Aboveground Biomass Estimation in Amazonian Tropical Forests: a Comparison of Aircraft- and GatorEye UAV-borne LiDAR Data in the Chico Mendes Extractive Reserve in Acre, Brazil
Abstract
1. Introduction
2. Materials and Methods
2.1. Study Site
2.2. Forest Inventory Plots
2.3. LiDAR Data Acquisition
2.4. LiDAR Data Processing
2.5. LiDAR Point Cloud, Metrics, and Digital Terrain, Surface, and Height Models Comparison
2.6. Regression Modeling of Aboveground Biomass
3. Results
3.1. Comparison of LiDAR Points Clouds
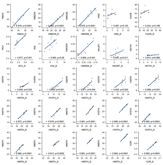
3.2. Comparison of LiDAR Metrics
3.3. Comparison of DTM, DSM, and CHM
3.4. Regression Modeling of AGB between LiDAR and Field Data
3.5. Landscape-scale Analysis
4. Discussion
5. Conclusions
Supplementary Materials
Author Contributions
Acknowledgments
Conflicts of Interest
References
- Beets, P.N.; Brandon, A.M.; Goulding, C.J.; Kimberley, M.O.; Paul, T.S.H.; Searles, N. The inventory of carbon stock in New Zealand’s post-1989 planted forest for reporting under the Kyoto protocol. For. Ecol. Manag. 2011, 262, 1119–1130. [Google Scholar] [CrossRef]
- Bottalico, F.; Chirici, G.; Giannini, R.; Mele, S.; Mura, M.; Puxeddu, M.; McRoberts, R.E.; Valbuena, R.; Travaglini, D. Modeling Mediterranean forest structure using airborne laser scanning data. Int. J. Appl. Earth Obs. Geoinf. 2017, 57, 145–153. [Google Scholar] [CrossRef]
- Liu, K.; Shen, X.; Cao, L.; Wang, G.; Cao, F. Estimating forest structural attributes using UAV-LiDAR data in Ginkgo plantations. ISPRS J. Photogramm. Remote Sens. 2018, 146, 465–482. [Google Scholar] [CrossRef]
- Meyer, V.; Saatchi, S.; Clark, D.B.; Keller, M.; Vincent, G.; Ferraz, A.; Espírito-Santo, F.; d’Oliveira, M.V.N.; Kaki, D.; Chave, J. Canopy area of large trees explains aboveground biomass variations across nine neotropical forest landscapes. Biogeosciences 2018, 15, 3377–3390. [Google Scholar] [CrossRef]
- Zhao, K.; Suarez, J.K.; Garcia, M.; Hu, T.; Wange, C.; Londo, A. Utility of multitemporal LiDAR for forest and carbon monitoring: Tree growth, biomass dynamics, and carbon flux. Remote Sen. Environ. 2018, 204, 883–897. [Google Scholar] [CrossRef]
- Meyer, V.; Saatchi, S.S.; Chave, J.; Dalling, J.W.; Bohlman, S.; Fricker, G.A.; Robinson, C.; Neumann, M.; Hubbell, S. Detecting tropical forest biomass dynamics from repeated airborne LiDAR measurements. Biogeosciences 2013, 10, 5421–5438. [Google Scholar] [CrossRef]
- D’Oliveira, M.V.N.; Reutebuch, S.E.; McGaughey, R.J.; Andersen, H. Estimating forest biomass and identifying low-intensity logging areas using airborne scanning LiDAR in Antimary State Forest, Acre State, Western Brazilian Amazon. Remote Sen. Environ. 2012, 124, 479–491. [Google Scholar] [CrossRef]
- Ellis, P.; Griscom, B.; Walker, W.; Gonçalvez, F.; Cormier, T. Mapping selective logging impacts in Borneo with GPS and airborne LiDAR. For. Ecol. Manag. 2016, 365, 184–196. [Google Scholar] [CrossRef]
- Melendy, L.; Hagen, S.C.; Sullivan, F.B.; Pearson, T.R.H.; Walker, S.M.; Ellis, P.; Kustiyo; Sambodo, A.K.; Roswintiarti, O.; Hanson, M.A. Automated method for measuring the extent of selective logging damage with airborne LiDAR data. ISPRS J. Photogramm. Remote Sens. 2018, 139, 228–240. [Google Scholar] [CrossRef]
- Griscom, B.M.; Ellis, P.W.; Burivalova, Z.; Halperin, J.; Marthinus, D.; Runting, R.K.; Ruslandi; Shochh, D.; Putz, F.E. Reduced-impact logging in Borneo to minimize carbon emissions and impacts on sensitive habitats while maintaining timber yields. For. Ecol. Manag. 2019, 438, 176–185. [Google Scholar] [CrossRef]
- Papa, D.A.; de Almeida, D.R.A.; Silva, C.A.; Figueiredo, E.O.; Stark, S.C.; Valbuena, R.; d’Oliveira, M.V.N. Evaluating tropical forest classification and field sampling stratification from LiDAR to reduce effort and enable landscape monitoring. For. Ecol. Manag. 2020, 457, 117634. [Google Scholar] [CrossRef]
- Andersen, H.E.; Reutebuch, S.E.; McGaughey, R.J.; d’Oliveira, M.V.N.; Keller, M. Monitoring selective logging in western Amazonia with repeat LIDAR flights. Remote Sens. Environ. 2014, 151, 157–165. [Google Scholar] [CrossRef]
- Réjou-Méchain, M.; Tymena, B.; Blanc, L.; Fauset, S.; Feldpausch, T.R.; Monteagudo, A.; Phillips, O.L.; Richard, H.; Chave, J. Using repeated small-footprint LiDAR acquisitions to infer spatial and temporal variations of a high-biomass Neotropical forest. Remote Sens. Environ. 2015, 169, 93–101. [Google Scholar] [CrossRef]
- Brede, B.; Lau, A.; Bartholomeus, H.M.; Kooistra, L. Comparing RIEGL RiCOPTER UAV LiDAR derived canopy height and DBH with terrestrial LiDAR. Sensors 2017, 17, 2371. [Google Scholar] [CrossRef] [PubMed]
- Colomina, I.; Molina, P. Unmanned aerial systems for photogrammetry and remote sensing: A review. ISPRS J. Photogramm. Remote Sens. 2014, 92, 79–97. [Google Scholar] [CrossRef]
- Paneque-Gálvez, J.; McCall, M.K.; Napoletano, M.M.; Wich, S.A.; Koh, L.P. Small drones for community-based forest monitoring: An assessment of their feasibility and potential in tropical areas. Forests 2014, 5, 1481–1507. [Google Scholar] [CrossRef]
- Tang, L.; Shao, G. Drone remote sensing for forestry research and practices. J. For. Res. 2015, 26, 791–797. [Google Scholar] [CrossRef]
- Messinger, M.; Asner, G.P.; Silman, M. Rapid Assessments of Amazon forest structure and biomass using Small Unmanned Aerial Systems. Remote Sens. 2016, 8, 615. [Google Scholar] [CrossRef]
- Zahawi, R.A.; Dandois, J.P.; Holl, K.D.; Nadwodny, D.; Reid, J.L.; Ellis, E.C. Using lightweight unmanned aerial vehicles to monitor tropical forest recovery. Biol. Conserv. 2015, 186, 287–295. [Google Scholar] [CrossRef]
- Thiel, C.; Schmullius, C. Comparison of UAV photograph-based and airborne LiDAR-based point clouds over forest from a forestry application perspective. Int. J. Remote Sens. 2017, 38, 2411–2426. [Google Scholar] [CrossRef]
- Almeida, D.R.A.; Stark, S.C.; Shao, G.; Schietti, J.; Nelson, B.W.; Silva, C.A.; Brancalion, P.H.S. Optimizing the remote detection of tropical rainforest structure with airborne LiDAR: Leaf area profile sensitivity to pulse density and spatial sampling. Remote Sens 2019, 11, 92. [Google Scholar] [CrossRef]
- Lin, Y.; Hyyppä, J.; Jaakkola, A.A. Mini-UAV-Borne LIDAR for fine-scale mapping. IEEE Geosci. Remote Sens. Lett. 2011, 8, 426–430. [Google Scholar] [CrossRef]
- Wallace, L.; Lucier, A.; Watson, C.; Turner, D. Development of a UAV-LiDAR system with application to forest inventory. Remote Sens. 2012, 4, 1519–1543. [Google Scholar] [CrossRef]
- Corte, A.P.D.; Rex, F.E.; Almeida, D.R.A.D.; Sanquetta, C.R.; Silva, C.A.; Moura, M.M.; Wilkinson, B.; Zambrano, A.M.A.; Neto, C.; Veras, H.F.; et al. Measuring individual tree diameter and height using GatorEye High-Density UAV-Lidar in an integrated crop-livestock-forest system. Remote Sens. 2020, 12, 863. [Google Scholar] [CrossRef]
- Figueiredo, E.O.; d’Oliveira, M.V.N.; Braz, E.M.; Papa, D.A.; Fearnside, P.M. Lidar-based estimation of bole biomass for precision management of an Amazonian forest: Comparisons of ground-based and remotely sensed estimates. Remote Sens. Environ. 2016, 187, 281–293. [Google Scholar] [CrossRef]
- Almeida, D.R.A.; Broadbent, E.N.; Zambrano, A.M.A.; Wilkinson, B.E.; Ferreira, M.E.; Chazdon, R.; Melia, P.; Gorgen, E.B.; Silva, C.A.; Stark, S.C.; et al. Monitoring the structure of forest restoration plantations with a drone-LiDAR system. Int. J. Appl. Earth Obs. Geoinf. 2019, 79, 192–198. [Google Scholar] [CrossRef]
- Barbour, T.E.; Sassaman, K.E.; Zambrano, A.M.A.; Broadbent, E.N.; Wilkinson, B.; Kanaski, R. Rare pre-Columbian settlement on the Florida Gulf Coast revealed through high-resolution drone LiDAR. Proc. Natl. Acad. Sci. USA 2019, 116, 23493–23498. [Google Scholar] [CrossRef]
- Yin, D.; Wang, L. Individual mangrove tree measurement using UAV-based LiDAR data: Possibilities and challenges. Remote Sens. Environ. 2019, 223, 34–49. [Google Scholar] [CrossRef]
- Vadjunec, J.M.; Rocheleau, D. Beyond forest cover: Land use and biodiversity in rubber trail forests of the Chico Mendes Extractive Reserve. Ecol. Soc. 2009, 14, 29. Available online: http://www.ecologyandsociety.org/vol14/iss2/art29/ (accessed on 24 January 2020). [CrossRef]
- Duchelle, A.E.; Guariguata, M.R.; Less, G.; Albornoz, M.A.; Chavez, A.; Melo, T. Evaluating the opportunities and limitations to multiple use of Brazil nuts and timber in Western Amazonia. For. Ecol. Manag. 2012, 268, 39–48. [Google Scholar] [CrossRef]
- De Melo, A.W.F. Alometria de Árvores e Biomassa Florestal na Amazônia Sul-Ocidental. Ph.D. Thesis, Instituto Nacional de Pesquisas da Amazônia, Manaus, Brazil, 2017. [Google Scholar]
- Wilkinson, B.; Lassiter, H.A.; Abd-Elrahman, A.; Carthy, R.R.; Ifju, P.; Broadbent, E.; Grimes, N. Geometric Targets for UAS Lidar. Remote Sens. 2019, 11, 3019. [Google Scholar] [CrossRef]
- McGaughey, R.J. FUSION/LDV: Software for LIDAR Data Analysis and Visualization; United States Department of Agriculture, Forest Service, Pacific Northwest Research Station: Washington, DC, USA, 2018; 154p. [Google Scholar]
- Environmental Systems Research Institute (ESRI). ArcMap software, ArcGIS Release 10.4; Environmental Systems Research Institute (ESRI): Redlands, CA, USA, 2019. [Google Scholar]
- Fox, J.; Monette, G. Generalized collinearity diagnostics. J. Am. Stat. Assoc. 1992, 87, 178–183. [Google Scholar] [CrossRef]
- Dou, J.; Yunus, A.P.; Merghadi, A.; Shirzadi, A.; Nguyen, H.; Hussain, Y.; Avtar, R.; Chen, Y.L.; Pham, B.T.; Yamagishi, H. Different sampling strategies for predicting landslide susceptibilities are deemedless consequential with deep learning. Sci. Total Environ. 2020, 720, 137320. [Google Scholar] [CrossRef] [PubMed]
- Bater, C.W.; Wulder, M.A.; Coops, N.C.; Nelson, R.F.; Hilker, T.; Nasset, E. Stability of Sample-Based Scanning-LiDAR-Derived vegetation metrics for forest monitoring. IEEE Trans. Geosci. Remote Sens. 2011, 49, 2385–2392. [Google Scholar] [CrossRef]
- Mohan, M.; Silva, C.A.; Klauberg, C.; Jat, P.; Catts, G.; Cardil, A.; Hudak, A.T.; Dia, M. Individual tree detection from Unmanned Aerial Vehicle (UAV) derived canopy height model in an open canopy Mixed Conifer Forest. Forests 2017, 8, 340. [Google Scholar] [CrossRef]
- Guerra-Hernández, J.; Cosenza, D.N.; Estraviz, L.C.; Silva, R.M.; Tomé, M.; Díaz-Varela, R.A.; González-Ferreiro, E. Comparison of ALS- and UAV(SfM)-derived high density point clouds for individual tree detection in Eucalyptus plantations. Int. J. Remote Sens. 2018, 39, 5211–5235. [Google Scholar] [CrossRef]
- Garcia1, M.; Saatchi, S.; Ferraz, A.; Silva, C.A.; Ustin, S.; Koltunov, A.; Balzter, H. Impact of data model and point density on aboveground forest biomass estimation from airborne LiDAR. Carbon Balance Manag. 2017, 12, 4. [Google Scholar] [CrossRef]
- Wang, D.; Wana, B.; Liuc, J.; Sue, Y.; Guoe, Q.; Qiuf, P.; Wu, X. Estimating aboveground biomass of the mangrove forests on northeast Hainan Island in China using an upscaling method from field plots, UAVLiDAR data and Sentinel-2 imagery. Int. J. Appl. Earth Obs. Geoinf. 2020, 85, 101986. [Google Scholar] [CrossRef]
- Drake, J.B.; Dubayaha, R.O.; Clark, D.B.; Knox, R.G.; Blair, J.B.; Hofton, M.A.; Chazdon, R.L.; Weishampel, J.F.; Prince, S.D. Estimation of tropical forest structural characteristics using large-footprint LiDAR. Remote Sens. Environ. 2002, 79, 305–319. [Google Scholar] [CrossRef]
- Mura, M.; McRoberts, R.E.; Chirici, G.; Marchetti, M. Estimating and mapping forest structural diversity using airborne laser scanning data. Remote Sens. Environ. 2015, 170, 133–142. [Google Scholar] [CrossRef]
- Asner, G.P.; Mascaro, J.; Anderson, C.; Knapp, D.E.; Martin, R.E.; Kennedy-Bowdoin, T.; van Breugel, B.; Davies, S.; Hall, J.S.; Muller-Landau, H.C.; et al. High-fidelity national carbon mapping for resource management and REDD+. Carbon Balance Manag. 2013, 8, 7. [Google Scholar] [CrossRef] [PubMed]
- Saatchi, S.; Xu, A.; Meyer, V.; Ferraz, Y.; Shapiro, A.; Witteger, L.; Lee, M.; Tshibasu, E.; Banks, N. Carbon Map of DRC: A Summary Report of UCLA Institute of Environment & Sustainability; UCLA: Los Angeles, CA, USA, 2017; 62p. [Google Scholar]
- Asner, G.P.; Mascaro, J.; Muller-Landau, H.C.; Vieilledent, G.; Vaudry, R.; Rasamoelina, M.; Hall, J.S.; Van Breugel, M. A universal airborne LiDAR approach for tropical forest carbon mapping. Oecologia 2011, 168, 1147–1160. [Google Scholar] [CrossRef] [PubMed]








| Plot ID | Number of Trees | AGB Mg·ha−1 |
|---|---|---|
| 1 | 543 | 252.17 |
| 2 | 498 | 224.44 |
| 3 | 596 | 239.16 |
| 4 | 576 | 283.38 |
| 5 | 628 | 280.81 |
| 6 | 667 | 233.07 |
| 7 | 548 | 244.82 |
| 8 | 579 | 300.85 |
| 9 | 519 | 315.95 |
| 10 | 590 | 356.50 |
| Mean | 558.33 | 293.99 |
| SE | 15.28 | 10.66 |
| Specification | Aircraft | GatorEye |
|---|---|---|
| Lidar sensor | Harrier 68i Trimble (300 kHz) | Velodyne VLP-16 Puck Lite (600 kHz) |
| Flying altitude (AGL) | 600 m | 60 m |
| Laser number | 1 | 16 |
| Beam divergence | 0.25 mrad (1/e) | 3.0 mrad (1/e) |
| Scan angle: horizontal field of view | ±15 degrees off-nadir | Full 360 degrees off-nadir |
| Vertical field of view | ±1 | ±15 degrees |
| Swath sidelap | 50% | 80% |
| Approximate pulse density | >4 m2 | >500 m2 |
| Datum (Horizontal) | WGS 84 | WGS-84 |
| Projection | UTM, Zone 19S | UTM, Zone 19S |
| Datum (Vertical) | WGS 84 | ITRF 2014 |
| Pulse diameter at target | 15–30 cm | 2–8 cm |
| Horizontal accuracy | 50–75 cm | 2–5 cm |
| Vertical accuracy | 15–50 cm | 2–5 cm |
| Lidar raw point cloud format | LAS format with classified ground points identified | LAS format with classified ground points identified |
| Metric Abbreviation | Metric Description |
|---|---|
| HMAX | Maximum height above ground |
| HMEAN | Mean height above ground |
| HMEDIAN | Median height above ground |
| HMODE | Mode height above ground |
| HSD | Standard deviation of height above ground |
| HVAR | Variance of height above ground |
| HCV | Coefficient of variation of height above ground |
| HIQ | Interquartile distance of height above ground |
| HSKEW | Skewness of height above ground |
| HKURT | Height kurtosis of height above ground |
| H.% (e.g., H05TH–H99TH) | Percentiles of height above the ground (AGL): 5th, 10th, 20th, 25th, 30th, 40th, 50th, 60th, 70th, 75th, 80th, 90th, 95th, 99th |
| CCR | Canopy relief rate (CCR) |
| GatorEye—all returns | |||||||
| Return number | 1 | 2 | 3 | 4 | 5 | 6 | Total |
| Total | 49,166,975 | 1,406,827 | 0 | 0 | 0 | 0 | 50,573,802 |
| Maximum return density | 461.3 | ||||||
| Average return density | 381.2 | ||||||
| Standard deviation of return density | 58.2 | ||||||
| GatorEye—filtered ground returns | |||||||
| Return number | 1 | 2 | 3 | 4 | 5 | 6 | Total |
| Total | 51,571 | 3383 | 54,954 | ||||
| Maximum return density | 0.60 | ||||||
| Average return density | 0.42 | ||||||
| Standard deviation | 0.09 | ||||||
| Aircraft—all returns | |||||||
| Return number | 1 | 2 | 3 | 4 | 5 | 6 | Total |
| Total | 1,068,490 | 333,990 | 42,543 | 2131 | 39 | 1 | 1,447,194 |
| Maximum return density | 14.2 | ||||||
| Average return density | 11.0 | ||||||
| Standard deviation of return density | 1.8 | ||||||
| Aircraft—filtered ground returns | |||||||
| Return number | 1 | 2 | 3 | 4 | 5 | 6 | Total |
| Total | 5443 | 20,817 | 7697 | 635 | 16 | 1 | 34,609 |
| Maximum return density | 0.43 | ||||||
| Average return density | 0.27 | ||||||
| Standard deviation of return density | 0.09 | ||||||
| LiDAR | Regression Model | F | Adj. R2 | RMSE |
|---|---|---|---|---|
| Aircraft | ||||
| Model | −529.761 + (2.536 × HMODE) + (23.115 × H95TH) | 18.03 | 0.79 | 19.3 |
| GatorEye | ||||
| Model | −355.4877 + (19.794 × H90TH) | 18.00 | 0.65 | 24.8 |
| PSP | Field | Aircraft | GatorEye |
|---|---|---|---|
| 1 | 252.2 | 275.20 | 261.6694 |
| 2 | 224.4 | 250.58 | 253.9894 |
| 3 | 239.2 | 252.37 | 277.7421 |
| 4 | 283.4 | 258.72 | 241.4598 |
| 5 | 280.8 | 273.08 | 271.7643 |
| 6 | 233.1 | 214.78 | 229.2271 |
| 7 | 244.8 | 243.30 | 243.0037 |
| 8 | 300.9 | 297.36 | 293.7159 |
| 9 | 316.0 | 322.73 | 324.7331 |
| 10 | 356.5 | 343.69 | 333.8977 |
| Mean | 273.1 | 273.18 | 273.12 |
| SE | 12.7 | 12.24 | 11.12 |
© 2020 by the authors. Licensee MDPI, Basel, Switzerland. This article is an open access article distributed under the terms and conditions of the Creative Commons Attribution (CC BY) license (http://creativecommons.org/licenses/by/4.0/).
Share and Cite
d’Oliveira, M.V.N.; Broadbent, E.N.; Oliveira, L.C.; Almeida, D.R.A.; Papa, D.A.; Ferreira, M.E.; Zambrano, A.M.A.; Silva, C.A.; Avino, F.S.; Prata, G.A.; et al. Aboveground Biomass Estimation in Amazonian Tropical Forests: a Comparison of Aircraft- and GatorEye UAV-borne LiDAR Data in the Chico Mendes Extractive Reserve in Acre, Brazil. Remote Sens. 2020, 12, 1754. https://doi.org/10.3390/rs12111754
d’Oliveira MVN, Broadbent EN, Oliveira LC, Almeida DRA, Papa DA, Ferreira ME, Zambrano AMA, Silva CA, Avino FS, Prata GA, et al. Aboveground Biomass Estimation in Amazonian Tropical Forests: a Comparison of Aircraft- and GatorEye UAV-borne LiDAR Data in the Chico Mendes Extractive Reserve in Acre, Brazil. Remote Sensing. 2020; 12(11):1754. https://doi.org/10.3390/rs12111754
Chicago/Turabian Styled’Oliveira, Marcus V. N., Eben N. Broadbent, Luis C. Oliveira, Danilo R. A. Almeida, Daniel A. Papa, Manuel E. Ferreira, Angelica M. Almeyda Zambrano, Carlos A. Silva, Felipe S. Avino, Gabriel A. Prata, and et al. 2020. "Aboveground Biomass Estimation in Amazonian Tropical Forests: a Comparison of Aircraft- and GatorEye UAV-borne LiDAR Data in the Chico Mendes Extractive Reserve in Acre, Brazil" Remote Sensing 12, no. 11: 1754. https://doi.org/10.3390/rs12111754
APA Styled’Oliveira, M. V. N., Broadbent, E. N., Oliveira, L. C., Almeida, D. R. A., Papa, D. A., Ferreira, M. E., Zambrano, A. M. A., Silva, C. A., Avino, F. S., Prata, G. A., Mello, R. A., Figueiredo, E. O., Jorge, L. A. d. C., Junior, L., Albuquerque, R. W., Brancalion, P. H. S., Wilkinson, B., & Oliveira-da-Costa, M. (2020). Aboveground Biomass Estimation in Amazonian Tropical Forests: a Comparison of Aircraft- and GatorEye UAV-borne LiDAR Data in the Chico Mendes Extractive Reserve in Acre, Brazil. Remote Sensing, 12(11), 1754. https://doi.org/10.3390/rs12111754

