Quantitative Aerosol Optical Depth Detection during Dust Outbreaks from Meteosat Imagery Using an Artificial Neural Network Model
Abstract
1. Introduction
2. Initial Data and Study Area
3. Methodology
3.1. Data Pre-Processing and Filtering
3.2. The Artificial Neural Network (ANN) Model
4. Model Evaluation
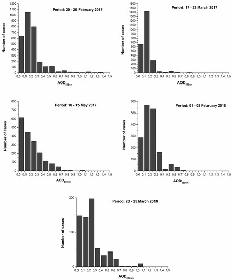
4.1. Overall Evaluation
4.2. Case Study
4.2.1. Evaluation of ANN Model Outputs against the Aerosol Robotic NETwork (AERONET)
4.2.2. Evaluation of ANN Model Outputs against the Moderate Resolution Imaging Spectroradiometer (MODIS)
5. Conclusions
Author Contributions
Funding
Acknowledgments
Conflicts of Interest
References
- Karanasiou, A.; Moreno, N.; Moreno, T.; Viana, M.; de Leeuw, F.; Querol, X. Health effects from Sahara dust episodes in Europe: literature review and research gaps. Environ. Int. 2012, 5, 107–114. [Google Scholar] [CrossRef]
- Lee, H.; Honda, Y.; Lim, Y.-H.; Guo, Y.L.; Hashizume, M.; Kim, H. Effect of Asian dust storms on mortality in three Asian cities. Atmos. Environ. 2014, 89, 309–317. [Google Scholar] [CrossRef]
- Zhang, X.; Zhao, L.; Tong, D.Q.; Wu, G.; Dan, M.; Teng, B. A Systematic Review of Global Desert Dust and Associated Human Health Effects. Atmosphere 2016, 7, 158. [Google Scholar] [CrossRef]
- Lambert, F.; Delmonte, B.; Petit, J.R.; Bigler, M.; Kaufmann, P.R.; Hutterli, M.A.; Stocker, T.F.; Rüth, U.; Steffensen, J.P.; Maggi, V. Dust-climate couplings over the past 800,000 years from the EPICA Dome C ice core. Nat. Cell Boil. 2008, 452, 616–619. [Google Scholar] [CrossRef]
- Martínez-Garcia, A.; Rosell-Mele, A.; Jaccard, S.L.; Geibert, W.; Sigman, D.M.; Haug, G.H.; Jaccard, S. Southern Ocean dust–climate coupling over the past four million years. Nat. Cell Boil. 2011, 476, 312–315. [Google Scholar] [CrossRef]
- IPCC. Climate Change 2013: The Physical Science Basis. Twelfth Session of Working Group contribution to the IPCC Fifth Assessment Report (WGI AR5). Available online: http://www.climatechange2013.org/images/report/WG1AR5_Frontmatter_FINAL.pdf (accessed on 17 June 2018).
- Yu, F.; Luo, G.; Wang, Z. Impact of aerosol on sea surface temperature over the subtropical Atlantic Ocean: A potential trigger factor of the NAO phase conversion? Geophys. Lett. 2009, 36. [Google Scholar]
- Zhao, T.L.; Gong, S.L.; Zhang, X.Y.; Jaffe, D.A. Asian dust storm influence on North American ambient PM levels: observational evidence and controlling factors. Atmos. Chem. Phys. Discuss. 2008, 8, 2717–2728. [Google Scholar] [CrossRef]
- Gkikas, A.; Obiso, V.; Pérez García-Pando, C.; Jorba, O.; Hatzianastasiou, N.; Vendrell, L.; Basart, S.; Casso, S.; Baldasano, J.-M. Direct radiative effects of intense Mediterranean desert dust outbreaks. Atmos. Chem. Phys. 2018, 18, 8757–8787. [Google Scholar] [CrossRef]
- Satheesh, S.K.; Deepshikha, S.; Srinivasan, J. Impact of dust aerosols on Earth–atmosphere clear-sky albedo and its shortwave radiative forcing over African and Arabian regions. Int. J. Remote Sens. 2006, 27, 1691–1706. [Google Scholar] [CrossRef]
- Creamean, J.M.; Suski, K.J.; Rosenfeld, D.; Cazorla, A.; DeMott, P.J.; Sullivan, R.C.; White, A.B.; Ralph, F.M.; Minnis, P.; Comstock, J.M.; et al. Dust and biological aerosols from the Sahara and Asia influence precipitation in the western US. Science 2013, 339, 1572–1578. [Google Scholar] [CrossRef] [PubMed]
- Ridgwell, A.J.; Watson, A.J. Feedback between aeolian dust, climate, and atmospheric CO2 in glacial time. Paleoceanography 2002, 17, 1059. [Google Scholar] [CrossRef]
- Maher, B.; Prospero, J.; Mackie, D.; Gaiero, D.M.; Hesse, P.; Balkanski, Y.; Maher, B.; Prospero, J. Global connections between aeolian dust, climate and ocean biogeochemistry at the present day and at the last glacial maximum. Earth-Sci. Rev. 2010, 99, 61–97. [Google Scholar] [CrossRef]
- Goudie, A.; Middleton, N.J. Desert Dust in the Global System; Springer: Berlin/Heidelberg, Germany, 2006. [Google Scholar] [CrossRef]
- Barnum, B.; Winstead, N.; Wesely, J.; Hakola, A.; Colarco, P.; Toon, O.; Ginoux, P.; Brooks, G.; Hasselbarth, L.; Toth, B. Forecasting dust storms using the CARMA-dust model and MM5 weather data. Environ. Model. Softw. 2004, 19, 129–140. [Google Scholar] [CrossRef]
- Kallos, G.; Papadopoulos, A.; Katsafados, P.; Nickovic, S. Transatlantic Saharan dust transport: Model simulation and results. J. Geophys. Res. Biogeosci. 2006, 111, 09204. [Google Scholar] [CrossRef]
- Nickovic, S.; Kallos, G.; Papadopoulos, A.; Kakaliagou, O. A model for prediction of desert dust cycle in the atmosphere. J. Geophys. Res. Biogeosci. 2001, 106, 18113–18129. [Google Scholar] [CrossRef]
- Pérez, C.; Haustein, K.; Janjic, Z.; Jorba, O.; Huneeus, N.; Baldasano, J.M.; Black, T.; Basart, S.; Nickovic, S.; Miller, R.L.; et al. An online mineral dust aerosol model for meso to global scales: Model description, annual simulations and evaluation. Atmos. Chem. Phys. 2011, 11, 13001–13027. [Google Scholar]
- Haustein, K.; Pérez, C.; Baldasano, J.M.; Jorba, O.; Basart, S.; Miller, R.L.; Janjić, Z.; Black, T.; Nickovic, S.; Todd, M.C.; et al. Atmospheric dust modeling from meso to global scales with the online NMMB/BSC-Dust model—Part 2: Experimental campaigns in Northern Africa. Atmos. Chem. Phys. Discuss. 2012, 12, 2933–2958. [Google Scholar] [CrossRef]
- Grell, G.A.; Peckham, S.E.; Schmitz, R.; McKeen, S.A.; Frost, G.; Skamarock, W.C.; Eder, B. Fully coupled ‘online’ chemistry in the WRF model. Atmos. Environ. 2005, 39, 6957–6976. [Google Scholar] [CrossRef]
- Bian, H. Analysis of a Severe Dust Storm Event over China: Application of the WRF-Dust Model. Aerosol Air Qual. 2011, 11, 419–428. [Google Scholar] [CrossRef]
- Pope, R.J.; Marsham, J.H.; Knippertz, P.; Brooks, M.E.; Roberts, A.J. Identifying errors in dust models from data assimilation. Geophys. Lett. 2016, 43, 9270–9279. [Google Scholar] [CrossRef] [PubMed]
- Huneeus, N.; Schulz, M.; Balkanski, Y.; Griesfeller, J.; Prospero, J.; Kinne, S.; Bauer, S.; Boucher, O.; Chin, M.; Dentener, F.; et al. Global dust model intercomparison in AeroCom phase I. Atmos. Chem. Phys. Discuss. 2011, 11, 7781–7816. [Google Scholar] [CrossRef]
- Romano, F.; Ricciardelli, E.; Cimini, D.; Di Paola, F.; Viggiano, M. Dust Detection and Optical Depth Retrieval Using MSG-SEVIRI Data. Atmosphere 2013, 4, 35–47. [Google Scholar] [CrossRef]
- Perea, P.R.; Rosiles, J.G.; Cota-Ruiz, J. Statistical and neural pattern recognition methods for dust aerosol detection. Int. J. Sens. 2013, 34, 7648–7670. [Google Scholar] [CrossRef]
- Zhou, T.; Xie, H.; Bi, J.; Huang, Z.; Huang, J.; Shi, J.; Zhang, B.; Zhang, W. Lidar Measurements of Dust Aerosols during Three Field Campaigns in 2010, 2011 and 2012 over Northwestern China. Atmosphere 2018, 9, 173. [Google Scholar] [CrossRef]
- Hu, X.Q.; Lu, N.M.; Niu, T.; Zhang, P. Operational retrieval of Asian sand and dust storm from FY-2C geostationary meteorological satellite and its application to real time forecast in Asia. Atmos. Chem. Phys. Discuss. 2008, 8, 1649–1659. [Google Scholar] [CrossRef]
- Wong, M.S.; Xiao, F.; Nichol, J.; Fung, J.; Kim, J.; Campbell, J.; Chan, P. A multi-scale hybrid neural network retrieval model for dust storm detection, a study in Asia. Atmos. Res. 2015, 158, 89–106. [Google Scholar] [CrossRef]
- She, L.; Xue, Y.; Yang, X.; Guang, J.; Li, Y.; Che, Y.; Fan, C.; Xie, Y. Dust Detection and Intensity Estimation Using Himawari-8/AHI Observation. Remote. Sens. 2018, 10, 490. [Google Scholar] [CrossRef]
- Klüser, L.; Schepanski, K. Remote sensing of mineral dust over land with MSG infrared channels: A new Bitemporal Mineral Dust Index. Remote Sens. Environ. 2009, 113, 1853–1867. [Google Scholar] [CrossRef]
- Ashpole, I.; Washington, R. An automated dust detection using SEVIRI: A multiyear climatology of summertime dustiness in the central and western Sahara. J. Geophys. Res. Biogeosci. 2012, 117, D08202. [Google Scholar] [CrossRef]
- Xie, Y.; Zhang, W.; Qu, J.J. Detection of Asian Dust Storm Using MODIS Measurements. Remote. Sens. 2017, 9, 869. [Google Scholar] [CrossRef]
- Prata, A.J. Observations of volcanic ash clouds in the 10–12 μm window using AVHRR/2 data. Int. J. Sens. 1989, 10, 751–761. [Google Scholar] [CrossRef]
- Ellrod, G.P.; Connell, B.H.; Hillger, D.W. Improved detection of airborne volcanic ash using multispectral infrared satellite data. J. Geophys. Res. Biogeosci. 2003, 108, 4356. [Google Scholar] [CrossRef]
- Dunion, J.P.; Velden, C.S. The Impact of the Saharan Air Layer on Atlantic Tropical Cyclone Activity. Am. Meteorol. Soc. 2004, 85, 353–366. [Google Scholar] [CrossRef]
- Pavolonis, M.J.; Feltz, W.F.; Heidinger, A.K.; Gallina, G.M. A Daytime Complement to the Reverse Absorption Technique for Improved Automated Detection of Volcanic Ash. J. Atmos. Ocean. Technol. 2006, 23, 1422–1444. [Google Scholar] [CrossRef]
- Ackerman, S.A. Remote sensing aerosols using satellite infrared observations. J. Geophys. Res. Biogeosci. 1997, 102, 17069–17079. [Google Scholar] [CrossRef]
- Zhao, T.X.-P.; Ackerman, S.; Guo, W.; Ackerman, S. Dust and Smoke Detection for Multi-Channel Imagers. Remote. Sens. 2010, 2, 2347–2368. [Google Scholar] [CrossRef]
- Prata, A.J.; Grant, I.F. Retrieval of microphysical and morphological properties of volcanic ash plumes from satellite data: Application to Mt Ruapehu, New Zealand. Q. J. Meteorol. Soc. 2001, 127, 2153–2179. [Google Scholar] [CrossRef]
- Legrand, M.; Plana-Fattori, A.; N’Doumé, C.; Plana-Fattori, A. Satellite detection of dust using the IR imagery of Meteosat: 1. Infrared difference dust index. J. Geophys. Res. Atmos. 2001, 106, 18251–18274. [Google Scholar] [CrossRef]
- Ciren, P.; Kondragunta, S. Dust aerosol index (DAI) algorithm for MODIS. J. Geophys. Res. Atmos. 2014, 119, 4770–4792. [Google Scholar] [CrossRef]
- Chacon-Murguía, M.I.; Quezada-Holguín, Y.; Perea, P.R.; Cabrera, S. Dust Storm Detection Using a Neural Network with Uncertainty and Ambiguity Output Analysis. In Lecture Notes in Computer Science; Springer: Berlin, Germany, 2011; Volume 6718, pp. 305–313. [Google Scholar]
- Shahrisvand, M.; Akhoondzadeh, M. A comparison of empirical and inteligent methods for dust detection using modis satellite data. ISPRS - Int. Arch. Photogramm. Sens. Spat. Inf. Sci. 2013, 1, 371–375. [Google Scholar] [CrossRef]
- Souri, A.H.; Vajedian, S. Dust storm detection using random forests and physical-based approaches over the Middle East. J. Earth Sci. 2015, 124, 1127–1141. [Google Scholar] [CrossRef]
- Lazri, M.; Ameur, S.; Brucker, J.M.; Ouallouche, F. Convective rainfall estimation from MSG/SEVIRI data based on different development phase duration of convective systems (growth phase and decay phase). Atmos. Res. 2014, 147, 38–50. [Google Scholar] [CrossRef]
- Lazri, M.; Ameur, S. Combination of support vector machine, artificial neural network and random forest for improving the classification of convective and stratiform rain using spectral features of SEVIRI data. Atmos. Res. 2018, 203, 118–129. [Google Scholar] [CrossRef]
- Marchese, F.; Sannazzaro, F.; Falconieri, A.; Filizzola, C.; Pergola, N.; Tramutoli, V. An Enhanced Satellite-Based Algorithm for Detecting and Tracking Dust Outbreaks by Means of SEVIRI Data. Remote. Sens. 2017, 9, 537. [Google Scholar] [CrossRef]
- Lensky, I.M.; Rosenfeld, D. Clouds-Aerosols-Precipitation Satellite Analysis Tool (CAPSAT). Atmos. Chem. Phys. Discuss. 2008, 8, 6739–6753. [Google Scholar] [CrossRef]
- Banks, J.R.; Brindley, H.E. Evaluation of MSG-SEVIRI mineral dust retrieval products over North Africa and the Middle East. Remote Sens. Environ. 2012, 128, 58–73. [Google Scholar] [CrossRef]
- Hubanks, P.; Platnick, S.; King, M.; Ridgway, B. MODIS Atmosphere L3 Gridded Product Algorithm Theoretical Basis Document (ATBD) and Users Guide, Collection 006, Version 4.2. 27 July 2016. Available online: https://modis-images.gsfc.nasa.gov/_docs/L3_ATBD_C6.pdf (accessed on 10 August 2018).
- Brindley, H.; Knippertz, P.; Ryder, C.; Ashpole, I. A critical evaluation of the ability of the Spinning Enhanced Visible and Infrared Imager (SEVIRI) thermal infrared red-green-blue rendering to identify dust events: Theoretical analysis. J. Geophys. Res. Biogeosci. 2012, 117, D07201. [Google Scholar] [CrossRef]
- Liu, R.; Cheng, X.; Liu, Y. Dust detection over desert surfaces with thermal infrared bands using dynamic reference brightness temperature differences. J. Geophys. Res. Atmos. 2013, 118, 8566–8584. [Google Scholar] [CrossRef]
- Georgiev, C.G.; Santurette, P. Mid-level jet in intense convective environment as seen in the 7.3 µm satellite imagery. Atmos. Res. 2009, 93, 277–285. [Google Scholar] [CrossRef]
- Kolios, S.; Stylios, C. Combined use of an instability index and SEVIRI water vapor imagery to detect unstable air masses. In Proceedings of the EUMETSAT Conference of Satellite Meteorology, Geneva, Switzerland, 22–26 September 2014. [Google Scholar]
- Kolios, S. Study of Mesoscale Cloud System Oscillations Capable of Producing Convective Gravity Waves. Climate 2018, 6, 25. [Google Scholar] [CrossRef]
- Mann, H.B.; Whitney, D.R. On a Test of Whether one of Two Random Variables is Stochastically Larger than the Other. Ann. Math. Stat. 1947, 18, 50–60. [Google Scholar] [CrossRef]
- Fay, M.P.; Proschan, M.A. Wilcoxon-Mann-Whitney or t-test? On assumptions for hypothesis tests and multiple interpretations of decision rules*. Stat. Surv. 2010, 4, 1–39. [Google Scholar] [CrossRef]
- Glorot, X.; Bordes, A.; Bengio, Y. Deep Sparse Rectifier Neural Networks. In Proceedings of the 14th International Conference on Artificial Intelligence and Statistics Conference, Lauderdale, FL, USA, 11–13 April 2011. [Google Scholar]
- Wilks, D.S. Statistical Methods in the Atmospheric Sciences, 3rd ed.; Academic Press: Oxford, UK, 2011; ISBN 9780123850232. [Google Scholar]
- Jolliffe, I.T.; Stephenson, D.B. Forecast Verification: A Practitioner’s Guide in Atmospheric Science; Wiley: West Sussex, UK, 2011; ISBN 978-0-470-66071-3. [Google Scholar]
- Kerkman, J.; Roesli, H.P.; Bridge, G.; König, M. Applications of Meteosat Second Generation (MSG), RGB Composites with Channels 01–11 and Their Interpretation. Available online: http://oiswww.eumetsat.org/IPPS/html/bin/guides/msg_rgb_dust.ppt (accessed on 5 June 2018).
- Remer, L.A.; Kleidman, R.G.; Levy, R.C.; Kaufman, Y.J.; Tanré, D.; Mattoo, S.; Martins, J.V.; Ichoku, C.; Koren, I.; Yu, H.; et al. Global aerosol climatology from the MODIS satellite sensors. J. Geophys. Res. Biogeosci. 2008, 113, D14. [Google Scholar] [CrossRef]
- Levy, R.; Remer, L.A.; Kleidman, R.G.; Mattoo, S.; Ichoku, C.; Kahn, R.; Eck, T.F. Global evaluation of the Collection 5 MODIS dark-target aerosol products over land. Atmos. Chem. Phys. Discuss. 2010, 10, 10399–10420. [Google Scholar] [CrossRef]
- Papadimas, C.D.; Hatzianastassiou, N.; Mihalopoulos, N.; Querol, X.; Vardavas, I. Spatial and temporal variability in aerosol properties over the Mediterranean basin based on 6-year (2000–2006) MODIS data. J. Geophys. Res. Biogeosci. 2008, 113, D11205. [Google Scholar] [CrossRef]
- Floutsi, A.; Korras-Carraca, M.-B.; Matsoukas, C.; Hatzianastassiou, N.; Biskos, G. Climatology and trends of aerosol optical depth over the Mediterranean basin during the last 12 years (2002–2014) based on Collection 006 MODIS-Aqua data. Sci. Total Environ. 2016, 551, 292–303. [Google Scholar] [CrossRef]









| Statistical Parameter | Equation | Value |
|---|---|---|
| MAE | 0.031 | |
| ME | −0.0025 | |
| RMSE | 0.051 | |
| rp | 0.91 |
| Threshold Value | Ground-Based Measurements | ||
|---|---|---|---|
| Yes | No | ||
| ANN model estimations | Yes | Hit (H) | False Alarm (FA) |
| No | Miss (M) | Correct Negative (CN) | |
| Statistical Parameters | Class-1 | Class-2 | Class-3 | Class-4 |
|---|---|---|---|---|
| MAE | 0.03 | 0.018 | 0.026 | 0.092 |
| ME | −0.028 | −0.008 | 0.012 | 0.014 |
| RMSE | 0.031 | 0.0035 | 0.02 | 0.12 |
| rp | 0.19 | 0.92 | 0.84 | 0.87 |
© 2019 by the authors. Licensee MDPI, Basel, Switzerland. This article is an open access article distributed under the terms and conditions of the Creative Commons Attribution (CC BY) license (http://creativecommons.org/licenses/by/4.0/).
Share and Cite
Kolios, S.; Hatzianastassiou, N. Quantitative Aerosol Optical Depth Detection during Dust Outbreaks from Meteosat Imagery Using an Artificial Neural Network Model. Remote Sens. 2019, 11, 1022. https://doi.org/10.3390/rs11091022
Kolios S, Hatzianastassiou N. Quantitative Aerosol Optical Depth Detection during Dust Outbreaks from Meteosat Imagery Using an Artificial Neural Network Model. Remote Sensing. 2019; 11(9):1022. https://doi.org/10.3390/rs11091022
Chicago/Turabian StyleKolios, Stavros, and Nikos Hatzianastassiou. 2019. "Quantitative Aerosol Optical Depth Detection during Dust Outbreaks from Meteosat Imagery Using an Artificial Neural Network Model" Remote Sensing 11, no. 9: 1022. https://doi.org/10.3390/rs11091022
APA StyleKolios, S., & Hatzianastassiou, N. (2019). Quantitative Aerosol Optical Depth Detection during Dust Outbreaks from Meteosat Imagery Using an Artificial Neural Network Model. Remote Sensing, 11(9), 1022. https://doi.org/10.3390/rs11091022