Evaluation of HY-2A Scatterometer Ocean Surface Wind Data during 2012–2018
Abstract
1. Introduction
2. Data and Data Collection
2.1. HSCAT Data
2.2. ECMWF MARS Buoy Data
2.3. SSMIS Data
2.4. Data Collocation Method
3. Results and Discussions
3.1. Statistical Analysis of HSCAT Wind Variations from 2012 to 2018 Year by Year
3.1.1. The Distribution of Collocated Data and Statistical Parameters
3.1.2. The Probability Distribution Functions (PDFs) of Wind Speeds and Directions
3.2. The Overall Statistical Analysis of HSCAT Wind Variations from 2012 to 2018
3.2.1. The Trends of Residual Variations of Wind Speed and Wind Direction
3.2.2. HSCAT Wind Field Data Monthly Variations during 2012 to 2018
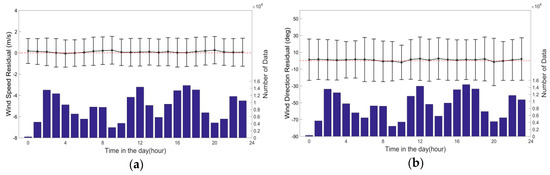
3.2.3. HSCAT Wind Field Data Variations in 24 Hours
3.3. The Sea Surface Temperature and Air Temperature Impact on HSCAT Wind Products
3.3.1. The Probability Distribution Functions (PDFs) of Wind Speeds and Directions
3.3.2. The Trends of Residual Variations of Wind Speed and Wind Direction
3.3.3. The Statistical Parameters of Collocated Data
3.4. The Rain Impact on HSCAT Wind Products
3.4.1. The Distribution of Collocated Data and Statistical Parameters
3.4.2. The Probability Distribution Functions (PDFs) of Wind Speeds and Directions
4. Conclusions
Author Contributions
Funding
Acknowledgments
Conflicts of Interest
References
- Liu, L. An Introduction to Satellite Oceanic Remote Sensing; Wuhan University Press: Wuhan, China, 2005; pp. 245–264. [Google Scholar]
- Zhixiong, W. The Improvement of HY2-SCAT Wind Retrieval Algorithm Based on MSS and 2DVAR Method. Master’s Thesis, Ocean University of China, Qindao, China, 2014. [Google Scholar]
- Wang, X.; Yang, B. Abroad satellite microwave scatterometer application and the trends. Erospace China 2006, 26–29. [Google Scholar]
- Yang, J.; Zhang, J. Evaluation of ISS-RapidScat Wind Vectors Using Buoys and ASCAT Data. Remote Sens. 2018, 10, 648. [Google Scholar] [CrossRef]
- Crapolicchio, R.; Lecomte, P. The ERS-2 scatterometer mission: Events and long-loop instrument and data performances assessment. In Proceedings of the 2004 ENVISAT & ERS Symposium, Salzburg, Austria, 6–10 September 2004; pp. 6–10. [Google Scholar]
- Spencer, M.W. A Methodology for the Design of Spaceborne Pencil-Beam Scatterometer Systems. Ph.D. Thesis, Brigham YoungUniversity, Provo, UT, USA, 2001. [Google Scholar]
- Gelsthorpe, R.; Schied, E.; Wilson, J. ASCAT-Metop‘s advanced scatterometer. ESA Bull. 2000, 102, 19–27. [Google Scholar]
- Graf, J.; Sasaki, C.; Winn, C.; Liu, W.T.; Tsai, W.; Freilich, M.; Long, D. NASA Scatterometer Experiment1. Acta Astronaut. 1998, 43, 397–407. [Google Scholar] [CrossRef]
- Department of Space, Indian Space Research Organisation. Available online: https://www.isro.gov.in/Spacecraft/oceansat-2 (accessed on 20 September 2019).
- National Satellite Ocean Application Service. Available online: http://www.nsoas.org.cn/news/content/2018-10/25/44_531.html (accessed on 20 September 2019).
- Masuko, H.; Arai, K.; Ebuchi, N.; Konda, M.; Kubota, M.; Kutsuwada, K.; Manabe, T.; Mukaida, A.; Nakazawa, T.; Nomura, A. Evaluation of vector winds observed by NSCAT in the seas around Japan. J. Oceanogr. 2000, 56, 495–505. [Google Scholar] [CrossRef]
- Ebuchi, N.; Graber, H.C.; Caruso, M.J. Evaluation of wind vectors observed by QuikSCAT/SeaWinds using ocean buoy data. J. Atmos. Ocean. Technol. 2002, 19, 2049–2062. [Google Scholar] [CrossRef]
- Pickett, M.H.; Tang, W.; Rosenfeld, L.K.; Wash, C.H. QuikSCAT satellite comparisons with nearshore buoy wind data off the US west coast. J. Atmos. Ocean. Technol. 2003, 20, 1869–1879. [Google Scholar] [CrossRef]
- Tang, W.; Liu, W.T.; Stiles, B.W. Evaluation of high-resolution ocean surface vector winds measured by QuikSCAT scatterometer in coastal regions. IEEE Trans. Geosci. Remote Sens. 2004, 42, 1762–1769. [Google Scholar] [CrossRef]
- Ebuchi, N. Intercomparison of Wind speeds observed by AMSR and SeaWinds on ADEOS-II. In Proceedings of the 2005 IEEE International Geoscience and Remote Sensing Symposium (IGARSS’05), Seoul, Korea, 29 July 2005; pp. 3314–3317. [Google Scholar]
- Satheesan, K.; Sarkar, A.; Parekh, A.; Kumar, M.R.R.; Kuroda, Y. Comparison of wind data from QuikSCAT and buoys in the Indian Ocean. Int. J. Remote Sens. 2007, 28, 2375–2382. [Google Scholar] [CrossRef]
- Yang, X.; Li, X.; Pichel, W.G.; Li, Z. Comparison of ocean surface winds from ENVISAT ASAR, MetOp ASCAT scatterometer, buoy measurements, and NOGAPS model. IEEE Trans. Geosci. Remote Sens. 2011, 49, 4743–4750. [Google Scholar] [CrossRef]
- Sudha, A.K.; Prasada Rao, C.V.K. Comparison of Oceansat-2 scatterometer winds with buoy observations over the Indian Ocean and the Pacific Ocean. Remote Sens. Lett. 2013, 4, 171–179. [Google Scholar] [CrossRef]
- Wang, H.; Zhu, J.; Lin, M.; Huang, X.; Zhao, Y.; Chen, C.; Zhang, Y.; Peng, H. First six months quality assessment of HY-2A SCAT wind products using in situ measurements. Acta Oceanol. Sin. 2013, 32, 27–33. [Google Scholar] [CrossRef]
- Xing, J.; Shi, J.; Lei, Y.; Huang, X.-Y.; Liu, Z. Evaluation of HY-2A Scatterometer Wind Vectors Using Data from Buoys, ERA-Interim and ASCAT during 2012–2014. Remote Sens. 2016, 8, 390. [Google Scholar] [CrossRef]
- Bhaskar, T.V.S.U.; Jayaram, C.; Bansal, S.; Mohan, K.K.; Swain, D. Generation and Validation of two Day Composite Wind Fields from Oceansat-2 Scatterometer. J. Indian Soc. Remote Sens. 2016, 45, 113–122. [Google Scholar] [CrossRef]
- Lindsley, R.D.; Blodgett, J.R.; Long, D.G. Analysis and validation of high-resolution wind from ASCAT. IEEE Trans. Geosci. Remote Sens. 2016, 54, 5699–5711. [Google Scholar] [CrossRef]
- Verhoef, A.; Vogelzang, J.; Verspeek, J.; Stoffelen, A. Long-Term Scatterometer Wind Climate Data Records. IEEE J. Sel. Top. Appl. Earth Obs. Remote Sens. 2017, 10, 2186–2194. [Google Scholar] [CrossRef]
- Wentz, F.J.; Ricciardulli, L.; Rodriguez, E.; Stiles, B.W.; Bourassa, M.A.; Long, D.G.; Hoffman, R.N.; Stoffelen, A.; Verhoef, A.; O’Neill, L.W. Evaluating and extending the ocean wind climate data record. IEEE J. Sel. Top. Appl. Earth Obs. Remote Sens. 2017, 10, 2165–2185. [Google Scholar] [CrossRef]
- Hutchings, N.; Long, D.G. Improved Ultrahigh-Resolution Wind Retrieval for RapidScat. IEEE Trans. Geosci. Remote Sens. 2018, 57, 3370–3379. [Google Scholar] [CrossRef]
- Lin, M.; Zou, J.; Xie, X.; Zhang, Y. HY-2A Microwave Scatterometer Wind Retrieval Algorithm. Eng. Sci. 2013, 15, 68–74. [Google Scholar]
- HY-2A Microwave Scatterometer Data Format User’s Guide, National Satellite Ocean Application Service. May 2012. Available online: http://ftp2.nsoas.org.cn/Data_Format_User’s_Guide/HY-2A Microwave Scatterometer Data Format User’s Guide.pdf (accessed on 20 September 2019).
- Liu, W.T.; Katsaros, K.B.; Businger, J.A. Bulk parameterization of air-sea exchanges of heat and water vapor including the molecular constraints at the interface. J. Atmos. Sci. 1979, 36, 1722–1735. [Google Scholar] [CrossRef]
- Liu, W.T.; Tang, W.Q. Equivalent Neutral Wind; Jet Propulsion Laboratory Publication 96-17; 1996. Available online: https://ntrs.nasa.gov/archive/nasa/casi.ntrs.nasa.gov/19970010322.pdf (accessed on 4 April 2019).
- de Kloe, J.; Stoffelen, A.; Verhoef, A. Improved use of scatterometer measurements by using stress-equivalent reference winds. IEEE J. Sel. Top. Appl. Earth Obs. Remote Sens. 2017, 10, 2340–2347. [Google Scholar] [CrossRef]
- Remote Sensing Systems. Available online: http://www.remss.com/missions/ssmi (accessed on 20 September 2019).
- Remote Sensing Systems. Available online: http://www.remss.com/support/crossing-times/ (accessed on 20 September 2019).
- Portabella, M.; Stoffelen, A. Qual. Control. Wind Retrieval for Sea Winds; Ministerie van Verkeer en Waterstaat, Koninklijk Nederlands Meteorologisch: De bilt, The Nederlands, 2002; pp. 7–9.
- Stiles, B.W.; Pollard, B.D.; Dunbar, R.S. Direction interval retrieval with thresholded nudging: A method for improving the accuracy of QuikSCAT winds. IEEE Trans. Geosci. Remote Sens. 2002, 40, 79–89. [Google Scholar] [CrossRef]
- Portabella, M.; Stoffelen, A. A probabilistic approach for SeaWinds data assimilation. Q. J. R. Meteorol. Soc. 2004, 130, 127–152. [Google Scholar] [CrossRef]
- QuikSCAT Scatterometer Mean Wind Field Products User Manual, The CERSAT (Centre ERS d’Archivage et de Traitement)/Laboratory of Oceanography From Space is part of IFREMER (French Research Institute for Exploitation of the Sea), Version 1.0. May 2002. Available online: http://apdrc.soest.hawaii.edu/doc/qscat_mwf.pdf (accessed on 14 September 2018).
- Qiu, C.; Li, D. The Calculation Algorithms for Average Wind Direction and Their Comparison. Plateau Meteorol. 1997, 94–98. [Google Scholar]
- Stoffelen, A. Toward the true near-surface wind speed: Error modeling and calibration using triple collocation. J. Geophys. Res. Ocean. 1998, 103, 7755–7766. [Google Scholar] [CrossRef]















| HY-2A Satellite Parameters | Description |
|---|---|
| Orbit | Sun-synchronous Orbit |
| Orbital Altitude | 971 km |
| Orbital Inclination | 99.34° |
| Local Time of Descending Node | 6:00 a.m. |
| Repetition (Earlier Stage) | 104.46 min |
| Laps (Earlier Stage) | 13+11/14 times |
| Repetition (Later Stage) | 104.50 min |
| Laps (Later Stage) | 13+131/168 times |
| Instruments | Radar Altimeter; Microwave Scatterometer; Microwave Radiometer; DORIS; GPS; Laser Range Finder |
| Year | Speed Bias | Speed RMSE | Direction Bias | Direction RMSE | Collocation Number |
|---|---|---|---|---|---|
| 2012 | −0.03 | 1.08 | 0.20 | 21.75 | 33,462 |
| 2013 | 0.48 | 1.42 | 0.60 | 22.06 | 31,276 |
| 2014 | 0.06 | 1.06 | 1.23 | 22.15 | 27,339 |
| 2015 | 0.26 | 1.37 | 0.29 | 26.37 | 36,211 |
| 2016 | −0.41 | 1.87 | 1.93 | 29.50 | 25,898 |
| 2017 | −0.14 | 1.20 | 2.12 | 24.50 | 27,511 |
| 2018 | 0.03 | 1.17 | 1.32 | 22.94 | 24,997 |
| Year | Wind Speed (m/s) | Wind Direction (°) | Collocation Number | |||||||
|---|---|---|---|---|---|---|---|---|---|---|
| Bias-Neutral | Bias-Non-Neutral | RMSE-Neutral | BMSE-Non-Neutral | Bias-Neutral | Bias-Non-Neutral | RMSE-Neutral | BMSE-Non-Neutral | Neutral | Non-Neutral | |
| 2012 | −0.12 | 0.14 | 0.95 | 1.31 | 0.15 | 0.30 | 19.89 | 24.47 | 20,596 | 13,908 |
| 2013 | 0.37 | 0.65 | 1.24 | 1.66 | 0.55 | 0.75 | 20.28 | 24.26 | 17,593 | 13,691 |
| 2014 | −0.03 | 0.19 | 0.93 | 1.23 | 0.93 | 1.61 | 19.99 | 24.81 | 15,427 | 11,917 |
| 2015 | 0.18 | 0.42 | 1.17 | 1.67 | 0.18 | 0.44 | 23.84 | 29.95 | 21,446 | 14,793 |
| 2016 | −0.52 | −0.23 | 1.85 | 1.92 | 1.77 | 2.21 | 28.97 | 30.36 | 15,913 | 9990 |
| 2017 | −0.23 | 0.07 | 1.05 | 1.48 | 1.34 | 3.61 | 22.44 | 27.96 | 17,474 | 10,047 |
| 2018 | −0.03 | 0.19 | 1.01 | 1.48 | 1.08 | 1.84 | 19.99 | 27.64 | 15,995 | 9038 |
| ALL | −0.02 | 0.25 | 1.15 | 1.53 | 0.82 | 1.35 | 24.58 | 31.68 | 123,819 | 83,179 |
| Rainfall Rate | Speed Bias | Speed RMSE | Direction Bias | Direction RMSE | Collocation Number |
|---|---|---|---|---|---|
| Rain free | 0.05 | 1.73 | 1.00 | 24.10 | 121,080 |
| 0–3 mm/h | 1.14 | 2.86 | 1.36 | 29.09 | 11,021 |
| 3–8 mm/h | 3.73 | 5.38 | −0.04 | 35.57 | 1683 |
| >8 mm/h | 6.16 | 7.94 | 3.42 | 38.44 | 291 |
© 2019 by the authors. Licensee MDPI, Basel, Switzerland. This article is an open access article distributed under the terms and conditions of the Creative Commons Attribution (CC BY) license (http://creativecommons.org/licenses/by/4.0/).
Share and Cite
Zhao, K.; Zhao, C. Evaluation of HY-2A Scatterometer Ocean Surface Wind Data during 2012–2018. Remote Sens. 2019, 11, 2968. https://doi.org/10.3390/rs11242968
Zhao K, Zhao C. Evaluation of HY-2A Scatterometer Ocean Surface Wind Data during 2012–2018. Remote Sensing. 2019; 11(24):2968. https://doi.org/10.3390/rs11242968
Chicago/Turabian StyleZhao, Ke, and Chaofang Zhao. 2019. "Evaluation of HY-2A Scatterometer Ocean Surface Wind Data during 2012–2018" Remote Sensing 11, no. 24: 2968. https://doi.org/10.3390/rs11242968
APA StyleZhao, K., & Zhao, C. (2019). Evaluation of HY-2A Scatterometer Ocean Surface Wind Data during 2012–2018. Remote Sensing, 11(24), 2968. https://doi.org/10.3390/rs11242968

