A Comprehensive Study of Three Different Portable XRF Scanners to Assess the Soil Geochemistry of An Extensive Sample Dataset
Abstract
:1. Introduction
2. Materials and Methods
2.1. Soil Sample Collection and Preparation
2.2. XRF Analysis
2.3. Laboratory Analysis
2.4. Statistical Analysis
3. Results
3.1. Scatterplots of Elemental Concentrations Measured by XRF Versus Conventional Chemical Analysis
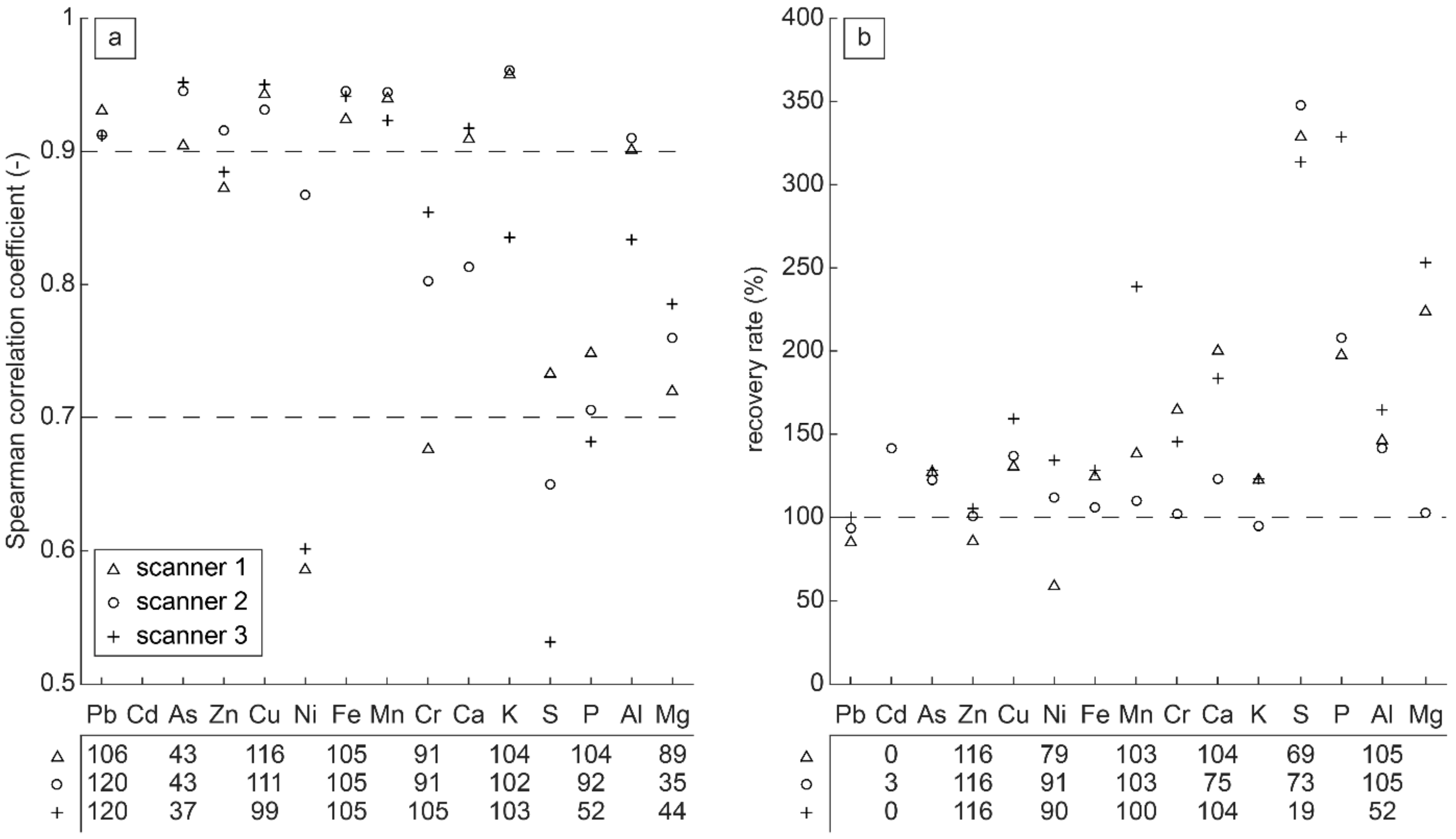
3.2. Correlation Coefficients and Recovery Rates
3.3. Comparison of XRF Scanners
3.4. Effect of Soil Characteristics on XRF Performance
4. Discussion
4.1. Overestimation of Elemental Concentration
4.2. Comparison of Different XRF Scanners
4.3. XRF Performance for Light Elements
4.4. Effect of Soil Characteristics on XRF Performance
5. Conclusions
Supplementary Materials
Author Contributions
Funding
Acknowledgments
Conflicts of Interest
References
- Weindorf, D.C.; Bakr, N.; Zhu, Y. Chapter one—Advances in portable X-ray fluorescence (PXRF) for environmental, pedological, and agronomic applications. In Advances in Agronomy, 1st ed.; Sparks, D.L., Ed.; Academic Press: Cambridge, MA, USA, 2014; Volume 128, pp. 1–45. [Google Scholar]
- West, M.; Ellis, A.T.; Potts, P.J.; Streli, C.; Vanhoof, C.; Wegrzynek, D.; Wobrauschek, P. Atomic spectrometry update—A review of advances in X-ray fluorescence spectrometry. J. Anal. At. Spectrom. 2013, 28, 1544–1590. [Google Scholar] [CrossRef]
- Frahm, E.; Doonan, R.C.P. The technological versus methodological revolution of portable XRF in archaeology. J. Archaeol. Sci. 2013, 40, 1425–1434. [Google Scholar] [CrossRef]
- Sharma, A.; Weindorf, D.C.; Man, T.; Aldabaa, A.A.A.; Chakraborty, S. Characterizing soils via portable X-ray fluorescence spectrometer: 3. Soil reaction (pH). Geoderma 2014, 232–234, 141–147. [Google Scholar] [CrossRef]
- Zhu, Y.; Weindorf, D.C.; Zhang, G. Characterizing soils using a portable X-ray fluorescence spectrometer: 1. Soil texture. Geoderma 2011, 167–168, 167–177. [Google Scholar] [CrossRef]
- Sharma, A.; Weindorf, D.C.; Wang, D.; Chakraborty, S. Characterizing soils via portable X-ray fluorescence spectrometer: 4. Cation exchange capacity (CEC). Geoderma 2015, 239–240, 130–134. [Google Scholar] [CrossRef]
- Rouillon, M.; Taylor, M.P. Can field portable X-ray fluorescence (PXRF) produce high quality data for application in environmental contamination research? Environ. Pollut. 2016, 214, 255–264. [Google Scholar] [CrossRef]
- Vanhoof, C.; Holschbach-Bussian, K.A.; Bussian, B.M.; Cleven, R.; Furtmann, K. Applicability of portable XRF systems for screening waste loads on hazardous substances as incoming inspection at waste handling plants. X-ray Spectrom. 2013, 42, 224–231. [Google Scholar] [CrossRef]
- United States Environmental Protection Agency (USEPA). Method 6200—Field Portable X-Ray Fluorescence Spectrometry for the Determination of Elemental Concentrations in Soil and Sediment; USEPA: Corvallis, OR, USA, 2007.
- Argyraki, A.; Ramsey, M.H.; Potts, P.J. Evaluation of portable X-ray fluorescence instrumentation for in situ measurements of lead on contaminated land. Analyst 1997, 122, 743–749. [Google Scholar] [CrossRef]
- Mäkinen, E.; Korhonen, M.; Viskari, E.; Haapamäki, S.; Järvinen, M.; Lu, L. Comparison of XRF and FAAS methods in analysing CCA contaminated soils. Water Air Soil Pollut. 2005, 171, 95–110. [Google Scholar] [CrossRef]
- Martens, G.; VM ViSion, Stekene, Belgium. Personal communication, 2018.
- Hu, W.; Huang, B.; Weindorf, D.C.; Chen, Y. Metals analysis of agricultural soils via portable X-ray fluorescence spectrometry. Bull. Environ. Contam. Toxicol. 2014, 92, 420–426. [Google Scholar] [CrossRef]
- Bastos, R.O.; Melquiades, F.L.; Biasi, G.E.V. Correction for the effect of soil moisture on in situ XRF analysis using low-energy background. X-ray Spectrom. 2012, 41, 304–307. [Google Scholar] [CrossRef]
- Shugar, A. Peaking Your Interest: An Introductory Explanation of How to Interpret XRF Data; Western Association for Art Conservation Newsletter: Los Angeles, CA, USA, 2009; Volume 31, pp. 8–10. [Google Scholar]
- Schneider, A.R.; Cancès, B.; Breton, C.; Ponthieu, M.; Morvan, X.; Conreux, A.; Marin, B. Comparison of field portable XRF and aqua regia/ICPAES soil analysis and evaluation of soil moisture influence on FPXRF results. J. Soils Sediments 2016, 16, 438–448. [Google Scholar] [CrossRef]
- Bianchini, G.; Natali, C.; di Giuseppe, D.; Beccaluva, L. Heavy metals in soils and sedimentary deposits of the Padanian Plain (Ferrara, Northern Italy): Characterisation and biomonitoring. J. Soils Sediments 2012, 12, 1145–1153. [Google Scholar] [CrossRef]
- Radu, T.; Diamond, D. Comparison of soil pollution concentrations determined using AAS and portable XRF techniques. J. Hazard. Mater. 2009, 171, 1168–1171. [Google Scholar] [CrossRef]
- Suh, J.; Lee, H.; Choi, Y. A rapid, accurate, and efficient method to map heavy metal-contaminated soils of abandoned mine sites using converted portable XRF data and GIS. Int. J. Environ. Res. Public Health 2016, 13, 1191. [Google Scholar] [CrossRef]
- Wallis, C.M.; Walker, M.T. Field Analysis of Arsenic and Lead in Soils at a Former Smelter Facility; Hydrometrics Inc.: Tucson, AZ, USA, 1999; pp. 52–59. [Google Scholar]
- Maliki, A.A.; Al-lami, A.K.; Hussain, H.M.; Al-Ansari, N. Comparison between inductively coupled plasma and X-ray fluorescence performance for Pb analysis in environmental soil samples. Environ. Earth Sci. 2017, 76, 433–440. [Google Scholar] [CrossRef]
- Sitko, R.; Zawisza, B.; Jurczyk, J.; Buhl, F.; Zielonka, U. Determination of high Zn and Pb concentrations in polluted soils using energy-dispersive X-ray fluorescence spectrometry. Pol. J. Environ. Stud. 2004, 13, 91–96. [Google Scholar]
- Lee, H.; Choi, Y.; Suh, J.; Lee, S. Mapping copper and lead concentrations at abandoned mine areas using element analysis data from ICP-AES and portable XRF instruments: A comparative study. Int. J. Environ. Res. Public Health 2016, 13, 384. [Google Scholar] [CrossRef]
- Binstock, D.A.; Gutknecht, W.F.; McWilliams, A.C. Lead in soil—An examination of paired XRF analysis performed in the field and laboratory ICP-AES results. Int. J. Soil Sediment Water 2009, 2, 1. [Google Scholar]
- Anderson, P.; Davidson, C.M.; Littlejohn, D.; Ure, A.M.; Garden, L.M.; Marshall, J. Comparison of techniques for the analysis of industrial soils by atomic spectrometry. Int. J. Environ. Anal. Chem. 1998, 71, 19–40. [Google Scholar] [CrossRef]
- Takeda, A.; Yamasaki, S.; Tsukada, H.; Takaku, Y.; Hisamatsu, S.; Tsuchiya, N. Determination of total contents of bromine, iodine and several trace elements in soil by polarizing energy-dispersive X-ray fluorescence spectrometry. Soil Sci. Plant Nutr. 2011, 57, 19–28. [Google Scholar] [CrossRef]
- Hall, G.E.M.; Bonham-Carter, G.F.; Buchar, A. Evaluation of portable X-ray fluorescence (PXRF) in exploration and mining: Phase 1, control reference materials. Geochem. Explor. Environ. Anal. 2014, 14, 99–123. [Google Scholar] [CrossRef]
- Bernick, M.B.; Kalnicky, D.J.; Prince, G.; Singhvi, R. Results of field-portable X-ray fluorescence analysis of metal contaminants in soil and sediment. J. Hazard. Mater. 1995, 43, 101–110. [Google Scholar] [CrossRef]
- Van Ranst, E.; Vandenhende, V.; Ghent University, Ghent, Belgium. Personal communication, 2017.
- Van Ranst, E. Vorming en Eigenschappen van Lemige Bosgronden in Midden-en Hoog-België. Ph.D. Thesis, Ghent University, Ghent, Belgium, 1981. [Google Scholar]
- Wageningen Evaluating Programmes for Analytical Laboratories (WEPAL). International Soil-Analytical Exchange. Wageningen University, Wageningen, The Netherlands, 2012–2016. Available online: www.participants.wepal.nl (accessed on 30 April 2019).
- Delbecque, N.; Ghent University, Ghent, Belgium. Personal communication, 2017.
- Declercq, Y. Luchtpollutie Weerspiegeld in Magnetische Eigenschappen van Bodem en Vegetatie: Een Studie in Het Gentse Havengebied. Master’s Thesis, Ghent University, Ghent, Belgium, 2016. [Google Scholar]
- Audenaert, E. Gebruik van Geofysische Bodemsensoren Voor de Kartering van Stortplaatsen in Het Kader van Enhanced Landfill Mining. Master’s Thesis, Ghent University, Ghent, Belgium, 2016. [Google Scholar]
- Dimakatso, R.P. Soil Quality Assessment of South African Home Gardens: The Case of Manamane Village, Limpopo Province. Master’s Thesis, Ghent University, Ghent, Belgium, 2015. [Google Scholar]
- Mawodza, T. Yield Gap Analysis of Grain Maize Production in Macheke, Zimbabwe. Master’s Thesis, Ghent University, Ghent, Belgium, 2015. [Google Scholar]
- Soil Science Division Staff. Soil Survey Manual, 4th ed.; Government Printing Office: Washington, DC, USA, 2017; pp. 1–603.
- Food and Agriculture Organization (FAO). Guidelines for Soil Description, 4th ed.; FAO: Rome, Italy, 2006; pp. 1–97. [Google Scholar]
- International Organization for Standardization (ISO). ISO 14869-2:2002—Soil Quality—Dissolution for the Determination of Total Element Content—Part 2: Dissolution by Alkaline Fusion; ISO: Geneva, Switzerland, 2002. [Google Scholar]
- International Organization for Standardization (ISO). ISO 14869-3:2017—Soil Quality—Dissolution for the Determination of Total Element Content—Part 3: Dissolution with Hydrofluoric, Hydrochloric and Nitric Acids Using Pressurised Microwave Technique; ISO: Geneva, Switzerland, 2017. [Google Scholar]
- International Organization for Standardization (ISO). ISO 11466:1995—Soil Quality—Extraction of Trace Elements Soluble in Aqua Regia; ISO: Geneva, Switzerland, 2016. [Google Scholar]
- Santoro, A.; Held, A.; Linsinger, T.P.J.; Perez, A.; Ricci, M. Comparison of total and aqua regia extractability of heavy metals in sewage sludge: The case study of a certified reference material. Trends Anal. Chem. 2017, 89, 34–40. [Google Scholar] [CrossRef]
- Seuntjens, P.; Bierkens, J.; Patyn, J.; Tirez, K.; Wilczek, D.; Smolders, R.; Lagrou, D. Herziening Achtergrondwaarden Zware Metalen in Bodem; VITO: Mol, Belgium, 2006; pp. 1–93. [Google Scholar]
- Ghasemi, A.; Zahediasl, S. Normality tests for statistical analysis: A guide for non-statisticians. Int. J. Endocrinol. Metab. 2012, 10, 486–489. [Google Scholar] [CrossRef]
- Nawar, S.; Delbecque, N.; Declercq, Y.; de Smedt, P.; Finke, P.; Verdoodt, A.; van Meirvenne, M.; Mouazen, A.M. Can spectral analyses improve measurement of key soil fertility parameters with X-ray fluorescence spectrometry? Geoderma 2019, 350, 29–39. [Google Scholar] [CrossRef]
- Misra, N.L.; Kanrar, B.; Aggarwal, S.K.; Wobrauschek, P.; Rauwolf, M.; Streli, C. A comparative study on total reflection X-ray fluorescence determination of low atomic number elements in air, helium and vacuum atmospheres using different excitation sources. Spectrochim. Acta Part B 2014, 99, 129–132. [Google Scholar] [CrossRef]
- Dhara, S.; Misra, N.L.; Aggarwal, S.K.; Ingerle, D.; Wobrauschek, P.; Streli, C. Determinations of low atomic number elements in real uranium oxide samples using vacuum chamber total reflection X-ray fluorescence. X-Ray Spectrom. 2014, 43, 108–111. [Google Scholar] [CrossRef]
- Imanishi, Y.; Bando, A.; Komatani, S.; Wada, S.; Tsuji, K. Experimental parameters for XRF analysis of soils. Adv. X-ray Anal. 2010, 53, 248–255. [Google Scholar]
- Parsons, C.; Grabulosa, E.M.; Pili, E.; Floor, G.H.; Roman-Ross, G.; Charlet, L. Quantification of trace arsenic in soils by field-portable X-ray fluorescence spectrometry: Considerations for sample preparation and measurement conditions. J. Hazard. Mater. 2013, 262, 1213–1222. [Google Scholar] [CrossRef]
- Stockmann, U.; Jang, H.J.; Minasny, B.; McBratney, A.B. The effect of soil moisture and texture on Fe concentration using portable X-ray fluorescence spectrometers. In Digital Soil Morphometrics; Hartemink, A., Minasny, B., Eds.; Springer: Cham, Switzerland, 2016; pp. 63–71. [Google Scholar]
- Löwemark, L.; Chen, H.-F.; Yang, T.-N.; Kylander, M.; Yu, E.-F.; Hsu, Y.-W.; Lee, T.-Q.; Song, S.-R.; Jarvis, S. Normalizing XRF-scanner data: A cautionary note on the interpretation of high-resolution records from organic-rich lakes. J. Asian Earth Sci. 2011, 40, 1250–1256. [Google Scholar] [CrossRef]
- Shand, C.A.; Wendler, R. Portable X-ray fluorescence analysis of mineral and organic soils and the influence of organic matter. J. Geochem. Explor. 2014, 143, 31–42. [Google Scholar] [CrossRef]
- Hürkamp, K.; Raab, T.; Völkel, J. Two and three-dimensional quantification of lead contamination in alluvial soils of a historic mining area using field portable X-ray fluorescence (FPXRF) analysis. Geomorphology 2009, 110, 28–36. [Google Scholar] [CrossRef]









| Method | Digestion | Solvents | Detection | Number of Samples |
|---|---|---|---|---|
| 1 | alkaline fusion | Li2B4O7 + LiBO2 | ICP-AES | 61 |
| 2 | acid digestion (total) | HNO3 + HF | ICP-AES | 44 |
| 3 | acid digestion (partial) | HNO3 + HCl | ICP-AES | 23 |
| Element | Atomic Number (Z) | Scanner 1 | Scanner 2 | Scanner 3 |
|---|---|---|---|---|
| Pb | 82 | o | o | o |
| Cd | 48 | n.s. | n.s. | n.s. |
| As | 33 | o | o | o |
| Zn | 30 | o | o | o |
| Cu | 29 | o | o | o |
| Ni | 28 | - | o | - |
| Fe | 26 | o | o | o |
| Mn | 25 | o | o | x |
| Cr | 24 | - | o | o |
| Ca | 20 | x | o | o |
| K | 19 | o | o | o |
| S | 16 | o | - | - |
| P | 15 | o | o | - |
| Al | 13 | x | x | o |
| Mg | 12 | o | o | o |
© 2019 by the authors. Licensee MDPI, Basel, Switzerland. This article is an open access article distributed under the terms and conditions of the Creative Commons Attribution (CC BY) license (http://creativecommons.org/licenses/by/4.0/).
Share and Cite
Declercq, Y.; Delbecque, N.; De Grave, J.; De Smedt, P.; Finke, P.; Mouazen, A.M.; Nawar, S.; Vandenberghe, D.; Van Meirvenne, M.; Verdoodt, A. A Comprehensive Study of Three Different Portable XRF Scanners to Assess the Soil Geochemistry of An Extensive Sample Dataset. Remote Sens. 2019, 11, 2490. https://doi.org/10.3390/rs11212490
Declercq Y, Delbecque N, De Grave J, De Smedt P, Finke P, Mouazen AM, Nawar S, Vandenberghe D, Van Meirvenne M, Verdoodt A. A Comprehensive Study of Three Different Portable XRF Scanners to Assess the Soil Geochemistry of An Extensive Sample Dataset. Remote Sensing. 2019; 11(21):2490. https://doi.org/10.3390/rs11212490
Chicago/Turabian StyleDeclercq, Ynse, Nele Delbecque, Johan De Grave, Philippe De Smedt, Peter Finke, Abdul M. Mouazen, Said Nawar, Dimitri Vandenberghe, Marc Van Meirvenne, and Ann Verdoodt. 2019. "A Comprehensive Study of Three Different Portable XRF Scanners to Assess the Soil Geochemistry of An Extensive Sample Dataset" Remote Sensing 11, no. 21: 2490. https://doi.org/10.3390/rs11212490
APA StyleDeclercq, Y., Delbecque, N., De Grave, J., De Smedt, P., Finke, P., Mouazen, A. M., Nawar, S., Vandenberghe, D., Van Meirvenne, M., & Verdoodt, A. (2019). A Comprehensive Study of Three Different Portable XRF Scanners to Assess the Soil Geochemistry of An Extensive Sample Dataset. Remote Sensing, 11(21), 2490. https://doi.org/10.3390/rs11212490

