Early Detection of Invasive Exotic Trees Using UAV and Manned Aircraft Multispectral and LiDAR Data
Abstract
1. Introduction
2. Materials and Methods
2.1. Study Site
2.2. Field Data
2.3. Remotely Sensed Data
2.3.1. Manned Aircraft Data
2.3.2. UAV Data
2.3.3. Data Processing
2.4. Supervised Classification
2.5. Accuracy Assessment
3. Results
3.1. Field Data
3.2. Training Data
3.3. Model Development
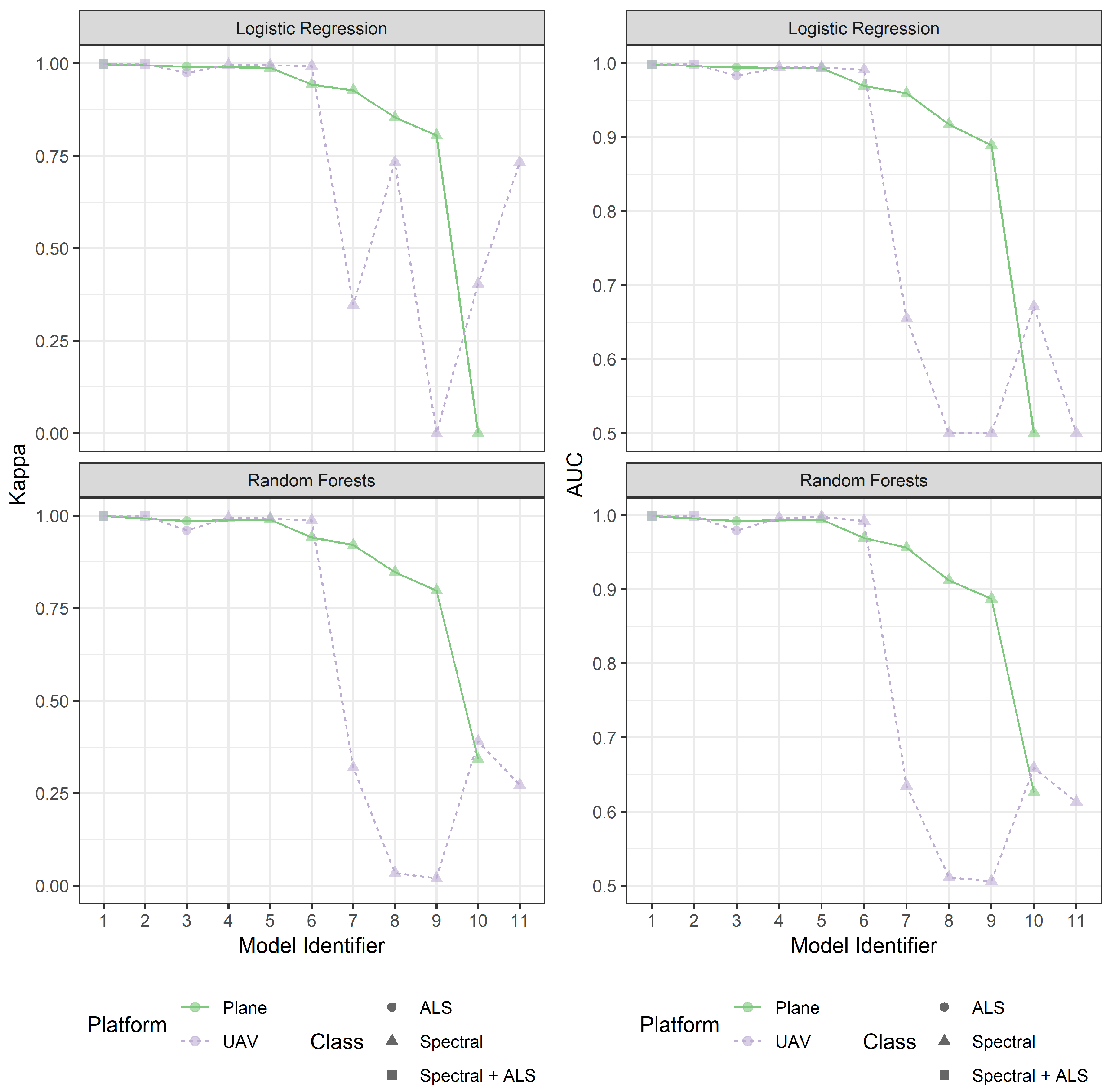
3.4. Independent Validation
4. Discussions
5. Conclusions
Author Contributions
Funding
Acknowledgments
Conflicts of Interest
References
- Farjon, A. A Natural History of Conifers; Timber Press: Portland, OR, USA, 2008. [Google Scholar]
- Dash, J.P.; Moore, J.R.; Lee, J.R.; Klápště, J.; Dungey, H.S. Stand density and genetic improvement have site-specific effects on the economic returns from Pinus radiata plantations. For. Ecol. Manag. 2019, 446, 80–92. [Google Scholar] [CrossRef]
- Watt, M.S.; Kimberley, M.O.; Dash, J.P.; Harrison, D.; Monge, J.J.; Dowling, L. The economic impact of optimising final stand density for structural saw log production on the value of the New Zealand plantation estate. For. Ecol. Manag. 2017, 406, 361–369. [Google Scholar] [CrossRef]
- Yao, R.T.; Scarpa, R.; Turner, J.A.; Barnard, T.D.; Rose, J.M.; Palma, J.H.N.; Harrison, D.R. Valuing biodiversity enhancement in New Zealand’s planted forests: Socioeconomic and spatial determinants of willingness-to-pay. Ecol. Econ. 2014, 98, 90–101. [Google Scholar] [CrossRef]
- Brockerhoff, E.G.; Jactel, H.; Parrotta, J.A.; Quine, C.P.; Sayer, J. Plantation forests and biodiversity: Oxymoron or opportunity? Biodivers. Conserv. 2008, 17, 925–951. [Google Scholar] [CrossRef]
- Stephens, S.S.; Wagner, M.R. Forest Plantations and Biodiversity: A Fresh Perspective. J. For. 2007, 105, 307–313. [Google Scholar] [CrossRef]
- Winjum, J.K.; Schroeder, P.E. Forest plantations of the world: Their extent, ecological attributes, and carbon storage. Agric. For. Meteorol. 1997, 84, 153–167. [Google Scholar] [CrossRef]
- Van Minnen, J.G.; Strengers, B.J.; Eickhout, B.; Swart, R.J.; Leemans, R. Quantifying the effectiveness of climate change mitigation through forest plantations and carbon sequestration with an integrated land-use model. Carbon Balance Manag. 2008, 3, 3. [Google Scholar] [CrossRef] [PubMed]
- Payn, T.; Carnus, J.M.; Freer-Smith, P.; Kimberley, M.; Kollert, W.; Liu, S.; Orazio, C.; Rodriguez, L.; Silva, L.N.; Wingfield, M.J. Changes in planted forests and future global implications. For. Ecol. Manag. 2015, 352, 57–67. [Google Scholar] [CrossRef]
- Richardson, D.M.; Hui, C.; Nuñez, M.A.; Pauchard, A. Tree invasions: Patterns, processes, challenges and opportunities. Biol. Invasions 2014, 16, 473–481. [Google Scholar] [CrossRef]
- Nuñez, M.A.; Chiuffo, M.C.; Torres, A.; Paul, T.; Dimarco, R.D.; Raal, P.; Policelli, N.; Moyano, J.; García, R.A.; Wilgen, B.W.V.; et al. Ecology and management of invasive Pinaceae around the world: Progress and challenges. Biol. Invasions 2017, 19, 3099–3120. [Google Scholar] [CrossRef]
- Dainese, M.; Aikio, S.; Hulme, P.E.; Bertolli, A.; Prosser, F.; Marini, L. Human disturbance and upward expansion of plants in a warming climate. Nat. Clim. Chang. 2017, 7, 577–580. [Google Scholar] [CrossRef]
- Rejmánek, M. Invasive trees and shrubs: Where do they come from and what we should expect in the future? Biol. Invasions 2014, 16, 483–498. [Google Scholar] [CrossRef]
- Richardson, D.M.; Rejmánek, M. Trees and shrubs as invasive alien species—A global review. Divers. Distrib. 2011, 17, 788–809. [Google Scholar] [CrossRef]
- Rejmánek, M.; Richardson, D.M. Trees and shrubs as invasive alien species—2013 update of the global database. Divers. Distrib. 2013, 19, 1093–1094. [Google Scholar] [CrossRef]
- NZFOA. New Zealand Plantation Forest Industry Facts and Figures; Technical Report; New Zealand Forest Owners Association: Wellington, New Zealand, 2016. [Google Scholar]
- Ledgard, N.J. Wilding conifers—New Zealand history and research background. In Managing Wilding Conifers in New Zealand: Present and Future; Hill, R., Zydenbos, S., Bezar, C., Eds.; New Zealand Plant Protection Society Inc.: Christchurch, New Zealand, 2003. [Google Scholar]
- Peltzer, D.A. Ecology and consequences of invasion by non-native (wilding) conifers in New Zealand. J. N. Z. Grassl. 2018, 80, 39–46. [Google Scholar]
- Howell, C.J.; McAlpine, K.G. Native plant species richness in non-native Pinus contorta forest. N. Z. J. Ecol. 2016, 40, 131–136. [Google Scholar] [CrossRef]
- Ledgard, N. Wilding control guidelines for farmers and land managers. N. Z. Plant Prot. 2009, 62, 380–386. [Google Scholar]
- Anon. The Right Tree in the Right Place—New Zealand Wilding Conifer Management Strategy 2015–2030; Ministry for Primary Industries: Wellington, New Zealand, 2011. [Google Scholar]
- Dash, J.P.; Pearse, G.D.; Watt, M.S.; Paul, T. Combining Airborne Laser Scanning and Aerial Imagery Enhances Echo Classification for Invasive Conifer Detection. Remote Sens. 2017, 9, 156. [Google Scholar] [CrossRef]
- Andrew, M.E.; Ustin, S.L. The role of environmental context in mapping invasive plants with hyperspectral image data. Remote Sens. Environ. 2008, 112, 4301–4317. [Google Scholar] [CrossRef]
- Woods, D. The highs and lows of wilding conifer control operations: The good, the bad and the ugly! In Managing Wilding Conifers in New Zealand-Present and Future, Proceedings of the NZ Plant Protection Society Workshop, Christchurch, New Zealand, 11 August 2003; Hill, R.l., Zydenbos, S.M., Bezar, C.M., Eds.; NZPPS: Auckland, New Zealand, 2003; pp. 55–63. ISBN 0-478-10842-7. [Google Scholar]
- Cochrane, P.; Grove, P. Exotic Wilding Conifer Spread within Defined Areas of Canterbury High Counrty; Environment Canterbury: Christchurch, New Zealand, 2013. [Google Scholar]
- Hestir, E.L.; Khanna, S.; Andrew, M.E.; Santos, M.J.; Viers, J.H.; Greenberg, J.A.; Rajapakse, S.S.; Ustin, S.L. Identification of invasive vegetation using hyperspectral remote sensing in the California Delta ecosystem. Remote Sens. Environ. 2008, 112, 4034–4047. [Google Scholar] [CrossRef]
- Hall, S.J.; Asner, G.P. Biological invasion alters regional nitrogen-oxide emissions from tropical rainforests. Glob. Chang. Biol. 2007, 13, 2143–2160. [Google Scholar] [CrossRef]
- Underwood, E.; Ustin, S.; DiPietro, D. Mapping nonnative plants using hyperspectral imagery. Remote Sens. Environ. 2003, 86, 150–161. [Google Scholar] [CrossRef]
- Piiroinen, R.; Fassnacht, F.E.; Heiskanen, J.; Maeda, E.; Mack, B.; Pellikka, P. Invasive tree species detection in the Eastern Arc Mountains biodiversity hotspot using one class classification. Remote Sens. Environ. 2018, 218, 119–131. [Google Scholar] [CrossRef]
- Lopatin, J.; Dolos, K.; Kattenborn, T.; Fassnacht, F.E. How canopy shadow affects invasive plant species classification in high spatial resolution remote sensing. Remote Sens. Ecol. Conserv. 2019. [Google Scholar] [CrossRef]
- Sprague, R.; Godsoe, W.; Hulme, P.E. Assessing the utility of aerial imagery to quantify the density, age structure and spatial pattern of alien conifer invasions. Biol. Invasions 2019. [Google Scholar] [CrossRef]
- Næsset, E.; Nelson, R. Using airborne laser scanning to monitor tree migration in the boreal—Alpine transition zone. Remote Sens. Environ. 2007, 110, 357–369. [Google Scholar] [CrossRef]
- Stumberg, N.; Ørka, H.O.; Bollandsås, O.M.; Gobakken, T.; Næsset, E. Classifying tree and nontree echoes from airborne laser scanning in the forest—Tundra ecotone. Can. J. Remote Sens. 2013, 38, 655–666. [Google Scholar] [CrossRef]
- Hantson, W.; Kooistra, L.; Slim, P.A. Mapping invasive woody species in coastal dunes in the Netherlands: a remote sensing approach using LIDAR and high-resolution aerial photographs. Appl. Veg. Sci. 2012, 15, 536–547. [Google Scholar] [CrossRef]
- Rees, W.G. Characterisation of Arctic treelines by LiDAR and multispectral imagery. Polar Rec. 2007, 43, 345–352. [Google Scholar] [CrossRef]
- Thieme, N.; Martin Bollandsås, O.; Gobakken, T.; Næsset, E. Detection of small single trees in the forest–tundra ecotone using height values from airborne laser scanning. Can. J. Remote Sens. 2011, 37, 264–274. [Google Scholar] [CrossRef]
- Stumberg, N.; Bollandsås, O.M.; Gobakken, T.; Næsset, E. Automatic Detection of Small Single Trees in the Forest-Tundra Ecotone Using Airborne Laser Scanning. Remote Sens. 2014, 6, 10152–10170. [Google Scholar] [CrossRef]
- Næsset, E. Influence of terrain model smoothing and flight and sensor configurations on detection of small pioneer trees in the boreal—Alpine transition zone utilizing height metrics derived from airborne scanning lasers. Remote Sens. Environ. 2009, 113, 2210–2223. [Google Scholar] [CrossRef]
- Stumberg, N.; Hauglin, M.; Bollandsås, O.M.; Gobakken, T.; Næsset, E. Improving Classification of Airborne Laser Scanning Echoes in the Forest-Tundra Ecotone Using Geostatistical and Statistical Measures. Remote Sens. 2014, 6, 4582–4599. [Google Scholar] [CrossRef]
- Zimmermann, H.; Von Wehrden, H.; Damascos, M.A.; Bran, D.; Welk, E.; Renison, D.; Hensen, I. Habitat invasion risk assessment based on Landsat 5 data, exemplified by the shrub Rosa rubiginosa in southern Argentina. Austral Ecol. 2011, 36, 870–880. [Google Scholar] [CrossRef]
- Homer, C.G.; Aldridge, C.L.; Meyer, D.K.; Schell, S.J. Multi-scale remote sensing sagebrush characterization with regression trees over Wyoming, USA: Laying a foundation for monitoring. Int. J. Appl. Earth Obs. Geoinf. 2012, 14, 233–244. [Google Scholar] [CrossRef]
- Singh, N.; Glenn, N.F. Multitemporal spectral analysis for cheatgrass (Bromus tectorum) classification. Int. J. Remote Sens. 2009, 30, 3441–3462. [Google Scholar] [CrossRef]
- Pouteau, R.; Meyer, J.Y.; Stoll, B. A SVM-based model for predicting distribution of the invasive tree Miconia calvescens in tropical rainforests. Ecol. Model. 2011, 222, 2631–2641. [Google Scholar] [CrossRef]
- Xu, C.; Morgenroth, J.; Manley, B. Integrating Data from Discrete Return Airborne LiDAR and Optical Sensors to Enhance the Accuracy of Forest Description: A Review. Curr. For. Rep. 2015, 1, 206–219. [Google Scholar] [CrossRef]
- Barbosa, J.M.; Asner, G.P.; Hughes, R.F.; Johnson, M.T. Landscape-scale GPP and carbon density inform patterns and impacts of an invasive tree across wet forests of Hawaii. Ecol. Appl. 2017, 27, 403–415. [Google Scholar] [CrossRef]
- Hauglin, M.; Ørka, H.O. Discriminating between Native Norway Spruce and Invasive Sitka Spruce— A Comparison of Multitemporal Landsat 8 Imagery, Aerial Images and Airborne Laser Scanner Data. Remote Sens. 2016, 8, 363. [Google Scholar] [CrossRef]
- Ghulam, A.; Porton, I.; Freeman, K. Detecting subcanopy invasive plant species in tropical rainforest by integrating optical and microwave (InSAR/PolInSAR) remote sensing data, and a decision tree algorithm. ISPRS J. Photogramm. Remote Sens. 2014, 88, 174–192. [Google Scholar] [CrossRef]
- Alves Aguiar, D.; Adami, M.; Fernando Silva, W.; Friedrich Theodor Rudorff, B.; Pupin Mello, M.; dos Santos Vila da Silva, J. Modis time series to assess pasture land. In Proceedings of the 2010 IEEE International Geoscience and Remote Sensing Symposium, Honolulu, HI, USA, 25–30 July 2010; pp. 2123–2126. [Google Scholar] [CrossRef]
- Kattenborn, T.; Lopatin, J.; Förster, M.; Braun, A.C.; Fassnacht, F.E. UAV data as alternative to field sampling to map woody invasive species based on combined Sentinel-1 and Sentinel-2 data. Remote Sens. Environ. 2019, 227, 61–73. [Google Scholar] [CrossRef]
- Perroy, R.L.; Sullivan, T.; Stephenson, N. Assessing the impacts of canopy openness and flight parameters on detecting a sub-canopy tropical invasive plant using a small unmanned aerial system. ISPRS J. Photogramm. Remote Sens. 2017, 125, 174–183. [Google Scholar] [CrossRef]
- Mafanya, M.; Tsele, P.; Botai, J.; Manyama, P.; Swart, B.; Monate, T. Evaluating pixel and object based image classification techniques for mapping plant invasions from UAV derived aerial imagery: Harrisia pomanensis as a case study. ISPRS J. Photogramm. Remote Sens. 2017, 129, 1–11. [Google Scholar] [CrossRef]
- De Sá, N.C.; Castro, P.; Carvalho, S.; Marchante, E.; López-Núñez, F.A.; Marchante, H. Mapping the Flowering of an Invasive Plant Using Unmanned Aerial Vehicles: Is There Potential for Biocontrol Monitoring? Front. Plant Sci. 2018, 9. [Google Scholar] [CrossRef]
- Schneider, L.C.; Fernando, D.N. An Untidy Cover: Invasion of Bracken Fern in the Shifting Cultivation Systems of Southern Yucatán, Mexico. Biotropica 2010, 42, 41–48. [Google Scholar] [CrossRef]
- De Sá, N.C.; Carvalho, S.; Castro, P.; Marchante, E.; Marchante, H. Using Landsat Time Series to Understand How Management and Disturbances Influence the Expansion of an Invasive Tree. IEEE J. Sel. Top. Appl. Earth Obs. Remote Sens. 2017, 10, 3243–3253. [Google Scholar] [CrossRef]
- Oliphant, A.J.; Wynne, R.H.; Zipper, C.E.; Ford, W.M.; Donovan, P.F.; Li, J. Autumn olive (Elaeagnus umbellata) presence and proliferation on former surface coal mines in Eastern USA. Biol. Invasions 2017, 19, 179–195. [Google Scholar] [CrossRef]
- Lantz, N.J.; Wang, J. Object-based classification of Worldview-2 imagery for mapping invasive common reed, Phragmites australis. Can. J. Remote Sens. 2013, 39, 328–340. [Google Scholar] [CrossRef]
- Khare, S.; Latifi, H.; Ghosh, S.K. Multi-scale assessment of invasive plant species diversity using Pléiades 1A, RapidEye and Landsat-8 data. Geocarto Int. 2017, 33, 681–698. [Google Scholar] [CrossRef]
- Ng, W.T.; Rima, P.; Einzmann, K.; Immitzer, M.; Atzberger, C.; Eckert, S. Assessing the Potential of Sentinel-2 and Pléiades Data for the Detection of Prosopis and Vachellia spp. in Kenya. Remote Sens. 2017, 9, 74. [Google Scholar] [CrossRef]
- Dronova, I.; Spotswood, E.N.; Suding, K.N. Opportunities and Constraints in Characterizing Landscape Distribution of an Invasive Grass from Very High Resolution Multi-Spectral Imagery. Front. Plant Sci. 2017, 8, 890. [Google Scholar] [CrossRef]
- Bhattarai, G.P.; Cronin, J.T. Hurricane Activity and the Large-Scale Pattern of Spread of an Invasive Plant Species. PLoS ONE 2014, 9, e98478. [Google Scholar] [CrossRef]
- Mirik, M.; Chaudhuri, S.; Surber, B.; Ale, S.; James Ansley, R. Detection of two intermixed invasive woody species using color infrared aerial imagery and the support vector machine classifier. J. Appl. Remote Sens. 2013, 7, 073588. [Google Scholar] [CrossRef]
- Skowronek, S.; Ewald, M.; Isermann, M.; Kerchove, R.V.D.; Lenoir, J.; Aerts, R.; Warrie, J.; Hattab, T.; Honnay, O.; Schmidtlein, S.; et al. Mapping an invasive bryophyte species using hyperspectral remote sensing data. Biol. Invasions 2017, 19, 239–254. [Google Scholar] [CrossRef]
- Skowronek, S.; Asner, G.P.; Feilhauer, H. Performance of one-class classifiers for invasive species mapping using airborne imaging spectroscopy. Ecol. Inform. 2017, 37, 66–76. [Google Scholar] [CrossRef]
- Chance, C.M.; Coops, N.C.; Crosby, K.; Aven, N. Spectral Wavelength Selection and Detection of Two Invasive Plant Species in an Urban Area. Can. J. Remote Sens. 2016, 42, 27–40. [Google Scholar] [CrossRef]
- Amaral, C.H.; Roberts, D.A.; Almeida, T.I.R.; Souza Filho, C.R. Mapping invasive species and spectral mixture relationships with neotropical woody formations in southeastern Brazil. ISPRS J. Photogramm. Remote Sens. 2015, 108, 80–93. [Google Scholar] [CrossRef]
- Calviño-Cancela, M.; Méndez-Rial, R.; Reguera-Salgado, J.; Martín-Herrero, J. Alien Plant Monitoring with Ultralight Airborne Imaging Spectroscopy. PLoS ONE 2014, 9, e102381. [Google Scholar] [CrossRef]
- Ishii, J.; Washitani, I. Early detection of the invasive alien plant Solidago altissima in moist tall grassland using hyperspectral imagery. Int. J. Remote Sens. 2013, 34, 5926–5936. [Google Scholar] [CrossRef]
- Mirik, M.; Ansley, R.J.; Steddom, K.; Jones, D.C.; Rush, C.M.; Michels, G.J.; Elliott, N.C. Remote Distinction of A Noxious Weed (Musk Thistle: CarduusNutans) Using Airborne Hyperspectral Imagery and the Support Vector Machine Classifier. Remote Sens. 2013, 5, 612–630. [Google Scholar] [CrossRef]
- Dash, J.P.; Watt, M.S.; Pearse, G.D.; Heaphy, M.; Dungey, H.S. Assessing very high resolution UAV imagery for monitoring forest health during a simulated disease outbreak. ISPRS J. Photogramm. Remote Sens. 2017, 131, 1–14. [Google Scholar] [CrossRef]
- Dash, J.P.; Pearse, G.D.; Watt, M.S. UAV Multispectral Imagery Can Complement Satellite Data for Monitoring Forest Health. Remote Sens. 2018, 10, 1216. [Google Scholar] [CrossRef]
- Heaphy, M.; Watt, M.S.; Dash, J.P.; Pearse, G.D. UAVs for data collection—Plugging the gap. N. Z. J. For. 2017, 62, 23–30. [Google Scholar]
- Lishawa, S.C.; Carson, B.D.; Brandt, J.S.; Tallant, J.M.; Reo, N.J.; Albert, D.A.; Monks, A.M.; Lautenbach, J.M.; Clark, E. Mechanical Harvesting Effectively Controls Young Typha spp. Invasion and Unmanned Aerial Vehicle Data Enhances Post-treatment Monitoring. Front. Plant Sci. 2017, 8. [Google Scholar] [CrossRef]
- Lehmann, J.R.K.; Prinz, T.; Ziller, S.R.; Thiele, J.; Heringer, G.; Meira-Neto, J.A.A.; Buttschardt, T.K. Open-Source Processing and Analysis of Aerial Imagery Acquired with a Low-Cost Unmanned Aerial System to Support Invasive Plant Management. Front. Environ. Sci. 2017, 5, 44. [Google Scholar] [CrossRef]
- Dvořák, P.; Müllerová, J.; Bartaloš, T.; Brůna, J. Unmanned aerial vehicles for alien plant species detection and monitoring. ISPRS Int. Arch. Photogramm. Remote Sens. Spat. Inf. Sci. XL-1/W4, 83–90. [CrossRef]
- Alvarez-Taboada, F.; Paredes, C.; Julián-Pelaz, J. Mapping of the Invasive Species Hakea sericea Using Unmanned Aerial Vehicle (UAV) and WorldView-2 Imagery and an Object-Oriented Approach. Remote Sens. 2017, 9, 913. [Google Scholar] [CrossRef]
- Martin, F.M.; Müllerová, J.; Borgniet, L.; Dommanget, F.; Breton, V.; Evette, A. Using Single- and Multi-Date UAV and Satellite Imagery to Accurately Monitor Invasive Knotweed Species. Remote Sens. 2018, 10, 1662. [Google Scholar] [CrossRef]
- Bryson, M.; Reid, A.; Ramos, F.; Sukkarieh, S. Airborne vision-based mapping and classification of large farmland environments. J. Field Robot. 2010, 27, 632–655. [Google Scholar] [CrossRef]
- Vaz, A.S.; Alcaraz-Segura, D.; Campos, J.C.; Vicente, J.R.; Honrado, J.P. Managing plant invasions through the lens of remote sensing: A review of progress and the way forward. Sci. Total Environ. 2018, 642, 1328–1339. [Google Scholar] [CrossRef]
- Juanes, F. Visual and acoustic sensors for early detection of biological invasions: Current uses and future potential. J. Nat. Conserv. 2018, 42, 7–11. [Google Scholar] [CrossRef]
- Wong, T.T. Performance evaluation of classification algorithms by k-fold and leave-one-out cross validation. Pattern Recognit. 2015, 48, 2839–2846. [Google Scholar] [CrossRef]
- Immitzer, M.; Vuolo, F.; Atzberger, C. First Experience with Sentinel-2 Data for Crop and Tree Species Classifications in Central Europe. Remote Sens. 2016, 8, 166. [Google Scholar] [CrossRef]
- Roussel, J.R.; Auty, D. lidR: Airborne LiDAR Data Manipulation and Visualization for Forestry Applications, R package version 2.0.3. 2018. Available online: https://CRAN.R-project.org/package=lidR (accessed on 20 July 2019).
- R Core Team. R: A Language and Environment for Statistical Computing; R Foundation for Statistical Computing: Vienna, Austria, 2018. [Google Scholar]
- GDAL Development Team. GDAL—Geospatial Data Abstraction Library, Version 2.02; Open Source Geospatial Foundation: Beaverton, OR, USA, 2016. [Google Scholar]
- Breiman, L. Random Forests. Mach. Learn. 2001, 45, 5–32. [Google Scholar] [CrossRef]
- Kuhn, M. Caret: Classification and Regression Training, R package version 6.0-84. 2018. Available online: https://CRAN.R-project.org/package=caret (accessed on 20 July 2019).
- Wright, M.N.; Ziegler, A. Ranger: A Fast Implementation of Random Forests for High Dimensional Data in C++ and R. J. Stat. Softw. 2017, 77, 1–17. [Google Scholar] [CrossRef]
- Cohen, J. A Coefficient of Agreement for Nominal Scales. Educ. Psychol. Meas. 1960, 20, 37–46. [Google Scholar] [CrossRef]






| Model ID | Features | Model Class |
|---|---|---|
| 1 | Blue, Green, Red, Near-infrared, CHM height | Spectral + ALS |
| 2 | Blue, Green, Red, Red edge, Near-infrared, CHM height | Spectral + ALS |
| 3 | CHM height | ALS |
| 4 | Blue, Green, Red, Red edge, Near-infrared | Spectral |
| 5 | Blue, Green, Red, Near-infrared | Spectral |
| 6 | Blue, Green, Red, | Spectral |
| 7 | Red | Spectral |
| 8 | Green | Spectral |
| 9 | Blue | Spectral |
| 10 | Near-infrared | Spectral |
| 11 | Red Edge | Spectral |
| Platform | Sensor | Point Density | Point Spacing | Altitude (m) | Returns |
|---|---|---|---|---|---|
| UAV | Velodyne HDL32e | 121 | 0.09 | 60 | 1 |
| Manned | Leica ALS60 | 8.28 | 0.35 | 800 | 5 |
| Species | n | Mean Height (cm) | Mean Crown Width (cm) |
|---|---|---|---|
| P. ponderosa | 6621 | 40.90 (2–369) | 46.59 (1–228) |
| P. sylvestris | 10,032 | 95.76 (1–476) | 102.60 (1–325) |
| Model ID | Platform | Class | Classifier | Kappa | Sensitivity | Specificity |
|---|---|---|---|---|---|---|
| 5 | Manned aircraft | Spectral | RF | 0.4646 | 0.739 | 0.906 |
| 1 | Manned aircraft | Spectral + ALS | RF | 0.6023 | 0.802 | 0.994 |
| 3 | Manned aircraft | ALS | RF | 0.6086 | 0.803 | 1 |
| 5 | Manned aircraft | Spectral | LR | 0.4777 | 0.749 | 0.906 |
| 1 | Manned aircraft | Spectral + ALS | LR | 0.569 | 0.781 | 0.988 |
| 3 | Manned aircraft | ALS | LR | 0.6091 | 0.804 | 1 |
| 4 | UAV | Spectral | RF | 0.633 | 0.819 | 1 |
| 2 | UAV | Spectral + UAV-LS | RF | 0.6225 | 0.815 | 1 |
| 3 | UAV | UAV-LS | RF | 0.5044 | 0.778 | 1 |
| 4 | UAV | Spectral | LR | 0.7089 | 0.865 | 1 |
| 2 | UAV | Spectral + UAV-LS | LR | 0.6073 | 0.802 | 1 |
| 3 | UAV | UAV-LS | LR | 0.4898 | 0.716 | 1 |
© 2019 by the authors. Licensee MDPI, Basel, Switzerland. This article is an open access article distributed under the terms and conditions of the Creative Commons Attribution (CC BY) license (http://creativecommons.org/licenses/by/4.0/).
Share and Cite
Dash, J.P.; Watt, M.S.; Paul, T.S.H.; Morgenroth, J.; Pearse, G.D. Early Detection of Invasive Exotic Trees Using UAV and Manned Aircraft Multispectral and LiDAR Data. Remote Sens. 2019, 11, 1812. https://doi.org/10.3390/rs11151812
Dash JP, Watt MS, Paul TSH, Morgenroth J, Pearse GD. Early Detection of Invasive Exotic Trees Using UAV and Manned Aircraft Multispectral and LiDAR Data. Remote Sensing. 2019; 11(15):1812. https://doi.org/10.3390/rs11151812
Chicago/Turabian StyleDash, Jonathan P., Michael S. Watt, Thomas S. H. Paul, Justin Morgenroth, and Grant D. Pearse. 2019. "Early Detection of Invasive Exotic Trees Using UAV and Manned Aircraft Multispectral and LiDAR Data" Remote Sensing 11, no. 15: 1812. https://doi.org/10.3390/rs11151812
APA StyleDash, J. P., Watt, M. S., Paul, T. S. H., Morgenroth, J., & Pearse, G. D. (2019). Early Detection of Invasive Exotic Trees Using UAV and Manned Aircraft Multispectral and LiDAR Data. Remote Sensing, 11(15), 1812. https://doi.org/10.3390/rs11151812

