scholar] [CrossRef]
- Veefkind, J.; Aben, I.; McMullan, K.; Förster, H.; de Vries, J.; Otter, G.; Claas, J.; Eskes, H.; de Haan, J.; Kleipool, Q.; et al. TROPOMI on the ESA Sentinel-5 Precursor: A GMES mission for global observations of the atmospheric composition for climate, air quality and ozone layer applications. Remote. Sens. Environ. 2012, 120, 70–83. [Google Scholar] [CrossRef]
- Burrows, J.P.; Weber, M.; Buchwitz, M.; Rozanov, V.; Ladstätter-Weißenmayer, A.; Richter, A.; DeBeek, R.; Hoogen, R.; Bramstedt, K.; Eichmann, K.U.; et al. The Global Ozone Monitoring Experiment (GOME): Mission Concept and First Scientific Results. J. Atmos. Sci. 1999, 56, 151–175. [Google Scholar] [CrossRef]
- Munro, R.; Lang, R.; Klaes, D.; Poli, G.; Retscher, C.; Lindstrot, R.; Huckle, R.; Lacan, A.; Grzegorski, M.; Holdak, A.; et al. The GOME-2 instrument on the Metop series of satellites: Instrument design, calibration, and level 1 data processing—An overview. Atmos. Meas. Tech. 2016, 9, 1279–1301. [Google Scholar] [CrossRef]
- Bovensmann, H.; Burrows, J.; Buchwitz, M.; Frerick, J.; Noël, S.; Rozanov, V.; Chance, K.; Goede, A. SCIAMACHY: Mission Objectives and Measurement Mode. J. Atmos. Sci. 1999, 56, 127–150. [Google Scholar] [CrossRef]
- Gottwald, M.; Bovensmann, H. (Eds.) SCIAMACHY—Exploring the Changing Earth’s Atmosphere; Springer: Dordrecht, The Netherlands, 2011. [Google Scholar] [CrossRef]
- Levelt, P.; Oord, G.; Dobber, M.; Mälkki, A.; Visser, H.; Vries, J.; Stammes, P.; Lundell, J.; Saari, H. The Ozone Monitoring Instrument. IEEE Trans. Geosci. Remote Sens. 2006, 44, 1093–1101. [Google Scholar] [CrossRef]
- Vonk, F. Input/Output Data Specification for the TROPOMI L01b Data Processor; Technical Report; The Royal Netherlands Meteorological Institute KNMI: Utrecht, The Netherlands, 2017. [Google Scholar]
- Kobayashi, H. Line–by–Line Calculation using Fourier–transformed Voigt Function. J. Quant. Spectrosc. Radiat. Transfer 1999, 62, 477–483. [Google Scholar] [CrossRef]
- Deeter, M.N.; Emmons, L.K.; Francis, G.L.; Edwards, D.P.; Gille, J.C.; Warner, J.X.; Khattatov, B.; Ziskin, D.; Lamarque, J.F.; Ho, S.P.; et al. Operational carbon monoxide retrieval algorithm and selected results for the MOPITT instrument. J. Geophys. Res. 2003, 108, 4399. [Google Scholar] [CrossRef]
- Turquety, S.; Hadji-Lazaro, J.; Clerbaux, C.; Hauglustaine, D.; Clough, T.; Cassé, V.; Schlüssel, P.; Mégie, G. Operational trace gas retrieval algorithm for the Infrared Atmospheric Sounder Interferometer. J. Geophys. Res. 2004, 109, D21301. [Google Scholar] [CrossRef]
- McMillan, W.; Barnet, C.; Strow, L.; Chahine, M.; McCourt, M.; Warner, J.; Novelli, P.; Korontzi, S.; Maddy, E.; Datta, S. Daily global maps of carbon monoxide from NASA’s Atmospheric Infrared Sounder. Geophys. Res. Lett. 2005, 32, L11801. [Google Scholar] [CrossRef]
- Rinsland, C.; Luo, M.; Logan, J.; Beer, R.; Worden, H.; Worden, J.; Bowman, K.; Kulawik, S.; Rider, D.; Osterman, G.; et al. Nadir Measurements of Carbon Monoxide Distributions by the Tropospheric Emission Spectrometer onboard the Aura Spacecraft: Overview of Analysis Approach and Examples of Initial Results. Geophys. Res. Lett. 2006, 33, L22806. [Google Scholar] [CrossRef]
- Lu, Y.; Khalil, M. Methane and carbon monoxide in OH chemistry: The effects of feedbacks and reservoirs generated by the reactive products. Chemosphere 1993, 26, 641–655. [Google Scholar] [CrossRef]
- Holloway, T.; Levy, H., II; Kasibhatla, P. Global distribution of carbon monoxide. J. Geophys. Res. 2000, 105, 12123–12147. [Google Scholar] [CrossRef]
- Feilberg, K.L.; Sellevåg, S.R.; Nielsen, C.J.; Griffith, D.W.T.; Johnson, M.S. CO + OH→CO2 + H: The relative reaction rate of five CO isotopologues. Phys. Chem. Chem. Phys. 2002, 4, 4687–4693. [Google Scholar] [CrossRef]
- Daniel, J.S.; Solomon, S. On the climate forcing of carbon monoxide. J. Geophys. Res. 1998, 103, 13249–13260. [Google Scholar] [CrossRef]
- Levy, H. Normal Atmosphere: Large Radical and Formaldehyde Concentrations Predicted. Science 1971, 173, 141–143. [Google Scholar] [CrossRef]
- Crutzen, P.J.; Zimmermann, P.H. The changing photochemistry of the troposphere. Tellus A 1991, 43, 136–151. [Google Scholar] [CrossRef]
- Buchwitz, M.; Rozanov, V.; Burrows, J. A near-infrared optimized DOAS method for the fast global retrieval of atmospheric CH4, CO, CO2, H2O, and N2O total column amounts from SCIAMACHY Envisat-1 nadir radiances. J. Geophys. Res. 2000, 105, 15231–15245. [Google Scholar] [CrossRef]
- Buchwitz, M.; de Beek, R.; Bramstedt, K.; Noël, S.; Bovensmann, H.; Burrows, J.P. Global carbon monoxide as retrieved from SCIAMACHY by WFM-DOAS. Atm. Chem. Phys. 2004, 4, 1945–1960. [Google Scholar] [CrossRef]
- Gloudemans, A.; Schrijver, H.; Hasekamp, O.; Aben, I. Error analysis for CO and CH4 total column retrievals from SCIAMACHY 2.3 μm spectra. Atm. Chem. Phys. 2008, 8, 3999–4017. [Google Scholar] [CrossRef]
- Gimeno García, S.; Schreier, F.; Lichtenberg, G.; Slijkhuis, S. Near infrared nadir retrieval of vertical column densities: Methodology and application to SCIAMACHY. Atmos. Meas. Tech. 2011, 4, 2633–2657. [Google Scholar] [CrossRef]
- Borsdorff, T.; Hasekamp, O.P.; Wassmann, A.; Landgraf, J. Insights into Tikhonov regularization: Application to trace gas column retrieval and the efficient calculation of total column averaging kernels. Atmos. Meas. Tech. 2014, 7, 523–535. [Google Scholar] [CrossRef]
- Landgraf, J.; aan de Brugh, J.; Scheepmaker, R.A.; Borsdorff, T.; Houweling, S.; Hasekamp, O. Algorithm Theoretical Baseline Document for Sentinel-5 Precursor: Carbon Monoxide Total Column Retrieval; Technical Report; SRON Netherlands Institute for Space Research: Utrecht, The Netherlands, 2018. [Google Scholar]
- Landgraf, J.; aan de Brugh, J.; Scheepmaker, R.; Borsdorff, T.; Hu, H.; Houweling, S.; Butz, A.; Aben, I.; Hasekamp, O. Carbon monoxide total column retrievals from TROPOMI shortwave infrared measurements. Atmos. Meas. Tech. 2016, 9, 4955–4975. [Google Scholar] [CrossRef]
- Schneising, O.; Buchwitz, M.; Reuter, M.; Bovensmann, H.; Burrows, J.P.; Borsdorff, T.; Deutscher, N.M.; Feist, D.G.; Griffith, D.W.T.; Hase, F.; et al. A scientific algorithm to simultaneously retrieve carbon monoxide and methane from TROPOMI onboard Sentinel-5 Precursor. Atmos. Meas. Tech. 2019, 12, 6771–6802. [Google Scholar] [CrossRef]
- Schreier, F.; Gimeno García, S.; Hochstaffl, P.; Städt, S. Py4CAtS—PYthon for Computational ATmospheric Spectroscopy. Atmosphere 2019, 10, 262. [Google Scholar] [CrossRef]
- Armstrong, B. Spectrum Line Profiles: The Voigt Function. J. Quant. Spectrosc. Radiat. Transfer 1967, 7, 61–88. [Google Scholar] [CrossRef]
- Boone, C.; Walker, K.; Bernath, P. Speed–dependent Voigt profile for water vapor in infrared remote sensing applications. J. Quant. Spectrosc. Radiat. Transfer 2007, 105, 525–532. [Google Scholar] [CrossRef]
- Schneider, M.; Hase, F. Improving spectroscopic line parameters by means of atmospheric spectra: Theory and example for water vapor and solar absorption spectra. J. Quant. Spectrosc. Radiat. Transfer 2009, 110, 1825–1839. [Google Scholar] [CrossRef]
- Schneider, M.; Hase, F.; Blavier, J.F.; Toon, G.; Leblanc, T. An empirical study on the importance of a speed-dependent Voigt line shape model for tropospheric water vapor profile remote sensing. J. Quant. Spectrosc. Radiat. Transfer 2011, 112, 465–474. [Google Scholar] [CrossRef]
- Tennyson, J.; Bernath, P.; Campargue, A.; Császár, A.; Daumont, L.; Gamache, R.; Hodges, J.; Lisak, D.; Naumenko, O.; Rothman, L.; et al. Recommended isolated-line profile for representing high-resolution spectroscopic transitions (IUPAC Technical Report). Pure Appl. Chem. 2014, 86, 1931–1943. [Google Scholar] [CrossRef]
- Birk, M.; Wagner, G. Voigt profile introduces optical depth dependent systematic errors—Detected in high resolution laboratory spectra of water. J. Quant. Spectrosc. Radiat. Transfer 2016, 170, 159–168. [Google Scholar] [CrossRef]
- Hartmann, J.M.; Tran, H.; Armante, R.; Boulet, C.; Campargue, A.; Forget, F.; Gianfrani, L.; Gordon, I.; Guerlet, S.; Hodges, J.T. Recent advances in collisional effects on spectra of molecular gases and their practical consequences. J. Quant. Spectrosc. Radiat. Transfer 2018, 213, 178–227. [Google Scholar] [CrossRef]
- Frankenberg, C.; Warneke, T.; Butz, A.; Aben, I.; Hase, F.; Spietz, P.; Brown, L.R. Pressure broadening in the 2ν3 band of methane and its implication on atmospheric retrievals. Atm. Chem. Phys. 2008, 8, 5061–5075. [Google Scholar] [CrossRef]
- Frankenberg, C.; Bergamaschi, P.; Butz, A.; Houweling, S.; Meirink, J.F.; Notholt, J.; Petersen, A.K.; Schrijver, H.; Warneke, T.; Aben, I. Tropical methane emissions: A revised view from SCIAMACHY onboard ENVISAT. Geophys. Res. Lett. 2008, 35, L15811. [Google Scholar] [CrossRef]
- Scheepmaker, R.A.; Frankenberg, C.; Galli, A.; Butz, A.; Schrijver, H.; Deutscher, N.M.; Wunch, D.; Warneke, T.; Fally, S.; Aben, I. Improved water vapour spectroscopy in the 4174–4300 cm−1 region and its impact on SCIAMACHY HDO/H2O measurements. Atmos. Meas. Tech. 2013, 6, 879–894. [Google Scholar] [CrossRef]
- Galli, A.; Butz, A.; Scheepmaker, R.A.; Hasekamp, O.; Landgraf, J.; Tol, P.; Wunch, D.; Deutscher, N.M.; Toon, G.C.; Wennberg, P.O.; et al. CH4, CO, and H2O spectroscopy for the Sentinel-5 Precursor mission: An assessment with the Total Carbon Column Observing Network measurements. Atmos. Meas. Tech. 2012, 5, 1387–1398. [Google Scholar] [CrossRef]
- Checa-García, R.; Landgraf, J.; Galli, A.; Hase, F.; Velazco, V.; Tran, H.; Boudon, V.; Alkemade, F.; Butz, A. Mapping spectroscopic uncertainties into prospective methane retrieval errors from Sentinel-5 and its precursor. Atmos. Meas. Tech. 2015, 8, 3617–3629. [Google Scholar] [CrossRef]
- Birk, M.; Wagner, G.; Loos, J.; Mondelain, D.; Campargue, A. ESA SEOM–IAS—Measurement database—2.3 μm region [Data set]. Zenodo, 2017. Available online: https://zenodo.org/record/1009122#.X5Iw-FARVhE (accessed on 27 August 2020).
- Birk, M.; Wagner, G.; Loos, J.; Mondelain, D.; Campargue, A. ESA SEOM–IAS—Spectroscopic parameters database—2.3 μm region [Data set]; Zenodo, 2017. Available online: https://figshare.com/articles/ESA_SEOM-IAS_Measurement_database_2_3_m_region/6632627/1 (accessed on 27 August 2020).
- Loos, J.; Birk, M.; Wagner, G. Measurement of positions, intensities and self-broadening line shape parameters of H2O lines in the spectral ranges 1850–2280 cm−1 and 2390–4000 cm−1. J. Quant. Spectrosc. Radiat. Transfer 2017, 203, 119–132. [Google Scholar] [CrossRef]
- Ngo, N.; Lisak, D.; Tran, H.; Hartmann, J.M. An isolated line-shape model to go beyond the Voigt profile in spectroscopic databases and radiative transfer codes. J. Quant. Spectrosc. Radiat. Transfer 2013, 129, 89–100. [Google Scholar] [CrossRef]
- Ngo, N.; Lisak, D.; Tran, H.; Hartmann, J.M. Erratum to n isolated line-shape model to go beyond the Voigt profile in spectroscopic databases and radiative transfer codes [J. Quant. Spectrosc. Radiat. Transf. 129 (2013) 89 00]. J. Quant. Spectrosc. Radiat. Transfer 2014, 134, 105. [Google Scholar] [CrossRef]
- Tran, H.; Ngo, N.; Hartmann, J.M. Efficient computation of some speed-dependent isolated line profiles. J. Quant. Spectrosc. Radiat. Transfer 2013, 129, 199–203. [Google Scholar] [CrossRef]
- Tran, H.; Ngo, N.; Hartmann, J.M. Erratum to efficient computation of some speed-dependent isolated line profiles [J. Quant. Spectrosc. Radiat. Transfer 129 (2013) 199 03]. J. Quant. Spectrosc. Radiat. Transf. 2014, 134, 104. [Google Scholar] [CrossRef]
- Rosenkranz, P. Shape of the 5 mm oxygen band in the atmosphere. IEEE Trans. Antennas Propag. 1975, 23, 498–506. [Google Scholar] [CrossRef]
- Smith, E.W. Absorption and dispersion in the O2 microwave spectrum at atmospheric pressures. J. Chem. Phys. 1981, 74, 6658–6673. [Google Scholar] [CrossRef]
- Dicke, R.H. The Effect of Collisions upon the Doppler Width of Spectral Lines. Phys. Rev. 1953, 89, 472–473. [Google Scholar] [CrossRef]
- Varghese, P.; Hanson, R. Collisional narrowing effects on spectral line shapes measured at high resolution. Appl. Opt. 1984, 23, 2376–2385. [Google Scholar] [CrossRef]
- Boone, C.; Walker, K.; Bernath, P. An efficient analytical approach for calculating line mixing in atmospheric remote sensing applications. J. Quant. Spectrosc. Radiat. Transfer 2011, 112, 980–989. [Google Scholar] [CrossRef]
- Kochanov, V.P. Speed-dependent spectral line profile including line narrowing and mixing. J. Quant. Spectrosc. Radiat. Transfer 2016, 177, 261–268. [Google Scholar] [CrossRef]
- Schreier, F. Computational Aspects of Speed-Dependent Voigt Profiles. J. Quant. Spectrosc. Radiat. Transfer 2017, 187, 44–53. [Google Scholar] [CrossRef]
- Schreier, F.; Hochstaffl, P. Computational Aspects of Speed-Dependent Voigt and Rautian Profiles. J. Quant. Spectrosc. Radiat. Transfer 2020. In press. [Google Scholar] [CrossRef]
- Borsdorff, T.; aan de Brugh, J.; Schneider, A.; Lorente, A.; Birk, M.; Wagner, G.; Kivi, R.; Hase, F.; Feist, D.G.; Sussmann, R.; et al. Improving the TROPOMI CO data product: Update of the spectroscopic database and destriping of single orbits. Atmos. Meas. Tech. 2019, 12, 5443–5455. [Google Scholar] [CrossRef]
- Hochstaffl, P.; Schreier, F. Impact of Molecular Spectroscopy on Carbon Monoxide Abundances from SCIAMACHY. Remote Sens. 2020, 12, 1084. [Google Scholar] [CrossRef]
- Gordon, I.; Rothman, L.; Hill, C.; Kochanov, R.; Tan, Y.; Bernath, P.; Birk, M.; Boudon, V.; Campargue, A.; Chance, K.; et al. The HITRAN2016 molecular spectroscopic database. J. Quant. Spectrosc. Radiat. Transfer 2017, 203, 3–69. [Google Scholar] [CrossRef]
- Jacquinet-Husson, N.; Armante, R.; Scott, N.; Chédin, A.; Crépeau, L.; Boutammine, C.; Bouhdaoui, A.; Crevoisier, C.; Capelle, V.; Boonne, C.; et al. The 2015 edition of the GEISA spectroscopic database. J. Mol. Spectrosc. 2016, 327, 31–72. [Google Scholar] [CrossRef]
- Hochstaffl, P.; Schreier, F.; Lichtenberg, G.; Gimeno García, S. Validation of Carbon Monoxide Total Column Retrievals from SCIAMACHY Observations with NDACC/TCCON Ground-Based Measurements. Remote Sens. 2018, 10, 223. [Google Scholar] [CrossRef]
- Schreier, F.; Gimeno García, S.; Hedelt, P.; Hess, M.; Mendrok, J.; Vasquez, M.; Xu, J. GARLIC—A General Purpose Atmospheric Radiative Transfer Line-by-Line Infrared-Microwave Code: Implementation and Evaluation. J. Quant. Spectrosc. Radiat. Transfer 2014, 137, 29–50. [Google Scholar] [CrossRef]
- Schreier, F. The Voigt and Complex Error Function: A Comparison of Computational Methods. J. Quant. Spectrosc. Radiat. Transfer 1992, 48, 743–762. [Google Scholar] [CrossRef]
- Kleipool, Q.; Ludewig, A.; Babić, L.; Bartstra, R.; Braak, R.; Dierssen, W.; Dewitte, P.J.; Kenter, P.; Landzaat, R.; Leloux, J.; et al. Pre-launch calibration results of the TROPOMI payload on-board the Sentinel-5 Precursor satellite. Atmos. Meas. Tech. 2018, 11, 6439–6479. [Google Scholar] [CrossRef]
- Van Kempen, T.A.; van Hees, R.M.; Tol, P.J.J.; Aben, I.; Hoogeveen, R.W.M. In-flight calibration and monitoring of the Tropospheric Monitoring Instrument (TROPOMI) short-wave infrared (SWIR) module. Atmos. Meas. Tech. 2019, 12, 6827–6844. [Google Scholar] [CrossRef]
- Kurucz, R. Model Atmosphere Codes: ATLAS12 andATLAS9 Intensity; Harvard-Smithsonian Center for Astrophysics: Cambridge, MA, USA, 2014. [Google Scholar]
- Van Hees, R.M.; Tol, P.J.J.; Cadot, S.; Krijger, M.; Persijn, S.T.; van Kempen, T.A.; Snel, R.; Aben, I.; Hoogeveen, W.M. Determination of the TROPOMI-SWIR instrument spectral response function. Atmos. Meas. Tech. 2018, 11, 3917–3933. [Google Scholar] [CrossRef]
- Smeets, J.; Kleipool, Q.; van Hees, R.; Sneep, M. README for TROPOMI Instrument Spectral Response Functions; Technical Report; The Royal Netherlands Meteorological Institute KNMI: Utrecht, The Netherlands, 2018. [Google Scholar]
- Golub, G.; Pereyra, V. Separable nonlinear least squares: The variable projection method and its applications. Inverse Probl. 2003, 19, R1–R26. [Google Scholar] [CrossRef]
- Olsen, E.T.; Warner, J.; Zigang, W.; UMCP. AIRS/AMSU/HSB Version 6 CO Initial Guess Profiles (NH & SH); Technical Report; Jet Propulsion Laboratory (JPL): Pasadena, CA, USA, 2017. [Google Scholar]
- Olsen, E.T.; Xiaozhen, X.; IMSG-NOAA/NESDIS/STAR. AIRS/AMSU/HSB Version 6 CH4 Initial Guess Profiles; Technical Report; Jet Propulsion Laboratory (JPL): Pasadena, CA, USA, 2017. [Google Scholar]
- Hauglustaine, D.A.; Brasseur, G.; Walters, S.; Rasch, P.; Müller, J.F.; Emmons, L.; Carroll, M. MOZART: A global chemical transport model for ozone and related chemical tracers. J. Geophys. Res. 1998, 1032, 28291–28336. [Google Scholar] [CrossRef]
- Kalnay, E.; Kanamitsu, M.; Kistler, R.; Collins, W.; Deaven, D.; Gandin, L.; Iredell, M.; Saha, S.; White, G.; Woollen, J.; et al. The NCEP/NCAR 40-Year Reanalysis Project. Bull. Am. Met. Soc. 1996, 77, 437–472. [Google Scholar] [CrossRef]
- Cao, C.; De Luccia, F.J.; Xiong, X.; Wolfe, R.; Weng, F. Early On-Orbit Performance of the Visible Infrared Imaging Radiometer Suite Onboard the Suomi National Polar-Orbiting Partnership (S-NPP) Satellite. IEEE Trans. Geosci. Remote Sens. 2014, 52, 1142–1156. [Google Scholar] [CrossRef]
- Cao, C.; Xiong, J.; Blonski, S.; Liu, Q.; Uprety, S.; Shao, X.; Bai, Y.; Weng, F. Suomi NPP VIIRS sensor data record verification, validation, and long-term performance monitoring. J. Geophys. Res. 2013, 118, 11664–11678. [Google Scholar] [CrossRef]
- Siddans, R.; Smith, A. S5P-NPP Cloud Processor ATBD; Technical Report; Rutherford Appleton Laboratory (RAL): Chilton, UK, 2018. [Google Scholar]
- Scheepmaker, R.A.; aan de Brugh, J.; Hu, H.; Borsdorff, T.; Frankenberg, C.; Risi, C.; Hasekamp, O.; Aben, I.; Landgraf, J. HDO and H2O total column retrievals from TROPOMI shortwave infrared measurements. Atmos. Meas. Tech. 2016, 9, 3921–3937. [Google Scholar] [CrossRef]
- Vidot, J.; Landgraf, J.; Hasekamp, O.; Butz, A.; Galli, A.; Tol, P.; Aben, I. Carbon monoxide from shortwave infrared reflectance measurements: A new retrieval approach for clear sky and partially cloudy atmospheres. Remote. Sens. Environ. 2012, 120, 255–266. [Google Scholar] [CrossRef]
- National Geophysical Data Center. 2-Minute Gridded Global Relief Data (ETOPO2) v2; National Geophysical Data Center, NOAA: Boulder, CO, USA, 2006. [Google Scholar]
- Rodgers, C.; Connor, B. Intercomparison of remote sounding instruments. J. Geophys. Res. 2003, 108, 4116. [Google Scholar] [CrossRef]
- Gay, D. Usage Summary for Selected Optimization Routines (PORT Mathematical Subroutine Library, Optimization Chapter); Computing Science Technical Report 153; AT&T Bell Laboratories: Murray Hill, NJ, USA, 1990; Available online: http://netlib.bell-labs.com/cm/cs/cstr/153.pdf (accessed on 17 October 2019).
- Rust, B.W. Fitting nature’s basic functions. II. Estimating uncertainties and testing hypotheses. Comput. Sci. Eng. 2001, 3, 60–64. [Google Scholar] [CrossRef]
- Hodges, J.L. The significance probability of the Smirnov two-sample test. Ark. Mat. 1958, 3, 469–486. [Google Scholar] [CrossRef]
- Wunch, D.; Toon, G.C.; Blavier, J.F.L.; Washenfelder, R.A.; Notholt, J.; Connor, B.J.; Griffith, D.W.T.; Sherlock, V.; Wennberg, P.O. The Total Carbon Column Observing Network (TCCON). Philos. Trans. Roy. Soc. London Ser. A 2011, 369, 2087–2112. [Google Scholar] [CrossRef]
- Wunch, D.; Toon, G.C.; Sherlock, V.; Deutscher, N.M.; Liu, C.; Feist, D.G.; Wennberg, P.O. Documentation for the 2014 TCCON Data Release. CaltechDATA 2015. [Google Scholar] [CrossRef]
- Wunch, D.; Toon, G.C.; Wennberg, P.O.; Wofsy, S.C.; Stephens, B.B.; Fischer, M.L.; Uchino, O.; Abshire, J.B.; Bernath, P.; Biraud, S.C.; et al. Calibration of the Total Carbon Column Observing Network using aircraft profile data. Atmos. Meas. Tech. 2010, 3, 1351–1362. [Google Scholar] [CrossRef]
- Kiel, M.; Hase, F.; Blumenstock, T.; Kirner, O. Comparison of XCO abundances from the Total Carbon Column Observing Network and the Network for the Detection of Atmospheric Composition Change measured in Karlsruhe. Atmos. Meas. Tech. 2016, 9, 2223–2239. [Google Scholar] [CrossRef]
- Notholt, J.; Petri, C.; Warneke, T.; Deutscher, N.M.; Buschmann, M.; Weinzierl, C.; Macatangay, R.C.; Grupe, P. TCCON Data from Bremen (DE), Release GGG2014.R0. TCCON Data Archive, Hosted by CaltechDATA. 2014. Available online: https://data.caltech.edu/records/268 (accessed on 27 August 2020).
- Iraci, L.T.; Podolske, J.; Hillyard, P.W.; Roehl, C.; Wennberg, P.O.; Blavier, J.F.; Allen, N.; Wunch, D.; Osterman, G.; Albertson, R. TCCON Data from Edwards (US), Release GGG2014.R1. TCCON Data Archive, Hosted by CaltechDATA. 2016. Available online: https://data.caltech.edu/records/268 (accessed on 27 August 2020).
- Sussmann, R.; Rettinger, M. TCCON Data from Garmisch (DE), Release GGG2014.R2. TCCON Data Archive, Hosted by CaltechDATA. 2018. Available online: https://data.caltech.edu/records/268 (accessed on 27 August 2020).
- Hase, F.; Blumenstock, T.; Dohe, S.; Gross, J.; Kiel, M. TCCON Data from Karlsruhe (DE), Release GGG2014.R1. TCCON Data Archive, Hosted by CaltechDATA. 2015. Available online: https://data.caltech.edu/records/268 (accessed on 27 August 2020).
- Té, Y.; Jeseck, P.; Janssen, C. TCCON Data from Paris (FR), Release GGG2014.R0. TCCON Data Archive, Hosted by CaltechDATA. 2014. Available online: https://data.caltech.edu/records/268 (accessed on 27 August 2020).
- Wennberg, P.O.; Roehl, C.M.; Wunch, D.; Toon, G.C.; Blavier, J.F.; Washenfelder, R.; Keppel-Aleks, G.; Allen, N.T.; Ayers, J. TCCON data from Park Falls (US), Release GGG2014.R1. TCCON Data Archive, Hosted by CaltechDATA. 2017. Available online: https://data.caltech.edu/records/268 (accessed on 27 August 2020).

















| Input | E() | |||||
|---|---|---|---|---|---|---|
| Region | Data | Spring | Summer | Fall | Winter | Total |
| Orbit | 6967 | 7861 | 8812 | 10,542 | ||
| Sahara | G15 | |||||
| H16 | ||||||
| SDRM | ||||||
| Orbit | 6967 | 7861 | 8811 | 10,542 | ||
| Central-Europe | G15 | |||||
| H16 | ||||||
| SDRM | ||||||
| Orbit | 7581 | 8517 | 9553 | 10,347 | ||
| Amazonia | G15 | |||||
| H16 | ||||||
| SDRM | ||||||
| Orbit | 7348 | 8231 | 9093 | 9958 | ||
| Siberia | G15 | |||||
| H16 | ||||||
| SDRM | ||||||
| Ground-Based | TROPOMI | ||||||||
|---|---|---|---|---|---|---|---|---|---|
| Filtered | Non-Filtered | ||||||||
| Station | Date | Mean | Median | Mean[ppbv] | Radius [km] | Median[ppbv] | Radius [km] | ||
| [ppbv] | [ppbv] | SDRM | H16 | SDRM | H16 | ||||
| Bremen (T) | 08/05/18 | 86.32 | 86.35 | 92.82 (11) | 90.81 (3) | 50 | 91.93 | 91.05 | 30 |
| Bremen (N) | 11/10/18 | 79.77 | 79.82 | 79.26 (23) | 77.29 (4) | 50 | 78.57 | 77.58 | 20 |
| Edwards (T) | 01/07/19 | 85.11 | 87.20 | 88.62 (7) | 86.99 (3) | 50 | 94.40 | 95.07 | 50 |
| Garmisch (T) | 20/09/19 | 77.97 | 77.90 | 76.66 (6) | 73.15 (4) | 20 | 75.21 | 74.64 | 20 |
| Karlsruhe (T) | 20/09/19 | 77.83 | 78.00 | 84.68 (13) | 84.34 (12) | 15 | 86.19 | 85.40 | 15 |
| Paris (T) | 30/06/18 | 80.56 | 80.60 | 76.89 (21) | 76.31 (8) | 200 | 76.31 | 75.44 | 200 |
| Park Falls (T) | 13/06/19 | 77.42 | 77.10 | 81.77 (19) | 84.18 (6) | 150 | 80.40 | 79.44 | 150 |
Publisher’s Note: MDPI stays neutral with regard to jurisdictional claims in published maps and institutional affiliations. |
© 2020 by the authors. Licensee MDPI, Basel, Switzerland. This article is an open access article distributed under the terms and conditions of the Creative Commons Attribution (CC BY) license (http://creativecommons.org/licenses/by/4.0/).
Share and Cite
Hochstaffl, P.; Schreier, F.; Birk, M.; Wagner, G.; G. Feist, D.; Notholt, J.; Sussmann, R.; Té, Y. Impact of Molecular Spectroscopy on Carbon Monoxide Abundances from TROPOMI. Remote Sens. 2020, 12, 3486. https://doi.org/10.3390/rs12213486
Hochstaffl P, Schreier F, Birk M, Wagner G, G. Feist D, Notholt J, Sussmann R, Té Y. Impact of Molecular Spectroscopy on Carbon Monoxide Abundances from TROPOMI. Remote Sensing. 2020; 12(21):3486. https://doi.org/10.3390/rs12213486
Chicago/Turabian StyleHochstaffl, Philipp, Franz Schreier, Manfred Birk, Georg Wagner, Dietrich G. Feist, Justus Notholt, Ralf Sussmann, and Yao Té. 2020. "Impact of Molecular Spectroscopy on Carbon Monoxide Abundances from TROPOMI" Remote Sensing 12, no. 21: 3486. https://doi.org/10.3390/rs12213486
APA StyleHochstaffl, P., Schreier, F., Birk, M., Wagner, G., G. Feist, D., Notholt, J., Sussmann, R., & Té, Y. (2020). Impact of Molecular Spectroscopy on Carbon Monoxide Abundances from TROPOMI. Remote Sensing, 12(21), 3486. https://doi.org/10.3390/rs12213486

