Isolation Forests to Evaluate Class Separability and the Representativeness of Training and Validation Areas in Land Cover Classification
Abstract
1. Introduction
2. Methodology
2.1. Study Area
2.2. Data Set
2.3. Training and Validation Areas
2.4. Random Forest, Random Tree Ensembles and Isolation Forests
2.5. Isolation Forests and TVA Representativeness
2.6. Isolation Forests and Class Separability
2.7. Procedure
- An RF model was used to classify the study area using the R package randomForest [35]; 70% of the TVA were used for training and 30% for validation. Complete TVA were selected for each set, thus preventing the pixels from being split into training and validation sets.
- A global IF was obtained for the whole sample of TVA. R package h2o [41] allows IFs to be calibrated and used.
- The global IF was then fed with data from each cell in the study area to obtain a map that reflects how each cell is represented by the TVA (Figure 11).
- Sectors of the study area specially misrepresented by the TVA were identified and then additional TVA were digitised in such sites and added to the TVA set.
- With this enlarged TVA set, a new global IF was obtained and a new representativeness map produced (Figure 12).
- To test the benefits in accuracy, we validated the original RF model with the new set of TVA and cross-validated another model including all TVA. leave-one-area-out cross-validation [18] was the approach used for validation. The corresponding confusion matrices (Table 5) and the statistics extracted from them helped quantify the improvement in accuracy.
- Class-specific IFs were calculated for each one of the 10 classes. (Step 7 in Figure 6).
- CIV was calculated for each pair of classes. Table 4 shows the non-symmetric matrix of CIV values. (Step 9 in Figure 6).
- The average distance between cells of two classes was calculated using the algorithm presented in Section 2.6. (Step 10 in Figure 6).
- The percentage of wrongly classified cells outside each class (omission errors) and inside each class (commission errors) were calculated from the confusion matrix of the initial RF model. (Step 11 in Figure 6).
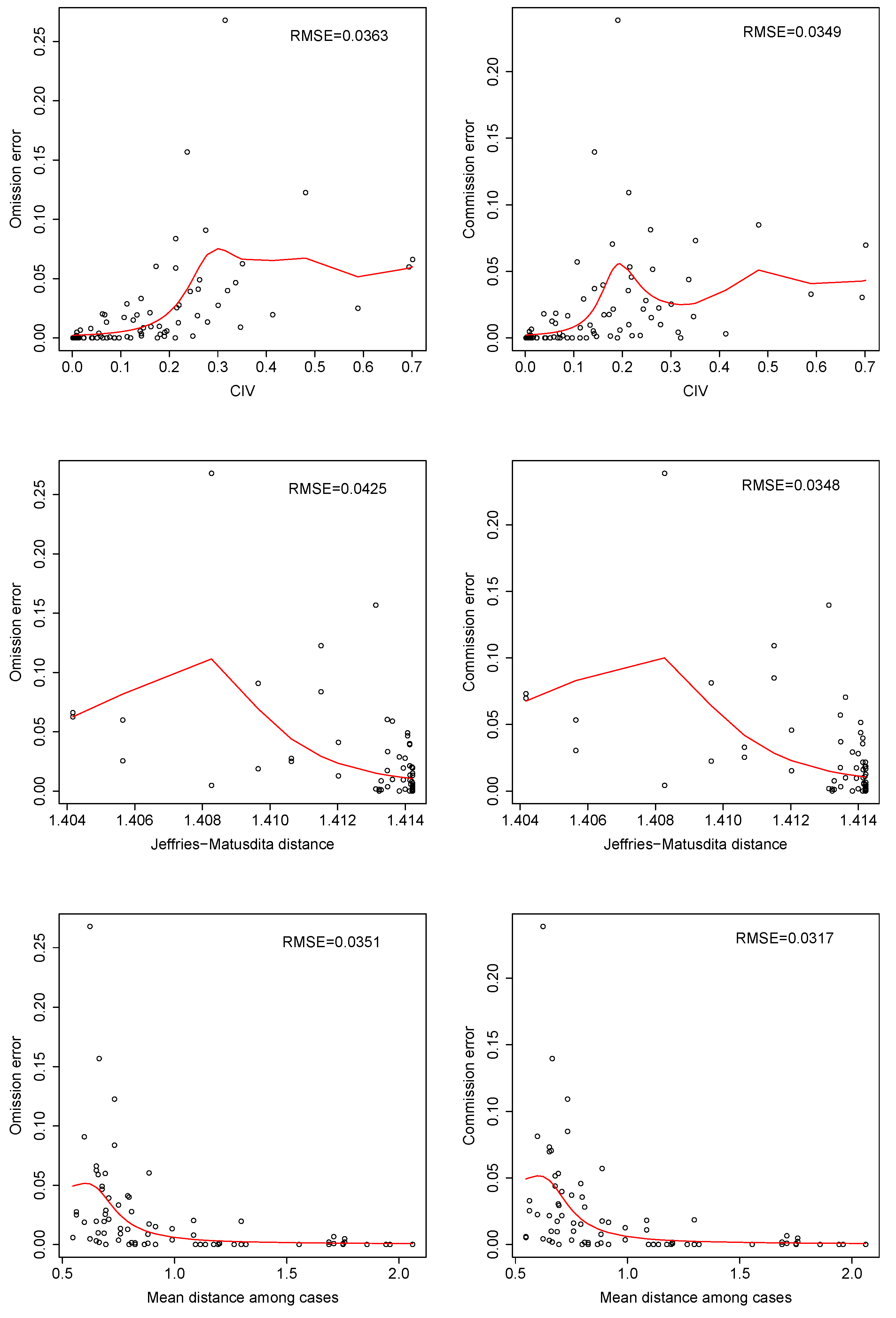
- A plot of omission and commission errors vs. JM distance, vs. the corresponding CIV values and vs. the mean distance among classes shows which magnitude is more related to classification errors and, consequently, is more useful as a class separability estimation. To analyse the relation among these variables a generalized additive model (GAM) was fitted using the GMCV R package [40]. (Step 11 in Figure 6).
3. Results
3.1. Initial RF Model
3.2. Class Separability
3.3. Representativeness of the Training Sample
4. Discussion
5. Conclusions
Author Contributions
Funding
Conflicts of Interest
References
- Rees, G. The Remote Sensing Data Book; Cambridge University Press: Cambridge, UK, 2005. [Google Scholar]
- Tso, B.; Mather, P. Classification Methods for Remotely Sensed Data; CRC Press: Boca Raton, FL, USA, 2009. [Google Scholar]
- Swain, P.; Davis, S. Remote Sensing: The Quantitative Approach; McGraw-Hill: New York, NY, USA, 1976; p. 396. [Google Scholar]
- Camps-Valls, G.; Bruzzone, L.E. Kernel Methods for Remote Sensing Data Analysis; John Wiley & Sons, Ltd.: London, UK, 2009. [Google Scholar]
- Breiman, L. Random Forests. Mach. Learn. 2001, 45, 5–32. [Google Scholar] [CrossRef]
- Rodriguez-Galiano, V.; Ghimire, B.; Rogan, J.; Chica-Olmo, M.; Rigol-Sanchez, J. An assessment of the effectiveness of a random forest classifier for land-cover classification. ISPRS J. Photogramm. Remote Sens. 2012, 67, 93–104. [Google Scholar] [CrossRef]
- Atkinson, P.; Tatnall, A. Introduction: Neural networks in remote sensing. Int. J. Remote Sens. 1997, 18, 699–709. [Google Scholar] [CrossRef]
- Maxwell, A.; Warner, T.; Fang, F. Implementation of machine-learning classification in remote sensing: An aaplie review. Int. J. Remote Sens. 2018, 39, 2784–2817. [Google Scholar] [CrossRef]
- Zhong, Y.; Zhang, L.; Gong, W. Unsupervised remote sensing image classification using an artificial immune network. Int. J. Remote Sens. 2011, 32, 5461–5483. [Google Scholar] [CrossRef]
- Strahler, A.H.; Boschetti, L.; Foody, G.M.; Friedl, M.A.; Hansen, M.C.; Herold, M.; Mayaux, P.; Morisette, J.T.; Stehman, S.V.; Woodcock, C.E. Global Land Cover Validation: Recommendations for Evaluation and Accuracy Assessment of Global Land Cover Maps; Technical Report GOFC-GOLD Report No 25; Global Observation of Forest and Land Cover Dynamics: Jena, Germany, 2008. [Google Scholar]
- Körting, T.; Fonseca, L.; Castejon, E.; Namikawa, L. Improvements in sample selection methods for image classification. Remote Sens. 2014, 6, 7580–7591. [Google Scholar] [CrossRef]
- Ramezan, C.; Warner, T.; Maxwell, A. Evaluation of sampling and cross-validation tuning strategies for regional-scale machine learning classification. Remote Sens. 2019, 11, 185. [Google Scholar] [CrossRef]
- Wulder, M.A.; Masek, J.G.; Thomas, R.; Loveland, W.B.C.; Woodcock, C.E. Opening the archive: How free data has enabled the science and monitoring promise of Landsat. Remote Sens. Environ. 2012, 122, 2–10. [Google Scholar] [CrossRef]
- Rossiter. Technical Note: Statistical Methods for Accuracy Assesment of Classified Thematic Maps; Department of Earth Sustems Analysis, International Institute for Geo-information Science & Earth Observation (ITC): Enschende, The Netherlands, 2004. [Google Scholar]
- Congalton, R.; Green, K. Assessing the Accuracy of Remotely Sensed Data. Principles and Practices; CRC Press: Boca Raton, FL, USA, 2008; pp. 335–338. [Google Scholar]
- James, G.; Witten, D.; Hastie, T.; Tibshirani, R. An Introduction to Statistical Learning: With Applications in R; Springer: New York, NY, USA, 2013. [Google Scholar]
- Stehman, S.V. Sampling designs for accuracy assessment of land cover. Int. J. Remote Sens. 2009, 30, 5243–5272. [Google Scholar] [CrossRef]
- Cánovas-García, F.; Alonso-Sarria, F.; Gomariz-Castillo, F.; Oñate Valdivieso, F. Modification of the random forest algorithm to avoid statistical dependence problems when classifying remote sensing imagery. Comput. Geosci. 2017, 103, 1–11. [Google Scholar] [CrossRef]
- Alrababah, M.; Alhamad, M. Land use/cover classification of arid and semiarid Mediterranean landscapes using Landsat ETM. Int. J. Remote Sens. 2006, 27, 2703–2718. [Google Scholar] [CrossRef]
- Jin, H.; Stehman, S.V.; Mountrakis, G. Assessing the impact of training sample selection on accuracy of an urban classification: A case study in Denver, Colorado. Int. J. Remote Sens. 2014, 35, 2067–2081. [Google Scholar]
- Richards, J.A.; Jia, X. Remote Sensing Digital Image Analysis. An Introduction; Springer: Berlin, Germany, 2006. [Google Scholar]
- Hsu, E.; Miecznikowski, J. Emcdf: Computation and Visualization of Empirical Joint Distribution (Empirical Joint CDF); R Package Version 0.1.2; The R Foundation: Vienna, Austria, 2018. [Google Scholar]
- Liu, F.; Ting, K.; Zhou, Z. Isolation Forest. In Proceedings of the Eight IEEE International Conference on Data Mining, Pisa, Italy, 15–19 December 2008; pp. 605–610. [Google Scholar]
- Gomariz-Castillo, F.; Alonso-Sarria, F.; Cánovas-García, F. Improving Classification Accuracy of Multi-Temporal Landsat Images by Assessing the Use of Different Algorithms, Textural and Ancillary Information for a Mediterranean Semiarid Area from 2000 to 2015. Remote Sens. 2017, 9, 1058. [Google Scholar] [CrossRef]
- Congedo, L. Semi-Automatic Classification Plugin Documentation. 2016. Available online: http://dx.doi.org/10.13140/RG.2.2.29474.02242/1 (accessed on 14 May 2018).
- Moran, M.; Jackson, R.; Slater, P.; Teillet, P. Evaluation of simplified procedures for retrieval of land surface reflectance factors from satellite sensor output. Remote Sens. Environ. 1992, 41, 169–178. [Google Scholar] [CrossRef]
- Chávez, P. Image-Based Atmospheric Corrections—Revisited and Improved. Photogramm. Eng. Remote Sens. 1996, 62, 1025–1036. [Google Scholar]
- Chuvieco, E. Teledetección Ambiental. La observación de la Tierra desde el espacio; Ariel Ciencia: Barcelona, Spain, 2010. [Google Scholar]
- Chen, X.; Zhao, H.; Li, P.; Yin, Z. Remote sensing image-based analysis of the relationship between urban heat island and land use/cover changes. Remote Sens. Environ. 2006, 104, 133–146. [Google Scholar] [CrossRef]
- García, P.; Pérez, M.; García, J.; Redondo, M.; Sanz, J.; Navarro, A. Sellado de suelos a partir de teledetección y SIG: estudio en el Tajo medio-alto; Dpto. de Análisis Geográfico Regional y Geografía Física, Universidad Complutense de Madrid: Madrid, Spain, 2014. [Google Scholar]
- Zhao, H.; Chen, X. Use of normalized difference bareness index in quickly mapping bare areas from TM/ETM+. In Proceedings of the International Geoscience and Remote Sensing Symposium, Seoul, Korea, 25–29 July 2005; Volume 3, p. 1666. [Google Scholar]
- Xu, H. Modification of Normalized Difference Water Index (NDWI) to Enhance Open Water Features in Remotely Sensed Imagery. Int. J. Remote Sens. 2006, 27, 3025–3033. [Google Scholar] [CrossRef]
- Zhou, Z. Ensemble Methods: Foundations and Algorithms; Chapman & Hall/CRC: London, UK, 2012. [Google Scholar]
- Berk, R. Statistical Learning from a Regression Perspective; Springer: New York, NY, USA, 2016. [Google Scholar]
- Liaw, A.; Wiener, M. Classification and Regression by randomForest. R News 2002, 2, 18–22. [Google Scholar]
- Fan, W.; Wang, H.; Yu, P.; Ma, S. Is random model better? On its accuracy and efficiency. In Proceedings of the 3rd IEEE International Conference on Data Mining, Melbourne, FL, USA, 22 November 2003; pp. 51–58. [Google Scholar]
- Fan, W. On the optimality of probability estimation by random decision trees. In Proceedings of the 19th National Conference on Artificial Intelligence, San Jose, CA, USA, 25–29 July 2004; pp. 336–341. [Google Scholar]
- Liu, F.; Ting, K.; Fan, W. Maximizing tree diversity by building complete-randon decission trees. In Proceedings of the 9th Pacific-Asia Conference on Knowledge Discovery and Data Mining, Hanoi, Vietnam, 18–20 May 2005; pp. 605–610. [Google Scholar]
- Chandola, V.; Banerjee, A.; Kumar, V. Anomaly Detection: A Survey. Comput. Surv. 2009, 41, 1–58. [Google Scholar] [CrossRef]
- Wood, S. Generalized Additive Models: An Introduction with R, 2nd ed.; Chapman and Hall/CRC: London, UK, 2017. [Google Scholar]
- LeDell, E.; Gill, N.; Aiello, S.; Fu, A.; Candel, A.; Click, C.; Kraljevic, T.; Nykodym, T.; Aboyoun, P.; Kurka, M.; et al. h2o: R Interface for ‘H2O’; R Package Version 3.24.0.5; The R Foundation: Vienna, Austria, 2019. [Google Scholar]
- Dalponte, M.; Oerka, H.O. varSel: Sequential Forward Floating Selection using Jeffries-Matusita Distance; R Package Version 0.1; The R Foundation: Vienna, Austria, 2016. [Google Scholar]













| Season | Path/Row | Date |
|---|---|---|
| spring | 199/33 | 2/5/2017 |
| spring | 199/34 | 2/5/2017 |
| spring | 200/33 | 12/6/2017 |
| spring | 200/34 | 12/6/2017 |
| summer | 199/33 | 21/7/2017 |
| summer | 199/34 | 21/7/2017 |
| summer | 200/33 | 30/7/2017 |
| summer | 200/34 | 30/7/2017 |
| autumn | 199/33 | 10/11/2017 |
| autumn | 199/34 | 10/11/2017 |
| autumn | 200/33 | 19/11/2017 |
| autumn | 200/34 | 19/11/2017 |
| Name | Wavelength | Resolution |
|---|---|---|
| Band 2 Blue | 0.45–0.51 | 30 |
| Band 3 Green | 0.53–0.59 | 30 |
| Band 4 Red | 0.64–0.67 | 30 |
| Band 5 Near Infrared (NIR) | 0.85–0.88 | 30 |
| Band 6 SWIR 1 | 1.57–1.65 | 30 |
| Band 7 SWIR 2 | 2.11–2.29 | 30 |
| Band 10 Thermal Infrared | 10.6–11.19 | 100 |
| Prediction | Reference | Com. Error | |||||||||
|---|---|---|---|---|---|---|---|---|---|---|---|
| Forest | Scrub | Low Dens. Tree Crops | Dense Tree Crops | Rainfed Grass Crops | Irrigated Crops | Impermeable | Water | Bare Soil | Greenhouses | ||
| Forest | 2765 | 173 | 2 | 0 | 56 | 0 | 38 | 0 | 0 | 0 | 0.089 |
| Scrub | 69 | 3582 | 39 | 115 | 85 | 12 | 23 | 0 | 7 | 0 | 0.089 |
| Low density tree crops | 2 | 88 | 1013 | 19 | 41 | 20 | 28 | 0 | 38 | 0 | 0.189 |
| Dense tree crops | 0 | 0 | 42 | 776 | 0 | 64 | 34 | 2 | 1 | 0 | 0.156 |
| Rainfed grass crops | 0 | 58 | 37 | 2 | 1185 | 41 | 14 | 0 | 124 | 0 | 0.189 |
| Irrigated crops | 20 | 26 | 12 | 88 | 2 | 993 | 62 | 1 | 0 | 0 | 0.175 |
| Impermeable | 14 | 21 | 328 | 13 | 70 | 177 | 3319 | 7 | 17 | 73 | 0.178 |
| Water | 0 | 1 | 0 | 8 | 0 | 11 | 0 | 1670 | 0 | 0 | 0.012 |
| Bare soil | 0 | 55 | 21 | 3 | 43 | 14 | 94 | 0 | 164 | 0 | 0.584 |
| Greenhouses | 0 | 0 | 0 | 0 | 0 | 0 | 2 | 0 | 0 | 181 | 0.011 |
| Om. error | 0.036 | 0.105 | 0.322 | 0.242 | 0.2 | 0.254 | 0.081 | 0.006 | 0.533 | 0.287 | |
| Prediction Test Class | Forest | Scrub | Low Dens. Tree Crops | Dense Tree Crops | Rainfed Grass Crops | Irrigated Crops | Impermeable | Water | Bare Soil | Greenhouses |
|---|---|---|---|---|---|---|---|---|---|---|
| (1) Forest | 1.0000 | 0.1725 | 0.0770 | 0.0963 | 0.0667 | 0.0871 | 0.0703 | 0.0093 | 0.0713 | 0.0110 |
| (2) Scrub | 0.1066 | 1.0000 | 0.1792 | 0.1124 | 0.1599 | 0.1809 | 0.1398 | 0.0076 | 0.1423 | 0.0060 |
| (3) Low density tree crops | 0.0587 | 0.2130 | 1.0000 | 0.2185 | 0.3004 | 0.2785 | 0.2578 | 0.0069 | 0.2151 | 0.0407 |
| (4) Dense tree crops | 0.0863 | 0.1200 | 0.2593 | 1.0000 | 0.1751 | 0.3505 | 0.1416 | 0.0081 | 0.1129 | 0.0237 |
| (5) Rainfed grass crops | 0.0625 | 0.2429 | 0.5885 | 0.1896 | 1.0000 | 0.2198 | 0.1619 | 0.0069 | 0.2129 | 0.0231 |
| (6) Irrigated crops | 0.1255 | 0.4129 | 0.3465 | 0.7013 | 0.2483 | 1.0000 | 0.3365 | 0.0123 | 0.2120 | 0.0398 |
| (7) Impermeable | 0.0547 | 0.1947 | 0.2748 | 0.1423 | 0.1332 | 0.2622 | 1.0000 | 0.0085 | 0.1905 | 0.0620 |
| (8) Water | 0.0107 | 0.0080 | 0.0083 | 0.0093 | 0.0056 | 0.0163 | 0.0115 | 1.0000 | 0.0138 | 0.0063 |
| (9) Bare soil | 0.0511 | 0.2367 | 0.6938 | 0.1465 | 0.4807 | 0.3198 | 0.3148 | 0.0063 | 1.0000 | 0.0417 |
| (10) Greenhouses | 0.0013 | 0.0011 | 0.0101 | 0.0066 | 0.0048 | 0.0036 | 0.0380 | 0.0018 | 0.0136 | 1.0000 |
| Prediction | RF Calibrated with the Initial TVA | RF Calibrated with the New TVA | ||||||
|---|---|---|---|---|---|---|---|---|
| Forest | Impermeable | Water | Bare Soil | Forest | Impermeable | Water | Bare Soil | |
| 1. Forest | 2263 | 0 | 0 | 0 | 2266 | 0 | 0 | 0 |
| 2. Scrub | 3 | 0 | 0 | 1 | 2 | 0 | 0 | 0 |
| 3. Low density tree crops | 0 | 0 | 0 | 1450 | 0 | 6 | 0 | 284 |
| 4. Dense tree crops | 0 | 0 | 0 | 18 | 0 | 0 | 0 | 11 |
| 5. Rainfed grass crops | 0 | 1 | 0 | 3604 | 0 | 0 | 0 | 577 |
| 6. Irrigated crops | 0 | 0 | 0 | 1 | 0 | 0 | 0 | 0 |
| 7. Impermeable | 0 | 24 | 1 | 125 | 0 | 19 | 0 | 1195 |
| 8. Water | 6 | 0 | 12,207 | 2 | 4 | 0 | 12,209 | 2 |
| 9. Bare soil | 0 | 204 | 0 | 3455 | 0 | 212 | 0 | 6585 |
| 10. Greenhouses | 0 | 0 | 5 | 98 | 0 | 0 | 4 | 100 |
© 2019 by the authors. Licensee MDPI, Basel, Switzerland. This article is an open access article distributed under the terms and conditions of the Creative Commons Attribution (CC BY) license (http://creativecommons.org/licenses/by/4.0/).
Share and Cite
Alonso-Sarria, F.; Valdivieso-Ros, C.; Gomariz-Castillo, F. Isolation Forests to Evaluate Class Separability and the Representativeness of Training and Validation Areas in Land Cover Classification. Remote Sens. 2019, 11, 3000. https://doi.org/10.3390/rs11243000
Alonso-Sarria F, Valdivieso-Ros C, Gomariz-Castillo F. Isolation Forests to Evaluate Class Separability and the Representativeness of Training and Validation Areas in Land Cover Classification. Remote Sensing. 2019; 11(24):3000. https://doi.org/10.3390/rs11243000
Chicago/Turabian StyleAlonso-Sarria, Francisco, Carmen Valdivieso-Ros, and Francisco Gomariz-Castillo. 2019. "Isolation Forests to Evaluate Class Separability and the Representativeness of Training and Validation Areas in Land Cover Classification" Remote Sensing 11, no. 24: 3000. https://doi.org/10.3390/rs11243000
APA StyleAlonso-Sarria, F., Valdivieso-Ros, C., & Gomariz-Castillo, F. (2019). Isolation Forests to Evaluate Class Separability and the Representativeness of Training and Validation Areas in Land Cover Classification. Remote Sensing, 11(24), 3000. https://doi.org/10.3390/rs11243000

