Effects of CO2 Changes on Hyperspectral Infrared Radiances and Its Implications on Atmospheric Temperature Profile Retrieval and Data Assimilation in NWP
Abstract
1. Introduction
- How do the CO2 changes affect the hyperspectral IR radiance simulation?
- How to take into account the CO2 changes in profile retrieval and DA in NWP models using hyperspectral IR sounder radiance measurements?
- Is it possible to retrieve CO2 amount or profile from a hyperspectral IR sounder? If yes, what spectral resolution and signal-to-noise-ratio are needed for retrieving CO2 from hyperspectral IR sounder radiance measurements?
- Is it possible to separate CO2 and atmospheric temperature information from a hyperspectral IR sounder radiance spectrum?
2. Methodologies
3. Results
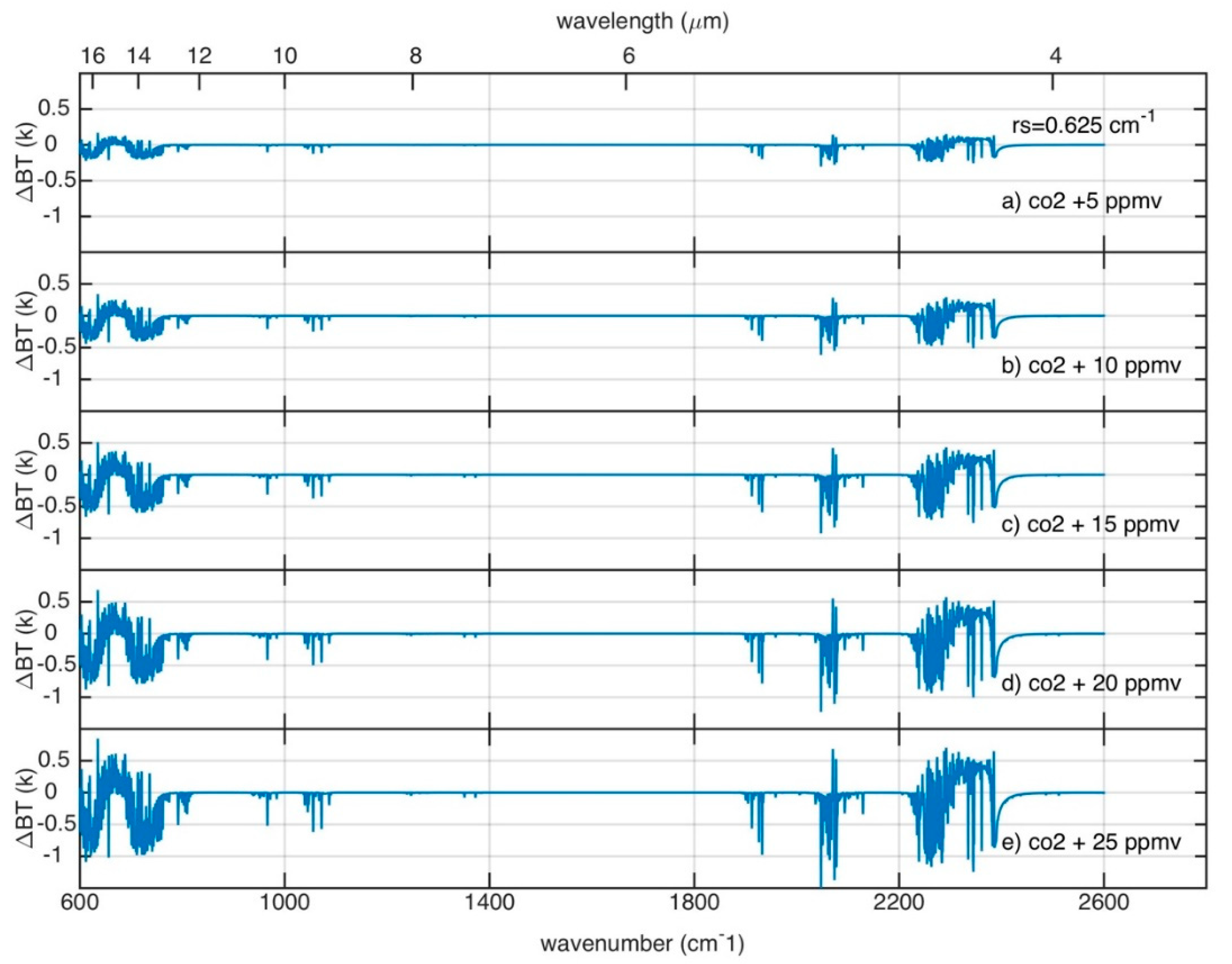
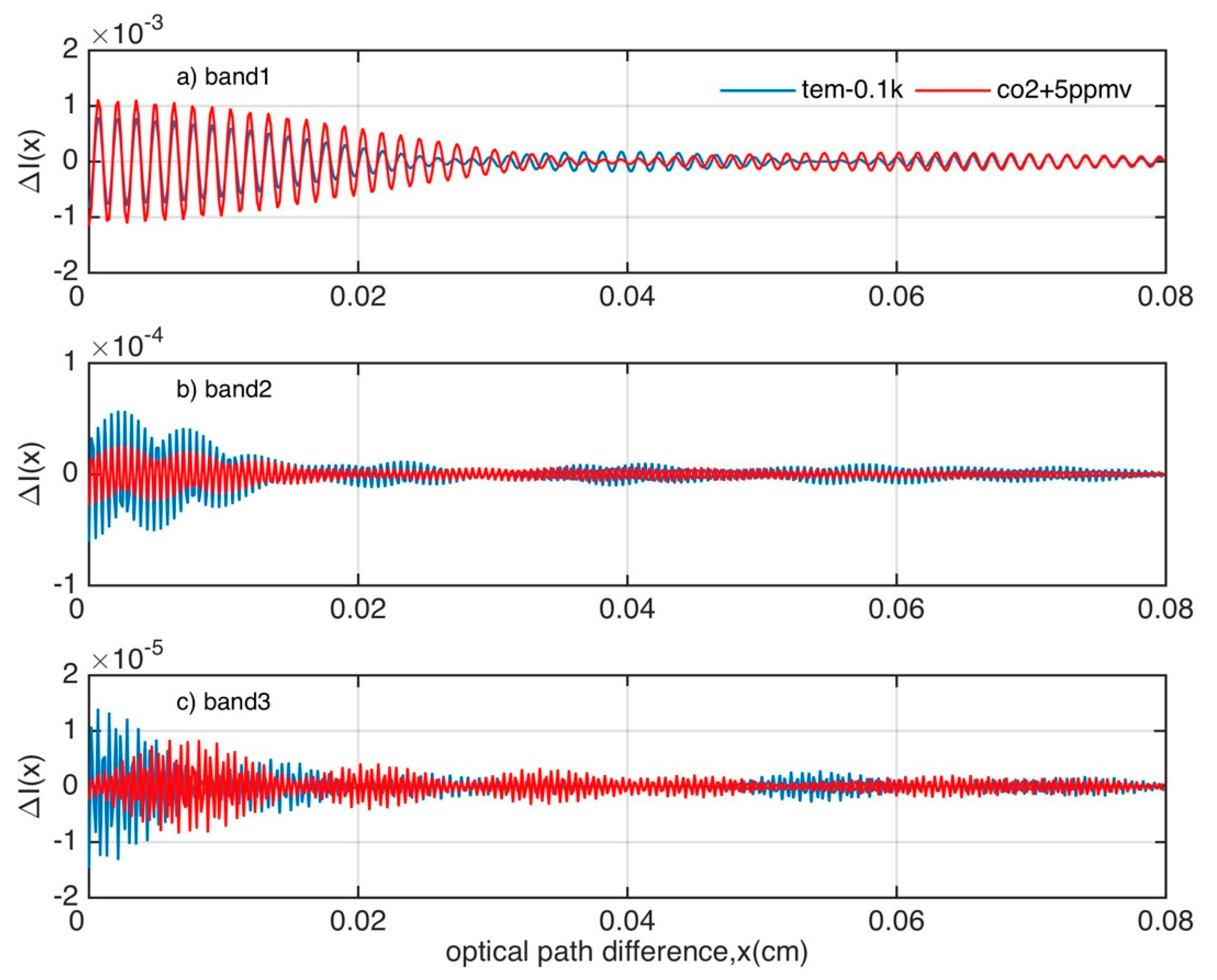
3.1. Impact of CO2 Changes on Hyperspectral IR Radiance Simulation
3.2. Impact of CO2 Changes on Temperature Profile Retrieval
3.3. Consideration of CO2 Changes in Radiance Assimilation in NWP Models
3.4. On the Separation between CO2 and Atmospheric Temperature in Hyperspectral IR Radiances
4. Discussion
5. Conclusions
- CO2 changes have substantial radiative effects on hyperspectral IR radiances calculations in both longwave and shortwave CO2 absorption IR spectral regions, as well as in the atmospheric window region. The impact differed from different spectral coverage and spectral resolution.
- The radiative effect caused by the increasing trend of CO2 has been calculated to be greater than 0.5 K within 5 years, whereas calculations indicate an increase of 0.1–0.5 K simulation bias in the fast RTM, which are introduced by the seasonal variation in some CO2 absorption spectral regions.
- Atmospheric temperature profile retrieval and radiance assimilation for NWP models using high spectral resolution IR sounder data should take into account the CO2 changes. CO2 changes have a significant impact on temperature profile retrieval (e.g., causes additional retrieval errors).
- It is challenging to separate atmospheric temperature and CO2 information using hyperspectral IR sounder radiances, because the atmospheric temperature and CO2 signals in the interferogram show that synchronous variations in phase and temperature signal are much stronger than the CO2 signal in the IR CO2 absorption regions.
Author Contributions
Funding
Acknowledgments
Conflicts of Interest
References
- Menzel, W.P.; Timothy, J.S.; Zhang, P.; Li, J. Satellite based atmospheric infrared sounder development and applications. Bull. Am. Meteorol. Soc. 2018, 99, 583–603. [Google Scholar] [CrossRef]
- Yang, J.; Zhang, Z.; Wei, C.; Feng, L.U.; Qiang, G. Introducing the new generation of Chinese geostationary weather satellites-FengYun 4 (FY-4). Bull. Am. Meteorol. Soc. 2016, 98, 8. [Google Scholar]
- Min, M.; Wu, C.; Li, C.; Liu, H.; Xu, N.; Wu, X.; Wang, X. Developing the science product algorithm testbed for Chinese next-generation geostationary meteorological satellites: Fengyun-4 series. J. Meteorol. Res. 2017, 31, 708–719. [Google Scholar] [CrossRef]
- Li, J.; Li, J.-L.; Otkin, J.; Schmit, T.J.; Liu, C. Warning information in a preconvection environment from the geostationary advanced infrared sounding system—A simulation study using IHOP case. J. Appl. Meteorol. Clim. 2011, 50, 776–783. [Google Scholar] [CrossRef]
- Li, J.; Liu, C.-Y.; Zhang, P.; Schmit, T.J. Applications of Full Spatial Resolution Space-Based Advanced Infrared Soundings in the Preconvection Environment. Weather. Forecast. 2012, 27, 515–524. [Google Scholar] [CrossRef]
- Schmit, T.; Li, J.; Lee, S.J.; Li, Z.; Dworak, R.; Lee, Y.; Bowlan, M.; Gerth, J.; Martin, G.D.; Straka, W.; et al. Legacy atmospheric profiles and derived products from GOES-16: Validation and applications. Earth. Space. Sci. 2019, 6, 1730–1748. [Google Scholar] [CrossRef]
- Li, Z.; Li, J.; Gunshor, M.; Moeller, S.-C.; Schmit, T.J.; Yu, F.; McCarty, W. Homogenized Water Vapor Absorption Band Radiances From International Geostationary Satellites. Geophys. Res. Lett. 2019, 46, 10599–10608. [Google Scholar] [CrossRef]
- Xue, Y.; Li, J.; Menzel, W.P.; Borbas, E.; Ho, S.-P.; Li, Z.; Li, J. Characteristics of Satellite Sampling Errors in Total Precipitable Water from SSMIS, HIRS, and COSMIC Observations. J. Geophys. Res. Atmos. 2019, 124, 6966–6981. [Google Scholar] [CrossRef]
- Xue, Y.; Li, J.; Li, Z.; Gunshor, M.M.; Schmit, T.J. Evaluation of the Diurnal Variation of Upper Tropospheric Humidity in Reanalysis Using Homogenized Observed Radiances from International Geostationary Weather Satellites. Remote Sens. 2020, 12, 1628. [Google Scholar] [CrossRef]
- Li, J.; Wolf, W.; Menzel, W.P.; Zhang, W.; Huang, H.-L.; Achtor, T.H. Global soundings of the atmosphere from ATOVS measurements: The algorithm and validation. J. Appl. Meteorol. 2000, 39, 1248–1268. [Google Scholar] [CrossRef]
- Chédin, A.; Hollingsworth, A.; Scott, N.A.; Serrar, S.; Crevoisier, C.; Armante, R. Annual and seasonal variations of atmospheric CO2, N2O and CO concentrations retrieved from NOAA/TOVS satellite observations. Geophys. Res. Lett. 2002, 29, 110–111. [Google Scholar] [CrossRef]
- Crevoisier, C.; Heilliette, S.; Chédin, A.; Serrar, S.; Armante, R.; Scott, N.A. Midtropospheric CO2 concentration retrieval from AIRS observations in the tropics. Geophys. Res. Lett. 2004, 31, 31. [Google Scholar] [CrossRef]
- Crevoisier, C.; Chédin, A.; Matsueda, H.; Machida, T.; Armante, R.; Scott, N.A. First year of upper tropospheric integrated content of CO2 from IASI hyperspectral infrared observations. Atmos. Chem. Phys. 2009, 9, 8187–8222. [Google Scholar] [CrossRef]
- Chahine, M.T.; Barnet, C.; Olsen, E.T.; Chen, L.; Maddy, E. On the determination of atmospheric minor gases by the method of vanishing partial derivatives with application to CO2. Geophys. Res. Lett. 2005, 32, L22803. [Google Scholar] [CrossRef]
- Chahine, M.T.; Chen, L.; Dimotakis, P.; Jiang, X.; Li, Q.; Olsen, E.T.; Pagano, T.; Randerson, J.; Yung, Y.L. Satellite remote sounding of mid-tropospheric CO2. Geophys. Res. Lett. 2008, 35, L17807. [Google Scholar] [CrossRef]
- Strow, L.L.; Hannon, S.E. A 4-year zonal climatology of lower tropospheric CO2 derived from ocean-only Atmospheric Infrared Sounder observations. J. Geophys. Res. Atmos. 2008, 113, D18302. [Google Scholar] [CrossRef]
- Ota, Y.; Imasu, R. CO2 retrieval using thermal infrared radiation observation by Interferometric Monitor for Greenhouse Gases (IMG) onboard Advanced Earth Observing Satellite (ADEOS). J. Meterol. Soc. Jpn. 2016, 94, 471–490. [Google Scholar] [CrossRef][Green Version]
- Serio, C.; Masiello, G.; Camy-Peyret, C.; Liuzzi, G. CO2 spectroscopy and forward/inverse radiative transfer modelling in the thermal band using IASI spectra. J. Quant. Spectrosc. Radiat. Transf. 2019, 222, 65–83. [Google Scholar] [CrossRef]
- Krishnapriya, M.; Chandra, A.B.; Nayak, R.K.; Patel, N.R.; Rao, P.V.N.; Dadhwal, V.K. Seasonal and inter-annual variability of atmosphere CO2 based on NOAA Carbon Tracker analysis and satellite observations. Photonirvachak-J. Ind. 2018, 46, 309–320. [Google Scholar] [CrossRef]
- Zhang, F.; Zhou, L.X. Implications for CO2 emissions and sinks changes in western China during 1995–2008 from atmospheric CO2 at Waliguan. Tellus. B 2013, 65, 19576. [Google Scholar] [CrossRef]
- Conway, T.J.; Tans, P.P.; Waterman, L.S.; Thoning, K.W.; Kitzis, D.R.; Masarie, K.A.; Zhang, N. Evidence for interannual variability of the carbon cycle from the NOAA/CMDL global air sampling network. J. Geophys. Res. 1994, 99, 22831–22855. [Google Scholar] [CrossRef]
- Clough, S.A.; Kneizys, F.X.; Davis, R.W. Line shape and the water vapor continuum. Atmos. Res. 1989, 23, 229–241. [Google Scholar] [CrossRef]
- Clough, S.A.; Kneizys, F.X.; Rothman, L.S.; Gallery, W.O. Atmospheric spectral transmittance and radiance: FASCOD1B. In Atmospheric Transmission; SPIE: Washington, WA, USA, 1981; Volume 277, pp. 152–166. [Google Scholar] [CrossRef]
- Clough, S.A.; Lacono, M.J.; Moncet, J.L. Line-by-line calculation of atmospheric fluxes and cooling rates: Application to water vapor. J. Geophys. Res. 1992, 97, 15761–15785. [Google Scholar] [CrossRef]
- Clough, S.A.; Shephard, M.W.; Mlawer, E.J.; Delamere, J.S.; Lacono, M.J.; Cady-Pereira, K.; Brown, P.D. Atmospheric radiative transfer modeling: A summary of the AER codes, short communication. J. Quant. Spectrosc. Radiat. Transf 2005, 91, 233–244. [Google Scholar] [CrossRef]
- Saunders, R.; Hocking, J.; Turner, E.; Rayer, P.; Rundle, D.; Brunel, P.; Vidot, J.; Roquet, P.; Matricardi, M.; Geer, A.; et al. An update on the RTTOV fast radiative transfer model (currently at version 12). Geosci. Model Dev. 2018, 11, 2717–2737. [Google Scholar] [CrossRef]
- Chen, Y.; Weng, F.; Han, Y.; Liu, Q. Validation of the Community Radiative Transfer Model (CRTM) by using CloudSat data. J. Geophys. Res. 2008, 113, 2156–2202. [Google Scholar] [CrossRef]
- Chen, Y.; Han, Y.; Van Delst, P.; Weng, F. On water vapor Jacobian in fast radiative transfer model. J. Geophys. Res. 2010, 115, 12303. [Google Scholar] [CrossRef]
- Di, D.; Li, J.; Han, W.; Bai, W.; Wu, C.; Menzel, W.P. Enhancing the fast radiative transfer model for FengYun-4 GIIRS by using local training profiles. J. Geophys. Res. Atmos. 2018, 123, 12583–12596. [Google Scholar] [CrossRef]
- Li, J.; Li, Z.; Wang, P.; Timothy, J.S.; Bai, W.; Robert, A. An efficient radiative transfer model for hyperspectral IR radiance simulation and applications under cloudy sky conditions. J. Geophys. Res. Atmos. 2017, 122, 7600–7613. [Google Scholar] [CrossRef]
- Engelen, R.J.; Bauer, P. The use of variable CO2 in the data assimilation of AIRS and IASI radiances. Q. J. R. Meteorol. Soc. 2014, 140, 958–965. [Google Scholar] [CrossRef]
- Yin, R.; Han, W.; Gao, Z.; Di, D. The evaluation of FY4A’s Geostationary Interferometric Infrared Sounder (GIIRS) long-wave temperature sounding channels using the GRAPES global 4D-Var. Q. J. R. Meteorol. Soc. 2020, 146, 1459–1476. [Google Scholar] [CrossRef]
- Li, Z.; Li, J.; Menzel, W.P.; Nelson III, J.P.; Schmit, T.J.; Weisz, E.; Ackerman, S.A. Forecasting and nowcasting improvement in cloudy regions with high temporal GOES sounder infrared radiance measurements. J. Geophys. Res. Atmos. 2009, 114, D09216. [Google Scholar] [CrossRef]
- Wang, P.; Li, J.; Li, Z.; Lim, A.H.N.; Li, J.; Goldberg, M.D. The Impact of Cross-track Infrared Sounder (CrIS) Cloud-Cleared Radiances on Hurricane Joaquin (2015) and Matthew (2016) Forecasts. J. Geophys. Res. Atmos. 2017, 122, 13201–13218. [Google Scholar] [CrossRef]
- Wang, P.; Li, J.; Goldberg, M.D.; Schmit, T.J. Assimilation of thermodynamic information from advanced IR sounders under partially cloudy skies for regional NWP. J. Geophys. Res. Atmos. 2015, 120, 5469–5484. [Google Scholar] [CrossRef]
- Wang, P.; Li, J.; Li, J.; Li, Z.; Schmit, T.J.; Bai, W. Advanced infrared sounder subpixel cloud detection with imagers and its impact on radiance assimilation in NWP. Geophys. Res. Lett. 2014, 41, 1773–1780. [Google Scholar] [CrossRef]
- Li, J.; Liu, C.Y.; Huang, H.-L.; Schmit, T.J.; Menzel, W.P.; Gurka, J. Optimal cloud-clearing for AIRS radiances using MODIS. IEEE Trans. Geosci. Remote Sens. 2005, 43, 1266–1278. [Google Scholar]
- Li, J.; Wang, P.; Han, H.; Li, J.; Zheng, J. On the assimilation of satellite sounder data in cloudy skies in the numerical weather prediction models. J. Meteorol. Res. 2016, 30, 169–182. [Google Scholar] [CrossRef]








© 2020 by the authors. Licensee MDPI, Basel, Switzerland. This article is an open access article distributed under the terms and conditions of the Creative Commons Attribution (CC BY) license (http://creativecommons.org/licenses/by/4.0/).
Share and Cite
Di, D.; Xue, Y.; Li, J.; Bai, W.; Zhang, P. Effects of CO2 Changes on Hyperspectral Infrared Radiances and Its Implications on Atmospheric Temperature Profile Retrieval and Data Assimilation in NWP. Remote Sens. 2020, 12, 2401. https://doi.org/10.3390/rs12152401
Di D, Xue Y, Li J, Bai W, Zhang P. Effects of CO2 Changes on Hyperspectral Infrared Radiances and Its Implications on Atmospheric Temperature Profile Retrieval and Data Assimilation in NWP. Remote Sensing. 2020; 12(15):2401. https://doi.org/10.3390/rs12152401
Chicago/Turabian StyleDi, Di, Yunheng Xue, Jun Li, Wenguang Bai, and Peng Zhang. 2020. "Effects of CO2 Changes on Hyperspectral Infrared Radiances and Its Implications on Atmospheric Temperature Profile Retrieval and Data Assimilation in NWP" Remote Sensing 12, no. 15: 2401. https://doi.org/10.3390/rs12152401
APA StyleDi, D., Xue, Y., Li, J., Bai, W., & Zhang, P. (2020). Effects of CO2 Changes on Hyperspectral Infrared Radiances and Its Implications on Atmospheric Temperature Profile Retrieval and Data Assimilation in NWP. Remote Sensing, 12(15), 2401. https://doi.org/10.3390/rs12152401

