Spatial Accessibility of Urban Forests in the Pearl River Delta (PRD), China
Abstract
1. Introduction
2. Materials and Methods
2.1. Study Area
2.2. Data Sources
2.2.1. Forest
2.2.2. Urban Land and Built-Up Land
2.2.3. Population and Gross Domestic Product
2.2.4. Points of Interest
2.2.5. Friction Surface
2.3. Data Analysis
2.3.1. Forest Delineation
2.3.2. Accessibility by Distance
2.3.3. Accessibility by Travel Time
2.3.4. Statistical Analysis
3. Results
3.1. Accessibility by Distance from Points of Interest
3.2. Accessibility from General Urban Area
3.3. Travel Accessibility to Forests
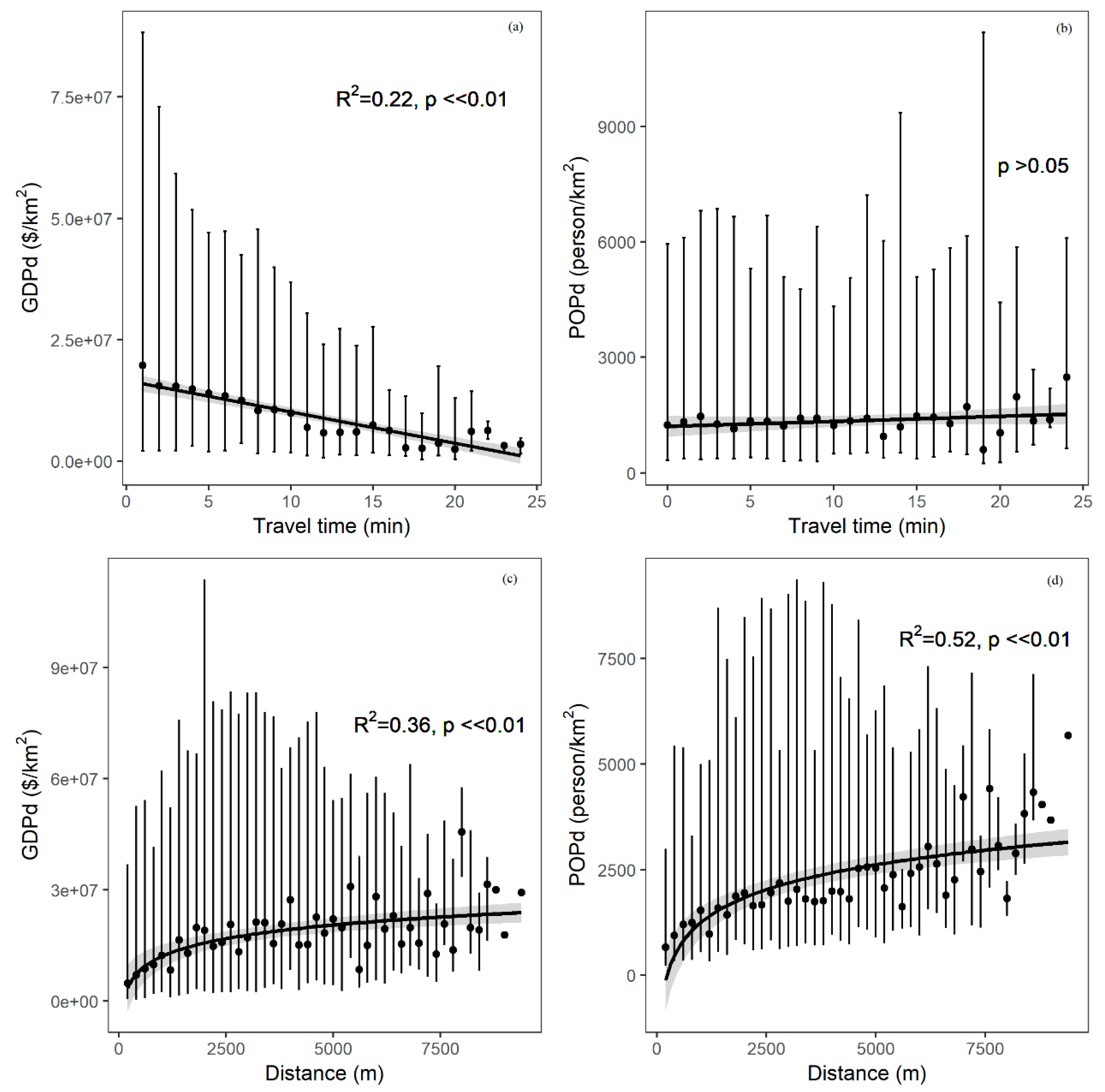
3.4. Relationship of Accessibility with Population and Gross Domestic Product Densities
4. Discussion
4.1. Forests Accessibility
4.2. Inequality of Forest Accessibility
4.3. Limitations and Further Research
5. Conclusions
Author Contributions
Funding
Acknowledgments
Conflicts of Interest
References
- Sandström, U.G.; Angelstam, P.; Khakee, A. Urban comprehensive planning—Identifying barriers for the maintenance of functional habitat networks. Landsc. Urban Plan. 2006, 75, 43–57. [Google Scholar] [CrossRef]
- Strohbach, M.; Haase, D.; Kronenberg, J. Urban green space availability in European cities. Ecol. Indic. 2016, 70, 586–596. [Google Scholar] [CrossRef]
- Lupp, G.; Förster, B.; Kantelberg, V.; Markmann, T.; Naumann, J.; Honert, C.; Koch, M.; Pauleit, S. Assessing the recreation value of urban woodland using the ecosystem service approach in two forests in the Munich metropolitan region. Sustainability 2016, 8, 1156. [Google Scholar] [CrossRef]
- Alvey, A.A. Promoting and preserving biodiversity in the urban forest. Urban For. Urban Green. 2006, 5, 195–201. [Google Scholar] [CrossRef]
- Johnston, M.; Percival, G. Trees, people and the built environment. In Proceedings of the Urban Trees Research Conference, Birmingham, UK, 13–14 April 2011; pp. 13–14. [Google Scholar]
- Nowak, D.J.; Greenfield, E.J.; Hoehn, R.E.; Lapoint, E. Carbon storage and sequestration by trees in urban and community areas of the United States. Environ. Pollut. 2013, 178, 229–236. [Google Scholar] [CrossRef] [PubMed]
- Chen, J.; Zhu, L.; Fan, P.; Tian, L.; Lafortezza, R. Do green spaces affect the spatiotemporal changes of PM2.5 in Nanjing? Ecol. Process. 2016, 5, 7. [Google Scholar] [CrossRef]
- Nowak, D.J.; Crane, D.E.; Stevens, J.C. Air pollution removal by urban trees and shrubs in the United States. Urban For. Urban Green. 2006, 4, 115–123. [Google Scholar] [CrossRef]
- Livesley, S.J.; McPherson, G.M.; Calfapietra, C. The urban forest and ecosystem services: impacts on urban water, heat, and pollution cycles at the tree, street, and city scale. J. Environ. Qual. 2016, 45, 119. [Google Scholar] [CrossRef]
- McGrane, S.J. Impacts of urbanisation on hydrological and water quality dynamics, and urban water management: a review. Hydrol. Sci. J. 2016, 61, 2295–2311. [Google Scholar] [CrossRef]
- Berlin Digital Environmental Altas. Availability of Public, Near-Residential Green Space (Edition 2013). Available online: https://www.stadtentwicklung.berlin.de/umwelt/umweltatlas/eda605_01.htm (accessed on 16 July 2018).
- City of Leipzig. Umweltqualitätsziele und -standards für die Stadt Leipzig. Available online: https://www.leipzig.de/fileadmin/mediendatenbank/leipzig-de/Stadt/02.3_Dez3_Umwelt_Ordnung_Sport/36_Amt_fuer_Umweltschutz/Publikationen/Indikatoren/Umweltqualitatsziele_und-standards_fur_die_Stadt_Leipzig.pdf (accessed on 18 March 2019).
- Fan, P.; Xu, L.; Yue, W.; Chen, J. Accessibility of public urban green space in an urban periphery: The case of Shanghai. Landsc. Urban Plan. 2017, 165, 177–192. [Google Scholar] [CrossRef]
- David Stanners and Philippe Bourdeau. Europe’s Environment: The Dobris Assessment; European Environment Agency: Copenhagen, Denmark, 1995. [Google Scholar]
- World Health Organization. Urban Planning, Environment and Health: From Evidence to Policy Action; World Health Organization: Geneva, Switzerland, 2017. [Google Scholar]
- Lu, J.; Monac, M.; Newman, A.; Rae, R.A.; Campbell, L.K.; Falxa-Raymond, N.; Svendsen, E.S. MillionTreesNYC: The Integration of Research and Practice; New York City Department of Parks & Recreation: New York, NY, USA, 2014. [Google Scholar]
- Danford, R.S.; Cheng, C.; Strohbach, M.W.; Ryan, R.; Nicolson, C.; Warren, P.S. What does it take to achieve equitable urban tree canopy distribution? A boston case study. Cities Environ. 2014, 7, 2. [Google Scholar]
- Khalil, R. Quantitative evaluation of distribution and accessibility of urban green spaces (Case study: City of Jeddah). Int. J. GEOMATICS Geosci. 2014, 4, 526–535. [Google Scholar]
- Reklaitiene, R.; Grazuleviciene, R.; Dedele, A.; Virviciute, D.; Vensloviene, J.; Tamosiunas, A.; Baceviciene, M.; Luksiene, D.; Sapranaviciute-Zabazlajeva, L.; Radisauskas, R.; et al. The relationship of green space, depressive symptoms and perceived general health in urban population. Scand. J. Public Health 2014, 42, 669–676. [Google Scholar] [CrossRef]
- Grazuleviciene, R.; Dedele, A.; Danileviciute, A.; Vencloviene, J.; Grazulevicius, T.; Andrusaityte, S.; Uzdanaviciute, I.; Nieuwenhuijsen, M.J. The influence of proximity to city parks on blood pressure in early pregnancy. Int. J. Environ. Res. Public Health 2014, 11, 2958–2972. [Google Scholar] [CrossRef] [PubMed]
- Moore, L.V.; Diez Roux, A.V.; Evenson, K.R.; McGinn, A.P.; Brines, S.J. Availability of recreational resources in minority and low socioeconomic status areas. Am. J. Prev. Med. 2008, 34, 16–22. [Google Scholar] [CrossRef]
- Maroko, A.R.; Maantay, J.A.; Sohler, N.L.; Grady, K.L.; Arno, P.S. The complexities of measuring access to parks and physical activity sites in New York City: a quantitative and qualitative approach. Int. J. Health Geogr. 2009, 8, 34. [Google Scholar] [CrossRef]
- FAO. FRA 2000 on Definitions of Forest and Forest Change; FAO: Rome, Italy, 2000. [Google Scholar]
- Barbosa, O.; Tratalos, J.A.; Armsworth, P.R.; Davies, R.G.; Fuller, R.A.; Johnson, P.; Gaston, K.J. Who benefits from access to green space? A case study from Sheffield, UK. Landsc. Urban Plan. 2007, 83, 187–195. [Google Scholar] [CrossRef]
- Weiss, D.J.; Nelson, A.; Gibson, H.S.; Temperley, W.; Peedell, S.; Lieber, A.; Hancher, M.; Poyart, E.; Belchior, S.; Fullman, N.; et al. A global map of travel time to cities to assess inequalities in accessibility in 2015. Nature 2018, 553, 333–336. [Google Scholar] [CrossRef]
- Žlender, V.; Ward Thompson, C. Accessibility and use of peri-urban green space for inner-city dwellers: A comparative study. Landsc. Urban Plan. 2017. [Google Scholar] [CrossRef]
- Yu, W.; Zhou, W. The spatiotemporal pattern of urban expansion in China: A comparison study of three urban megaregions. Remote Sens. 2017, 9, 45. [Google Scholar] [CrossRef]
- Zhang, Q.; Seto, K.C. Mapping urbanization dynamics at regional and global scales using multi-temporal DMSP/OLS nighttime light data. Remote Sens. Environ. 2011, 115, 2320–2329. [Google Scholar] [CrossRef]
- Lu, X.; Fung, J.C.H.; Wu, D. Modeling wet deposition of acid substances over the PRD region in China. Atmos. Environ. 2015, 122, 819–828. [Google Scholar] [CrossRef]
- Zhang, Y.; Wang, Y.; Wang, Y.; Xi, H. Investigating the impacts of landuse-landcover (LULC) change in the Pearl River Delta region on water quality in the Pearl River estuary and Hong Kong’s coast. Remote Sens. 2009, 1, 1055–1064. [Google Scholar] [CrossRef]
- Li, L.; Yang, J.; Wang, Y. Retrieval of high-resolution atmospheric particulate matter concentrations from satellite-based aerosol optical thickness over the Pearl River Delta area, China. Remote Sens. 2015, 7, 7914–7937. [Google Scholar] [CrossRef]
- Hansen, M.C.; Potapov, P.V.; Moore, R.; Hancher, M.; Turubanova, S.A.; Tyukavina, A.; Thau, D.; Stehman, S.V.; Goetz, S.J.; Loveland, T.R.; et al. High-resolution global maps of 21st-century forest cover change. Science 2013, 342, 850–853. [Google Scholar] [CrossRef]
- Gong, C.; Yu, S.; Joesting, H.; Chen, J. Determining socioeconomic drivers of urban forest fragmentation with historical remote sensing images. Landsc. Urban Plan. 2013. [Google Scholar] [CrossRef]
- Tian, L.; Chen, J.; Yu, S.X. Coupled dynamics of urban landscape pattern and socioeconomic drivers in Shenzhen, China. Landsc. Ecol. 2014. [Google Scholar] [CrossRef]
- The World Bank. World Bank Report Provides New Data to Help Ensure Urban Growth Benefits the Poor. Available online: http://www.worldbank.org/en/news/press-release/2015/01/26/world-bank-report-provides-new-data-to-help-ensure-urban-growth-benefits-the-poor (accessed on 17 July 2018).
- Shen, J. Urbanization, Regional Development and Governance in China; Routledge: Abingdon-on-Thames, UK, 2018; ISBN 9781315143255. [Google Scholar]
- Tyrväinen, L.; Pauleit, S.; Seeland, K.; De Vries, S. Benefits and uses of urban forests and trees. In Urban Forests and Trees: A Reference Book; Springer: Berlin/Heidelberg, Germany, 2005; ISBN 354025126X. [Google Scholar]
- Miller, J. Examining the Hansen Global Forest Change (2000–2014) Dataset within an Australian Local Government Area; University of Southern Queensland: Toowoomba, Australia, 2016. [Google Scholar]
- Brodersen, K.H.; Ong, C.S.; Stephan, K.E.; Buhmann, J.M. The balanced accuracy and its posterior distribution. In Proceedings of the 2010 20th International Conference on Pattern Recognition, Istanbul, Turkey, 23–26 August 2010; IEEE: Piscataway, NJ, USA, 2010; pp. 3121–3124. [Google Scholar]
- Florczyk, A.J.; Pesaresi, M.; Ehrlich, D.; Ferri, S.; Syrris, V.; Soille, P.; Kemper, T.; Julea, A.; Halkia, M.; Freire, S.; et al. Operating Procedure for the Production of the Global Human Settlement Layer from Landsat Data of the Epochs 1975, 1990, 2000, and 2014; Joint Research Center: Brussels, Belgium, 2016. [Google Scholar]
- Klotz, M.; Kemper, T.; Geiß, C.; Esch, T.; Taubenböck, H. How good is the map? A multi-scale cross-comparison framework for global settlement layers: Evidence from Central Europe. Remote Sens. Environ. 2016, 178, 191–212. [Google Scholar] [CrossRef]
- Pesaresi, M.; Freire, S. GHS Settlement Grid, Following the REGIO Model 2014 in Application to GHSL Landsat and CIESIN GPW v4-Multitemporal (1975-1990-2000-2015); Joint Research Center: Brussels, Belgium, 2016. [Google Scholar]
- Doxsey-Whitfield, E.; MacManus, K.; Adamo, S.B.; Pistolesi, L.; Squires, J.; Borkovska, O.; Baptista, S.R. Taking advantage of the improved availability of census data: A first look at the gridded population of the World, version 4. Pap. Appl. Geogr. 2015, 1, 226–234. [Google Scholar] [CrossRef]
- Bai, Z.; Wang, J.; Wang, M.; Gao, M.; Sun, J. Accuracy assessment of multi-source gridded population distribution datasets in China. Sustainability 2018, 10, 1363. [Google Scholar] [CrossRef]
- Kummu, M.; Taka, M.; Guillaume, J.H.A. Gridded global datasets for Gross Domestic Product and Human Development Index over 1990–2015. Sci. Data 2018, 5, 180004. [Google Scholar] [CrossRef]
- Cai, J.; Huang, B.; Song, Y. Using multi-source geospatial big data to identify the structure of polycentric cities. Remote Sens. Environ. 2017, 202, 210–221. [Google Scholar] [CrossRef]
- Yao, Y.; Liu, X.; Li, X.; Zhang, J.; Liang, Z.; Mai, K.; Zhang, Y. Mapping fine-scale population distributions at the building level by integrating multisource geospatial big data. Int. J. Geogr. Inf. Sci. 2017, 1–25. [Google Scholar] [CrossRef]
- Ye, T.; Zhao, N.; Yang, X.; Ouyang, Z.; Liu, X.; Chen, Q.; Hu, K.; Yue, W.; Qi, J.; Li, Z.; Jia, P. Improved population mapping for China using remotely sensed and points-of-interest data within a random forests model. Sci. Total Environ. 2019, 658, 936–946. [Google Scholar] [CrossRef] [PubMed]
- Dijkstra, E.W. A note on two problems in connexion with graphs. Numer. Math. 1959, 1, 269–271. [Google Scholar] [CrossRef]
- R Core Team. R: A Language and Environment for Statistical Computing; R Foundation for Statistical Computing: Vienna, Austria, 2013. [Google Scholar]
- Ekkel, E.D.; de Vries, S. Nearby green space and human health: Evaluating accessibility metrics. Landsc. Urban Plan. 2017, 157, 214–220. [Google Scholar] [CrossRef]
- Nielsen, T.S.; Hansen, K.B. Do green areas affect health? Results from a Danish survey on the use of green areas and health indicators. Health Place 2007, 13, 839–850. [Google Scholar] [CrossRef]
- Grahn, P.; Stigsdotter, U.A. Landscape planning and stress. Urban For. Urban Green. 2003, 2, 1–18. [Google Scholar] [CrossRef]
- Dadvand, P.; Wright, J.; Martinez, D.; Basagaña, X.; McEachan, R.R.C.; Cirach, M.; Gidlow, C.J.; de Hoogh, K.; Gražulevičiene, R.; Nieuwenhuijsen, M.J. Inequality, green spaces, and pregnant women: Roles of ethnicity and individual and neighbourhood socioeconomic status. Environ. Int. 2014, 71, 101–108. [Google Scholar] [CrossRef] [PubMed]
- Sturm, R.; Cohen, D. Proximity to urban parks and mental health. J. Ment. Health Policy Econ. 2014, 17. [Google Scholar] [CrossRef]
- Stigsdotter, U.K.; Ekholm, O.; Schipperijn, J.; Toftager, M.; Kamper-Jørgensen, F.; Randrup, T.B. Health promoting outdoor environments - Associations between green space, and health, health-related quality of life and stress based on a Danish national representative survey. Scand. J. Public Health 2010, 38, 411–417. [Google Scholar] [CrossRef] [PubMed]
- Hauru, K.; Eskelinen, H.; Yli-Pelkonen, V.; Kuoppamäki, K.; Setälä, H. Residents’ perceived benefits and the use of urban nearby forests. Int. J. Appl. For. 2015, 2, 1–23. [Google Scholar] [CrossRef]
- Rossi, S.D.; Byrne, J.A.; Pickering, C.M. The role of distance in peri-urban national park use: Who visits them and how far do they travel? Appl. Geogr. 2015. [Google Scholar] [CrossRef]
- Giles-Corti, B.; Macintyre, S.; Clarkson, J.P.; Pikora, T.; Donovan, R.J. Environmental and lifestyle factors associated with overweight and obesity in Perth, Australia. Am. J. Heal. Promot. 2003, 18, 93–102. [Google Scholar] [CrossRef] [PubMed]
- Wolch, J.R.; Byrne, J.; Newell, J.P. Urban green space, public health, and environmental justice: The challenge of making cities “just green enough”. Landsc. Urban Plan. 2014, 125, 234–244. [Google Scholar] [CrossRef]
- Gu, C.; Wu, L.; Cook, I. Progress in research on Chinese urbanization. Front. Archit. Res. 2012. [Google Scholar] [CrossRef]
- Yao, L.; Liu, J.; Wang, R.; Yin, K.; Han, B. Effective green equivalent—A measure of public green spaces for cities. Ecol. Indic. 2014, 47, 123–127. [Google Scholar] [CrossRef]
- Lafortezza, R.; Davies, C.; Sanesi, G.; Konijnendijk, C.C. Green infrastructure as a tool to support spatial planning in European urban regions. IForest 2013, 6, 102–108. [Google Scholar] [CrossRef]
- Gungor, B.S.; Chen, J.; Wu, S.R.; Zhou, P.; Shirkey, G. Does plant knowledge within urban forests and parks directly influence visitor pro-environmental behaviors. Forests 2018, 9, 171. [Google Scholar] [CrossRef]
- Zheng, B.; Zhang, Y.; Chen, J. Preference to home landscape: Wildness or neatness? Landsc. Urban Plan. 2011. [Google Scholar] [CrossRef]
- Esch, T.; Marconcini, M.; Felbier, A.; Roth, A.; Heldens, W.; Huber, M.; Schwinger, M.; Taubenbock, H.; Muller, A.; Dech, S. Urban footprint processor-Fully automated processing chain generating settlement masks from global data of the TanDEM-X mission. IEEE Geosci. Remote Sens. Lett. 2013. [Google Scholar] [CrossRef]








© 2019 by the authors. Licensee MDPI, Basel, Switzerland. This article is an open access article distributed under the terms and conditions of the Creative Commons Attribution (CC BY) license (http://creativecommons.org/licenses/by/4.0/).
Share and Cite
Zhang, R.; Chen, J.; Park, H.; Zhou, X.; Yang, X.; Fan, P.; Shao, C.; Ouyang, Z. Spatial Accessibility of Urban Forests in the Pearl River Delta (PRD), China. Remote Sens. 2019, 11, 667. https://doi.org/10.3390/rs11060667
Zhang R, Chen J, Park H, Zhou X, Yang X, Fan P, Shao C, Ouyang Z. Spatial Accessibility of Urban Forests in the Pearl River Delta (PRD), China. Remote Sensing. 2019; 11(6):667. https://doi.org/10.3390/rs11060667
Chicago/Turabian StyleZhang, Rong, Jiquan Chen, Hogeun Park, Xuhui Zhou, Xuchao Yang, Peilei Fan, Changliang Shao, and Zutao Ouyang. 2019. "Spatial Accessibility of Urban Forests in the Pearl River Delta (PRD), China" Remote Sensing 11, no. 6: 667. https://doi.org/10.3390/rs11060667
APA StyleZhang, R., Chen, J., Park, H., Zhou, X., Yang, X., Fan, P., Shao, C., & Ouyang, Z. (2019). Spatial Accessibility of Urban Forests in the Pearl River Delta (PRD), China. Remote Sensing, 11(6), 667. https://doi.org/10.3390/rs11060667

