Using a Panchromatic Image to Improve Hyperspectral Unmixing
Abstract
1. Introduction
2. Proposed Method
2.1. Heterogeneity-Based Endmember Extraction (HBEE)
2.2. Local Constrained Non-Negative Matrix Factorization (LCNMF)
2.2.1. Partial Unmixing Step and Reconstruction Error
2.2.2. Iterative Process to Estimate Unknown Endmembers
| Algorithm 1: The LCNMF procedure. |
![]() |
2.2.3. Constrained NMF
2.3. HBEE-LCNMF Overview
3. Materials
3.1. Synthetic Data Set
3.2. Satellite Simulated Airborne Data Sets
4. Performance Assessment Protocol
4.1. Performance Criteria
4.2. State-Of-The-Art Methods Chosen for Comparison
4.3. Parameter Setting
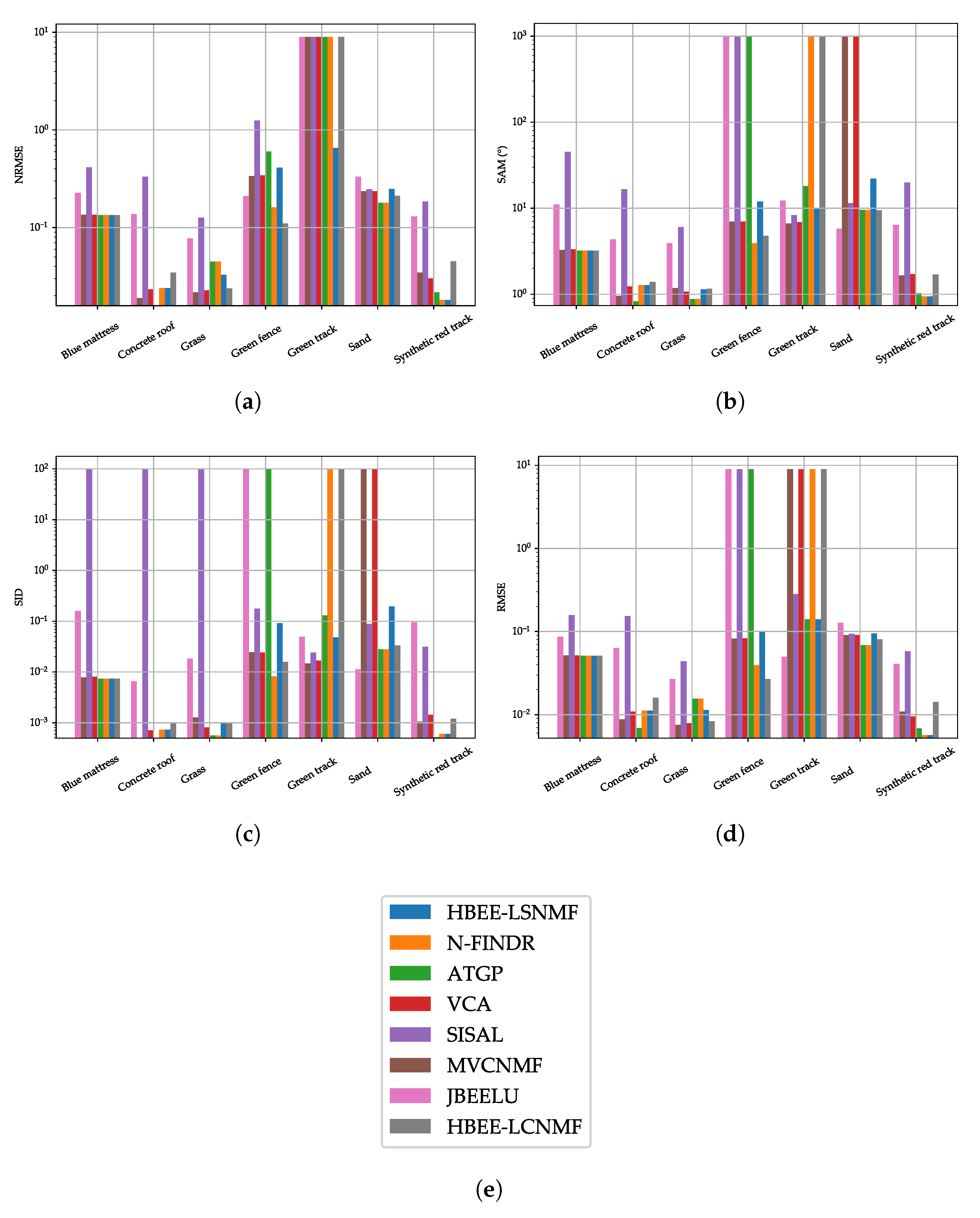
5. Results and Discussion
5.1. Unmixing Results for the Synthetic Data Set
5.2. Unmixing Results for the Basel Data Set
5.3. Unmixing Results for the Mauzac Data Set
6. Conclusions
Author Contributions
Funding
Acknowledgments
Conflicts of Interest
References
- Briottet, X.; Marion, R.; Carrere, V.; Jacquemoud, S.; Chevrel, S.; Prastault, P.; D’oria, M.; Gilouppe, P.; Hosford, S.; Lubac, B.; et al. HYPXIM: A new hyperspectral sensor combining science/defence applications. In Proceedings of the 2011 3rd Workshop on Hyperspectral Image and Signal Processing: Evolution in Remote Sensing (WHISPERS), Lisbon, Portugal, 6–9 June 2011; pp. 1–4. [Google Scholar] [CrossRef]
- Briottet, X.; Asner, G.P.; Bajjouk, T.; Carrère, V.; Chabrillat, S.; Chami, M.; Chanussot, J.; Dekker, A.; Delacourt, C.; Feret, J.B.; et al. European hyperspectral explorer: Hypex-2. Monitoring anthropogenic influences in critical zones. In Proceedings of the 10th EARSeL SIG Imaging Spectroscopy Workshop, Zurich, Switzerland, 19–21 May 2017; 11p. [Google Scholar]
- Loizzo, R.; Guarini, R.; Longo, F.; Scopa, T.; Formaro, R.; Facchinetti, C.; Varacalli, G. Prisma: The Italian Hyperspectral Mission. In Proceedings of the IGARSS 2018—2018 IEEE International Geoscience and Remote Sensing Symposium, Valencia, Spain, 22–27 July 2018; pp. 175–178. [Google Scholar] [CrossRef]
- Folkman, M.A.; Pearlman, J.; Liao, L.B.; Jarecke, P.J. EO-1/Hyperion hyperspectral imager design, development, characterization, and calibration. In Proceedings of the Hyperspectral Remote Sensing of the Land and Atmosphere (2001), International Society for Optics and Photonics, Second International Asia-Pacific Symposium on Remote Sensing of the Atmosphere, Environment, and Space, Sendai, Japan, 9–12 October 2000; Volume 4151, p. 4151. [Google Scholar] [CrossRef]
- Guanter, L.; Kaufmann, H.; Segl, K.; Foerster, S.; Rogass, C.; Chabrillat, S.; Kuester, T.; Hollstein, A.; Rossner, G.; Chlebek, C.; et al. The EnMAP Spaceborne Imaging Spectroscopy Mission for Earth Observation. Remote Sens. 2015, 7, 8830–8857. [Google Scholar] [CrossRef]
- Schaepman, M.E.; Jehle, M.; Hueni, A.; D’Odorico, P.; Damm, A.; Weyermann, J.; Schneider, F.D.; Laurent, V.; Popp, C.; Seidel, F.C.; et al. Advanced radiometry measurements and Earth science applications with the Airborne Prism Experiment (APEX). Remote Sens. Environ. 2015, 158, 207–219. [Google Scholar] [CrossRef]
- Blaaberg, S.; Løke, T.; Baarstad, I.; Fridman, A.; Koirala, P. A next generation VNIR-SWIR hyperspectral camera system: HySpex ODIN-1024. In Proceedings of the SPIE, Amsterdam, The Netherlands, 22–25 September 2014. [Google Scholar] [CrossRef]
- Thompson, D.R.; Boardman, J.W.; Eastwood, M.L.; Green, R.O.; Haag, J.M.; Mouroulis, P.; Gorp, B.V. Imaging spectrometer stray spectral response: In-flight characterization, correction, and validation. Remote Sens. Environ. 2018, 204, 850–860. [Google Scholar] [CrossRef]
- Deville, Y. Blind Source Separation and Blind Mixture Identification Methods. In Wiley Encyclopedia of Electrical and Electronics Engineering; John Wiley & Sons: Hoboken, NJ, USA, 2016; pp. 1–33. Available online: http://xxx.lanl.gov/abs/https://onlinelibrary.wiley.com/doi/pdf/10.1002/047134608X.W8300 (accessed on 31 August 2020).
- Bioucas-Dias, J.M.; Plaza, A.; Dobigeon, N.; Parente, M.; Du, Q.; Gader, P.; Chanussot, J. Hyperspectral unmixing overview: Geometrical, statistical and sparse regression-based approaches. IEEE J. Sel. Top. Appl. Earth Obs. Remote Sens. 2012, 5, 354–379. [Google Scholar] [CrossRef]
- Keshava, N.; Mustard, J.F. Spectral unmixing. IEEE Signal Process. Mag. 2002, 19, 44–57. [Google Scholar] [CrossRef]
- Liangrocapart, S.; Petrou, M. Mixed pixels classification. In Proceedings of the SPIE, Barcelona, Spain, 21–25 September 1998; Volume 3500. [Google Scholar] [CrossRef]
- Heylen, R.; Parente, M.; Gader, P. A Review of Nonlinear Hyperspectral Unmixing Methods. IEEE J. Sel. Top. Appl. Earth Obs. Remote Sens. 2014, 7, 1844–1868. [Google Scholar] [CrossRef]
- Meganem, I.; Déliot, P.; Briottet, X.; Deville, Y.; Hosseini, S. Linear–Quadratic Mixing Model for Reflectances in Urban Environments. IEEE Trans. Geosci. Remote Sens. 2014, 52, 544–558. [Google Scholar] [CrossRef]
- Drumetz, L. Endmember Variability in Hyperspectral Image Unmixing. Ph.D. Thesis, Université Grenoble Alpes, Saint-Martin-d’Héres, France, 2016. [Google Scholar]
- Revel, C.; Deville, Y.; Achard, V.; Briottet, X.; Weber, C. Inertia-Constrained Pixel-by-Pixel Nonnegative Matrix Factorisation: A Hyperspectral Unmixing Method Dealing with Intra-Class Variability. Remote Sens. 2018, 10, 1706. [Google Scholar] [CrossRef]
- Borsoi, R.A.; Imbiriba, T.; Moreira Bermudez, J.C. Improved Hyperspectral Unmixing with Endmember Variability Parametrized Using an Interpolated Scaling Tensor. In Proceedings of the ICASSP 2019—2019 IEEE International Conference on Acoustics, Speech and Signal Processing (ICASSP), Brighton, UK, 12–17 May 2019; pp. 2177–2181. [Google Scholar] [CrossRef]
- Nascimento, J.M.P.; Bioucas-Dias, J.M. Vertex component analysis: A fast algorithm to unmix hyperspectral data. IEEE Trans. Geosci. Remote Sens. 2005, 43, 898–910. [Google Scholar] [CrossRef]
- Winter, M.E. N-FINDR: An algorithm for fast autonomous spectral end-member determination in hyperspectral data. In Proceedings of the Imaging Spectrometry V. International Society for Optics and Photonics, Denver, CO, USA, 18–23 July 1999; Volume 3753, p. 10. [Google Scholar] [CrossRef]
- Ren, H.; Chang, C.I. Automatic spectral target recognition in hyperspectral imagery. IEEE Trans. Aerosp. Electron. Syst. 2003, 39, 1232–1249. [Google Scholar] [CrossRef]
- Chan, T.; Chi, C.; Huang, Y.; Ma, W. A Convex Analysis-Based Minimum-Volume Enclosing Simplex Algorithm for Hyperspectral Unmixing. IEEE Trans. Signal Process. 2009, 57, 4418–4432. [Google Scholar] [CrossRef]
- Li, J.; Bioucas-Dias, J.M. Minimum Volume Simplex Analysis: A Fast Algorithm to Unmix Hyperspectral Data. In Proceedings of the IGARSS 2008—2008 IEEE International Geoscience and Remote Sensing Symposium, Boston, MA, USA, 7–11 July 2008; Volume 3, pp. 250–253. [Google Scholar] [CrossRef]
- Bioucas-Dias, J.M. A variable splitting augmented Lagrangian approach to linear spectral unmixing. In Proceedings of the 2009 First Workshop on Hyperspectral Image and Signal Processing: Evolution in Remote Sensing, Grenoble, France, 26–28 August 2009; pp. 1–4. [Google Scholar] [CrossRef]
- Dobigeon, N.; Moussaoui, S.; Coulon, M.; Tourneret, J.; Hero, A.O. Joint Bayesian Endmember Extraction and Linear Unmixing for Hyperspectral Imagery. IEEE Trans. Signal Process. 2009, 57, 4355–4368. [Google Scholar] [CrossRef]
- Pauca, V.P.; Piper, J.; Plemmons, R.J. Nonnegative matrix factorization for spectral data analysis. Linear Algebra Appl. 2006, 416, 29–47. [Google Scholar] [CrossRef]
- Miao, L.; Qi, H. Endmember Extraction From Highly Mixed Data Using Minimum Volume Constrained Nonnegative Matrix Factorization. IEEE Trans. Geosci. Remote Sens. 2007, 45, 765–777. [Google Scholar] [CrossRef]
- Jia, S.; Qian, Y. Constrained Nonnegative Matrix Factorization for Hyperspectral Unmixing. IEEE Trans. Geosci. Remote Sens. 2009, 47, 161–173. [Google Scholar] [CrossRef]
- Huck, A.; Guillaume, M.; Blanc-Talon, J. Minimum Dispersion Constrained Nonnegative Matrix Factorization to Unmix Hyperspectral Data. IEEE Trans. Geosci. Remote Sens. 2010, 48, 2590–2602. [Google Scholar] [CrossRef]
- Moeller, M.; Esser, E.; Osher, S.; Sapiro, G.; Xin, J. A Convex Model for Matrix Factorization and Dimensionality Reduction on Physical Space and Its Application to Blind Hyperspectral Unmixing; Technical report; Minnesota Univ Minneapolis Inst for Mathematics and Its Applications: Fort Belvoir, VA, USA, 2010. [Google Scholar]
- Liu, X.; Xia, W.; Wang, B.; Zhang, L. An approach based on constrained nonnegative matrix factorization to unmix hyperspectral data. IEEE Trans. Geosci. Remote Sens. 2011, 49, 757–772. [Google Scholar] [CrossRef]
- Yang, Z.; Zhou, G.; Xie, S.; Ding, S.; Yang, J.; Zhang, J. Blind Spectral Unmixing Based on Sparse Nonnegative Matrix Factorization. IEEE Trans. Image Process. 2011, 20, 1112–1125. [Google Scholar] [CrossRef]
- Arngren, M.; Schmidt, M.N.; Larsen, J. Unmixing of Hyperspectral Images using Bayesian Non-negative Matrix Factorization with Volume Prior. J. Signal Process. Syst. 2011, 65, 479–496. [Google Scholar] [CrossRef]
- Karoui, M.S. Linear spectral unmixing-based method including extended nonnegative matrix factorization for pan-sharpening multispectral remote sensing images. In Proceedings of the SPIE Remote Sensing, Dresden, Germany, 23–26 September 2013; Volume 8892. [Google Scholar] [CrossRef]
- Lin, C.J. Projected Gradient Methods for Nonnegative Matrix Factorization. Neural Comput. 2007, 19, 2756–2779. [Google Scholar] [CrossRef]
- Zare, A.; Ho, K.C. Endmember Variability in Hyperspectral Analysis: Addressing Spectral Variability During Spectral Unmixing. IEEE Signal Process. Mag. 2014, 31, 95–104. [Google Scholar] [CrossRef]
- Drumetz, L.; Veganzones, M.; Henrot, S.; Phlypo, R.; Chanussot, J.; Jutten, C. Blind Hyperspectral Unmixing Using an Extended Linear Mixing Model to Address Spectral Variability. IEEE Trans. Image Process. 2016, 25, 3890–3905. [Google Scholar] [CrossRef] [PubMed]
- Chatterjee, A.; Yuen, P.W. Endmember Learning with K-Means through SCD Model in Hyperspectral Scene Reconstructions. J. Imaging 2019, 5, 85. [Google Scholar] [CrossRef]
- Kapoor, A.; Singhal, A. A comparative study of K-Means, K-Means++ and Fuzzy C-Means clustering algorithms. In Proceedings of the 2017 3rd International Conference on Computational Intelligence Communication Technology (CICT), Ghaziabad, India, 9–10 February 2017; pp. 1–6. [Google Scholar]
- Charles, A.S.; Olshausen, B.A.; Rozell, C.J. Learning Sparse Codes for Hyperspectral Imagery. IEEE J. Sel. Top. Signal Process. 2011, 5, 963–978. [Google Scholar] [CrossRef]
- Canham, K.; Schlamm, A.; Ziemann, A.; Basener, B.; Messinger, D. Spatially Adaptive Hyperspectral Unmixing. IEEE Trans. Geosci. Remote Sens. 2011, 49, 4248–4262. [Google Scholar] [CrossRef]
- Drumetz, L.; Tochon, G.; Veganzones, M.A.; Chanussot, J.; Jutten, C. Improved Local Spectral Unmixing of hyperspectral data using an algorithmic regularization path for collaborative sparse regression. In Proceedings of the 2017 IEEE International Conference on Acoustics, Speech and Signal Processing (ICASSP), New Orleans, LA, USA, 5–9 March 2017; pp. 6190–6194. [Google Scholar]
- Bioucas-Dias, J.M.; Nascimento, J.M.P. Hyperspectral Subspace Identification. IEEE Trans. Geosci. Remote Sens. 2008, 46, 2435–2445. [Google Scholar] [CrossRef]
- Harsanyi, J.; Farrand, W.; Chang, C.I. Determining the number and identity of spectral endmembers: An integrated approach using Neyman-Pearson eigen-thresholding and iterative constrained RMS error minimization. In Proceedings of the Thematic Conference on Geologic Remote Sensing, Environmental Research Institute of Michigan, Pasadena, CA, USA, 8–11 February 1993; Volume 1, p. 395. [Google Scholar]
- Luo, B.; Chanussot, J.; Doute, S.; Zhang, L. Empirical Automatic Estimation of the Number of Endmembers in Hyperspectral Images. IEEE Geosci. Remote Sens. Lett. 2013, 10, 24–28. [Google Scholar] [CrossRef]
- Drumetz, L.; Veganzones, M.A.; Marrero Gómez, R.; Tochon, G.; Mura, M.D.; Licciardi, G.A.; Jutten, C.; Chanussot, J. Hyperspectral Local Intrinsic Dimensionality. IEEE Trans. Geosci. Remote Sens. 2016, 54, 4063–4078. [Google Scholar] [CrossRef]
- Halimi, A.; Honeine, P.; Kharouf, M.; Richard, C.; Tourneret, J. Estimating the Intrinsic Dimension of Hyperspectral Images Using a Noise-Whitened Eigengap Approach. IEEE Trans. Geosci. Remote Sens. 2016, 54, 3811–3821. [Google Scholar] [CrossRef]
- Terreaux, E.; Ovarlez, J.; Pascal, F. New model order selection in large dimension regime for complex elliptically symmetric noise. In Proceedings of the 2017 25th European Signal Processing Conference (EUSIPCO), Kos, Greece, 28 August–2 September 2017; pp. 1090–1094. [Google Scholar] [CrossRef]
- Uezato, T.; Fauvel, M.; Dobigeon, N. Hyperspectral Image Unmixing With LiDAR Data-Aided Spatial Regularization. IEEE Trans. Geosci. Remote Sens. 2018, 56, 4098–4108. [Google Scholar] [CrossRef]
- Benkouider, Y.K.; Karoui, M.S.; De ville, Y.; Hosseini, S. A new multiplicative nonnegative matrix factorization method for unmixing hyperspectral images combined with multispectral data. In Proceedings of the 2017 25th European Signal Processing Conference (EUSIPCO), Kos, Greece, 28 August–2 September 2017; pp. 483–487. [Google Scholar]
- Yokoya, N.; Yairi, T.; Iwasaki, A. Coupled Nonnegative Matrix Factorization Unmixing for Hyperspectral and Multispectral Data Fusion. IEEE Trans. Geosci. Remote Sens. 2012, 50, 528–537. [Google Scholar] [CrossRef]
- Licciardi, G.A.; Villa, A.; Khan, M.M.; Chanussot, J. Image fusion and spectral unmixing of hyperspectral images for spatial improvement of classification maps. In Proceedings of the 2012 IEEE International Geoscience and Remote Sensing Symposium, Munich, Germany, 22–27 July 2012; pp. 7290–7293. [Google Scholar] [CrossRef]
- Wei, Q.; Bioucas-Dias, J.; Dobigeon, N.; Tourneret, J.; Chen, M.; Godsill, S. Multiband Image Fusion Based on Spectral Unmixing. IEEE Trans. Geosci. Remote Sens. 2016, 54, 7236–7249. [Google Scholar] [CrossRef]
- Karoui, M.S.; Deville, Y.; Benhalouche, F.Z.; Boukerch, I. Hypersharpening by joint-criterion nonnegative matrix factorization. IEEE Trans. Geosci. Remote Sens. 2017, 55, 1660–1670. [Google Scholar] [CrossRef]
- Yokoya, N.; Grohnfeldt, C.; Chanussot, J. Hyperspectral and Multispectral Data Fusion: A comparative review of the recent literature. IEEE Geosci. Remote Sens. Mag. 2017, 5, 29–56. [Google Scholar] [CrossRef]
- Small, C. High spatial resolution spectral mixture analysis of urban reflectance. Remote Sens. Environ. 2003, 88, 170–186. [Google Scholar] [CrossRef]
- Wu, C. Quantifying high-resolution impervious surfaces using spectral mixture analysis. Int. J. Remote Sens. 2009, 30, 2915–2932. [Google Scholar] [CrossRef]
- Rebeyrol, S.; Deville, Y.; Achard, V.; Briottet, X.; May, S. A New Hyperspectral Unmixing Method Using Co-Registered Hyperspectral and Panchromatic Images. In Proceedings of the 2019 10th Workshop on Hyperspectral Imaging and Signal Processing: Evolution in Remote Sensing (WHISPERS), Amsterdam, The Netherlands, 24–26 September 2019; pp. 1–5. [Google Scholar] [CrossRef]
- Saporta, G. Probabilités, Analyse des Données et Statistique; Editions Technip: Paris, France, 2006. [Google Scholar]
- Gordon, A.D. A Review of Hierarchical Classification. J. R. Stat. Soc. Ser. A (Gen.) 1987, 150, 119–137. [Google Scholar] [CrossRef]
- Kruse, F.; Lefkoff, A.; Boardman, J.; Heidebrecht, K.; Shapiro, A.; Barloon, P.; Goetz, A. The spectral image processing system (SIPS)—interactive visualization and analysis of imaging spectrometer data. Remote Sens. Environ. 1993, 44, 145–163. [Google Scholar] [CrossRef]
- Bro, R.; Jong, S.D. A fast non-negativity-constrained least squares algorithm. J. Chemom. 1997, 11, 393–401. [Google Scholar] [CrossRef]
- Heinz, D.C.; Chang, C.I. Fully constrained least squares linear spectral mixture analysis method for material quantification in hyperspectral imagery. IEEE Trans. Geosci. Remote Sens. 2001, 39, 529–545. [Google Scholar] [CrossRef]
- Karoui, M.S.; Benhalouche, F.Z.; Deville, Y.; Djerriri, K.; Briottet, X.; Houet, T.; Le Bris, A.; Weber, C. Partial Linear NMF-Based Unmixing Methods for Detection and Area Estimation of Photovoltaic Panels in Urban Hyperspectral Remote Sensing Data. Remote Sens. 2019, 11, 2164. [Google Scholar] [CrossRef]
- Lee, D.D.; Seung, H.S. Algorithms for Non-negative Matrix Factorization. In Advances in Neural Information Processing Systems 13; Leen, T.K., Dietterich, T.G., Tresp, V., Eds.; MIT Press: Cambridge, MA, USA, 2001; pp. 556–562. [Google Scholar]
- Cichocki, A.; Zdunek, R.; Phan, A.H.; Amari, S.I. Nonnegative Matrix and Tensor Factorizations: Applications to Exploratory Multi-Way Data Analysis and Blind Source Separation; John Wiley & Sons: Hoboken, NJ, USA, 2009; pp. i–xxi. [Google Scholar] [CrossRef]
- Comon, P.; Jutten, C. Handbook of Blind Source Separation: Independent Component Analysis and Applications; Academic Press: Cambridge, MA, USA, 2010. [Google Scholar]
- Miesch, C.; Poutier, L.; Achard, V.; Briottet, X.; Lenot, X.; Boucher, Y. Direct and inverse radiative transfer solutions for visible and near-infrared hyperspectral imagery. IEEE Trans. Geosci. Remote Sens. 2005, 43, 1552–1562. [Google Scholar] [CrossRef]
- Itten, K.I.; Dell’Endice, F.; Hueni, A.; Kneubühler, M.; Schläpfer, D.; Odermatt, D.; Seidel, F.; Huber, S.; Schopfer, J.; Kellenberger, T.; et al. APEX—The Hyperspectral ESA Airborne Prism Experiment. Sensors 2008, 8, 6235–6259. [Google Scholar] [CrossRef] [PubMed]
- Chang, C.I. An information-theoretic approach to spectral variability, similarity, and discrimination for hyperspectral image analysis. IEEE Trans. Inf. Theory 2000, 46, 1927–1932. [Google Scholar] [CrossRef]
- Kullback, S. Information Theory and Statistics; Dover Publication, Inc.: Mineola, NY, USA, 1997. [Google Scholar]


















| Fit_Tolerance | Convergence_Tolerance | Learning_Rate | Learning_Tolerance | Max_Iter | |
|---|---|---|---|---|---|
| MVCNMF | 10 | 10 | 10 | 10 | 10 |
| Stopping NMF Error Value | NMF Max Iteration | ||||
|---|---|---|---|---|---|
| value | 2.2 W/m/sr | 5.4 | 5 | 5 | 10 |
| Stopping NMF Error Value | NMF Max Iteration | a | ||||
|---|---|---|---|---|---|---|
| value | 3 W/m/sr | 7 | 0.05 | 10 | 10 | 3 |
| HBEE LCNMF | HBEE LSNMF | N-FINDR | ATGP | VCA | SISAL | MVCNMF | JBEELU | |
|---|---|---|---|---|---|---|---|---|
| 3.6 | 7.0 | 7.6 | 1.4 | 1.0 | 6.2 | 9.8 | 2.6 | |
| 8.9 | 3.4 | 2.0 | 2.9 | 2.7 | 8.8 | 2.6 | 6.6 | |
| 1.9 | 6.9 | 4.3 | 5.2 | 4.2 | 2.2 | 3.9 | 1.0 | |
| 2.9 | 8.7 | 2.0 | 2.7 | 2.7 | 1.8 | 2.6 | 1.3 | |
| 2.5 | 3.7 | 6.3 | 9.5 | 4.3 | 2.2 | 4.3 | 1.7 | |
| 3.0 | 2.9 | 3.5 | 7.8 | 4.2 | 3.4 | 4.2 | 1.8 | |
| time (s) | 8.9 | 1.1 | 1.0 | 8.8 | 9.1 | 9.6 | 2.6 | 4.7 |
| Stopping NMF Error Value | NMF Max Iteration | ||||
|---|---|---|---|---|---|
| value | 10 (W/m /sr) | 4.8 | 10 |
| Stopping NMF Error Value | NMF Max Iteration | a | ||||
|---|---|---|---|---|---|---|
| value | 11 W/m/sr | 10 | 0.05 | 6 |
| HBEE LCNMF | HBEE LSNMF | N-FINDR | ATGP | VCA | SISAL | MVCNMF | JBEELU | |
|---|---|---|---|---|---|---|---|---|
| 9.3 | 2.2 | 9.3 | 1.7 | 1.3 | 4.3 | 1.3 | 1.9 | |
| 3.3 | 5.9 | 3.2 | 4.8 | 4.2 | 1.3 | 4.2 | 6.6 | |
| 3.6 | 7.2 | 3.3 | 5.6 | 3.5 | 1.8 | 3.4 | 7.3 | |
| 9.9 | 4.9 | 7.6 | 2.8 | 8.7 | 8.0 | 8.3 | 5.6 | |
| 4.8 | 8.4 | 5.1 | 7.1 | 7.4 | 1.5 | 7.4 | 6.4 | |
| 5.5 | 1.1 | 6.2 | 1.0 | 8.7 | 2.6 | 8.7 | 9.0 | |
| time (s) | 2.7 | 1.5 | 2.1 | 1.2 | 1.3 | 5.8 | 1.4 | 1.3 |
| Stopping NMF Error Value | NMF Max Iteration | ||||
|---|---|---|---|---|---|
| value | 8 (W/m/sr) | 6 | 10 | 10 |
| Stopping NMF Error Value | NMF Max Iteration | a | ||||
|---|---|---|---|---|---|---|
| value | 12 W/m/sr | 10 | 0.1 | 10 | 10 | 4 |
| HBEE LCNMF | HBEE LSNMF | N-FINDR | ATGP | VCA | SISAL | MVCNMF | JBEELU | |
|---|---|---|---|---|---|---|---|---|
| 1.3 | 2.1 | 2.2 | 1.2 | 1.7 | 4.1 | 1.6 | 1.7 | |
| 2.8 | 3.8 | 3.7 | 2.3 | 3.1 | 9.4 | 3.1 | 2.8 | |
| 4.3 | 1.0 | 7.1 | 4.6 | 7.0 | 2.2 | 6.8 | 8.1 | |
| 1.1 | 5.0 | 4.4 | 1.4 | 3.1 | 1.1 | 2.9 | 3.7 | |
| 5.4 | 6.6 | 6.1 | 4.4 | 6.3 | 1.4 | 6.3 | 5.0 | |
| 1.0 | 1.2 | 1.3 | 1.1 | 1.4 | 2.8 | 1.4 | 1.2 | |
| time (s) | 1.1 | 9.9 | 2.1 | 9.2 | 1.1 | 5.9 | 7.6 | 1.3 |
© 2020 by the authors. Licensee MDPI, Basel, Switzerland. This article is an open access article distributed under the terms and conditions of the Creative Commons Attribution (CC BY) license (http://creativecommons.org/licenses/by/4.0/).
Share and Cite
Rebeyrol, S.; Deville, Y.; Achard, V.; Briottet, X.; May, S. Using a Panchromatic Image to Improve Hyperspectral Unmixing. Remote Sens. 2020, 12, 2834. https://doi.org/10.3390/rs12172834
Rebeyrol S, Deville Y, Achard V, Briottet X, May S. Using a Panchromatic Image to Improve Hyperspectral Unmixing. Remote Sensing. 2020; 12(17):2834. https://doi.org/10.3390/rs12172834
Chicago/Turabian StyleRebeyrol, Simon, Yannick Deville, Véronique Achard, Xavier Briottet, and Stephane May. 2020. "Using a Panchromatic Image to Improve Hyperspectral Unmixing" Remote Sensing 12, no. 17: 2834. https://doi.org/10.3390/rs12172834
APA StyleRebeyrol, S., Deville, Y., Achard, V., Briottet, X., & May, S. (2020). Using a Panchromatic Image to Improve Hyperspectral Unmixing. Remote Sensing, 12(17), 2834. https://doi.org/10.3390/rs12172834


