Volume Variations of Small Inland Water Bodies from a Combination of Satellite Altimetry and Optical Imagery
Abstract
1. Introduction
2. Water Bodies
3. Data
3.1. In Situ Data
3.2. Water Level Time Series from Satellite Altimetry
3.3. Surface Area Time Series and Land-Water Masks from Optical Satellite Imagery
4. Methodology
4.1. Extraction of Input Data
4.2. Estimation of Hypsometric Curve
4.3. Estimation of Water Levels from Surface Areas Using Hypsometry
4.4. Estimation of Bathymetry
4.5. Estimation of Volume Variation Time Series
5. Results, Validation and Discussion
5.1. Selected Results
5.1.1. Ray Roberts, Lake
Extraction of Input Data
Estimation of Hypsometric Curve
Estimation of Water Levels from Surface Areas Using Hypsometry
Estimation of Bathymetry
Estimation of Volume Variation Time Series
5.1.2. Hubbard Creek, Lake
Extraction of Input Data
Estimation of Hypsometric Curve
Estimation of Water Levels from Surface Areas using Hypsometry
Estimation of Bathymetry
Estimation of Volume Variation Time Series
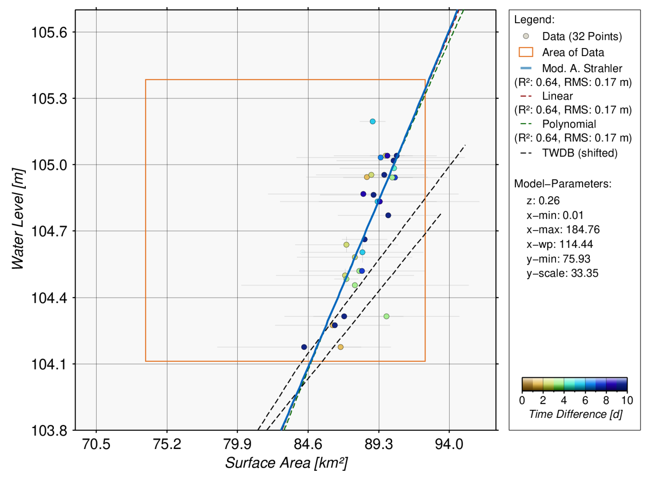
5.1.3. Palestine, Lake
Extraction of Input Data
Estimation of Hypsometric Curve
Estimation of Water Levels from Surface Areas Using Hypsometry
Estimation of Bathymetry
Estimation of Volume Variation Time Series
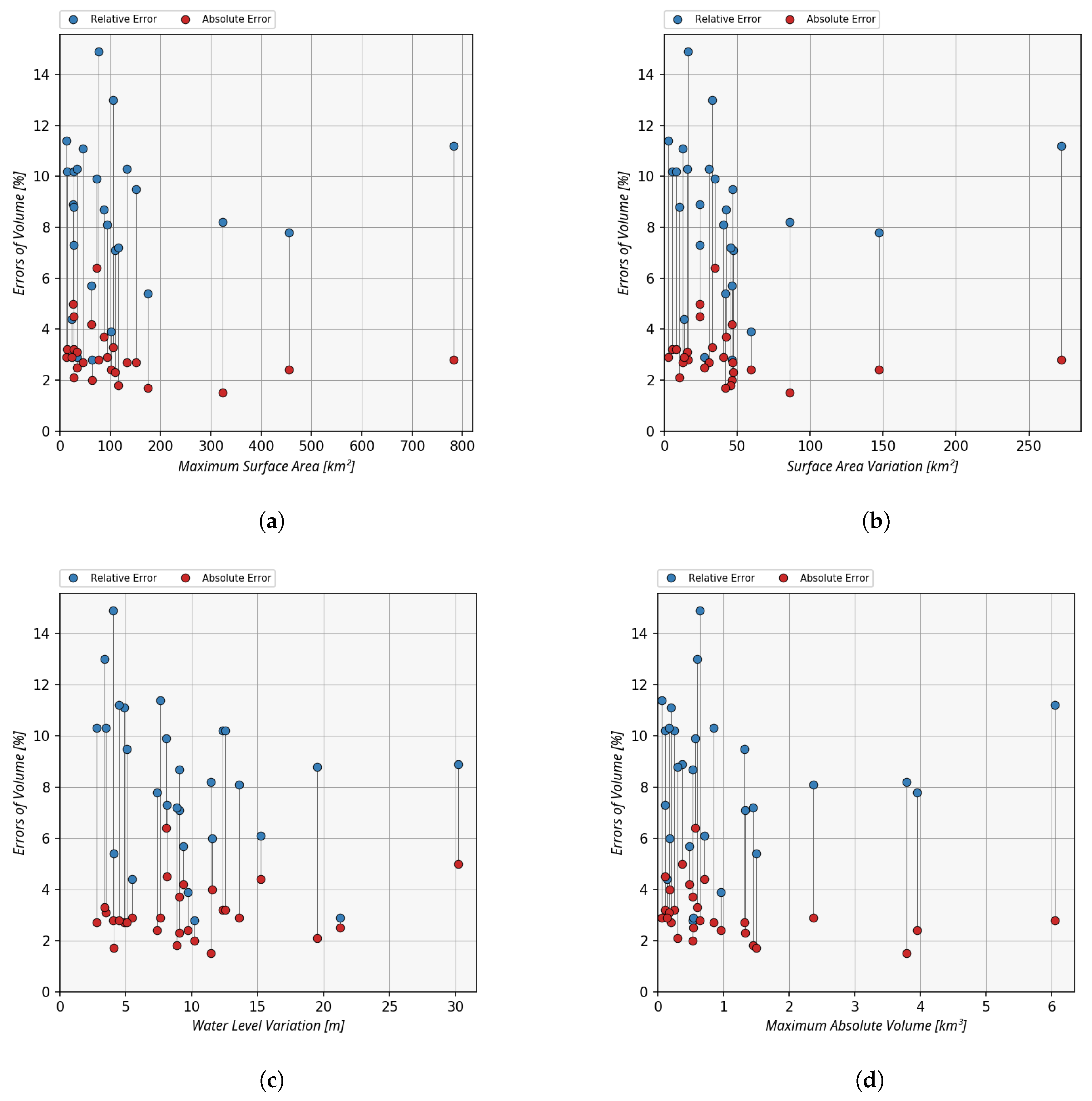
5.2. Quality Assessment and Discussion
6. Conclusions
7. Data Availability
Author Contributions
Funding
Acknowledgments
Conflicts of Interest
References
- Nerem, R.S.; Beckley, B.D.; Fasullo, J.T.; Hamlington, B.D.; Masters, D.; Mitchum, G.T. Climate-change–driven accelerated sea-level rise detected in the altimeter era. Proc. Natl. Acad. Sci. USA 2018, 115, 2022–2025. [Google Scholar] [CrossRef] [PubMed]
- Donlon, C.J.; Minnett, P.J.; Gentemann, C.; Nightingale, T.J.; Barton, I.J.; Ward, B.; Murray, M.J. Toward Improved Validation of Satellite Sea Surface Skin Temperature Measurements for Climate Research. J. Clim. 2002, 15, 353–369. [Google Scholar] [CrossRef]
- Shiklomanov, I. World Fresh Water Resources. In Water in Crisis—A Guide to the World’s Fresh Water Resources; Gleick, P., Ed.; Oxford University Press: Oxford, UK, 1993; Chapter 2; pp. 13–23. [Google Scholar]
- Guha-Sapir, D.; Vos, F. Quantifying Global Environmental Change Impacts: Methods, Criteria and Definitions for Compiling Data on Hydro-meteorological Disasters. In Coping with Global Environmental Change, Disasters and Security: Threats, Challenges, Vulnerabilities and Risks; Brauch, H.G., Oswald Spring, U., Mesjasz, C., Grin, J., Kameri-Mbote, P., Chourou, B., Dunay, P., Birkmann, J., Eds.; Springer: Berlin/Heidelberg, Germany, 2011; pp. 693–717. [Google Scholar] [CrossRef]
- Hasan, M.; Moody, A.; Benninger, L.; Hedlund, H. How war, drought, and dam management impact water supply in the Tigris and Euphrates Rivers. Ambio 2018. [Google Scholar] [CrossRef] [PubMed]
- Luo, P.; Sun, Y.; Wang, S.; Wang, S.; Lyu, J.; Zhou, M.; Nakagami, K.; Takara, K.; Nover, D. Historical assessment and future sustainability challenges of Egyptian water resources management. J. Clean. Prod. 2020, 263, 121154. [Google Scholar] [CrossRef]
- Global Runoff Data Center: Statistics Based on GRDC Station Catalogue from 19 October 2018. Available online: https://www.bafg.de/SharedDocs/ExterneLinks/GRDC/grdc_stations_ftp.html?nn=201352 (accessed on 25 January 2019).
- Stakhiv, E.; Stewart, B. Needs for Climate Information in Support of Decision-Making in the Water Sector. Procedia Environ. Sci. 2010, 1, 102–119. [Google Scholar] [CrossRef]
- Döll, P.; Kaspar, F.; Lehner, B. A global hydrological model for deriving water availability indicators: Model tuning and validation. J. Hydrol. 2003, 270, 105–134. [Google Scholar] [CrossRef]
- Schumacher, M.; Kusche, J.; Döll, P. A systematic impact assessment of GRACE error correlation on data assimilation in hydrological models. J. Geod. 2016, 90, 537–559. [Google Scholar] [CrossRef]
- Frappart, F.; Ramillien, G. Monitoring Groundwater Storage Changes Using the Gravity Recovery and Climate Experiment (GRACE) Satellite Mission: A Review. Remote Sens. 2018, 10, 829. [Google Scholar] [CrossRef]
- Ni, S.; Chen, J.; Wilson, C.R.; Hu, X. Long-Term Water Storage Changes of Lake Volta from GRACE and Satellite Altimetry and Connections with Regional Climate. Remote Sens. 2017, 9, 842. [Google Scholar] [CrossRef]
- Singh, A.; Seitz, F.; Schwatke, C. Inter-annual water storage changes in the Aral Sea from multi-mission satellite altimetry, optical remote sensing, and GRACE satellite gravimetry. Remote Sens. Environ. 2012, 123, 187–195. [Google Scholar] [CrossRef]
- Singh, A.; Seitz, F.; Schwatke, C. Application of Multi-Sensor Satellite Data to Observe Water Storage Variations. IEEE J. Sel. Top. Appl. Earth Obs. Remote Sens. 2013, 6, 1502–1508. [Google Scholar] [CrossRef]
- Birkett, C.M. The contribution of TOPEX/POSEIDON to the global monitoring of climatically sensitive lakes. J. Geophys. Res. Oceans 1995, 100, 25179–25204. [Google Scholar] [CrossRef]
- Crétaux, J.F.; Birkett, C. Lake studies from satellite radar altimetry. Comptes Rendus Geosci. 2006, 338, 1098–1112. [Google Scholar] [CrossRef]
- Crétaux, J.F.; Jelinski, W.; Calmant, S.; Kouraev, A.; Vuglinski, V.; Bergé-Nguyen, M.; Gennero, M.C.; Nino, F.; Rio, R.A.D.; Cazenave, A.; et al. SOLS: A lake database to monitor in the Near Real Time water level and storage variations from remote sensing data. Adv. Space Res. 2011, 47, 1497–1507. [Google Scholar] [CrossRef]
- Schwatke, C.; Dettmering, D.; Bosch, W.; Seitz, F. DAHITI - an innovative approach for estimating water level time series over inland waters using multi-mission satellite altimetry. Hydrol. Earth Syst. Sci. 2015, 19, 4345–4364. [Google Scholar] [CrossRef]
- Schwatke, C.; Dettmering, D.; Börgens, E.; Bosch, W. Potential of SARAL/AltiKa for Inland Water Applications. Marine Geod. 2015, 38, 626–643. [Google Scholar] [CrossRef]
- Ghanavati, E.; Firouzabadi, P.Z.; Jangi, A.A.; Khosravi, S. Monitoring geomorphologic changes using Landsat TM and ETM+ data in the Hendijan River delta, southwest Iran. Int. J. Remote Sens. 2008, 29, 945–959. [Google Scholar] [CrossRef]
- DeVries, B.; Huang, C.; Lang, M.W.; Jones, J.W.; Huang, W.; Creed, I.F.; Carroll, M.L. Automated Quantification of Surface Water Inundation in Wetlands Using Optical Satellite Imagery. Remote Sens. 2017, 9, 807. [Google Scholar] [CrossRef]
- Schwatke, C.; Scherer, D.; Dettmering, D. Automated Extraction of Consistent Time-Variable Water Surfaces of Lakes and Reservoirs Based on Landsat and Sentinel-2. Remote Sens. 2019, 11, 1010. [Google Scholar] [CrossRef]
- Pacheco, A.; Horta, J.; Loureiro, C.; Ferreira, A. Retrieval of nearshore bathymetry from Landsat 8 images: A tool for coastal monitoring in shallow waters. Remote Sens. Environ. 2015, 159, 102–116. [Google Scholar] [CrossRef]
- Singh, A.; Kumar, U.; Seitz, F. Correction: Singh, A., et al. Remote Sensing of Storage Fluctuations of Poorly Gauged Reservoirs and State Space Model (SSM)-Based Estimation. Remote Sens. 2016, 8, 960. [Google Scholar] [CrossRef]
- Liu, Y.; Deng, R.; Qin, Y.; Cao, B.; Liang, Y.; Liu, Y.; Tian, J.; Wang, S. Rapid estimation of bathymetry from multispectral imagery without in situ bathymetry data. Appl. Opt. 2019, 58, 7538–7551. [Google Scholar] [CrossRef] [PubMed]
- Zhu, S.; Liu, B.; Wan, W.; Xie, H.; Fang, Y.; Chen, X.; Li, H.; Fang, W.; Zhang, G.; Tao, M.; et al. A New Digital Lake Bathymetry Model Using the Step-Wise Water Recession Method to Generate 3D Lake Bathymetric Maps Based on DEMs. Water 2019, 11, 1151. [Google Scholar] [CrossRef]
- Duan, Z.; Bastiaanssen, W. Estimating water volume variations in lakes and reservoirs from four operational satellite altimetry databases and satellite imagery data. Remote Sens. Environ. 2013, 134, 403–416. [Google Scholar] [CrossRef]
- Gao, H.; Birkett, C.; Lettenmaier, D.P. Global monitoring of large reservoir storage from satellite remote sensing. Water Resour. Res. 2012, 48. [Google Scholar] [CrossRef]
- Arsen, A.; Crétaux, J.F.; Berge-Nguyen, M.; Del Rio, R.A. Remote Sensing-Derived Bathymetry of Lake Poopó. Remote Sens. 2014, 6, 407–420. [Google Scholar] [CrossRef]
- Crétaux, J.F.; Abarca-del Río, R.; Bergé-Nguyen, M.; Arsen, A.; Drolon, V.; Clos, G.; Maisongrande, P. Lake Volume Monitoring from Space. Surv. Geophys. 2016, 37, 269–305. [Google Scholar] [CrossRef]
- Busker, T.; de Roo, A.; Gelati, E.; Schwatke, C.; Adamovic, M.; Bisselink, B.; Pekel, J.F.; Cottam, A. A global lake and reservoir volume analysis using a surface water dataset and satellite altimetry. Hydrol. Earth Syst. Sci. 2019, 23, 669–690. [Google Scholar] [CrossRef]
- Bosch, W.; Dettmering, D.; Schwatke, C. Multi-Mission Cross-Calibration of Satellite Altimeters: Constructing a Long-Term Data Record for Global and Regional Sea Level Change Studies. Remote Sens. 2014, 6, 2255–2281. [Google Scholar] [CrossRef]
- Strahler, A. Hypsometric (Area-Altitude) Analysis of Erosional topography. GSA Bull. 1952, 63, 1117–1142. [Google Scholar] [CrossRef]
- Cael, B.B.; Heathcote, A.J.; Seekell, D.A. The volume and mean depth of Earth’s lakes. Geophys. Res. Lett. 2017, 44, 209–218. [Google Scholar] [CrossRef]
- Texas Water Development Board. Volumetric and Sedimentation Survey of Ray Roberts Lake (September–October 2008 Survey); Texas Water Development Board: Austin, TX, USA, 2010.
- Texas Water Development Board. Volumetric Survey of Hubbard Creek Reservoir (March 2017–January 2018 Survey); Texas Water Development Board: Austin, TX, USA, 2018.
- Texas Water Development Board. Volumetric and Sedimentation Survey of Lake Palestine (July–August 2012 Survey); Texas Water Development Board: Austin, TX, USA, 2014.
- Texas Water Development Board. Volumetric Survey of Lake Palestine (June 2003 Survey); Texas Water Development Board: Austin, TX, USA, 2005.























| Target Name (ID) | Water Level [m] | Surface Area [km] | Volume [km] | ||||||
|---|---|---|---|---|---|---|---|---|---|
| Min. | Max. | Var. | Min. | Max. | Var. | Min. | Max. | Var. | |
| Bardwell (10317) | 126.70 | 134.32 | 7.62 | 10.37 | 13.00 | 2.63 | 0.038 | 0.062 | 0.024 |
| Benbrook (10147) | 206.09 | 218.42 | 12.33 | 9.10 | 14.71 | 5.61 | 0.000 | 0.116 | 0.116 |
| Cedar Creek (13002) | 95.77 | 98.54 | 2.77 | 102.22 | 132.93 | 30.71 | 0.000 | 0.877 | 0.877 |
| Choke Canyon (13116) | 58.41 | 68.11 | 9.70 | 42.80 | 102.17 | 59.37 | 0.006 | 0.956 | 0.950 |
| Conroe (13132) | 58.74 | 62.76 | 4.02 | 60.69 | 76.99 | 16.31 | 0.000 | 0.647 | 0.647 |
| Grapevine (13061) | 159.04 | 171.60 | 12.56 | 19.19 | 27.15 | 7.96 | 0.000 | 0.248 | 0.248 |
| Granbury (13190) | 207.72 | 211.21 | 3.49 | 18.70 | 34.52 | 15.82 | 0.089 | 0.175 | 0.086 |
| Houston (8850) | 11.08 | 15.93 | 4.86 | 33.18 | 45.66 | 12.47 | 0.103 | 0.198 | 0.095 |
| Hubbard Creek (10272) | 351.12 | 361.33 | 10.21 | 17.21 | 63.48 | 46.27 | 0.005 | 0.529 | 0.524 |
| Jim Chapman (10505) | 128.63 | 136.71 | 8.07 | 37.95 | 72.67 | 34.72 | 0.098 | 0.568 | 0.470 |
| Kemp (13146) | 341.07 | 350.42 | 9.35 | 15.76 | 62.15 | 46.39 | 0.002 | 0.485 | 0.483 |
| Kickapoo (10279) | 313.77 | 319.24 | 5.47 | 10.01 | 23.73 | 13.72 | 0.000 | 0.146 | 0.146 |
| Lavon (13043) | 144.74 | 153.79 | 9.05 | 45.24 | 87.48 | 42.24 | 0.171 | 0.530 | 0.359 |
| Lewisville (11327) | 154.55 | 163.61 | 9.06 | 62.81 | 109.97 | 47.16 | 0.345 | 1.326 | 0.981 |
| Medina (13183) | 296.39 | 326.59 | 30.20 | 2.46 | 26.79 | 24.33 | 0.009 | 0.371 | 0.363 |
| Meredith (12977) | 865.37 | 886.61 | 21.24 | 6.35 | 33.79 | 27.43 | 0.020 | 0.539 | 0.519 |
| O.H.Ivie (10271) | 457.97 | 473.21 | 15.25 | n.a. | n.a. | n.a. | 0.073 | 0.709 | 0.636 |
| Palestine (13077) | 103.17 | 106.58 | 3.41 | 72.74 | 105.56 | 32.82 | 0.000 | 0.639 | 0.639 |
| Ray Roberts (10146) | 187.58 | 196.43 | 8.86 | 70.52 | 115.93 | 45.41 | 0.490 | 1.449 | 0.958 |
| Red Bluff (13158) | 851.73 | 863.29 | 11.56 | n.a. | n.a. | n.a. | 0.013 | 0.180 | 0.167 |
| Richland Chambers (8814) | 92.55 | 96.62 | 4.08 | 133.31 | 175.32 | 42.00 | 0.845 | 1.497 | 0.652 |
| Sam Rayburn (10246) | 45.95 | 53.33 | 7.38 | 308.62 | 455.57 | 146.96 | 0.000 | 4.017 | 4.017 |
| Stamford (10274) | 426.54 | 434.64 | 8.10 | 3.98 | 28.12 | 24.14 | 0.000 | 0.107 | 0.107 |
| Stillhouse Hollow (13157) | 182.88 | 202.38 | 19.50 | 16.71 | 27.22 | 10.51 | 0.170 | 0.301 | 0.131 |
| Tawakoni (8813) | 129.52 | 134.59 | 5.07 | 104.39 | 151.05 | 46.66 | 0.000 | 1.371 | 1.391 |
| Texoma (13141) | 185.35 | 196.80 | 11.45 | 237.56 | 323.47 | 85.91 | 2.385 | 3.786 | 1.402 |
| Toledo Bend (10247) | 48.62 | 53.10 | 4.48 | 510.13 | 782.16 | 272.03 | 0.000 | 6.041 | 6.041 |
| Whitney (13102) | 157.49 | 171.09 | 13.60 | 53.05 | 93.76 | 40.71 | 0.000 | 2.433 | 2.433 |
| Target Name (ID) | Altimetry | Surface Area | Hypsometry | Volume | |||||||||||||||
|---|---|---|---|---|---|---|---|---|---|---|---|---|---|---|---|---|---|---|---|
| vs. In-Situ [m] | vs. In-Situ [km] | vs. In-Situ [km] | |||||||||||||||||
| # | R | RMSE | rel% | # | R | RMSE | rel% | # | R | RMSE | # | R | RMSE | rel% | abs% | Offset | |||
| Bardwell (10317) | 42 | 0.83 | 0.30 | 13.8 | 427 | 0.94 | 0.13 | 8.6 | 44 | 0.67 | 0.32 | 514 | 0.88 | 0.002 | 11.4 | 2.9 | −0.038 | ||
| Benbrook (10147) | 67 | 0.91 | 0.43 | 10.4 | 349 | 0.98 | 0.18 | 5.2 | 44 | 0.86 | 0.42 | 591 | 0.95 | 0.004 | 10.2 | 3.2 | −0.054 | ||
| Cedar Creek (13002) | 30 | 0.81 | 0.28 | 13.0 | 171 | 0.91 | 2.27 | 11.0 | 24 | 0.83 | 0.28 | 473 | 0.89 | 0.023 | 10.3 | 2.7 | −0.537 | ||
| Choke Canyon (13116) | 331 | 0.99 | 0.20 | 2.5 | 244 | 0.99 | 1.67 | 3.3 | 162 | 0.97 | 0.47 | 668 | 0.99 | 0.022 | 3.9 | 2.4 | −0.173 | ||
| Conroe (13132) | 14 | 0.83 | 0.26 | 14.7 | 92 | 0.87 | 1.01 | 14.7 | 5 | 0.94 | 0.15 | 398 | 0.80 | 0.015 | 14.9 | 2.8 | −0.310 | ||
| Grapevine (13061) | 78 | 0.95 | 0.29 | 6.2 | 360 | 0.96 | 0.39 | 6.4 | 104 | 0.87 | 0.42 | 652 | 0.93 | 0.008 | 10.2 | 3.2 | −0.121 | ||
| Granbury (13190) | 102 | 0.90 | 0.24 | 9.4 | 281 | 0.95 | 1.07 | 9.9 | 166 | 0.83 | 0.28 | 554 | 0.91 | 0.005 | 10.3 | 3.1 | −0.102 | ||
| Houston (8850) | 371 | 0.86 | 0.14 | 16.3 | 43 | 0.95 | 1.03 | 11.1 | 136 | 0.76 | 0.17 | 389 | 0.84 | 0.005 | 11.1 | 2.7 | −0.109 | ||
| Hubbard Creek (10272) | 410 | 1.00 | 0.15 | 1.7 | 479 | 0.99 | 1.09 | 3.0 | 279 | 0.99 | 0.20 | 1021 | 0.99 | 0.008 | 2.8 | 2.0 | −0.071 | ||
| Jim Chapman (10505) | 19 | 0.98 | 0.29 | 5.8 | 128 | 0.98 | 1.45 | 4.9 | 25 | 0.90 | 0.53 | 347 | 0.93 | 0.034 | 9.9 | 6.4 | −0.063 | ||
| Kemp (13146) | 156 | 0.95 | 0.41 | 5.9 | 230 | 0.89 | 5.16 | 12.2 | 188 | 0.94 | 0.46 | 687 | 0.97 | 0.015 | 5.7 | 4.2 | −0.043 | ||
| Kickapoo (10279) | 17 | 0.96 | 0.19 | 6.9 | 258 | 1.00 | 0.27 | 2.2 | 52 | 0.92 | 0.28 | 486 | 0.99 | 0.003 | 4.4 | 2.9 | −0.029 | ||
| Lavon (13043) | 6 | 0.98 | 0.15 | 6.1 | 560 | 0.96 | 1.75 | 6.6 | 4 | 0.97 | 0.16 | 566 | 0.96 | 0.019 | 8.7 | 3.7 | −0.200 | ||
| Lewisville (11327) | 32 | 0.95 | 0.24 | 7.8 | 381 | 0.98 | 1.36 | 4.6 | 50 | 0.89 | 0.35 | 565 | 0.95 | 0.029 | 7.1 | 2.3 | −0.442 | ||
| Medina (13183) | 52 | 0.99 | 0.78 | 3.8 | 239 | 0.99 | 1.07 | 10.5 | 37 | 0.98 | 0.37 | 289 | 0.99 | 0.016 | 8.9 | 5.0 | −0.079 | ||
| Meredith (12977) | 43 | 0.97 | 0.30 | 6.6 | 671 | 0.99 | 0.65 | 3.3 | 85 | 0.96 | 0.35 | 890 | 0.99 | 0.014 | 2.9 | 2.5 | −0.010 | ||
| O.H.Ivie (10271) | 413 | 0.99 | 0.35 | 3.4 | — | — | — | — | 364 | 0.99 | 0.42 | 1029 | 0.99 | 0.029 | 6.1 | 4.4 | −0.105 | ||
| Palestine (13077) | 36 | 0.84 | 0.13 | 15.1 | 301 | 0.80 | 2.14 | 21.6 | 32 | 0.64 | 0.17 | 475 | 0.82 | 0.017 | 13.0 | 3.3 | −0.264 | ||
| Ray Roberts (10146) | 353 | 0.98 | 0.15 | 4.5 | 380 | 0.98 | 1.48 | 6.0 | 262 | 0.93 | 0.26 | 867 | 0.97 | 0.025 | 7.2 | 1.8 | −0.647 | ||
| Red Bluff (13158) | 48 | 0.99 | 0.15 | 3.6 | — | — | — | — | 83 | 0.96 | 0.19 | 599 | 0.98 | 0.007 | 6.0 | 4.0 | −0.037 | ||
| Richland Chambers (8814) | 400 | 0.97 | 0.15 | 5.1 | 146 | 0.97 | 1.93 | 5.5 | 233 | 0.95 | 0.21 | 824 | 0.97 | 0.024 | 5.4 | 1.7 | −0.879 | ||
| Sam Rayburn (10246) | 408 | 0.98 | 0.16 | 3.9 | 208 | 0.88 | 11.82 | 19.3 | 203 | 0.88 | 0.38 | 774 | 0.94 | 0.096 | 7.8 | 2.4 | −2.096 | ||
| Stamford (10274) | 351 | 0.99 | 0.21 | 3.9 | 364 | 0.97 | 1.55 | 13.4 | 227 | 0.92 | 0.38 | 717 | 0.97 | 0.004 | 7.3 | 4.5 | −0.011 | ||
| Stillhouse Hollow (13157) | 30 | 0.99 | 0.13 | 2.8 | 208 | 0.97 | 0.59 | 7.6 | 32 | 0.91 | 0.35 | 463 | 0.96 | 0.007 | 8.8 | 2.1 | −0.193 | ||
| Tawakoni (8813) | 276 | 0.93 | 0.20 | 8.4 | 111 | 0.96 | 2.14 | 6.6 | 157 | 0.83 | 0.26 | 721 | 0.91 | 0.032 | 9.5 | 2.7 | −0.687 | ||
| Texoma (13141) | 87 | 0.95 | 0.22 | 7.3 | 416 | 0.95 | 4.83 | 9.2 | 109 | 0.84 | 0.39 | 510 | 0.94 | 0.058 | 8.2 | 1.5 | −2.539 | ||
| Toledo Bend (10247) | 450 | 0.93 | 0.23 | 7.9 | 425 | 0.89 | 21.75 | 23.5 | 122 | 0.77 | 0.39 | 890 | 0.91 | 0.166 | 11.2 | 2.8 | −3.570 | ||
| Whitney (13102) | 53 | 0.97 | 0.26 | 5.5 | 334 | 0.97 | 2.48 | 10.2 | 68 | 0.95 | 0.32 | 562 | 0.95 | 0.023 | 8.1 | 2.9 | −0.348 | ||
| Minimum | 6 | 0.81 | 0.13 | 1.7 | 43 | 0.80 | 0.13 | 2.2 | 4 | 0.64 | 0.15 | 289 | 0.80 | 0.002 | 2.8 | 1.5 | −3.570 | ||
| Maximum | 450 | 1.00 | 0.78 | 16.3 | 671 | 1.00 | 21.75 | 23.5 | 364 | 0.99 | 0.53 | 1029 | 0.99 | 0.166 | 14.9 | 6.4 | −0.010 | ||
| Average | 166 | 0.94 | 0.25 | 7.2 | 300 | 0.95 | 2.74 | 9.2 | 117 | 0.89 | 0.32 | 625 | 0.94 | 0.025 | 8.3 | 3.1 | −0.491 | ||
© 2020 by the authors. Licensee MDPI, Basel, Switzerland. This article is an open access article distributed under the terms and conditions of the Creative Commons Attribution (CC BY) license (http://creativecommons.org/licenses/by/4.0/).
Share and Cite
Schwatke, C.; Dettmering, D.; Seitz, F. Volume Variations of Small Inland Water Bodies from a Combination of Satellite Altimetry and Optical Imagery. Remote Sens. 2020, 12, 1606. https://doi.org/10.3390/rs12101606
Schwatke C, Dettmering D, Seitz F. Volume Variations of Small Inland Water Bodies from a Combination of Satellite Altimetry and Optical Imagery. Remote Sensing. 2020; 12(10):1606. https://doi.org/10.3390/rs12101606
Chicago/Turabian StyleSchwatke, Christian, Denise Dettmering, and Florian Seitz. 2020. "Volume Variations of Small Inland Water Bodies from a Combination of Satellite Altimetry and Optical Imagery" Remote Sensing 12, no. 10: 1606. https://doi.org/10.3390/rs12101606
APA StyleSchwatke, C., Dettmering, D., & Seitz, F. (2020). Volume Variations of Small Inland Water Bodies from a Combination of Satellite Altimetry and Optical Imagery. Remote Sensing, 12(10), 1606. https://doi.org/10.3390/rs12101606

