Whitecap Observations by Microwave Radiometers: With Discussion on Surface Roughness and Foam Contributions
Abstract
1. Introduction
2. A Brief Summary of Microwave Radiometry and Whitecap Retrieval
2.1. Theory
2.2. Retrieval Algorithm
3. Results and Discussion
3.1. Whitecap Coverage Retrieved from Microwave Radiometers
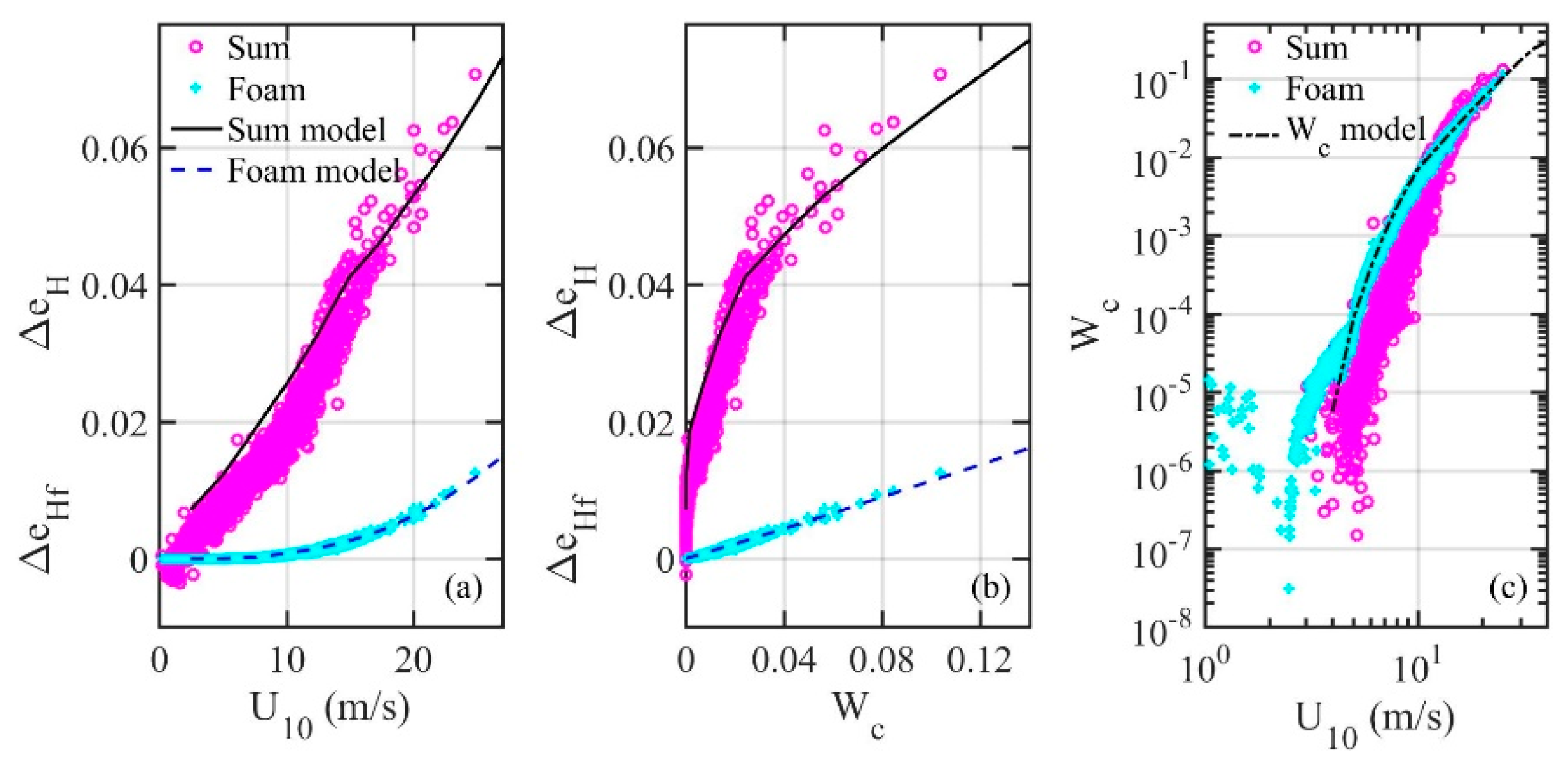
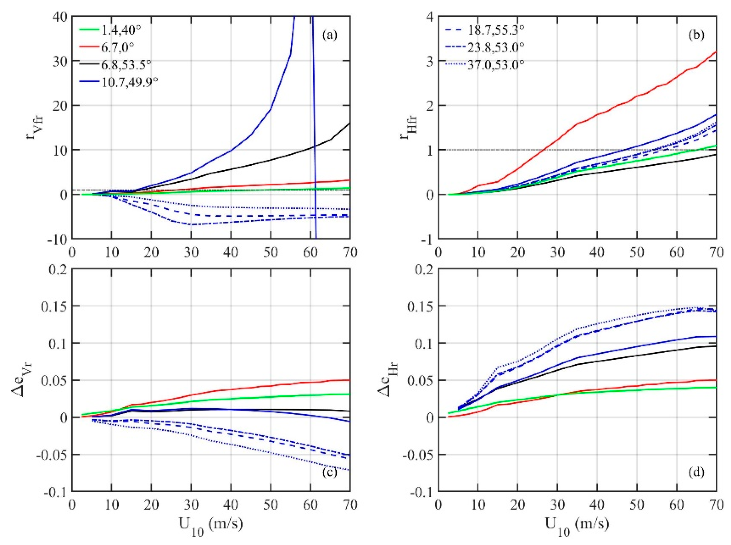
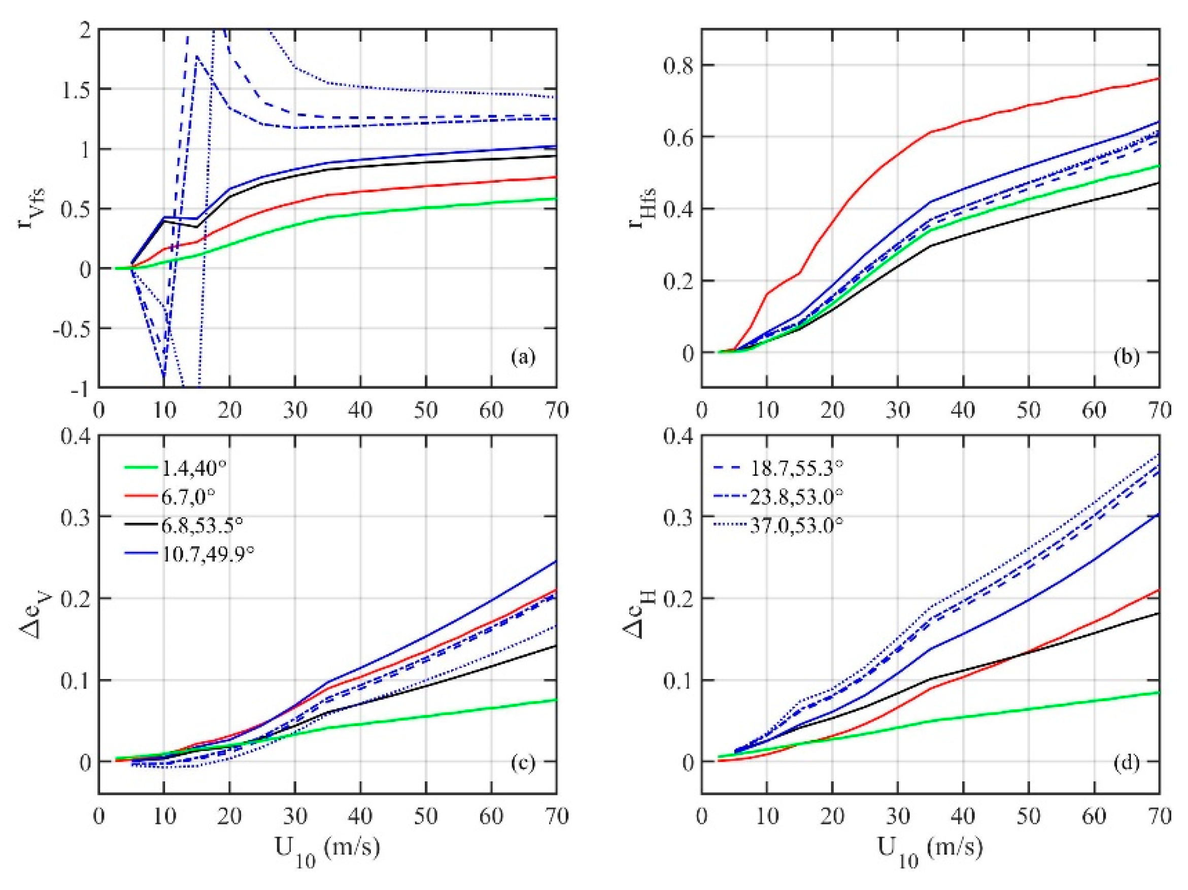
3.2. Foam and Roughness Contributions
4. Conclusions
Funding
Acknowledgments
Conflicts of Interest
References
- Monahan, E.C. Fresh water whitecaps. J. Atmos. Sci. 1969, 26, 1026–1029. [Google Scholar] [CrossRef][Green Version]
- Monahan, E.C. Oceanic whitecaps. J. Phys. Oceanogr. 1971, 1, 139–144. [Google Scholar] [CrossRef]
- Toba, Y.; Chaen, M. Quantitative expression of the breaking of wind waves on the sea surface. Rec. Oceanogr. Works Jpn. 1973, 12, 1–11. [Google Scholar]
- Ross, D.B.; Cardone, V. Observations of oceanic whitecaps and their relation to remote measurements of surface wind stress. J. Geophys. Res. 1974, 79, 444–452. [Google Scholar] [CrossRef]
- Black, P.; Burpee, R.W.; Dorst, N.M.; Adams, W.L. Appearance of the sea surface in tropical cyclones. Weather Forecast. 1986, 1, 102–107. [Google Scholar] [CrossRef]
- Walker, R.E. Marine Light Field Statistics; John Wiley: Hoboken, NJ, USA, 1994; 675p. [Google Scholar]
- Xu, D.; Liu, X.; Yu, D. Probability of wave breaking and whitecap coverage in a fetch-limited sea. J. Geophys. Res. 2000, 105, 14253–14259. [Google Scholar] [CrossRef]
- Lafon, C.; Piazzola, J.; Forget, P.; Le Calve, O.; Despiau, S. Analysis of the variations of the whitecap fraction as measured in a coastal zone. Bound. Layer Meteorol. 2004, 111, 339–360. [Google Scholar] [CrossRef]
- Lafon, C.; Piazzola, J.; Forget, P.; Despiau, S. Whitecap coverage in coastal environment for steady and unsteady wave field conditions. J. Mar. Syst. 2007, 66, 38–46. [Google Scholar] [CrossRef]
- Sugihara, Y.; Tsumori, H.; Ohga, T.; Yoshioka, H.; Serizawa, S. Variation of whitecap coverage with wave-field conditions. J. Mar. Syst. 2007, 66, 47–60. [Google Scholar] [CrossRef]
- Callaghan, A.H.; de Leeuw, G.; Cohen, L.H.; O’Dowd, C.D. The relationship of oceanic whitecap coverage to wind speed and wind history. Geophys. Res. Lett. 2008, 35, L23609. [Google Scholar] [CrossRef]
- Kleiss, J.M.; Melville, W.K. The analysis of sea surface imagery for whitecap kinematics. J. Atmos. Ocean. Technol. 2011, 28, 219–243. [Google Scholar] [CrossRef]
- Holthuijsen, L.H.; Powell, M.D.; Pietrzak, J.D. Wind and waves in extreme hurricanes. J. Geophys. Res. 2012, 117, C09003. [Google Scholar] [CrossRef]
- Brumer, S.E.; Zappa, C.J.; Brooks, I.M.; Tamura, H.; Brown, S.M.; Blomquist, B.W.; Fairall, C.W.; Cifuentes-Lorenzen, A. Whitecap coverage dependence on wind and wave statistics as observed during SO GasEx and HiWinGS. J. Phys. Oceanogr. 2017, 47, 2211–2235. [Google Scholar] [CrossRef]
- Weather Squadron Two. Wind Estimations from Aerial Observations of Sea Conditions; NAS Jacksonville Florida: 1952. Available online: http://www.aoml.noaa.gov/hrd/hurdat/seastate-aircraft.pdf (accessed on 23 January 2019).
- Pandey, P.; Kakar, R. An empirical microwave emissivity model for a foam-covered sea. J. Ocean. Eng. 1982, 7, 135–140. [Google Scholar] [CrossRef]
- Wentz, F.J. A model function for ocean microwave brightness temperatures. J. Geophys. Res. 1983, 88, 1892–1908. [Google Scholar] [CrossRef]
- Anguelova, M.D.; Webster, F. Whitecap coverage from satellite measurements: A first step toward modeling the variability of oceanic whitecaps. J. Geophys. Res. 2006, 111, C03017. [Google Scholar] [CrossRef]
- Hwang, P.A. High wind drag coefficient and whitecap coverage derived from microwave radiometer observations in tropical cyclones. J. Phys. Oceanogr. 2018, 48, 2221–2232. [Google Scholar] [CrossRef]
- Anguelova, M.D.; Bettenhausen, M.H. Whitecap fraction from satellite measurements: Algorithm description. J. Geophys. Res. 2019, 124, 1827–1857. [Google Scholar] [CrossRef]
- Hwang, P.A.; Reul, N.; Meissner, T.; Yueh, S.H. Whitecap and wind stress observations by microwave radiometers: Global coverage and extreme conditions. J. Phys. Oceanogr. 2019, 49, 2291–2307. [Google Scholar] [CrossRef]
- Yueh, S.H.; Tang, W.; Fore, A.G.; Neumann, G.; Hayashi, A.; Freedman, A.; Chaubell, J.; Lagerloef, G.S.E. L-band passive and active microwave geophysical model functions of ocean surface winds and applications to Aquarius retrieval. IEEE Trans. Geosci. Remote Sens. 2013, 51, 4619–4632. [Google Scholar] [CrossRef]
- Yueh, S.H.; Fore, A.G.; Tang, W.; Hayashi, A.; Stiles, B.; Reul, N.; Weng, Y.; Zhang, F. SMAP L-band passive microwave observations of ocean surface wind during severe storms. IEEE Trans. Geosci. Remote Sens. 2016, 54, 7339–7350. [Google Scholar] [CrossRef]
- Johnson, J.T.; Zhang, M. Theoretical study of the small slope approximation for ocean polarimetric thermal emission. IEEE Trans. Geosci. Remote Sens. 1999, 37, 2305–2316. [Google Scholar] [CrossRef]
- Hwang, P.A. Foam and roughness effects on passive microwave remote sensing of the ocean. IEEE Trans. Geosci. Remote Sens. 2012, 50, 2978–2985. [Google Scholar] [CrossRef]
- Hwang, P.A. Surface foam and L-band microwave radiometer measurements in high winds. IEEE Trans. Geosci. Remote Sens. 2019, 57, 2766–2776. [Google Scholar] [CrossRef]
- Hwang, P.A.; Reul, N.; Meissner, T.; Yueh, S.H. Ocean surface foam and microwave emission: Dependence on frequency and incidence angle. IEEE Trans. Geosci. Remote Sens. 2019, 57, 2766–2776. [Google Scholar] [CrossRef]
- Anguelova, M.D. Complex dielectric constant of sea foam at microwave frequencies. J. Geophys. Res. 2008, 113, C08001. [Google Scholar] [CrossRef]
- Birchak, J.R.; Gardner, L.G.; Hipp, J.W.; Victor, J.M. High dielectric constant microwave probes for sensing soil moisture. Proc. IEEE 1974, 62, 93–98. [Google Scholar] [CrossRef]
- Sihvola, A.H. Mixing rules with complex dielectric coefficients. Subsurf. Sens. Technol. Appl. 2000, 1, 393–415. [Google Scholar] [CrossRef]
- Sihvola, A.H.; Kong, J.A. Effective permittivity of dielectric mixtures. IEEE Trans. Geosci. Remote Sens. 1988, 26, 420–429. [Google Scholar] [CrossRef]
- Jones, W.L.; Black, P.G.; Delnore, V.E.; Swift, C.T. Airborne Microwave Remote–Sensing Measurements of Hurricane Allen. Science 1981, 214, 274–280. [Google Scholar] [CrossRef]
- Swift, C.T.; DeHority, D.C.; Black, P.G.; Chein, J.-Z. Microwave remote sensing of ocean surface wind speed and rain rates over tropical storms. In Frontiers of Remote Sensing of the Oceans and Troposphere from Air and Space Platforms. Proceedings of the URSI Commission F Symposium and Workshop; NASA Conference Publication; NASA: Washington, DC, USA, 1984; Volume 2303, pp. 281–286. [Google Scholar]
- Uhlhorn, E.W.; Black, P.G. Verification of remotely sensed sea surface winds in hurricanes. J. Atmos. Ocean. Technol. 2003, 20, 99–116. [Google Scholar] [CrossRef]
- Klotz, B.W.; Uhlhorn, E.W. Improved Stepped Frequency Microwave Radiometer tropical cyclone surface winds in heavy precipitation. J. Atmos. Ocean. Technol. 2014, 31, 2392–2408. [Google Scholar] [CrossRef]
- Sapp, J.W.; Alsweiss, S.O.; Jelenak, A.; Chang, P.S.; Carswell, J. Stepped frequency microwave radiometer wind-speed retrieval improvements. Remote Sens. 2019, 11, 214. [Google Scholar] [CrossRef]
- Meissner, T.; Wentz, F.J. Wind-vector retrievals under rain with passive satellite microwave radiometers. IEEE Trans. Geosci. Remote Sens. 2009, 47, 3065–3083. [Google Scholar] [CrossRef]
- Meissner, T.; Ricciardulli, L.; Wentz, F. Capability of the SMAP mission to measure ocean surface winds in storms. Bull. Am. Meteorol. Soc. 2017, 98, 1660–1677. [Google Scholar] [CrossRef]
- Reul, N.; Chapron, B.; Zabolotskikh, E.; Donlon, C.; Quilfen, Y.; Guimbard, S.; Piolle, J.F. A revised L-band radio-brightness sensitivity to extreme winds under tropical cyclones: The five year SMOS-storm database. Remote Sens. Environ. 2016, 180, 274–291. [Google Scholar] [CrossRef]
- Reul, N.; Tenerelli, J.; Chapron, B.; Vandemark, D.; Quilfen, Y.; Kerr, Y. SMOS satellite L-band radiometer: A new capability for ocean surface remote sensing in hurricanes. J. Geophys. Res. 2012, 117, C02006. [Google Scholar] [CrossRef]
- Powell, M.D.; Houston, S.H.; Amat, L.R.; Morisseau-Leroy, N. The HRD real-time hurricane wind analysis system. J. Wind Eng. Ind. Aerodyn. 1998, 77, 53–64. [Google Scholar] [CrossRef]
- Hollinger, J.P. Passive microwave measurements of sea surface roughness. IEEE Trans. Geosci. Electron. 1971, 9, 165–169. [Google Scholar] [CrossRef]
- Yueh, S.H.; Dinardo, S.J.; Fore, A.G.; Li, F.K. Passive and active L-band microwave observations and modeling of ocean surface winds. IEEE Trans. Geosci. Remote Sens. 2010, 48, 3087–3100. [Google Scholar] [CrossRef]





© 2020 by the author. Licensee MDPI, Basel, Switzerland. This article is an open access article distributed under the terms and conditions of the Creative Commons Attribution (CC BY) license (http://creativecommons.org/licenses/by/4.0/).
Share and Cite
A. Hwang, P. Whitecap Observations by Microwave Radiometers: With Discussion on Surface Roughness and Foam Contributions. Remote Sens. 2020, 12, 2277. https://doi.org/10.3390/rs12142277
A. Hwang P. Whitecap Observations by Microwave Radiometers: With Discussion on Surface Roughness and Foam Contributions. Remote Sensing. 2020; 12(14):2277. https://doi.org/10.3390/rs12142277
Chicago/Turabian StyleA. Hwang, Paul. 2020. "Whitecap Observations by Microwave Radiometers: With Discussion on Surface Roughness and Foam Contributions" Remote Sensing 12, no. 14: 2277. https://doi.org/10.3390/rs12142277
APA StyleA. Hwang, P. (2020). Whitecap Observations by Microwave Radiometers: With Discussion on Surface Roughness and Foam Contributions. Remote Sensing, 12(14), 2277. https://doi.org/10.3390/rs12142277

