Change Detection of Mangrove Forests in Coastal Guangdong during the Past Three Decades Based on Remote Sensing Data
Abstract
1. Introduction
2. Materials and Methods
2.1. Study Area and Data Source
2.2. Image Preprocessing
2.3. Image Classification
2.4. Accuracy Validation
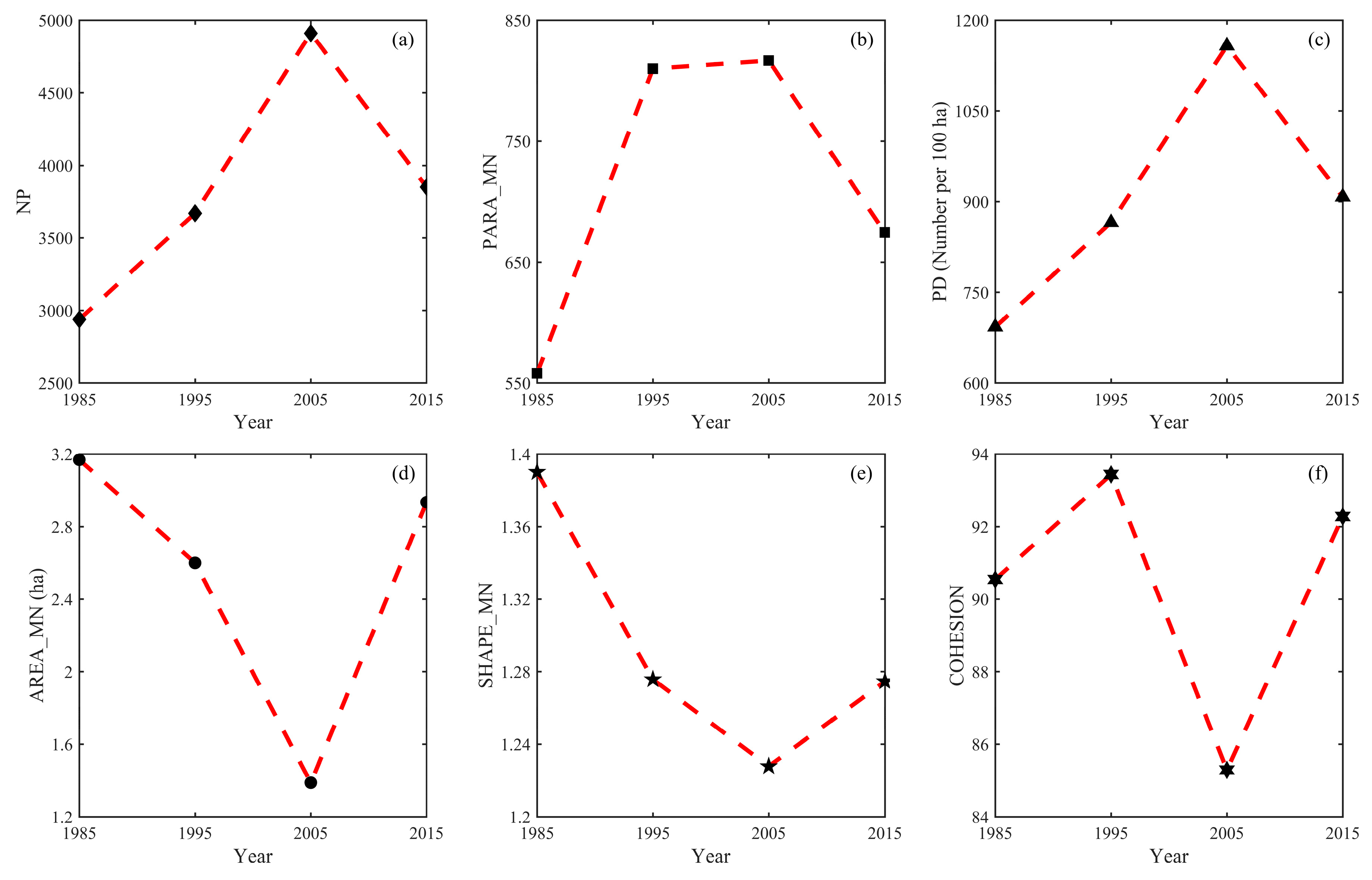
2.5. Landscape Pattern of Mangrove Distribution
3. Results
3.1. Accuracy of the Classification Results
3.2. Spatial Pattern of Mangrove Distribution
3.3. Spatiotemporal Variations in the Mangrove Distribution
4. Discussion
4.1. Distribution Characteristics of Mangrove Patches
4.2. Factors Influencing Spatiotemporal Variations in Mangrove Forests
5. Conclusions
Author Contributions
Funding
Acknowledgments
Conflicts of Interest
References
- Amarasinghe, M.D.; Balasubramaniam, S. Net primary productivity of two mangrove forest stands on the northwestern coast of Sri Lanka. Hydrobiologia 1992, 247, 37–47. [Google Scholar] [CrossRef]
- Saenger, P. Mangrove Ecology, Silviculture and Conservation; Kluwer Academic Publishers: Dordrecht, The Netherland, 2002; Volume XI, p. 360. [Google Scholar]
- Myint, S.W.; Giri, C.P.; Wang, L.; Zhu, Z.; Gillete, S.C. Identifying mangrove species and their surrounding land use and land cover classes using object-oriented approach with a lacunarity spatial measure. GIScience Remote Sens. 2008, 45, 188–208. [Google Scholar] [CrossRef]
- Li, M.S.; Mao, L.J.; Shen, W.J.; Liu, S.Q.; Wei, A.S. Change and fragmentation trends of Zhanjiang mangrove forests in southern China using multi-temporal Landsat imagery (1977–2010). Estuar. Coast. Shelf Sci. 2013, 130, 111–120. [Google Scholar] [CrossRef]
- Fickert, T. Better Resilient than Resistant—Regeneration Dynamics of Storm-Disturbed Mangrove Forests on the Bay Island of Guanaja (Honduras) during the First Two Decades after Hurricane Mitch (October 1998). Diversity 2018, 10, 8. [Google Scholar] [CrossRef]
- Wang, L.; Sousa, W.P.; Gong, P.; Biging, G.S. Comparison of IKONOS and QuickBird images for mapping mangrove species on the Caribbean coast of Panama. Remote Sens. Environ. 2004, 91, 432–440. [Google Scholar] [CrossRef]
- Giri, C.; Muhlhausen, J. Mangrove Forest Distributions and Dynamics in Madagascar (1975-2005). Sensors 2008, 8, 2104–2117. [Google Scholar] [CrossRef] [PubMed]
- Dahdouh-Guebas, F.; Jayatissa, L.P.; Di Nitto, D.; Bosire, J.O.; Lo Seen, D.; Koedam, N. How effective were mangroves as a defence against the recent tsunami? Curr. Biol. 2005, 15, R443–R447. [Google Scholar] [CrossRef]
- Granek, E.F.; Ruttenberg, B.I. Protective capacity of mangroves during tropical storms: A case study from ‘Wilma’ and ‘Gamma’ in Belize. Mar. Ecol. Prog. Ser. 2007, 343, 101–105. [Google Scholar] [CrossRef]
- Kathiresan, K.; Bingham, B.L. Biology of mangroves and mangrove Ecosystems. In Advances in Marine Biology; Academic Press: Cambridge, MA, USA, 2001; pp. 81–251. [Google Scholar]
- Mazda, Y.; Magi, M.; Nanao, H.; Kogo, M.; Miyagi, T.; Kanazawa, N.; Kobashi, D. Coastal erosion due to long-term human impact on mangrove forests. Wetl. Ecol. Manag. 2002, 10, 1–9. [Google Scholar] [CrossRef]
- Wickramasinghe, S.; Borin, M.; Kotagama, S.W.; Cochard, R.; Anceno, A.J.; Shipin, O.V. Multi-functional pollution mitigation in a rehabilitated mangrove conservation area. Ecol. Eng. 2009, 35, 898–907. [Google Scholar] [CrossRef]
- Zorini, L.O.; Contini, C.; Jiddawi, N.; Ochiewo, J.; Shunula, J.; Cannicci, S. Participatory appraisal for potential community-based mangrove management in East Africa. Wetl. Ecol. Manag. 2004, 12, 87–102. [Google Scholar] [CrossRef]
- Dale, P.E.R.; Knight, J.M.; Dwyer, P.G. Mangrove rehabilitation: A review focusing on ecological and institutional issues. Wetl. Ecol. Manag. 2014, 22, 587–604. [Google Scholar] [CrossRef]
- Nascimento, W.R.; Souza-Filho, P.W.M.; Proisy, C.; Lucas, R.M.; Rosenqvist, A. Mapping changes in the largest continuous Amazonian mangrove belt using object-based classification of multisensor satellite imagery. Estuar. Coast. Shelf Sci. 2013, 117, 83–93. [Google Scholar] [CrossRef]
- Giri, C.; Pengra, B.; Zhu, Z.; Singh, A.; Tieszen, L.L. Monitoring mangrove forest dynamics of the Sundarbans in Bangladesh and India using multi-temporal satellite data from 1973 to 2000. Estuar. Coast. Shelf Sci. 2007, 73, 91–100. [Google Scholar] [CrossRef]
- Vo, T.Q.; Oppelt, N.; Leinenkugel, P.; Kuenzer, C. Remote Sensing in Mapping Mangrove Ecosystems—An Object-Based Approach. Remote Sens. 2013, 5, 183–201. [Google Scholar] [CrossRef]
- Abdul Aziz, A.; Phinn, S.; Dargusch, P. Investigating the decline of ecosystem services in a production mangrove forest using Landsat and object-based image analysis. Estuar. Coast. Shelf Sci. 2015, 164, 353–366. [Google Scholar] [CrossRef]
- Jia, M.; Wang, Z.; Zhang, Y.; Ren, C.; Song, K. Landsat-Based Estimation of Mangrove Forest Loss and Restoration in Guangxi Province, China, Influenced by Human and Natural Factors. IEEE J. Sel. Top. Appl. Earth Obs. Remote Sens. 2015, 8, 311–323. [Google Scholar] [CrossRef]
- Kamal, M.; Phinn, S.; Johansen, K. Object-Based Approach for Multi-Scale Mangrove Composition Mapping Using Multi-Resolution Image Datasets. Remote Sens. 2015, 7, 4753–4783. [Google Scholar] [CrossRef]
- Thanh son, N.; Chen, C.-F.; Chang, N.-B.; Chen, C.-R.; Chang, L.-Y.; Bui, X.-T. Mangrove Mapping and Change Detection in Ca Mau Peninsula, Vietnam, Using Landsat Data and Object-Based Image Analysis. IEEE J. Sel. Top. Appl. Earth Obs. Remote Sens. 2015, 8, 503–510. [Google Scholar]
- Nurhayati Yusuf, D.; Prasetyo, L.; Kusmana, C.; Machfud, M. Geospatial approach in determining anthropogenic factors contributed to deforestation of mangrove: A case study in Konawe Selatan, Southeast Sulawesi. IOP Conf. Ser. Earth Environ. Sci. 2017, 54, 012049. [Google Scholar] [CrossRef]
- Mondal, P.; Trzaska, S.; de Sherbinin, A. Landsat-Derived Estimates of Mangrove Extents in the Sierra Leone Coastal Landscape Complex during 1990–2016. Sensors 2017, 18, 12. [Google Scholar] [CrossRef] [PubMed]
- Giri, C.; Long, J.; Abbas, S.; Murali, R.M.; Qamer, F.M.; Pengra, B.; Thau, D. Distribution and dynamics of mangrove forests of South Asia. J. Environ. Manag. 2015, 148, 101–111. [Google Scholar] [CrossRef] [PubMed]
- Thomas, N.; Bunting, P.; Lucas, R.; Hardy, A.; Rosenqvist, A.; Fatoyinbo, L. Mapping Mangrove Extent and Change: A Globally Applicable Approach. Remote Sens. 2018, 10, 1466. [Google Scholar] [CrossRef]
- Xia, Q.; Qin, C.-Z.; Li, H.; Huang, C.; Su, F.-Z. Mapping Mangrove Forests Based on Multi-Tidal High-Resolution Satellite Imagery. Remote Sens. 2018, 10, 1343. [Google Scholar] [CrossRef]
- Zhang, X.; Treitz, P.M.; Chen, D.; Quan, C.; Shi, L.; Li, X. Mapping mangrove forests using multi-tidal remotely-sensed data and a decision-tree-based procedure. Int. J. Appl. Earth Obs. Geoinf. 2017, 62, 201–214. [Google Scholar] [CrossRef]
- Nathan, T.; Richard, L.; Pete, B.; Andrew, H.; Ake, R.; Marc, S. Distribution and Drivers of Global Mangrove Forest Change 1996–2010. PLoS ONE 2017, 12, e0179302. [Google Scholar] [CrossRef]
- Liu, K.; Wang, S.; Wang, X. Mangrove forests change analysis in the western coastal of Guangdong Province, China using remote sensing and GIS (1988–2008). In Proceedings of the 2010 18th International Conference on Geoinformatics, Beijing, China, 18–20 June 2010. [Google Scholar]
- Jia, M.; Wang, Z.; Li, L.; Song, K.; Ren, C.; Liu, B.; Mao, D. Mapping China’s mangroves based on an object-oriented classification of Landsat imagery. Wetlands 2014, 34, 277–283. [Google Scholar] [CrossRef]
- Liu, K.; Li, X.; Shi, X.; Wang, S. Monitoring mangrove forest changes using remote sensing and GIS data with decision-tree learning. Wetlands 2008, 28, 336. [Google Scholar] [CrossRef]
- Jensen, J.R. Introductory Digital Image Processing: A Remote Sensing Perspective, 3rd ed.; Prentice Hall: Upper Saddle River, NJ, USA, 2005; p. 544. [Google Scholar]
- Li, M.S.; Lee, S.Y. Mangroves of China: A brief review. For. Ecol. Manag. 1997, 96, 241–259. [Google Scholar] [CrossRef]
- Fu, X.M.; Wang, Y.N.; Shao, C.L. Investigation on the status of mangrove resources and medicinal research in ChinaII. Resource s status, Protection and Management. Period. Ocean Univ. China 2009, 39, 705–711. [Google Scholar]
- Chen, B.; Xiao, X.; Li, X.; Pan, L.; Doughty, R.; Ma, J.; Dong, J.; Qin, Y.; Zhao, B.; Wu, Z.; et al. A mangrove forest map of China in 2015: Analysis of time series Landsat 7/8 and Sentinel-1A imagery in Google Earth Engine cloud computing platform. ISPRS J. Photogramm. Remote Sens. 2017, 131, 104–120. [Google Scholar] [CrossRef]
- Wang, S.G.; Chen, X.G. The status of coastal wetlands and their protection in Guangdong province. Chongqing Environ. Sci. 1998, 20, 4–11. [Google Scholar]
- Wu, P.; Ma, Y.; Li, X.; Yu, G. Remote sensing monitoring of the mangrove forests resources of Guangdong Province. J. Mar. Sci. 2011, 29, 16–24. [Google Scholar]
- Peng, Y.; Zheng, M.; Zheng, Z.; Wu, G.; Chen, Y.; Xu, H.; Tian, G.; Peng, S.; Chen, G.; Lee, S.Y. Virtual increase or latent loss? A reassessment of mangrove populations and their conservation in Guangdong, southern China. Mar. Pollut. Bull. 2016, 109, 691–699. [Google Scholar] [CrossRef]
- Wu, H.; Liu, W.; Zheng, J.; Li, C. Summary of the Climate of Guangdong Province in 2015. Guangdong Meteorol. 2016, 38, 1–5. [Google Scholar]
- Chander, G.; Markham, B.L.; Helder, D.L. Summary of current radiometric calibration coefficients for Landsat MSS, TM, ETM+, and EO-1 ALI sensors. Remote Sens. Environ. 2009, 113, 893–903. [Google Scholar] [CrossRef]
- Jia, M. Remote Sensing Analysis of China’s Mangrove Forests Dynamics during 1973 to 2013; Northeast Institute of Geography and Agroecology, Chinese Academy of Sciences: Changchun, China, 2014. [Google Scholar]
- Seto, K.C.; Fragkias, M. Mangrove conversion and aquaculture development in Vietnam: A remote sensing-based approach for evaluating the Ramsar Convention on Wetlands. Glob. Environ. Chang. 2007, 17, 486–500. [Google Scholar] [CrossRef]
- Estoque, R.; Myint, S.; Wang, C.; Ishtiaque, A.; Aung, T.; Emerton, L.; Ooba, M.; Hijioka, Y.; Mon, M.; Wang, Z.; et al. Assessing environmental impacts and change in Myanmar’s mangrove ecosystem service value due to deforestation (2000–2014). Glob. Chang. Biol. 2018, 24, 5391–5410. [Google Scholar] [CrossRef]
- Landis, J.R.; Koch, G.G. The measurement of observer agreement for categorical data. Biometrics 1977, 33, 159–174. [Google Scholar] [CrossRef]
- Han, W.D. Present status and conservation strategies of mangrove resource in Guangdong, P.R. China. J. For. Res. 2003, 14, 151–154. [Google Scholar]
- Liao, B.W.; Zhang, Q.M. Area, distribution and species composition of mangroves in China. Wetl. Sci. 2014, 12, 435–440. [Google Scholar]
- Fu, H.; Tao, Y.; Wang, W. Some issues about the impacts of sea level rise on mangroves in China. Chin. J. Ecol. 2014, 33, 2842–2848. [Google Scholar]
- Tang, C.; You, D.; Chen, T.; Chen, H.; Yu, F. Sea level changes along the coast of Guangdong Province during 1986-2008. Trop. Geogr. 2009, 29, 423–428. [Google Scholar]
- Chen, Y.; Zheng, D.; Liao, B.; Zheng, S.; Zan, Q.; Song, X. Researches on typhoon damage to mangroves and preventive measures. For. Res. 2000, 13, 524–529. [Google Scholar]
- Chen, L.; Zan, Q.; Li, M.; Shen, J.; Liao, W. Litter dynamics and forest structure of the introduced Sonneratia caseolaris mangrove forest in Shenzhen, China. Estuar. Coast. Shelf Sci. 2009, 85, 241–246. [Google Scholar] [CrossRef]
- He, K.J.; Lin, S.M.; Lin, Z.D. Mangrove resource and it’s strategy of conservation and management in Guangdong Province. Sci. Technol. Guangdong For. 2006, 22, 89–93. [Google Scholar]










| Land Cover Type | Landsat Image |
|---|---|
| mangrove | ![]() |
| water | ![]() |
| farmland | ![]() |
| built-up land | ![]() |
| other vegetation | ![]() |
| shadow | ![]() |
| tidal flat | ![]() |
| bare land | ![]() |
| Year | Region | Mangrove | Water | Farmland | Built-Up Land | Other Vegetation | The Other Types |
|---|---|---|---|---|---|---|---|
| 1985 | Western Guangdong | 39 | 208 | 272 | 148 | 269 | 140 |
| Pearl River Delta | 67 | 160 | 250 | 170 | 155 | 142 | |
| Eastern Guangdong | 105 | 90 | 147 | 155 | 90 | 95 | |
| 1995 | Western Guangdong | 576 | 300 | 817 | 658 | 406 | 225 |
| Pearl River Delta | 60 | 120 | 370 | 430 | 600 | 115 | |
| Eastern Guangdong | 103 | 7 | 110 | 450 | 445 | 292 | |
| 2005 | Western Guangdong | 600 | 295 | 900 | 761 | 488 | 390 |
| Pearl River Delta | 75 | 580 | 830 | 555 | 687 | 101 | |
| Eastern Guangdong | 66 | 330 | 750 | 447 | 624 | 77 | |
| 2015 | Western Guangdong | 150 | 80 | 262 | 231 | 135 | 87 |
| Pearl River Delta | 38 | 210 | 130 | 175 | 123 | 36 | |
| Eastern Guangdong | 45 | 80 | 109 | 194 | 90 | 31 |
| Indices | Western Guangdong | Pearl River Delta | Eastern Guangdong | |
|---|---|---|---|---|
| Overall Accuracy (%) | 96.08 | 97.26 | 93.27 | |
| Kappa Coefficient | 0.94 | 0.91 | 0.89 | |
| Producer’s Accuracy (%) | Mangrove | 93.01 | 83.28 | 80.70 |
| Water | 99.85 | 98.99 | 99.6 | |
| Farmland | 74.06 | 68.52 | 57.55 | |
| Built-up Land | 99.47 | 98.57 | 98.99 | |
| Other Vegetation | 92.4 | 96.39 | 91.34 | |
| The other Types | 80.3 | 83.53 | 12.58 | |
| User’s Accuracy (%) | Mangrove | 88.41 | 97.46 | 89.90 |
| Water | 99.5 | 99.52 | 97.26 | |
| Farmland | 92.04 | 93.98 | 89.93 | |
| Built-up Land | 88.55 | 80.68 | 91.84 | |
| Other Vegetation | 99.01 | 87.21 | 76.1 | |
| The other Types | 78.2 | 99.69 | 82.61 | |
| Region | 1995 | 2005 | Erosion Reason |
|---|---|---|---|
| Zhuhai City | ![]() | ![]() | aquaculture |
![]() | ![]() | unclear | |
| Macao | ![]() | ![]() | urbanization |
| Zhanjiang City | ![]() | ![]() | aquaculture |
| Serial Number | Administrative Region | Area (ha) | Level | Established Time |
|---|---|---|---|---|
| 1 | Shenzhen City | 815 | national | 1984.04.29 |
| 2 | Zhuhai City | 7373.77 | provincial | 1989.11.24 |
| 3 | Zhanjiang City | 19,300 | national | 1990.01.11 |
| 4 | Xuwen County | 7 | county | 1997.05.01 |
| 5 | Xuwen County | 309 | county | 1997.05.01 |
| 6 | Dianbai County | 1950 | city | 1999.12.20 |
| 7 | Huidong County | 533.3 | city | 1999.12.29 |
| 8 | Yangxi County | 1000 | county | 2000.06.01 |
| 9 | Taishan City | 119.33 | county | 2000.11.01 |
| 10 | Shantou City | 10,333.33 | city | 2001.08.22 |
| 11 | Maoming City | 800 | county | 2001.12.11 |
| 12 | Leizhou City | 200 | county | 2003.10.23 |
| 13 | Enping City | 700 | county | 2005.02.03 |
| 14 | Yangjiang City | 40 | county | 2005.07.19 |
| 15 | Yangjiang City | 800 | county | 2005.07.19 |
| 16 | Shenzhen City | 14,622 | city | 2010.11.16 |
© 2019 by the authors. Licensee MDPI, Basel, Switzerland. This article is an open access article distributed under the terms and conditions of the Creative Commons Attribution (CC BY) license (http://creativecommons.org/licenses/by/4.0/).
Share and Cite
Ma, C.; Ai, B.; Zhao, J.; Xu, X.; Huang, W. Change Detection of Mangrove Forests in Coastal Guangdong during the Past Three Decades Based on Remote Sensing Data. Remote Sens. 2019, 11, 921. https://doi.org/10.3390/rs11080921
Ma C, Ai B, Zhao J, Xu X, Huang W. Change Detection of Mangrove Forests in Coastal Guangdong during the Past Three Decades Based on Remote Sensing Data. Remote Sensing. 2019; 11(8):921. https://doi.org/10.3390/rs11080921
Chicago/Turabian StyleMa, Chunlei, Bin Ai, Jun Zhao, Xiaoping Xu, and Wei Huang. 2019. "Change Detection of Mangrove Forests in Coastal Guangdong during the Past Three Decades Based on Remote Sensing Data" Remote Sensing 11, no. 8: 921. https://doi.org/10.3390/rs11080921
APA StyleMa, C., Ai, B., Zhao, J., Xu, X., & Huang, W. (2019). Change Detection of Mangrove Forests in Coastal Guangdong during the Past Three Decades Based on Remote Sensing Data. Remote Sensing, 11(8), 921. https://doi.org/10.3390/rs11080921

















