Winter Wheat Green-up Date Variation and its Diverse Response on the Hydrothermal Conditions over the North China Plain, Using MODIS Time-Series Data
Abstract
1. Introduction
2. Materials and Methods
2.1. Study Area
2.2. Data
2.3. Identifying Winter Wheat Cropland
2.4. Estimating Winter Wheat GUD
2.5. Statistical Analysis
3. Results
3.1. Comparison of Winter Wheat GUD Derived from MODIS Data and In-situ Data at Selected Sites
3.2. Spatial-temporal Trends of Winter Wheat GUD
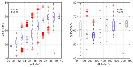
3.2.1. Spatial Patterns
3.2.2. Variation
3.3. Time Lag Effects of Winter Wheat GUD Responses to Climatic Factors
3.3.1. Interannual Variations of Climatic Factors
3.3.2. Time Lag Effect of Climatic Factors on Winter Wheat GUD
3.4. Driving Factors for the Spatial-Temporal Changes of Winter Wheat GUD
4. Discussion
4.1. Winter Wheat GUD Extraction Algorithm
4.2. Interannual Variations of Winter Wheat GUD
4.3. Major Driving Factors on Winter Wheat GUD
4.4. Diverse Time Lag Effects of Winter Wheat GUD Response
5. Conclusions
Supplementary Materials
Author Contributions
Funding
Acknowledgments
Conflicts of Interest
References
- Tao, F.L.; Zhang, Z.; Zhang, S.; Rötter, R.P. Heat stress impacts on wheat growth and yield were reduced in the Huang–Huai–Hai Plain of China in the past three decades. Eur. J. Agron. 2015, 71, 44–52. [Google Scholar] [CrossRef]
- Chen, X.L.; Liu, X.J.; Liu, L.T.; Zhang, Y.L.; Guo, J.H.; Huang, J.; Zhou, M.J.; Zhao, Y.; Wu, L.; Yang, L.; et al. Domestic Wheat Trade and Its Associated Virtual Cropland Flow in China, 2010–2015. Sustainability 2018, 10, 1459. [Google Scholar] [CrossRef]
- Food and Agriculture Organization of the United Nations. Available online: http://www.fao.org/home/en/ (accessed on 08 March 2019).
- Chen, C.; Wang, E.L.; Yu, Q.; Zhang, Y.Q. Quantifying the effects of climate trends in the past 43 years (1961–2003) on crop growth and water demand in the North China Plain. Clim. Chang. 2010, 100, 559–578. [Google Scholar] [CrossRef]
- Gao, J.B.; Jiao, K.W.; Wu, S.H.; Ma, D.Y.; Zhao, D.S.; Yin, Y.H.; Dai, E.F. Past and future effects of climate change on spatially heterogeneous vegetation activity in China. Earth’s Future 2017, 5, 679–692. [Google Scholar] [CrossRef]
- Ma, D.Y.; Deng, H.Y.; Yin, Y.H.; Wu, S.H.; Zheng, D. Sensitivity of arid/humid patterns in China to future climate change under a high–emissions scenario. J. Geogr. Sci. 2019, 29, 29–48. [Google Scholar] [CrossRef]
- Zhang, H.L.; Zhao, X.; Yin, X.G.; Liu, S.L.; Xue, J.F.; Wang, M.; Pu, C.; Lai, R.; Chen, F. Challenges and adaptations of farming to climate change in the North China Plain. Clim. Chang. 2015, 129, 213–224. [Google Scholar] [CrossRef]
- Fang, J.Y.; Yu, G.R.; Liu, L.L.; Hu, S.J.; Chapin, F.S. Climate change, human impacts, and carbon sequestration in China. Proc. Natl. Acad. Sci. USA 2018, 115, 4015–4020. [Google Scholar] [CrossRef]
- Duo, A.; Zhao, W.J.; Qu, X.Y.; Jing, R.; Xiong, K. Spatio–temporal variation of vegetation coverage and its response to climate change in North China plain in the last 33 years. Int. J. Appl. Earth Obs. Geoinf. 2016, 53, 103–117. [Google Scholar] [CrossRef]
- Wang, J.; Wang, E.L.; Yang, X.G.; Zhang, F.S.; Yin, H. Increased yield potential of wheat–maize cropping system in the North China Plain by climate change adaptation. Clim. Chang. 2012, 113, 825–840. [Google Scholar] [CrossRef]
- Zhai, S.Y.; Song, G.X.; Qin, Y.C.; Ye, X.Y.; Lee, J. Modeling the impacts of climate change and technical progress on the wheat yield in inland China: An autoregressive distributed lag approach. PLoS ONE 2017, 12, e184474. [Google Scholar] [CrossRef]
- Liu, Y.J.; Chen, Q.M.; Ge, Q.S.; Dai, J.H. Spatiotemporal differentiation of changes in wheat phenology in China under climate change from 1981 to 2010. Sci. China Earth Sci. 2018, 61, 1088–1097. [Google Scholar] [CrossRef]
- Tao, F.L.; Zhang, S.; Zhang, Z. Spatiotemporal changes of wheat phenology in China under the effects of temperature, day length and cultivar thermal characteristics. Eur. J. Agron. 2012, 43, 201–212. [Google Scholar] [CrossRef]
- Xiao, D.P.; Tao, F.L. Contributions of cultivars, management and climate change to winter wheat yield in the North China Plain in the past three decades. Eur. J. Agron. 2014, 52, 112–122. [Google Scholar] [CrossRef]
- Li, K.N.; Yang, X.G.; Tian, H.Q.; Pan, S.F.; Liu, Z.J.; Lu, S. Effects of changing climate and cultivar on the phenology and yield of winter wheat in the North China Plain. Int. J. Biometeorol. 2016, 60, 21–32. [Google Scholar] [CrossRef] [PubMed]
- Nguy–Robertson, A.; Suyker, A.; Xiao, X.M. Modeling gross primary production of maize and soybean croplands using light quality, temperature, water stress, and phenology. Agric. Meteorol. 2015, 213, 160–172. [Google Scholar] [CrossRef]
- Wang, J.; Wu, C.Y.; Zhang, C.H.; Ju, W.M.; Wang, X.Y.; Chen, Z.; Fang, B. Improved modeling of gross primary productivity (GPP) by better representation of plant phenological indicators from remote sensing using a process model. Ecol. Indic. 2018, 88, 332–340. [Google Scholar] [CrossRef]
- Han, Q.F.; Wang, T.J.; Jiang, Y.B.; Fischer, R.; Li, C.F. Phenological variation decreased carbon uptake in European forests during 1999–2013. For. Ecol. Manag. 2018, 427, 45–51. [Google Scholar] [CrossRef]
- Zhou, L.; He, H.L.; Sun, X.M.; Zhang, L.; Yu, G.R.; Ren, X.L.; Wang, J.Y.; Zhao, F.H. Modeling winter wheat phenology and carbon dioxide fluxes at the ecosystem scale based on digital photography and eddy covariance data. Ecol. Inform. 2013, 18, 69–78. [Google Scholar] [CrossRef]
- Xiao, D.P.; Tao, F.L.; Liu, Y.J.; Shi, W.J.; Wang, M.; Liu, F.S.; Zhang, S.; Zhu, Z. Observed changes in winter wheat phenology in the North China Plain for 1981–2009. Int. J. Biometerol. 2013, 57, 275–285. [Google Scholar] [CrossRef]
- Tao, F.L.; Zhang, Z.; Xiao, D.P.; Zhang, S.; Rötter, R.P.; Shi, W.J.; Liu, Y.J.; Wang, M.; Liu, F.S.; Zhang, H. Responses of wheat growth and yield to climate change in different climate zones of China, 1981–2009. Agric. For. Meterol. 2014, 189–190, 91–104. [Google Scholar] [CrossRef]
- He, L.; Asseng, S.; Zhao, G.; Wu, D.R.; Yang, X.Y.; Zhuang, W.; Jin, N.; Yu, Q. Impacts of recent climate warming, cultivar changes, and crop management on winter wheat phenology across the Loess Plateau of China. Agric. For. Meterol. 2015, 200, 135–143. [Google Scholar] [CrossRef]
- Wang, S.S.; Mo, X.G.; Liu, Z.J.; Baig, M.H.A.; Chi, W.F. Understanding long–term (1982–2013) patterns and trends in winter wheat spring green–up date over the North China Plain. Int. J. Appl. Earth. Obs. Geoinf. 2017, 57, 235–244. [Google Scholar] [CrossRef]
- Cong, N.; Piao, S.L.; Chen, A.P.; Wang, X.H.; Lin, X.; Chen, S.P.; Han, S.J.; Zhou, G.S.; Zhang, X.P. Spring vegetation green–up date in China inferred from SPOT NDVI data: A multiple model analysis. Agric. For. Meterol. 2012, 165, 104–113. [Google Scholar] [CrossRef]
- Lu, L.L.; Wang, C.Z.; Guo, H.D.; Li, Q.T. Detecting winter wheat phenology with SPOT–VEGETATION data in the North China Plain. Geocarto Int. 2014, 29, 244–255. [Google Scholar] [CrossRef]
- Guo, L.; An, N.; Wang, K.C. Reconciling the discrepancy in ground-and satellite-observed trends in the spring phenology of winter wheat in China from 1993 to 2008. J. Geophys. Res. Atmos. 2016, 121, 1027–1042. [Google Scholar] [CrossRef]
- Liu, Z.J.; Wu, C.Y.; Liu, Y.S.; Wang, X.Y.; Fang, B.; Yuan, W.P.; Ge, Q.S. Spring green–up date derived from GIMMS3g and SPOT–VGT NDVI of winter wheat cropland in the North China Plain. ISPRS J. Photogramm. Remote Sens. 2017, 130, 81–91. [Google Scholar] [CrossRef]
- Wang, D.; Fang, S.H.; Yang, Z.Z.; Wang, L.; Tang, W.C.; Li, Y.C.; Tong, C.Y. A Regional Mapping Method for Oilseed Rape Based on HSV Transformation and Spectral Features. Int. J. Geo–Inf. 2018, 7, 224. [Google Scholar] [CrossRef]
- Tao, F.L.; Xiao, D.P.; Zhang, S.; Zhang, Z.; Rötter, R.P. Wheat yield benefited from increases in minimum temperature in the Huang–Huai–Hai Plain of China in the past three decades. Agric. For. Meterol. 2017, 239, 1–14. [Google Scholar] [CrossRef]
- Zheng, C.Y.; Zhang, J.; Chen, J.; Chen, C.Q.; Tian, Y.L.; Deng, A.X.; Song, Z.W.; Nawaz, M.M.; Groenigen, K.J.V.; Zhang, W.J. Nighttime warming increases winter–sown wheat yield across major Chinese cropping regions. Field Crop. Res. 2017, 214, 202–210. [Google Scholar] [CrossRef]
- Shen, M.G.; Piao, S.L.; Chen, X.Q.; An, S.; Fu, Y.S.H.; Wang, S.P.; Cong, N.; Janssens, I.A. Strong impacts of daily minimum temperature on the green–up date and summer greenness of the Tibetan Plateau. Glob. Chang. Biol. 2016, 22, 3057–3066. [Google Scholar] [CrossRef]
- Piao, S.L.; Tan, J.G.; Chen, A.P.; Fu, Y.S.H.; Ciais, P.; Liu, Q.; Janssens, I.A.; Vicca, A.; Zeng, Z.Z.; Jeong, S.J.; et al. Leaf onset in the northern hemisphere triggered by daytime temperature. Nat. Commun. 2015, 6, 6911. [Google Scholar] [CrossRef] [PubMed]
- Shen, X.J.; Liu, B.H.; Henderson, M.; Wang, L.; Wu, Z.F.; Wu, H.T.; Jiang, M.; Lu, X.G. Asymmetric effects of daytime and nighttime warming on spring phenology in the temperate grasslands of China. Agric. For. Meterol. 2018, 259, 240–249. [Google Scholar] [CrossRef]
- Meng, Q.F.; Sun, Q.P.; Chen, X.P.; Cui, Z.L.; Yue, S.C.; Zhang, F.S.; Römheld, V. Alternative cropping systems for sustainable water and nitrogen use in the North China Plain. Agric. Ecosyst. Environ. 2012, 146, 93–102. [Google Scholar] [CrossRef]
- Viovy, N.; Arino, O.; Belward, A.S. The Best Index Slope Extraction (BISE): A method for reducing noise in NDVI time–series. Int. J. Remote Sens. 1992, 13, 1585–1590. [Google Scholar] [CrossRef]
- Zhang, Y.; Xiao, X.M.; Wu, X.C.; Zhou, S.; Zhang, G.L.; Qin, Y.W.; Dong, J.W. A global moderate resolution dataset of gross primary production of vegetation for 2000–2016. Sci. Data 2017, 4, 170165. [Google Scholar] [CrossRef]
- Wang, J.; Xiao, X.M.; Zhang, Y.; Qin, Y.W.; Doughty, R.B.; Wu, X.C.; Bajgain, R.; Du, L. Enhanced gross primary production and evapotranspiration in juniper–encroached grasslands. Glob. Chang. Biol. 2018, 24, 5655–5667. [Google Scholar] [CrossRef]
- Doughty, R.; Xiao, X.M.; Wu, X.C.; Zhang, Y.; Bajgain, R.; Zhou, Y.T.; Qin, Y.W.; Zou, Z.H.; McCarthy, H.; Friedman, J.; et al. Responses of gross primary production of grasslands and croplands under drought, pluvial, and irrigation conditions during 2010–2016, Oklahoma, USA. Agric. Water Manag. 2018, 204, 47–59. [Google Scholar] [CrossRef]
- Resource and Environment Data Cloud Platform. Available online: http://www.igsnrr.cas.cn (accessed on 25 March 2019).
- National Meteorological Information Center. Available online: http://data.cma.cn/ (accessed on 25 March 2019).
- Piao, S.L.; Fang, J.Y.; ZHOU, L.M.; Ciais, P.; Zhu, B. Variations in satellite–derived phenology in China’s temperate vegetation. Glob. Chang. Biol. 2006, 12, 672–685. [Google Scholar] [CrossRef]
- Jeong, S.J.; Ho, C.H.; Gim, H.J.; Brown, M.E. Phenology shifts at start vs. end of growing season in temperate vegetation over the Northern Hemisphere for the period 1982–2008. Glob. Chang. Biol 2011, 17, 2385–2399. [Google Scholar] [CrossRef]
- Xu, Q.Y.; Yang, G.J.; Long, L.H.; Wang, C.C.; Li, X.C.; Huang, D.C. Crop information identification based on MODIS NDVI time–series data. Trans. Chin. Soc. Agric. Eng. 2014, 30, 134–144. (In Chinese) [Google Scholar] [CrossRef]
- Wang, X.; Li, X.B.; Tan, M.H.; Xin, L.J. Remote sensing monitoring of changes in winter wheat area in North China Plain from 2001 to 2011. Trans. Chin. Soc. Agric. Eng. 2015, 31, 190–199. (In Chinese) [Google Scholar] [CrossRef]
- Jiang, Y.Z.; Zhang, Y.J.; Sun, C.; You, S.C. MODIS–EVI based winter wheat planting information extraction of zoning on Huanghuaihai Plain. Resour. Sci 2015, 37, 0417–0424. (In Chinese) [Google Scholar]
- Dong, J.W.; Xiao, X.M.; Menargueze, M.A.; Zhang, G.L.; Qin, Y.W.; Thau, D.; Biradare, C.; Moore, B., III. Mapping paddy rice planting area in northeastern Asia with Landsat 8 images, phenology–based algorithm and Google Earth Engine. Remote Sens. Environ 2016, 185, 142–154. [Google Scholar] [CrossRef] [PubMed]
- Hou, X.H.; Gao, S.; Niu, Z.; Xu, Z.G. Extracting grassland vegetation phenology in North China based on cumulative SPOT–VEGETATION NDVI data. Int. J. Remote Sens. 2014, 35, 3316–3330. [Google Scholar] [CrossRef]
- Shen, M.G.; Zhang, G.X.; Cong, N.; Wang, S.P.; Kong, W.D.; Piao, S.L. Increasing altitudinal gradient of spring vegetation phenology during the last decade on the Qinghai–Tibetan Plateau. Agric. For. Meterol. 2014, 189, 71–80. [Google Scholar] [CrossRef]
- Wu, C.Y.; Hou, X.H.; Peng, D.L.; Gonsamo, A.; Xu, S.G. Land surface phenology of China’s temperate ecosystems over 1999–2013: Spatial–temporal patterns, interaction effects, covariation with climate and implications for productivity. Agric. For. Meterol. 2016, 216, 177–187. [Google Scholar] [CrossRef]
- Zhao, W.Q.; Zhao, X.; Zhou, T.; Wu, D.H.; Tang, B.J.; Wei, H. Climatic factors driving vegetation declines in the 2005 and 2010 Amazon droughts. PLoS ONE 2017, 12, e175379. [Google Scholar] [CrossRef]
- Wu, D.H.; Zhao, X.; Liang, S.L.; Zhou, T.; Huang, K.C.; Tang, B.J.; Zhao, W.Q. Time–lag effects of global vegetation responses to climate change. Glob. Chang. Biol. 2015, 21, 3520–3531. [Google Scholar] [CrossRef] [PubMed]
- Wen, Y.Y.; Liu, X.P.; Xin, Q.C.; Wu, J.; Xu, X.C.; Pei, F.S.; Li, X.; Du, G.M.; Cai, Y.L.; Lin, K.; et al. Cumulative Effects of Climatic Factors on Terrestrial Vegetation Growth. J. Geophys. Res. Biogeosci. 2019, 124, 789–806. [Google Scholar] [CrossRef]
- Lobell, D.B.; Field, C.B. Global scale climate–crop yield relationships and the impacts of recent warming. Environ. Res. Lett. 2007, 2, 14002. [Google Scholar] [CrossRef]
- Zhang, Z.; Song, X.; Tao, F.L.; Zhang, S.; Shi, W.J. Climate trends and crop production in China at county scale, 1980 to 2008. Theor. Appl. Climatol. 2016, 123, 291–302. [Google Scholar] [CrossRef]
- Wang, S.Y.; Yang, B.J.; Yang, Q.C.; Lu, L.L.; Wang, X.Y.; Peng, Y.Y. Temporal trends and spatial variability of vegetation phenology over the Northern Hemisphere during 1982–2012. PLoS ONE 2016, 11, e157134. [Google Scholar] [CrossRef] [PubMed]
- Zhou, L.M.; Tucker, C.J.; Kaufmann, R.K.; Slayback, D.; Shabanov, N.V.; Myneni, R.B. Variations in northern vegetation activity inferred from satellite data of vegetation index during 1981 to 1999. J. Geophys. Res. Atmos. 2001, 106, 20069–20083. [Google Scholar] [CrossRef]
- Cane, M.A. Climate science: Decadal predictions in demand. Nat. Geosci. 2010, 3, 231. [Google Scholar] [CrossRef]
- Guemas, V.; Doblas–Reyes, F.J.; Andreu–Burillo, I.; Asif, M. Retrospective prediction of the global warming slowdown in the past decade. Nat. Clim. Chang. 2013, 3, 649–653. [Google Scholar] [CrossRef]
- Li, Q.X.; Yang, S.; Xu, W.H.; Wang, X.L.; Jones, P.; Parker, D.; Zhou, L.M.; Feng, Y.; Gao, Y. China experiencing the recent warming hiatus. Geophys. Res. Lett. 2015, 42, 889–898. [Google Scholar] [CrossRef]
- Fu, Y.H.; Zhao, H.F.; Piao, S.L.; Peaucelle, M.; Peng, S.S.; Zhou, G.Y.; Ciais, P.; Huang, M.T.; Menzel, A.; Peñuelas, J.; et al. Declining global warming effects on the phenology of spring leaf unfolding. Nature 2015, 526, 104. [Google Scholar] [CrossRef]
- Piao, S.L.; Liu, Z.; Wang, T.; Peng, S.S.; Ciais, P.; Huang, M.T.; Ahlstrom, A.; Burkhart, J.F.; Chevallier, F.; Janssens, I.A.; et al. Weakening temperature control on the interannual variations of spring carbon uptake across northern lands. Nat. Clim. Chang. 2017, 7, 359. [Google Scholar] [CrossRef]
- Tung, K.K.; Chen, X.Y. Understanding the Recent Global Surface Warming Slowdown: A Review. Climate 2018, 6, 82. [Google Scholar] [CrossRef]
- Wang, C.Z.; Fritschi, F.B.; Stacey, G.; Yang, Z.W. Phenology–Based Assessment of Perennial Energy Crops in North American Tallgrass Prairie. Ann. Assoc. Am. Geogr. 2011, 101, 742–751. [Google Scholar] [CrossRef]
- Yu, H.Q.; Zhang, Q.; Sun, P.; Song, C.Q. Impact of Droughts on Winter Wheat Yield in Different Growth Stages during 2001–2016 in Eastern China. Int. J. Disaster Risk Sci. 2018, 9, 376–391. [Google Scholar] [CrossRef]
- Anderson, L.O.; Malhi, Y.; Araga˜o, L.E.O.C.; Ladle, R.; Arai, E.; Barbier, N.; Phillips, O. Remote sensing detection of droughts in Amazonian forest canopies. New Phytol. 2010, 187, 733–750. [Google Scholar] [CrossRef] [PubMed]
- Hua, W.J.; Chen, H.S.; Zhou, L.M.; Xie, Z.H.; Qin, M.H.; Li, X.; Ma, H.D.; Huang, Q.H.; Sun, S.L. Observational Quantification of Climatic and Human Influences on Vegetation Greening in China. Remote Sens. 2017, 9, 425. [Google Scholar] [CrossRef]
- Tei, S.; Sugimoto, A. Time lag and negative responses of forest greenness and tree growth to warming over circumboreal forests. Glob. Chang. Biol. 2018, 24, 4225–4237. [Google Scholar] [CrossRef] [PubMed]
- Cong, N.; Wang, T.; Nan, H.J.; Ma, Y.C.; Wang, X.H.; Myneni, R.B.; Piao, S.L. Changes in satellite–derived spring vegetation green–up date and its linkage to climate in China from 1982 to 2010: A multimethod analysis. Glob. Chang. Biol. 2013, 19, 881–891. [Google Scholar] [CrossRef] [PubMed]
- Richardson, A.D.; Keenan, T.F.; Migliavacca, M.; Ryu, Y.; Sonnentag, O.; Toomey, M. Climate change, phenology, and phenological control of vegetation feedbacks to the climate system. Agric. For. Meterol. 2013, 169, 156–173. [Google Scholar] [CrossRef]
- Peng, S.S.; Piao, S.L.; Ciais, P.; Myneni, R.B.; Chen, A.P.; Chevallier, F.; Dolman, A.J.; Janssens, I.A.; Peñuelas, J.; Zhang, G.X. Asymmetric effects of daytime and night–time warming on Northern Hemisphere vegetation. Nature 2013, 501, 88–92. [Google Scholar] [CrossRef] [PubMed]
- Pope, K.S.; Dose, V.; Da Silva, D.; Brown, P.B.; Leslie, C.A.; DeJong, T.M. Detecting nonlinear response of spring phenology to climate change by Bayesian analysis. Glob. Chang. Biol. 2013, 19, 1518–1525. [Google Scholar] [CrossRef]
- Jeong, S.J.; Ho, C.H.; Kim, B.M.; Feng, S.; Medvigy, D. Non–linear response of vegetation to coherent warming over northern high latitudes. Remote Sens. Lett. 2013, 4, 123–130. [Google Scholar] [CrossRef]
- Park, H.; Jeong, S.J.; Ho, C.H.; Kim, J.; Brown, M.E.; Schaepman, M.E. Nonlinear response of vegetation green–up to local temperature variations in temperate and boreal forests in the Northern Hemisphere. Remote Sens. Environ. 2015, 165, 100–108. [Google Scholar] [CrossRef]














| Region | Statistical Area 103 hm2 | Extraction Area 103 hm2 | Relative Error % | ||||||
|---|---|---|---|---|---|---|---|---|---|
| 2001 | 2007 | 2015 | 2001 | 2007 | 2015 | 2001 | 2007 | 2015 | |
| Hebei | 2579.80 | 2412.40 | 2318.87 | 2491.90 | 2306.90 | 2595.60 | −3.41 | −4.37 | 11.93 |
| Henan | 4801.60 | 5213.33 | 5425.66 | 3984.20 | 4504.40 | 5029.20 | −17.02 | −13.60 | −7.31 |
| Shandong | 3545.75 | 3519.08 | 3799.83 | 4098.10 | 3755.50 | 4098.40 | 15.58 | 6.72 | 7.86 |
| Anhui | 1742.72 | 2330.27 | 2457.00 | 1650.80 | 2065.10 | 2587.60 | −5.27 | −11.38 | 5.32 |
| Jiangsu | 1712.81 | 2039.12 | 2178.83 | 2530.20 | 1842.10 | 1938.80 | 47.72 | −9.66 | −11.02 |
| Class | Winter Wheat | Non-Winter Wheat | Classify Total | User Accuracy | Producer’s Accuracy | Overall Accuracy |
|---|---|---|---|---|---|---|
| Winter wheat | 281 | 54 | 335 | 0.84 | 0.97 | 0.86 |
| Non-winter wheat | 9 | 122 | 131 | 0.93 | 0.69 | |
| Sample total | 290 | 176 | 466 |
| Climate Factors | Determination Coefficient (R2) | |||
|---|---|---|---|---|
| T0 | T1 | T2 | T3 | |
| Tm | 0.17 | 0.19 | 0.28 | 0.46** |
| TP | 0.06 | 0.003 | 0.05 | 0.008 |
| Tmin | 0.16 | 0.14 | 0.17 | 0.35* |
| Tmax | 0.13 | 0.20 | 0.31* | 0.44** |
© 2019 by the authors. Licensee MDPI, Basel, Switzerland. This article is an open access article distributed under the terms and conditions of the Creative Commons Attribution (CC BY) license (http://creativecommons.org/licenses/by/4.0/).
Share and Cite
Guo, L.; Gao, J.; Hao, C.; Zhang, L.; Wu, S.; Xiao, X. Winter Wheat Green-up Date Variation and its Diverse Response on the Hydrothermal Conditions over the North China Plain, Using MODIS Time-Series Data. Remote Sens. 2019, 11, 1593. https://doi.org/10.3390/rs11131593
Guo L, Gao J, Hao C, Zhang L, Wu S, Xiao X. Winter Wheat Green-up Date Variation and its Diverse Response on the Hydrothermal Conditions over the North China Plain, Using MODIS Time-Series Data. Remote Sensing. 2019; 11(13):1593. https://doi.org/10.3390/rs11131593
Chicago/Turabian StyleGuo, Linghui, Jiangbo Gao, Chengyuan Hao, Linlin Zhang, Shaohong Wu, and Xiangming Xiao. 2019. "Winter Wheat Green-up Date Variation and its Diverse Response on the Hydrothermal Conditions over the North China Plain, Using MODIS Time-Series Data" Remote Sensing 11, no. 13: 1593. https://doi.org/10.3390/rs11131593
APA StyleGuo, L., Gao, J., Hao, C., Zhang, L., Wu, S., & Xiao, X. (2019). Winter Wheat Green-up Date Variation and its Diverse Response on the Hydrothermal Conditions over the North China Plain, Using MODIS Time-Series Data. Remote Sensing, 11(13), 1593. https://doi.org/10.3390/rs11131593

