PolSAR-Decomposition-Based Extended Water Cloud Modeling for Forest Aboveground Biomass Estimation
Abstract
1. Introduction
2. Study Area and Dataset
3. Methodology
- Reciprocity does not hold.
- Error in the estimation of calibration distortion.
- Polarimetric-decomposition-based scattering retrieval can be affected.
3.1. Decomposition Model
3.2. Scattering of Electromagnetic Waves from Forest Vegetation
3.3. Methods for Implementation for Higher Order Scattering Mechanisms
4. Results and Discussions
4.1. Estimation of the Faraday Rotation Angle (FRA) of ALOS PALSAR PolSAR Data
4.2. Regression between the Field-Estimated Aboveground Biomass (AGB) and Volume Scattering
4.3. PolSAR Based Modeling for Forest Biomass Retrieval
5. Conclusions
Author Contributions
Funding
Acknowledgments
Conflicts of Interest
References
- Falk, A.; Gerald, B.; Adrian, B.; Sean, B.; Susan, C.; Manab, C.; Bruce, C.; Anup, D.; Andrea, D.; Ralph, D.; et al. NASA-ISRO SAR (NISAR) Mission Science Users’ Handbook, 1st ed.; Jet Propulsion Laboratory, California Institute of Technology: California, CA, USA, 2018. [Google Scholar]
- Sinha, S.; Jeganathan, C.; Sharma, L.K.; Nathawat, M.S. A review of radar remote sensing for biomass estimation. Int. J. Environ. Sci. Technol. 2015, 12, 1779–1792. [Google Scholar] [CrossRef]
- Timothy, D.; Onisimo, M.; Cletah, S.; Adelabu, S.; Tsitsi, B. Remote sensing of aboveground forest biomass: A review. Trop. Ecol. 2016, 57, 125–132. [Google Scholar]
- Shi, L.; Liu, S. Methods of Estimating Forest Biomass: A Review. In Biomass Volume Estimation and Valorization for Energy; Tumuluru, J.S., Ed.; InTech: Rijeka, Croatia, 2017; pp. 23–46. [Google Scholar]
- Manolis, E.N.; Zagas, T.D.; Poravou, C.A.; Zagas, D.T. Biomass assessment for sustainable bioenergy utilization in a Mediterranean forest ecosystem in northwest Greece. Ecol. Eng. 2016, 91, 537–544. [Google Scholar] [CrossRef]
- Suzuki, R.; Kim, Y.; Ishii, R. Sensitivity of the backscatter intensity of ALOS/PALSAR to the above-ground biomass and other biophysical parameters of boreal forest in Alaska. Polar Sci. 2013, 7, 100–112. [Google Scholar] [CrossRef]
- Mitchard, A.; Saatchi, S.; Woodhouse, I.H.; Nangendo, G.; Ribeiro, S.; Williams, M.; Ryan, M.; Lewis, S.L.; Feldpausch, T.R.; Meir, P. Using satellite radar backscatter to predict above-ground woody biomass: A consistent relationship across four different African landscapes. Geophys. Res. Lett. 2009, 36, 1–6. [Google Scholar] [CrossRef]
- Dobson, M.C.; Ulaby, F.T.; LeToan, T.; Beaudoin, A.; Kasischke, E.S.; Christensen, N. Dependence of radar backscatter on coniferous forest biomass. IEEE Trans. Geosci. Remote Sens. 1992, 30, 412–415. [Google Scholar] [CrossRef]
- Letoan, T.; Beaudoin, A.; Riom, J.; Guyon, D. Relating Forest Biomass to SAR Data. IEEE Trans. Geosci. Remote Sens. 1992, 30, 403–411. [Google Scholar] [CrossRef]
- Rodriguez-Veiga, P.; Wheeler, J.; Louis, V.; Tansey, K.; Balzter, H. Quantifying Forest Biomass Carbon Stocks From Space. Curr. For. Rep. 2017, 3, 1–18. [Google Scholar] [CrossRef]
- Santoro, M.; Cartus, O. Research Pathways of Forest Above-Ground Biomass Estimation Based on SAR Backscatter and Interferometric SAR Observations. Remote Sens. 2018, 10, 608. [Google Scholar] [CrossRef]
- Santoro, M.; Beer, C.; Cartus, O.; Schmullius, C.; Shvidenko, A.; McCallum, I.; Wegmüller, U.; Wiesmann, A. Retrieval of growing stock volume in boreal forest using hyper-temporal series of Envisat ASAR ScanSAR backscatter measurements. Remote Sens. Environ. 2011, 115, 490–507. [Google Scholar] [CrossRef]
- Ningthoujam, R.K.; Balzter, H.; Tansey, K.; Feldpausch, T.R.; Mitchard, E.T.A.; Wani, A.A.; Joshi, P.K. Relationships of S-band radar backscatter and forest aboveground biomass in different forest types. Remote Sens. 2017, 9, 1116. [Google Scholar] [CrossRef]
- Lee, J.S.; Pottier, E. Polarimetric Radar Imaging: from Basics to Applications; CRC Press: Boca Raton, FL, USA, 2009; ISBN 978-1-4200-5497-2. [Google Scholar]
- Polarimetry—NASA-ISRO SAR Mission (NISAR). Available online: https://nisar.jpl.nasa.gov/technology/polsar/ (accessed on 23 May 2018).
- Sato, A.; Yamaguchi, Y.; Singh, G.; Park, S.-E. Four-component scattering power decomposition with extended volume scattering model. IEEE Geosci. Remote Sens. Lett. 2012, 9, 166–170. [Google Scholar] [CrossRef]
- Yamaguchi, Y.; Sato, A.; Boerner, W.M.; Sato, R.; Yamada, H. Four-Component Scattering Power Decomposition With Rotation of Coherency Matrix. IEEE Trans. Geosci. Remote Sens. 2011, 49, 2251–2258. [Google Scholar] [CrossRef]
- Lee, J.S.; Ainsworth, T.L. The effect of orientation angle compensation on coherency matrix and polarimetric target decompositions. IEEE Trans. Geosci. Remote Sens. 2011, 49, 53–64. [Google Scholar] [CrossRef]
- Souissi, B.; Ouarzeddine, M. Analysis of Orientation Angle Shifts on the Polarimetric Data Using Radarsat2 Images. IEEE J. Sel. Top. Appl. Earth Obs. Remote Sens. 2016, 9, 1331–1342. [Google Scholar] [CrossRef]
- Shimada, M. Imaging from Spaceborne and Airborne SARs, Calibration, and Applications, 1st ed.; CRC Press: Boca Raton, FL, USA, 2018; ISBN 9781315282619. [Google Scholar]
- Lee, J.S.; Schuler, D.L.; Ainsworth, T.L.; Krogager, E.; Kasilingam, D.; Boerner, W.M. On the estimation of radar polarization orientation shifts induced by terrain slopes. IEEE Trans. Geosci. Remote Sens. 2002, 40, 30–41. [Google Scholar]
- Gonçalves, F.G.; Santos, J.R.; Treuhaft, R.N. Stem volume of tropical forests from polarimetric radar. Int. J. Remote Sens. 2011, 32, 503–522. [Google Scholar] [CrossRef]
- Zhang, H.; Wang, C.; Zhu, J.; Fu, H. Forest Above-ground Biomass Estimation for Rugged Terrain by Using ESAR Polarization Data. Cehui Xuebao/Acta Geod. Cartogr. Sin. 2018, 47, 1353–1362. [Google Scholar]
- Golshani, P.; Maghsoudi, Y.; Sohrabi, H. Relating ALOS-2 PALSAR-2 Parameters to Biomass and Structure of Temperate Broadleaf Hyrcanian Forests. J. Indian Soc. Remote Sens. 2019, 47, 749–761. [Google Scholar] [CrossRef]
- Huang, X.; Ziniti, B.; Torbick, N.; Ducey, M.J. Assessment of forest above ground biomass estimation using multi-temporal C-band Sentinel-1 and Polarimetric L-band PALSAR-2 data. Remote Sens. 2018, 10, 1424. [Google Scholar] [CrossRef]
- Tomar, K.S.; Kumar, S.; Tolpekin, V.A.; Joshi, S.K. Semi-empirical modelling for forest aboveground biomass estimation using hybrid and fully PolSAR data. In Proceedings of the SPIE—The International Society for Optical Engineering, Baltimore, MD, USA, 17–21 April 2016; Volume 9877. [Google Scholar]
- Kumar, S.; Khati, U.G.; Chandola, S.; Agrawal, S.; Kushwaha, S.P.S. Polarimetric SAR Interferometry based modeling for tree height and aboveground biomass retrieval in a tropical deciduous forest. Adv. Sp. Res. 2017, 60, 571–586. [Google Scholar] [CrossRef]
- Cassol, L.H.; Carreiras, M.J.; Moraes, C.E.; Aragão, E.L.; Silva, V.C.; Quegan, S.; Shimabukuro, E.Y. Retrieving Secondary Forest Aboveground Biomass from Polarimetric ALOS-2 PALSAR-2 Data in the Brazilian Amazon. Remote Sens. 2018, 11, 59. [Google Scholar] [CrossRef]
- Pereira, O.L.; Furtado, F.L.; Novo, M.E.; Sant’Anna, J.S.; Liesenberg, V.; Silva, S.T. Multifrequency and Full-Polarimetric SAR Assessment for Estimating Above Ground Biomass and Leaf Area Index in the Amazon Várzea Wetlands. Remote Sens. 2018, 10, 1655. [Google Scholar] [CrossRef]
- Svoray, T.; Shoshany, M. SAR-based estimation of areal aboveground biomass (AAB) of herbaceous vegetation in the semi-arid zone: A modification of the water-cloud model. Int. J. Remote Sens. 2002, 23, 4089–4100. [Google Scholar] [CrossRef]
- Chuah, H.T.; Tan, H.S. A radar backscatter model for forest stands. Waves Random Media 1992, 2, 7–28. [Google Scholar] [CrossRef]
- Santoro, M.; Eriksson, L.E.B.; Fransson, J.E.S. Reviewing ALOS PALSAR backscatter observations for stem volume retrieval in Swedish forest. Remote Sens. 2015, 7, 4290–4317. [Google Scholar] [CrossRef]
- Behera, M.; Tripathi, P.; Mishra, B.; Kumar, S.; Chitale, V.; Behera, S.K. Above-ground biomass and carbon estimates of Shorea robusta and Tectona grandis forests using QuadPOL ALOS PALSAR data. Adv. Sp. Res. 2015, 57, 552–561. [Google Scholar] [CrossRef]
- Santoro, M.; Wegmüller, U.; Askne, J. Forest stem volume estimation using C-band interferometric SAR coherence data of the ERS-1 mission 3-days repeat-interval phase. Remote Sens. Environ. 2018, 216, 684–696. [Google Scholar] [CrossRef]
- Pulliainen, J.T.; Kurvonen, L.; Hallikainen, M.T. Multitemporal behavior of L-and C-band SAR observations of boreal forests. IEEE Trans. Geosci. Remote Sens. 1999, 37, 927–937. [Google Scholar] [CrossRef]
- Ranson, K.J.; Sun, G.; Weishampel, J.F.; Knox, R.G. Forest biomass from combined ecosystem and radar backscatter modeling. Remote Sens. Environ. 1997, 59, 118–133. [Google Scholar] [CrossRef]
- Kumar, S.; Pandey, U.; Kushwaha, S.P.; Chatterjee, R.S.; Bijker, W. Aboveground biomass estimation of tropical forest from Envisat advanced synthetic aperture radar data using modeling approach. J. Appl. Remote Sens. 2012, 6, 063588. [Google Scholar] [CrossRef]
- Imhoff, M.L. Theoretical analysis of the effect of forest structure on synthetic aperture radar backscatter and the remote sensing of biomass. IEEE Trans. Geosci. Remote Sens. 1995, 33, 341–352. [Google Scholar] [CrossRef]
- Ulaby, F.T.; Sarabandi, K.; McDolad, K.; Whitt, M.; Dobson, M.C. Michigan microwave canopy scattering model. Int. J. Remote Sens. 1990, 11, 1223–1253. [Google Scholar] [CrossRef]
- Kumar, S. Retrieval of Forest Parameters from ENVISAT ASAR Data for Biomass Inventory in Dudhwa National Park, U.P., India; ITC, International Institute for geo-information science and earth observation: Enschede, The Netherlands, 2009. [Google Scholar]
- India, F.S. Volume Equations for Forests of India, Nepal and Bhutan; Ministry of Environment and Forests (MOEF), Govt. of India: Dehradun, India, 1996.
- Wright, P.A.; Quegan, S.; Wheadon, N.S.; Hall, C.D. Faraday rotation effects on L-band spaceborne SAR data. IEEE Trans. Geosci. Remote Sens. 2003, 41, 2735–2744. [Google Scholar] [CrossRef]
- Gail, W.B. Effect of Faraday rotation on polarimetric SAR. IEEE Trans. Aerosp. Electron. Syst. 1998, 34, 301–308. [Google Scholar] [CrossRef]
- Li, J.; Ji, Y.; Zhang, Y.; Zhang, Q.; Huang, H.; Dong, Z. A Novel Strategy of Ambiguity Correction for the Improved Faraday Rotation Estimator in Linearly Full-Polarimetric SAR Data. Sensors 2018, 18, 1158. [Google Scholar] [CrossRef] [PubMed]
- Bickel, S.; Bates, R.H. Effects of Magneto-Ionic Propagation on the Polarization Scattering Matrix. Proc. IEEE 1965, 53, 1089–1091. [Google Scholar] [CrossRef]
- Small, D.; Schubert, A. Guide to ASAR Geocoding. RSL-ASAR-GC-AD 2008, 36. Available online: http://www.geo.uzh.ch/microsite/rsl-documents/research/publications/other-sci-communications/2008_RSL-ASAR-GC-AD-v101-0335607552/2008_RSL-ASAR-GC-AD-v101.pdf (accessed on 30 April 2008).
- European Space Agency (ESA) Sentinel Application Platform (SNAP) V 6.0. Available online: https://step.esa.int/main/toolboxes/snap/ (accessed on 14 September 2018).
- Woodhouse, I.H. Introduction to Microwave Remote Sensing; CRC Press, Taylor & Fancis Group: New Delhi, India, 2009. [Google Scholar]
- Touzi, R. Polarimetric target scattering decomposition: A review. In Proceedings of the 2016 IEEE International Geoscience and Remote Sensing Symposium (IGARSS), Beijing, China, 10–15 July 2016; pp. 5658–5661. [Google Scholar]
- Cloude, S.R.; Pottier, E. A review of target decomposition theorems in radar polarimetry. IEEE Trans. Geosci. Remote Sens. 1996, 34, 498–518. [Google Scholar] [CrossRef]
- Cameron, W.L.; Youssef, N.N.; Leung, L.K. Simulated polarimetric signatures of primitive geometrical shapes. IEEE Trans. Geosci. Remote Sens. 1996, 34, 793–803. [Google Scholar] [CrossRef]
- Touzi, R.; Charbonneau, F. Characterization of target symmetric scattering using polarimetric SARs. IEEE Trans. Geosci. Remote Sens. 2002, 40, 2507–2516. [Google Scholar] [CrossRef]
- Corr, D.G.; Rodrigues, A.F. Alternative basis matrices for polarimetric decomposition. In Proceedings of the 4th European Union Conference on Synthetic Aperture Radar (EUSAR), Cologne, Germany, 4–6 June 2002; 2002; pp. 597–600. [Google Scholar]
- Touzi, R.; Landry, R.; Charbonneau, F.J. Forest type discrimination using calibrated C-band polarimetric SAR data. Can. J. Remote Sens. 2004, 30, 543–551. [Google Scholar] [CrossRef]
- Li, H.; Li, Q.; Wu, G.; Chen, J.; Liang, S. The Impacts of Building Orientation on Polarimetric Orientation Angle Estimation and Model-Based Decomposition for Multilook Polarimetric SAR Data in Urban Areas. IEEE Trans. Geosci. Remote Sens. 2016, 54, 5520–5532. [Google Scholar] [CrossRef]
- Souissi, B.; Ouarzeddine, M. Polarimetric SAR Data Correction and Terrain Topography Measurement Based on the Radar Target Orientation Angle. J. Indian Soc. Remote Sens. 2016, 44, 335–349. [Google Scholar] [CrossRef]
- Kimura, H. Calibration of Polarimetric PALSAR Imagery Affected by Faraday Rotation Using Polarization Orientation. IEEE Trans. Geosci. Remote Sens. 2009, 47, 3943–3950. [Google Scholar] [CrossRef]
- Lee, J.S.; Schuler, D.L.; Ainsworth, T.L. Polarimetric SAR data compensation for terrain azimuth slope variation. IEEE Trans. Geosci. Remote Sens. 2000, 38, 2153–2163. [Google Scholar]
- Yamaguchi, Y.; Sato, A.; Sato, R.; Yamada, H.; Boerner, W.M. Four-component scattering power decomposition with rotation of coherency matrix. In Proceedings of the International Geoscience and Remote Sensing Symposium (IGARSS), Munich, Grammy, 22–27 July 2010; pp. 1327–1330. [Google Scholar]
- Agrawal, N. Polinsar Based Scattering Information Retrieval for Forest Aboveground Biomass Estimation; University of Twente Faculty of Geo-Information and Earth Observation (ITC): Enschede, The Netherlands, 2015. [Google Scholar]
- Attema, E.P.W.; Ulaby, F.T. Vegetation modeled as a water cloud. Radio Sci. 1978, 13, 357–364. [Google Scholar] [CrossRef]
- Santoro, M.; Askne, J.; Smith, G.; Fransson, J.E.S. Stem volume retrieval in boreal forests from ERS-1/2 interferometry. Remote Sens. Environ. 2002, 81, 19–35. [Google Scholar] [CrossRef]
- Van Leeuwen, H.J.C. Multifrequency and Multitemporal Analysis of Scaiterometer Radar Data with Respect to Agricultural Crops Using the Cloud Model. In Proceedings of the GARSS′91 Remote Sensing: Global Monitoring for Earth Management, Espoo, Finland, 3–6 June 1991; Volume 4, pp. 1893–1897. [Google Scholar]
- Santoro, M.; Beaudoin, A.; Beer, C.; Cartus, O.; Fransson, J.E.S.; Hall, R.J.; Pathe, C.; Schmullius, C.; Schepaschenko, D.; Shvidenko, A.; et al. Forest growing stock volume of the northern hemisphere: Spatially explicit estimates for 2010 derived from Envisat ASAR. Remote Sens. Environ. 2015, 168, 316–334. [Google Scholar] [CrossRef]
- Bharadwaj, P.S.; Kumar, S.; Kushwaha, S.P.S.; Bijker, W. Polarimetric scattering model for estimation of above ground biomass of multilayer vegetation using ALOS-PALSAR quad-pol data. Phys. Chem. Earth Parts A/B/C 2015, 83–84, 187–195. [Google Scholar] [CrossRef]
- Richards, J.A.; Sun, G.-Q.; Simonett, D.S. L-Band Radar Backscatter Modeling of Forest Stands. IEEE Trans. Geosci. Remote Sens. 1987, GE-25, 487–498. [Google Scholar] [CrossRef]
- Michelakis, D.; Stuart, N.; Brolly, M.; Woodhouse, I.H.; Lopez, G.; Linares, V. Estimation of woody biomass of pine savanna woodlands from ALOS PALSAR imagery. IEEE J. Sel. Top. Appl. Earth Obs. Remote Sens. 2015, 8, 244–254. [Google Scholar] [CrossRef]
- Santi, E.; Paloscia, S.; Pettinato, S.; Fontanelli, G.; Mura, M.; Zolli, C.; Maselli, F.; Chiesi, M.; Bottai, L.; Chirici, G. The potential of multifrequency SAR images for estimating forest biomass in Mediterranean areas. Remote Sens. Environ. 2017, 200, 63–73. [Google Scholar] [CrossRef]
- Peregon, A.; Yamagata, Y. The use of ALOS/PALSAR backscatter to estimate above-ground forest biomass: A case study in Western Siberia. Remote Sens. Environ. 2013, 137, 139–146. [Google Scholar] [CrossRef]
















| Forest Type | No. of Plots |
|---|---|
| Sal (Shorea robusta) forest and mixed sal forest | 90 |
| Mixed forest | 24 |
| Teak plantation | 24 |
| Sisham (Dalbergia sissoo) plantation | 16 |
| Eucalyptus plantation | 8 |
| Jamun (Syzygium cumini) forest | 8 |
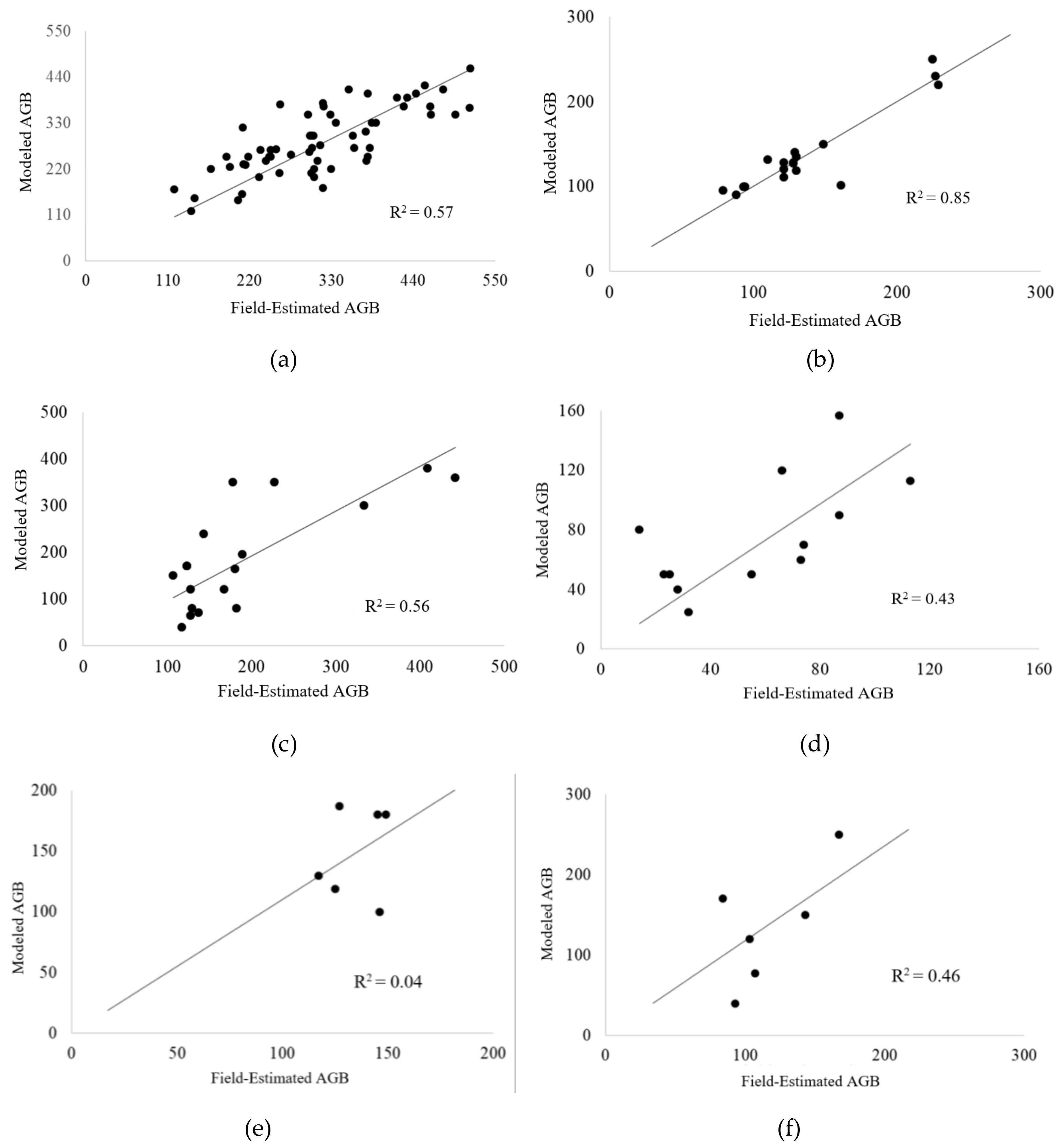
| Forest Type | Coefficient of Determination (R2) | Root Mean Square Error (RMSE) in tons/ha |
|---|---|---|
| Sal (Shorea robusta) forest and mixed sal forest | 0.58 | 68.82 |
| Mixed forest | 0.86 | 17.58 |
| Teak plantation | 0.57 | 74.02 |
| Sisham (Dalbergia sisoo) plantation | 0.44 | 34.08 |
| Eucalyptus plantation | 0.046 | 36.76 |
| Jamun (Syzygium cumini) forest | 0.46 | 55.27 |
© 2019 by the authors. Licensee MDPI, Basel, Switzerland. This article is an open access article distributed under the terms and conditions of the Creative Commons Attribution (CC BY) license (http://creativecommons.org/licenses/by/4.0/).
Share and Cite
Kumar, S.; Garg, R.D.; Govil, H.; Kushwaha, S.P.S. PolSAR-Decomposition-Based Extended Water Cloud Modeling for Forest Aboveground Biomass Estimation. Remote Sens. 2019, 11, 2287. https://doi.org/10.3390/rs11192287
Kumar S, Garg RD, Govil H, Kushwaha SPS. PolSAR-Decomposition-Based Extended Water Cloud Modeling for Forest Aboveground Biomass Estimation. Remote Sensing. 2019; 11(19):2287. https://doi.org/10.3390/rs11192287
Chicago/Turabian StyleKumar, Shashi, Rahul D. Garg, Himanshu Govil, and Satya P. S. Kushwaha. 2019. "PolSAR-Decomposition-Based Extended Water Cloud Modeling for Forest Aboveground Biomass Estimation" Remote Sensing 11, no. 19: 2287. https://doi.org/10.3390/rs11192287
APA StyleKumar, S., Garg, R. D., Govil, H., & Kushwaha, S. P. S. (2019). PolSAR-Decomposition-Based Extended Water Cloud Modeling for Forest Aboveground Biomass Estimation. Remote Sensing, 11(19), 2287. https://doi.org/10.3390/rs11192287

