Effects of Winter Snow Cover on Spring Soil Moisture Based on Remote Sensing Data Product over Farmland in Northeast China
Abstract
1. Introduction
2. Data and Methods
2.1. Study Area
2.2. Data
2.2.1. Satellite Snow Depth Data Product
2.2.2. Satellite Soil Moisture Data Product
2.2.3. Auxiliary Data
2.3. Methods
3. Results
3.1. Spatial Patterns of SD and Spring SM
3.2. Correlation Analysis of Snow Cover and Spring SM
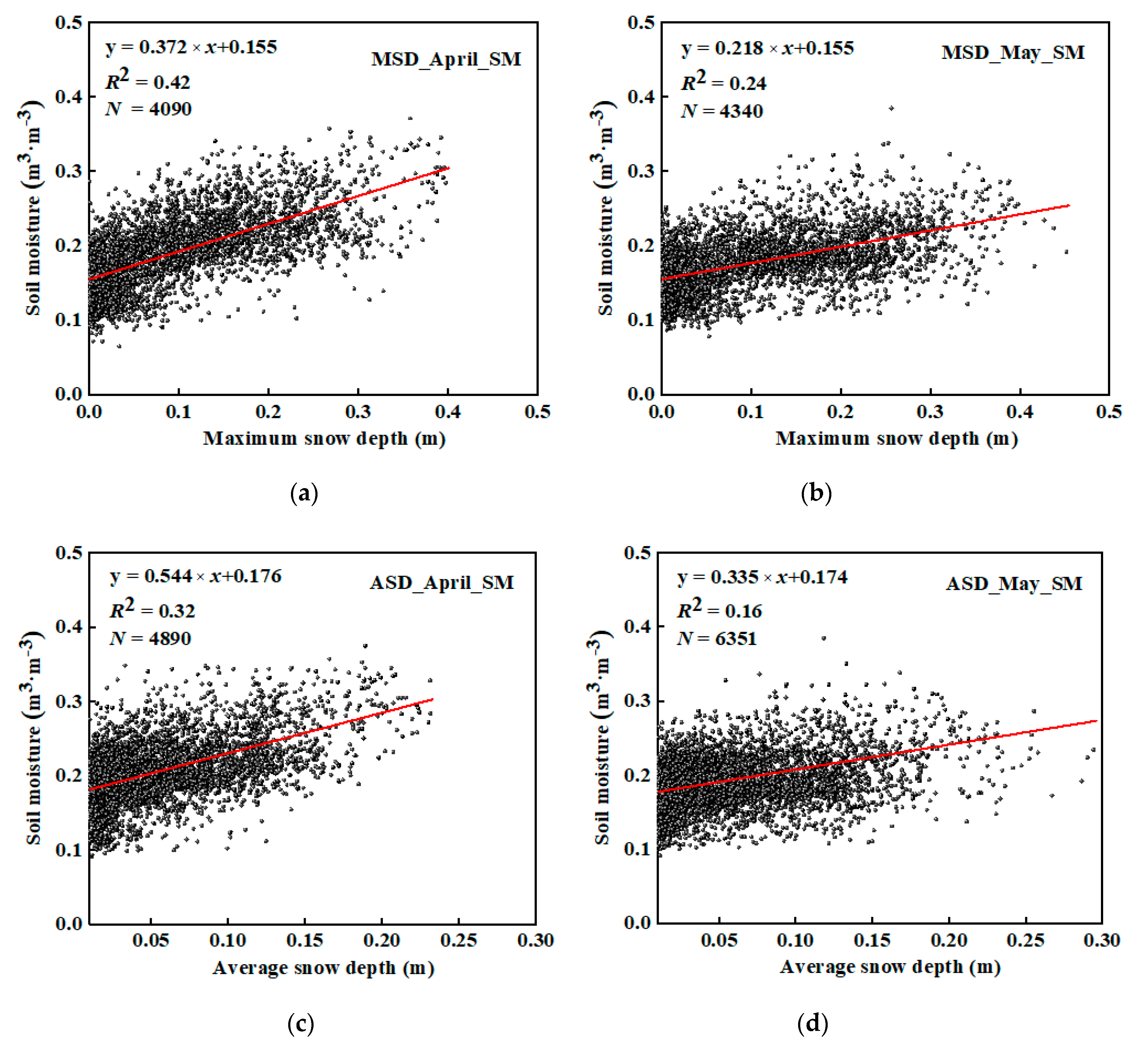
3.3. Linear Regression Model Concerning Snow Cover and Spring SM
3.4. Validation of Linear Regression Models
3.5. Analysis of Meteorological Factors
3.6. Prediction of Spring Drought and Waterlogging Probability
4. Discussion
5. Conclusions
Author Contributions
Funding
Acknowledgments
Conflicts of Interest
Appendix A
| Abbreviations | Definition | Abbreviations | Definition |
|---|---|---|---|
| AMSR-E | Advanced Microwave Scanning Radiometer for Earth Observing System | NASA | National Aeronautics and Space Administration |
| ASD | Annual average snow depth | NSIDC | National Snow and Ice Data Center |
| ASCAT | Advanced Scatterometer | R | Correlation coefficient |
| Bias | Mean bias | RMSE | Root-mean-square error |
| CCI | Climate Change Initiative | RSM | Relative soil moisture |
| DMSP | Defense Meteorological Satellite Program | SD | Snow depth |
| ESA | European Space Agency | SM | Soil moisture |
| GLDAS | Global Land Data Assimilation System | SMMR | Scanning Multichannel Microwave Radiometer |
| HWSD | Harmonized World Soil Database | SSM/I | Special Sensor Microwave Imager/Sounder |
| MSD | Maximum snow depth | WestDC | West Data Center in China |


References
- Tao, F.; Yokozawa, M.; Hayashi, Y.; Lin, E. Changes in agricultural water demands and soil moisture in China over the last half-century and their effects on agricultural production. Agric. For. Meteorol. 2003, 118, 251–261. [Google Scholar] [CrossRef]
- Li, X.; Cheng, G.; Jin, H.; Kang, E.; Che, T.; Jin, R.; Wu, L.; Nan, Z.; Wang, J.; Shen, Y. Cryospheric change in China. Glob. Planet. Chang. 2008, 62, 210–218. [Google Scholar] [CrossRef]
- Ambadan, J.T.; Berg, A.A.; Merryfield, W.J.; Lee, W.-S. Influence of snowmelt on soil moisture and on near surface air temperature during winter–spring transition season. Clim. Dyn. 2018, 51, 1295–1309. [Google Scholar] [CrossRef]
- Kumar, S.V.; Peters-Lidard, C.D.; Mocko, D.; Reichle, R.; Liu, Y.; Arsenault, K.R.; Xia, Y.; Ek, M.; Riggs, G.; Livneh, B. Assimilation of remotely sensed soil moisture and snow depth retrievals for drought estimation. J. Hydrometeorol. 2014, 15, 2446–2469. [Google Scholar] [CrossRef]
- Potopová, V.; Boroneanţ, C.; Možný, M.; Soukup, J. Driving role of snow cover on soil moisture and drought development during the growing season in the Czech Republic. Int. J. Climatol. 2016, 36, 3741–3758. [Google Scholar] [CrossRef]
- Walsh, J.E.; Jasperson, W.H.; Ross, B. Influences of snow cover and soil moisture on monthly air temperature. Mon. Weather Rev. 1985, 113, 756–768. [Google Scholar] [CrossRef]
- Goodrich, L.E. The influence of snow cover on the ground thermal regime. Can. Geotech. J. 1982, 19, 421–432. [Google Scholar] [CrossRef]
- Zhang, T. Influence of the seasonal snow cover on the ground thermal regime: An overview. Rev. Geophys. 2005, 43. [Google Scholar] [CrossRef]
- Li, X.; Zheng, X.; Wu, L.; Zhao, K.; Jiang, T.; Gu, L. Effects of snow cover on ground thermal regime: A case study in Heilongjiang Province of China. Chin. Geogr. Sci. 2016, 26, 527–538. [Google Scholar] [CrossRef]
- Shinoda, M. Climate memory of snow mass as soil moisture over central Eurasia. J. Geophys. Res. Atmos. 2001, 106, 33393–33403. [Google Scholar] [CrossRef]
- Che, T.; Dai, L.; Zheng, X.; Li, X.; Zhao, K. Estimation of snow depth from passive microwave brightness temperature data in forest regions of northeast China. Remote Sens. Environ. 2016, 183, 334–349. [Google Scholar] [CrossRef]
- Frei, A.; Tedesco, M.; Lee, S.; Foster, J.; Hall, D.K.; Kelly, R.; Robinson, D.A. A review of global satellite-derived snow products. Adv. Space Res. 2012, 50, 1007–1029. [Google Scholar] [CrossRef]
- Njoku, E.G.; Entekhabi, D. Passive microwave remote sensing of soil moisture. J. Hydrol. 1996, 184, 101–129. [Google Scholar] [CrossRef]
- Dorigo, W.A.; Scipal, K.; Parinussa, R.M.; Liu, Y.Y.; Wagner, W.; De Jeu, R.A.; Naeimi, V. Error characterisation of global active and passive microwave soil moisture datasets. Hydrol. Earth Syst. Sci. 2010, 14, 2605. [Google Scholar] [CrossRef]
- Su, Z.; Yacob, A.; Wen, J.; Roerink, G.; He, Y.; Gao, B.; Boogaard, H.; Van Diepen, C. Assessing relative soil moisture with remote sensing data: Theory, experimental validation, and application to drought monitoring over the North China Plain. Phys. Chem. Earth Parts A/B/C 2003, 28, 89–101. [Google Scholar] [CrossRef]
- Wang, G.; Jia, H.; Tang, L.; Lu, Y.; Guo, L.; Zhuang, J. Standing corn residue effects on soil frost depth, snow depth and soil heat flux in Northeast China. Soil Tillage Res. 2017, 165, 88–94. [Google Scholar] [CrossRef]
- Yang, X.; Lin, E.; Ma, S.; Ju, H.; Guo, L.; Xiong, W.; Li, Y.; Xu, Y. Adaptation of agriculture to warming in Northeast China. Clim. Chang. 2007, 84, 45–58. [Google Scholar] [CrossRef]
- Liang, L.; Li, L.; Qiang, L. Precipitation variability in Northeast China from 1961 to 2008. J. Hydrol. 2011, 404, 67–76. [Google Scholar] [CrossRef]
- Dai, L.; Che, T. Spatiotemporal variability in snow cover from 1987 to 2011 in northern China. J. Appl. Remote Sens. 2014, 8, 084693. [Google Scholar] [CrossRef]
- Che, T.; Li, X.; Jin, R.; Armstrong, R.; Zhang, T. Snow depth derived from passive microwave remote-sensing data in China. Ann. Glaciol. 2008, 49, 145–154. [Google Scholar] [CrossRef]
- Dai, L.; Che, T.; Wang, J.; Zhang, P. Snow depth and snow water equivalent estimation from AMSR-E data based on a priori snow characteristics in Xinjiang, China. Remote Sens. Environ. 2012, 127, 14–29. [Google Scholar] [CrossRef]
- Qiao, D.; Li, Z.; Nianqin, W.; Zhou, J.; Zhang, P.; Gao, S. Validation of the daily passive microwave snow depth products over northern China. Int. Arch. Photogramm. Remote Sens. Spat. Inf. Sci. 2018, 42. [Google Scholar] [CrossRef]
- Liu, Y.Y.; Dorigo, W.A.; Parinussa, R.; De Jeu, R.A.; Wagner, W.; McCabe, M.F.; Evans, J.; Van Dijk, A. Trend-preserving blending of passive and active microwave soil moisture retrievals. Remote Sens. Environ. 2012, 123, 280–297. [Google Scholar] [CrossRef]
- Liu, Y.Y.; Parinussa, R.; Dorigo, W.A.; De Jeu, R.A.; Wagner, W.; Van Dijk, A.; McCabe, M.F.; Evans, J. Developing an improved soil moisture dataset by blending passive and active microwave satellite-based retrievals. Hydrol. Earth Syst. Sci. 2011, 15, 425–436. [Google Scholar] [CrossRef]
- Wagner, W.; Dorigo, W.; De Jeu, R.; Fernandez, D.; Benveniste, J.; Haas, E.; Ertl, M. Fusion of active and passive microwave observations to create an essential climate variable data record on soil moisture. ISPRS Ann. Photogramm. Remote Sens. Spat. Inf. Sci. (ISPRS Ann.) 2012, 7, 315–321. [Google Scholar]
- Dorigo, W.; Gruber, A.; De Jeu, R.; Wagner, W.; Stacke, T.; Loew, A.; Albergel, C.; Brocca, L.; Chung, D.; Parinussa, R. Evaluation of the ESA CCI soil moisture product using ground-based observations. Remote Sens. Environ. 2015, 162, 380–395. [Google Scholar] [CrossRef]
- An, R.; Zhang, L.; Wang, Z.; Quaye-Ballard, J.A.; You, J.; Shen, X.; Gao, W.; Huang, L.; Zhao, Y.; Ke, Z. Validation of the ESA CCI soil moisture product in China. Int. J. Appl. Earth Obs. Geoinf. 2016, 48, 28–36. [Google Scholar] [CrossRef]
- Dorigo, W.; Wagner, W.; Albergel, C.; Albrecht, F.; Balsamo, G.; Brocca, L.; Chung, D.; Ertl, M.; Forkel, M.; Gruber, A. ESA CCI Soil Moisture for improved Earth system understanding: State-of-the art and future directions. Remote Sens. Environ. 2017, 203, 185–215. [Google Scholar] [CrossRef]
- Dorigo, W.; De Jeu, R.; Chung, D.; Parinussa, R.; Liu, Y.; Wagner, W.; Fernández-Prieto, D. Evaluating global trends (1988–2010) in harmonized multi-satellite surface soil moisture. Geophys. Res. Lett. 2012, 39. [Google Scholar] [CrossRef]
- Rodell, M.; Houser, P.; Jambor, U.; Gottschalck, J.; Mitchell, K.; Meng, C.-J.; Arsenault, K.; Cosgrove, B.; Radakovich, J.; Bosilovich, M. The global land data assimilation system. Bull. Am. Meteorol. Soc. 2004, 85, 381–394. [Google Scholar] [CrossRef]
- Sheffield, J.; Goteti, G.; Wood, E.F. Development of a 50-year high-resolution global dataset of meteorological forcings for land surface modeling. J. Clim. 2006, 19, 3088–3111. [Google Scholar] [CrossRef]
- Rui, H.; Beaudoing, H. README Document for NASA GLDAS Version 2 Data Products. Goddart Earth Sci. Data Inf. Serv. Cent. (GES DISC) Greenbelt MD USA 2018. Available online: https://www.google.com.hk/url?sa=t&rct=j&q=&esrc=s&source=web&cd=&ved=2ahUKEwiZmYnOzq3rAhVM7WEKHbr6DDcQFjAAegQIBRAB&url=https%3A%2F%2Fdata.mint.isi.edu%2Ffiles%2Fraw-data%2FGLDAS_NOAH025_M.2.0%2Fdoc%2FREADME_GLDAS2.pdf&usg=AOvVaw1RLtgsWOIq2ncdYbKZ81dz (accessed on 28 June 2020).
- Nachtergaele, F.; Van Velthuizen, H.; Verelst, L.; Batjes, N.; Dijkshoorn, K.; Van Engelen, V.; Fischer, G.; Jones, A.; Montanarela, L. The harmonized world soil database. In Proceedings of the 19th World Congress of Soil Science, Soil Solutions for a Changing World, Brisbane, Australia, 1–6 August 2010; pp. 34–37. [Google Scholar]
- Shi, X.; Yu, D.; Warner, E.; Pan, X.; Petersen, G.; Gong, Z.; Weindorf, D. Soil database of 1: 1,000,000 digital soil survey and reference system of the Chinese genetic soil classification system. Soil Surv. Horiz. 2004, 45, 129–136. [Google Scholar] [CrossRef]
- Vinnikov, K.Y.; Yeserkepova, I. Soil moisture: Empirical data and model results. J. Clim. 1991, 4, 66–79. [Google Scholar] [CrossRef]
- Martínez-Fernández, J.; González-Zamora, Á.; Sánchez, N.; Gumuzzio, Á.; Herrero-Jiménez, C.M. Satellite soil moisture for agricultural drought monitoring: Assessment of the SMOS derived Soil Water Deficit Index. Remote Sens. Environ. 2016, 177, 277–286. [Google Scholar] [CrossRef]
- Pomeroy, J.; Brun, E. Physical properties of snow. Snow Ecol. Interdiscip. Exam. Snowcover. Ecosyst. 2001, 45–126. Available online: https://www.researchgate.net/profile/John_Pomeroy2/publication/252454769_Snow_Ecology/links/5863689108ae8fce490a7cfc/Snow-Ecology.pdf (accessed on 28 June 2020).
- Ling, F.; Zhang, T. Impact of the timing and duration of seasonal snow cover on the active layer and permafrost in the Alaskan Arctic. Permafr. Periglac. Process. 2003, 14, 141–150. [Google Scholar] [CrossRef]
- Qiang, F.; Renjie, H.; Zilong, W.; Tianxiao, L.; Xianghao, W. Soil thermal regime under snow cover and its response to meteorological factors. Trans. Chin. Soc. Agric. Mach 2015, 46, 154–161. [Google Scholar]
- Fu, Q.; Hou, R.; Li, T.; Wang, M.; Yan, J. The functions of soil water and heat transfer to the environment and associated response mechanisms under different snow cover conditions. Geoderma 2018, 325, 9–17. [Google Scholar] [CrossRef]
- Hou, R.; Li, T.; Fu, Q.; Liu, D.; Cui, S.; Zhou, Z.; Yan, P.; Yan, J. Effect of snow-straw collocation on the complexity of soil water and heat variation in the Songnen Plain, China. Catena 2019, 172, 190–202. [Google Scholar] [CrossRef]
- Fu, Q.; Hou, R.; Li, T.; Yan, P.; Ma, Z. The critical depth of freeze-thaw soil under different types of snow cover. Water 2017, 9, 370. [Google Scholar] [CrossRef]
- Bales, R.C.; Hopmans, J.W.; O′Geen, A.T.; Meadows, M.; Hartsough, P.C.; Kirchner, P.; Hunsaker, C.T.; Beaudette, D. Soil moisture response to snowmelt and rainfall in a Sierra Nevada mixed-conifer forest. Vadose Zone J. 2011, 10, 786–799. [Google Scholar] [CrossRef]
- Niu, G.-Y.; Yang, Z.-L. Effects of frozen soil on snowmelt runoff and soil water storage at a continental scale. J. Hydrometeorol. 2006, 7, 937–952. [Google Scholar] [CrossRef]
- Harpold, A.A.; Molotch, N.P.; Musselman, K.N.; Bales, R.C.; Kirchner, P.B.; Litvak, M.; Brooks, P.D. Soil moisture response to snowmelt timing in mixed-conifer subalpine forests. Hydrol. Process. 2015, 29, 2782–2798. [Google Scholar] [CrossRef]
- Bednorz, E. Snow cover in eastern Europe in relation to temperature, precipitation and circulation. Int. J. Climatol. J. R. Meteorol. Soc. 2004, 24, 591–601. [Google Scholar] [CrossRef]
- Mintz, Y.; Walker, G. Global fields of soil moisture and land surface evapotranspiration derived from observed precipitation and surface air temperature. J. Appl. Meteorol. 1993, 32, 1305–1334. [Google Scholar] [CrossRef]
- Qiao, D.; Wang, N. Relationship between winter snow cover dynamics, climate and spring grassland vegetation phenology in inner Mongolia, China. ISPRS Int. J. GeoInf. 2019, 8, 42. [Google Scholar] [CrossRef]
- Qiao, D.; Zhou, J.; Liang, S.; Fu, X. Combined Effects of Precipitation and Temperature on the Responses of Forest Spring Phenology to Winter Snow Cover Dynamics in Northeast China. IEEE Access 2019, 7, 138950–138962. [Google Scholar] [CrossRef]
- Zheng, X.; Feng, Z.; Xu, H.; Sun, Y.; Li, L.; Li, B.; Jiang, T.; Li, X.; Li, X. A New Soil Moisture Retrieval Algorithm from the L-Band Passive Microwave Brightness Temperature Based on the Change Detection Principle. Remote Sens. 2020, 12, 1303. [Google Scholar] [CrossRef]
- Schmugge, T.; O′Neill, P.E.; Wang, J.R. Passive microwave soil moisture research. IEEE Trans. Geosci. Remote Sens. 1986, 12–22. [Google Scholar] [CrossRef]









| Condition | RSM |
|---|---|
| Drought | <50% |
| Suitable conditions | 50–70% |
| Waterlogging | >70% |
| Snow Cover Parameters | Monthly SM in April | Monthly SM in May | ||||
|---|---|---|---|---|---|---|
| R | Percentage | N | R | Percentage | N | |
| MSD | 0.53 | 45.8% | 144 | 0.52 | 53.8% | 169 |
| ASD | 0.55 | 52.2% | 164 | 0.54 | 67.8% | 213 |
| Snow Cover Parameters | Monthly SM in April | Monthly SM in May | ||
|---|---|---|---|---|
| Fitting Function | R2 | Fitting Function | R2 | |
| MSD | = 0.372 × + 0.155 | 0.42 | = 0.218 × + 0.155 | 0.24 |
| ASD | = 0.544 × + 0.176 | 0.32 | = 0.335 × + 0.174 | 0.16 |
| Linear Regression Model | Monthly SM in April | Monthly SM in May | ||||||
|---|---|---|---|---|---|---|---|---|
| Bias | RMSE | R | N | Bias | RMSE | R | N | |
| MSD and SM | −0.01 | 0.04 | 0.66 | 858 | 0.02 | 0.05 | 0.40 | 1008 |
| ASD and SM | −0.02 | 0.05 | 0.58 | 942 | 0.01 | 0.04 | 0.26 | 1230 |
| Snow Cover Parameters | Monthly SM in April | Monthly SM in May | ||
|---|---|---|---|---|
| Fitting Function | R2 | Fitting Function | R2 | |
| MSD | = 0.19 + 0.09 + 0.03 − 0.05 | 0.38 | = 0.15 + 0.06 + 0.08 − 0.01 | 0.38 |
| ASD | = 0.19 + 0.10 + 0.03 − 0.05 | 0.41 | = 0.15 + 0.07 + 0.08 − 0.03 | 0.39 |
| Snow Cover Parameters | Monthly SM in April | Monthly SM in May | ||||
|---|---|---|---|---|---|---|
| MSD | 52.94% | 17.65% | 29.41% | 40.00% | 53.33% | 6.67% |
| ASD | 55.55% | 16.67% | 27.78% | 38.89% | 44.44% | 16.67% |
| MSD | Spring Drought (RSM < 50%) | Suitable Condition (50% < RSM < 70%) | Spring Waterlogging (RSM > 70%) |
|---|---|---|---|
| <0.13 m | 74.73% | 24.73% | 0.54% |
| 0.13 m–0.35 m | 28.15% | 62.47% | 9.38% |
| >0.35 m | 1.82% | 49.09% | 49.09% |
© 2020 by the authors. Licensee MDPI, Basel, Switzerland. This article is an open access article distributed under the terms and conditions of the Creative Commons Attribution (CC BY) license (http://creativecommons.org/licenses/by/4.0/).
Share and Cite
Liang, S.; Li, X.; Zheng, X.; Jiang, T.; Li, X.; Qiao, D. Effects of Winter Snow Cover on Spring Soil Moisture Based on Remote Sensing Data Product over Farmland in Northeast China. Remote Sens. 2020, 12, 2716. https://doi.org/10.3390/rs12172716
Liang S, Li X, Zheng X, Jiang T, Li X, Qiao D. Effects of Winter Snow Cover on Spring Soil Moisture Based on Remote Sensing Data Product over Farmland in Northeast China. Remote Sensing. 2020; 12(17):2716. https://doi.org/10.3390/rs12172716
Chicago/Turabian StyleLiang, Shuang, Xiaofeng Li, Xingming Zheng, Tao Jiang, Xiaojie Li, and Dejing Qiao. 2020. "Effects of Winter Snow Cover on Spring Soil Moisture Based on Remote Sensing Data Product over Farmland in Northeast China" Remote Sensing 12, no. 17: 2716. https://doi.org/10.3390/rs12172716
APA StyleLiang, S., Li, X., Zheng, X., Jiang, T., Li, X., & Qiao, D. (2020). Effects of Winter Snow Cover on Spring Soil Moisture Based on Remote Sensing Data Product over Farmland in Northeast China. Remote Sensing, 12(17), 2716. https://doi.org/10.3390/rs12172716

