IHS-GTF: A Fusion Method for Optical and Synthetic Aperture Radar Data
Abstract
1. Introduction
2. Study Area and Dataset
2.1. Study Area
2.2. Dataset and Preprocessing
3. Methodology
3.1. Framework of the Proposed Method
- (1)
- Perform IHS transformation on optical image and obtain I component.
- (2)
- Obtain the detail layers of SAR image (SARd) and I component (Id) through two-scale image decomposition (TSID). Note that histogram matching between SAR image and I component should be performed before decomposition. Besides, Gaussian filter is used to reduce the speckle in the detail layer of the SAR image.
- (3)
- Combine the information of I component detail layer with that of SAR image detail layer through the pixel saliency to obtain FSAR_I.
- (4)
- I component and FSAR_I are input into the GTF algorithm to obtain the fused I component.
- (5)
- Carry out inverse IHS transformation (I-IHS) to obtain the fused image.
3.2. Overview of IHS Fusion Method
3.3. Overview of GTF Fusion Method
3.4. IHS-GTF Fusion Algorith
3.5. Impervious Surface Extraction and Accuracy Assessment
4. Results and Discussion
4.1. Visual Analysis of Fusion Results
4.2. Quantitative Comparison of Fusion Results
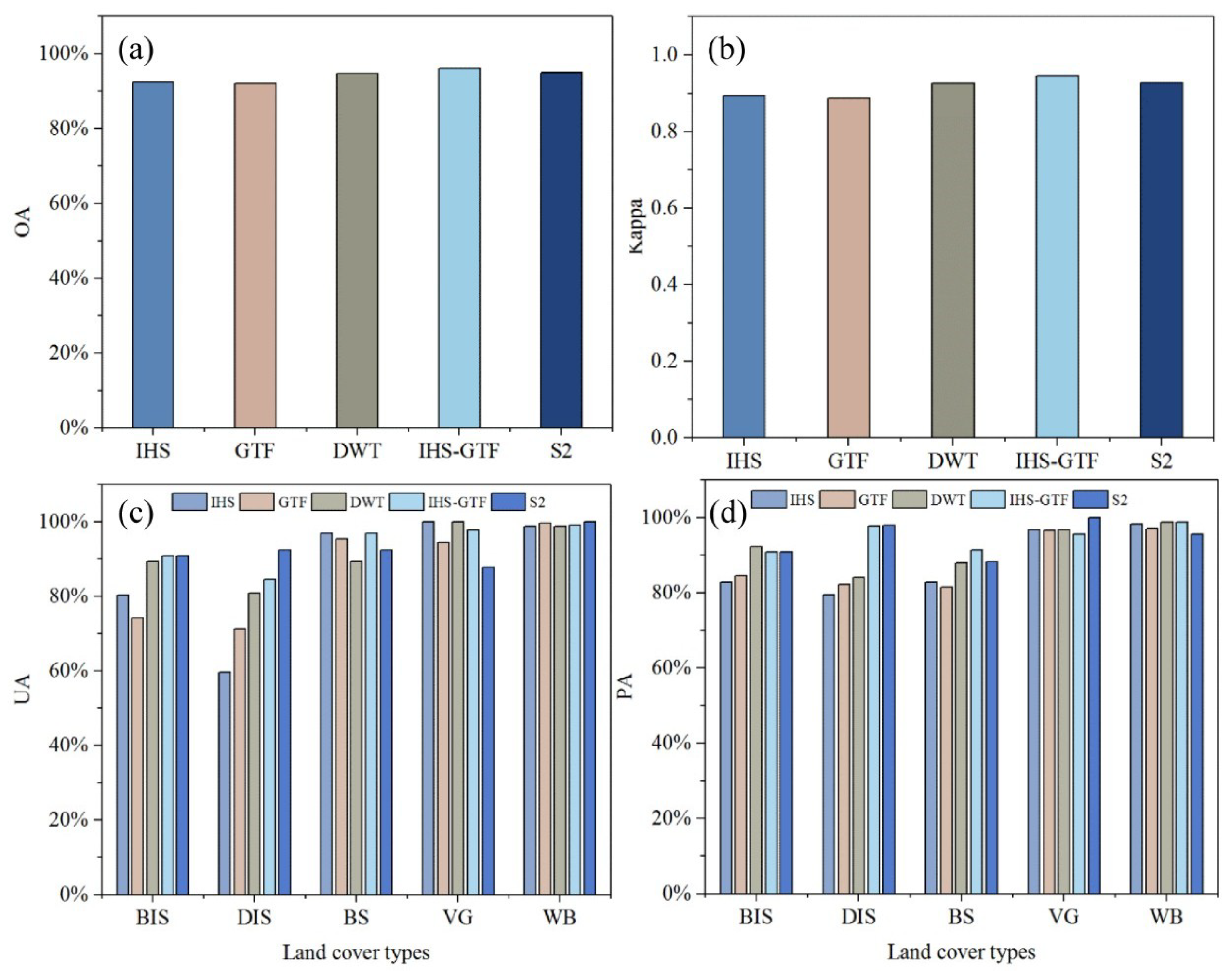
4.3. Impervious Surface Extraction and Comparison
5. Conclusions
Author Contributions
Funding
Acknowledgments
Conflicts of Interest
References
- Shao, Z.; Zhou, W.; Deng, X.; Zhang, M.; Cheng, Q. Multilabel Remote Sensing Image Retrieval Based on Fully Convolutional Network. IEEE J. Sel. Top. Appl. Earth Obs. Remote Sens 2020, 13, 318–328. [Google Scholar] [CrossRef]
- Dekker, R.J. Texture Analysis and Classification of ERS SAR Images for Map Updating of Urban Areas in The Netherlands. IEEE Trans. Geosci. Remote Sens. 2003, 41, 1950–1958. [Google Scholar] [CrossRef]
- Shao, Z.; Tang, P.; Wang, Z.; Saleem, N.; Yam, S.; Sommai, C. BRRNet: A Fully Convolutional Neural Network for Automatic Building Extraction From High-Resolution Remote Sensing Images. Remote Sens. 2020, 12, 1050. [Google Scholar] [CrossRef]
- Samadhan, C.K.; Priti, P.R. Pixel Level Fusion Techniques for SAR and Optical Images: A Review. Inf. Fusion 2020, 59, 13–19. [Google Scholar]
- Pohl, C.; Van Genderen, J. Multisensor Image Fusion in Remote Sensing: Concepts, Methods and Applications. Int. J. Remote Sens 1998, 19, 823–854. [Google Scholar] [CrossRef]
- Shao, Z.; Pan, Y.; Diao, C.; Cai, J. Cloud Detection in Remote Sensing Images Based on Multiscale Features-Convolutional Neural Network. IEEE Trans. Geosci. Remote Sens. 2019, 57, 4062–4076. [Google Scholar] [CrossRef]
- Zhenfeng, S.; Juan, D.; Lei, W.; Yewen, F.; Neema, S.; Qimin, C. Fuzzy AutoEncode Based Cloud Detection for Remote Sensing Imagery. Remote Sens. 2017, 9, 311. [Google Scholar]
- Calabresi, G. The Use of ERS SAR for Flood Monitoring: AN Overall Assessment. In Proceedings of the Second ERS Application Workshop, London, UK, 6–8 December 1995; pp. 237–241. [Google Scholar]
- Floyd, M.H.; Xia, Z.G. SAR applications in human settlement detection, population estimation and urban land use pattern analysis: A status report. IEEE Trans. Geosci. Remote Sens. 1997, 35, 79–85. [Google Scholar]
- Joshi, N.; Baumann, M.; Ehammer, A.; Reiche, J. A review of the application of optical and radar remote sensing data fusion to land use mapping and monitoring. Remote Sens. 2016, 8, 70. [Google Scholar] [CrossRef]
- Gamba, P.; Dell’Acqua, F. Fusion of radar and optical data for identification of human settlements. In Remote Sensing Impervious Surface; Taylor & Francis: Boca Raton, FL, USA, 2008; pp. 143–159. [Google Scholar]
- Guo, Q.; Li, A.; Zhang, H.Q.; Feng, Z.K. Remote Sensing Image Fusion Based on Discrete Fractional Random Transform for Modified IHS. Pet. Chem. 2013, XL-7/W1, 19–22. [Google Scholar] [CrossRef]
- Pal, S.K.; Majumdar, T.J.; Bhattacharya, A.K. ERS-2 SAR and IRS-1C LISS III data fusion: A PCA approach to improve remote sensing based geological interpretation. Isprs J. Photogramm. Remote Sens. 2007, 61, 281–297. [Google Scholar] [CrossRef]
- Abd, M.S.; Norwati, M.; Nasir, S.M.; Azura, H.N.; Abdul, H.M.R. Comparison of Classification Techniques on Fused Optical and SAR Images for Shoreline Extraction: A Case Study at Northeast Coast of Peninsular Malaysia. J. Comput. Sci. 2016, 12, 399–411. [Google Scholar]
- Dupas, C. SAR and LANDSAT TM image fusion for land cover classification in the Brazilian Atlantic Forest Domain. Int. Arch. Photogram. Remote Sens 2000, 33, 96–103. [Google Scholar]
- Chandrakanth, R.; Saibaba, J.; Varadan, G.; Raj, P.A. Feasibility of high resolution SAR and multispectral data fusion. In Proceedings of the International Geoscience and Remote Sensing Symposium (IGARSS), IEEE, Vancouver, BC, Canada, 24–29 July 2011. [Google Scholar]
- Do, M.N.; Member; Ieee; Fellow; Ieee. The Contourlet Transform: An Efficient Directional Multiresolution Image Representation. IEEE Trans. Image Process. A Publ. IEEE Signal Process. Soc. 2006, 14, 2091–2106. [Google Scholar] [CrossRef] [PubMed]
- Wu, W.; Guo, S.; Cheng, Q. Fusing optical and synthetic aperture radar images based on shearlet transform to improve urban impervious surface extraction. J. Appl. Remote Sens. 2020, 14, 1. [Google Scholar] [CrossRef]
- Chen, S.; Zhang, R.; Su, H.; Tian, J.; Xia, J. SAR and Multispectral Image Fusion Using Generalized IHS Transform Based on à Trous Wavelet and EMD Decompositions. IEEE Sens. J. 2010, 10, 737–745. [Google Scholar] [CrossRef]
- Byun, Y.; Choi, J.; Han, Y. An Area-Based Image Fusion Scheme for the Integration of SAR and Optical Satellite Imagery. IEEE J. Sel. Top. Appl. Earth Observ. Remote Sens. 2013, 6, 2212–2220. [Google Scholar] [CrossRef]
- Zhang, W.; Yu, L. SAR and Landsat ETM+ image fusion using variational model. In Proceedings of the 2010–2010 International Conference on Computer and Communication Technologies in Agriculture Engineering, Chengdu, China, 12–13 June 2010. [Google Scholar] [CrossRef]
- Yin, Z. Fusion algorithm of optical images and SAR with SVT and sparse representation. Int. J. Smart Sens. Intell. Syst. 2015, 8, 1123–1141. [Google Scholar] [CrossRef]
- Wen, X.; Li, C. Feature Level Image Fusion for SAR and Optical Images. In Proceedings of the IET International Conference on Information Science & Control Engineering, Shenzhen, China, 18 January 2012. [Google Scholar]
- Ma, J.; Chen, C.; Li, C.; Huang, J. Infrared and visible image fusion via gradient transfer and total variation minimization. Inf. Fusion 2016, 31, 100–109. [Google Scholar] [CrossRef]
- Xu, R.; Zhang, H.; Lin, H. Urban Impervious Surfaces Estimation From Optical and SAR Imagery: A Comprehensive Comparison. IEEE J. Sel. Top. Appl. Earth Obs. Remote Sens. 2017, 10, 4010–4021. [Google Scholar] [CrossRef]
- Lin, Y.; Zhang, H.; Lin, H.; Gamba, P.E.; Liu, X. Incorporating synthetic aperture radar and optical images to investigate the annual dynamics of anthropogenic impervious surface at large scale. Remote Sens. Environ. 2020, 242, 111757. [Google Scholar] [CrossRef]
- Shao, Z.; Fu, H.; Fu, P.; Yin, L. Mapping urban impervious surface by fusing optical and SAR data at the decision level. Remote Sens. 2016, 8, 945. [Google Scholar] [CrossRef]
- Xu, H. Analysis of impervious surface and its impact on Urban heat environment using the normalized difference impervious surface index (NDISI). Photogramm. Eng. Remote Sens. 2010, 76, 557–565. [Google Scholar] [CrossRef]
- Yang, J.; Sun, J.; Ge, Q.; Li, X. Assessing the impacts of urbanization-associated green space on urban land surface temperature: A case study of Dalian, China. Urban For. Urban Green. 2017, 22, 1–10. [Google Scholar] [CrossRef]
- Weng, Q.; Lu, D.; Schubring, J. Estimation of land surface temperature–vegetation abundance relationship for urban heat island studies. Remote Sens. Environ. 2004, 89, 467–483. [Google Scholar] [CrossRef]
- Wang, J.; Zhan, Q.M.; Guo, H.G.; Jin, Z.C. Characterizing the spatial dynamics of land surface temperature-impervious surface fraction relationship. Int. J. Appl. Earth Obs. Geoinf. 2016, 45, 55–65. [Google Scholar] [CrossRef]
- Shao, Z.; Fu, H.; Li, D.; Altan, O.; Cheng, T. Remote sensing monitoring of multi-scale watersheds impermeability for urban hydrological evaluation. Remote Sens. Environ. 2019, 232, 111338. [Google Scholar] [CrossRef]
- Yu, H.F.; Zhao, Y.L.; Fu, Y.C. Optimization of Impervious Surface Space Layout for Prevention of Urban Rainstorm Waterlogging: A Case Study of Guangzhou, China. Int. J. Environ. Res. Public Health. 2019, 16, 3613. [Google Scholar] [CrossRef]
- Yu, H.; Zhao, Y.; Fu, Y.; Li, L. Spatiotemporal variance assessment of urban rainstorm waterlogging affected by impervious surface expansion: A case study of Guangzhou, China. Sustainability 2018, 10, 3761. [Google Scholar] [CrossRef]
- Shao, Z.; Li, C.; Li, D.; Altan, O.; Zhang, L.; Ding, L. An Accurate Matching Method for Projecting Vector Data into Surveillance Video to Monitor and Protect Cultivated Land. Isprs Int. J. Geo-Inf. 2020, 9, 448. [Google Scholar] [CrossRef]
- Carper, W.; Lillesand, T.; Kiefer, P. The use of intensity-hue-saturation transformations for merging SPOT panchromatic and multispectral image data. Photogramm. Eng. Remote Sens. 1990, 56, 459–467. [Google Scholar]
- Chan, T.F.; Esedoglu, S. Aspects of total variation regularized L1 function approximation. Siam J. Appl. Math. 2005, 65, 1817–1837. [Google Scholar] [CrossRef]
- Li, S.; Kang, X.; Hu, J. Image Fusion With Guided Filtering. IEEE Trans. Image Process. 2013, 22, 2864–2875. [Google Scholar] [PubMed]
- Zhang, Y.; Zhang, H.; Lin, H. Improving the impervious surface estimation with combined use of optical and SAR remote sensing images. Remote Sens. Environ. 2014, 141, 155–167. [Google Scholar] [CrossRef]
- Breiman, L.; Breiman, L.; Cutler, R.A. Random Forests Machine Learning. J. Clin. Microbiol. 2001, 2, 199–228. [Google Scholar]
- Zhang, H.; Xu, R. Exploring the optimal integration levels between SAR and optical data for better urban land cover mapping in the Pearl River Delta. Int. J. Appl. Earth Observ. Geoinf. 2018, 64, 87–95. [Google Scholar] [CrossRef]
- Zhang, H.; Li, J.; Wang, T.; Lin, H.; Zheng, Z.; Li, Y.; Lu, Y. A manifold learning approach to urban land cover classification with optical and radar data. Landsc. Urban Plan. 2018, 172, 11–24. [Google Scholar] [CrossRef]










| Training Samples | Testing Samples | |||||||||
|---|---|---|---|---|---|---|---|---|---|---|
| BIS | DIS | BS | VG | WB | BIS | DIS | BS | VG | WB | |
| Site 1 | 176 | 115 | 133 | 116 | 228 | 88 | 57 | 66 | 57 | 114 |
| Site 2 | 134 | 105 | 131 | 182 | 486 | 66 | 52 | 65 | 90 | 242 |
| STD | GRAD | PSNR | SSIM | RMSE | MI | EN | SAM | ERGAS | CC | |
|---|---|---|---|---|---|---|---|---|---|---|
| IHS | 21.763 | 7.235 | 19.337 | 0.275 | 0.031 | 0.163 | 6.105 | 0.730 | 0.038 | 0.184 |
| GTF | 22.093 | 6.997 | 22.105 | 0.522 | 0.022 | 0.343 | 6.255 | 0.520 | 0.028 | 0.575 |
| DWT | 19.455 | 4.983 | 24.333 | 0.744 | 0.017 | 0.606 | 6.108 | 0.385 | 0.022 | 0.740 |
| IHS-GTF | 21.639 | 4.045 | 27.351 | 0.836 | 0.012 | 1.279 | 6.210 | 0.2618 | 0.015 | 0.886 |
| STD | GRAD | PSNR | SSIM | RMSE | MI | EN | SAM | ERGAS | CC | |
|---|---|---|---|---|---|---|---|---|---|---|
| IHS | 12.214 | 4.034 | 24.751 | 0.515 | 0.016 | 0.160 | 5.173 | 0.754 | 0.042 | 0.236 |
| GTF | 13.305 | 4.066 | 27.074 | 0.693 | 0.013 | 0.400 | 5.419 | 0.540 | 0.032 | 0.604 |
| DWT | 13.343 | 3.242 | 27.510 | 0.787 | 0.012 | 0.638 | 5.470 | 0.402 | 0.031 | 0.749 |
| IHS-GTF | 12.358 | 2.050 | 33.021 | 0.906 | 0.006 | 1.299 | 5.283 | 0.258 | 0.016 | 0.902 |
| Site 1 | Site 2 | |||||||
|---|---|---|---|---|---|---|---|---|
| IHS | IS | NIS | UA | IS | NIS | UA | ||
| IS | 129 | 12 | 91.49% | IS | 101 | 2 | 98.06% | |
| NIS | 16 | 225 | 93.36% | NIS | 17 | 395 | 95.87% | |
| PA | 88.97% | 94.94% | PA | 85.59% | 99.50% | |||
| OA | 92.67% | Kappa | 0.8435 | OA | 96.31% | Kappa | 0.8907 | |
| GTF | IS | NIS | UA | IS | NIS | UA | ||
| IS | 132 | 7 | 94.96% | IS | 99 | 4 | 96.12% | |
| NIS | 13 | 230 | 94.65% | NIS | 19 | 393 | 95.39% | |
| PA | 91.03% | 97.05% | PA | 83.90% | 98.99% | |||
| OA | 94.76% | Kappa | 0.8879 | OA | 95.53% | Kappa | 0.8677 | |
| DWT | IS | NIS | UA | IS | NIS | UA | ||
| IS | 136 | 9 | 93.79% | IS | 107 | 7 | 93.86% | |
| NIS | 9 | 228 | 96.20% | NIS | 11 | 390 | 97.26% | |
| PA | 93.79% | 96.20% | PA | 90.68% | 98.24% | |||
| OA | 95.29% | Kappa | 0.9000 | OA | 96.50% | Kappa | 0.8999 | |
| IHS-GTF | IS | NIS | UA | IS | NIS | UA | ||
| IS | 139 | 5 | 96.53% | IS | 110 | 1 | 99.10% | |
| NIS | 6 | 232 | 97.48% | NIS | 8 | 396 | 98.02% | |
| PA | 95.86% | 97.89% | PA | 93.22% | 99.75% | |||
| OA | 97.12% | Kappa | 0.9388 | OA | 98.25% | Kappa | 0.9495 | |
| S2 | IS | NIS | UA | IS | NIS | UA | ||
| IS | 139 | 8 | 94.56% | IS | 110 | 5 | 95.65% | |
| NIS | 6 | 229 | 97.45% | NIS | 8 | 392 | 98.00% | |
| PA | 95.86% | 96.62% | PA | 93.22% | 98.74% | |||
| OA | 96.34% | Kappa | 0.9224 | OA | 97.48% | Kappa | 0.9279 | |
© 2020 by the authors. Licensee MDPI, Basel, Switzerland. This article is an open access article distributed under the terms and conditions of the Creative Commons Attribution (CC BY) license (http://creativecommons.org/licenses/by/4.0/).
Share and Cite
Shao, Z.; Wu, W.; Guo, S. IHS-GTF: A Fusion Method for Optical and Synthetic Aperture Radar Data. Remote Sens. 2020, 12, 2796. https://doi.org/10.3390/rs12172796
Shao Z, Wu W, Guo S. IHS-GTF: A Fusion Method for Optical and Synthetic Aperture Radar Data. Remote Sensing. 2020; 12(17):2796. https://doi.org/10.3390/rs12172796
Chicago/Turabian StyleShao, Zhenfeng, Wenfu Wu, and Songjing Guo. 2020. "IHS-GTF: A Fusion Method for Optical and Synthetic Aperture Radar Data" Remote Sensing 12, no. 17: 2796. https://doi.org/10.3390/rs12172796
APA StyleShao, Z., Wu, W., & Guo, S. (2020). IHS-GTF: A Fusion Method for Optical and Synthetic Aperture Radar Data. Remote Sensing, 12(17), 2796. https://doi.org/10.3390/rs12172796
