Flood Spatial Modeling in Northern Iran Using Remote Sensing and GIS: A Comparison between Evidential Belief Functions and Its Ensemble with a Multivariate Logistic Regression Model
Abstract
1. Introduction
2. Study Area
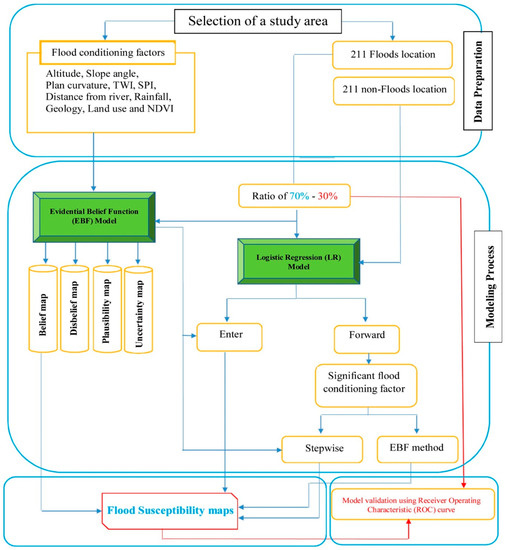
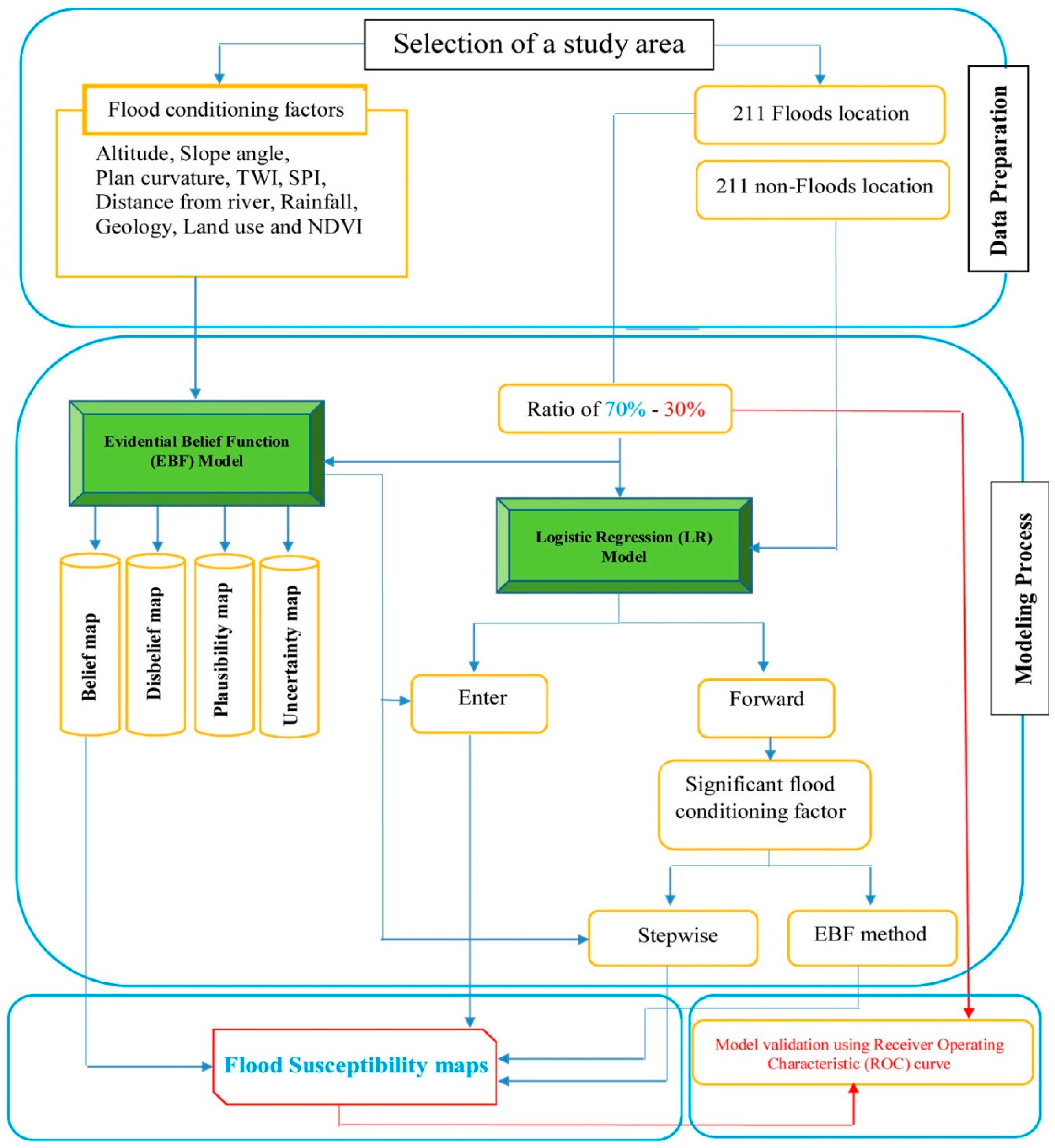
3. Methodology
3.1. Data Used
3.1.1. Flood Inventory Map
3.1.2. Multicollinearity Diagnosis
3.1.3. Flood-Conditioning Factors
Topographic Factors
Water-Related Factors
Physical Factors
3.2. Application of Models
3.2.1. Evidential Belief Function (EBF) Model
3.2.2. Logistic Regression (LR) Model
3.3. Validation of the Models
4. Results
4.1. Flood Susceptibility Mapping Using the EBF Model
4.2. Multicollinearity Diagnosis
4.3. Flood Susceptibility Mapping Using LR Model
4.4. Flood Susceptibility Mapping Using EBF-LR and EBF from LR Model
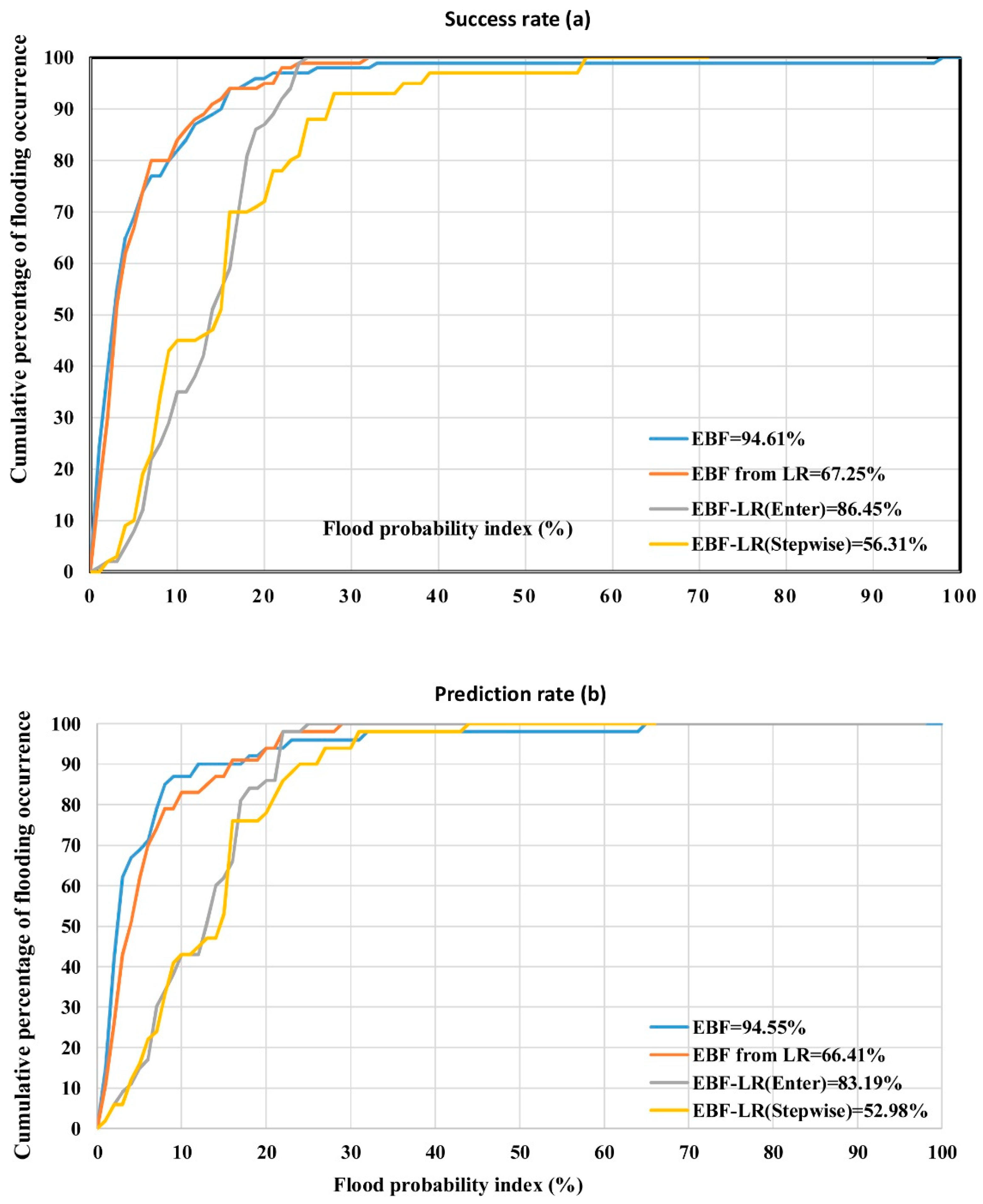
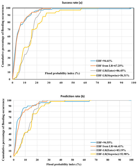
4.5. Validation of the Flood Susceptibility Maps and Their Comparison
4.6. Comparison of Class’s Percent of Different Models
5. Discussion
6. Conclusions
Author Contributions
Funding
Acknowledgments
Conflicts of Interest
References
- Youssef, A.M.; Pradhan, B.; Hassan, A.M. Flash flood risk estimation along the st. Katherine road, southern sinai, Egypt using GIS based morphometry and satellite imagery. Environ. Earth Sci. 2011, 62, 611–623. [Google Scholar] [CrossRef]
- Grahn, T.; Nyberg, L. Assessment of pluvial flood exposure and vulnerability of residential areas. Int. J. Disaster Risk Reduct. 2017, 21, 367–375. [Google Scholar] [CrossRef]
- Chapi, K.; Singh, V.P.; Shirzadi, A.; Shahabi, H.; Bui, D.T.; Pham, B.T.; Khosravi, K. A novel hybrid artificial intelligence approach for flood susceptibility assessment. Environ. Model. Softw. 2017, 95, 229–245. [Google Scholar] [CrossRef]
- Bubeck, P.; Botzen, W.J.; Aerts, J.C. A review of risk perceptions and other factors that influence flood mitigation behavior. Risk Anal. Int. J. 2012, 32, 1481–1495. [Google Scholar] [CrossRef] [PubMed]
- Shafizadeh-Moghadam, H.; Valavi, R.; Shahabi, H.; Chapi, K.; Shirzadi, A. Novel forecasting approaches using combination of machine learning and statistical models for flood susceptibility mapping. J. Environ. Manag. 2018, 217, 1–11. [Google Scholar] [CrossRef]
- Khosravi, K.; Pham, B.T.; Chapi, K.; Shirzadi, A.; Shahabi, H.; Revhaug, I.; Prakash, I.; Bui, D.T. A comparative assessment of decision trees algorithms for flash flood susceptibility modeling at Haraz watershed, Northern Iran. Sci. Total Environ. 2018, 627, 744–755. [Google Scholar] [CrossRef]
- Opolot, E. Application of remote sensing and geographical information systems in flood management: A review. Res. J. Appl. Sci. Eng. Technol. 2013, 6, 1884–1894. [Google Scholar] [CrossRef]
- Varoonchotikul, P. Flood Forecasting Using Artificial Neural Networks; CRC Press: Boca Raton, FL, USA, 2003. [Google Scholar]
- Levy, J.K.; Hartmann, J.; Li, K.W.; An, Y.; Asgary, A. Multi-criteria decision support systems for flood hazard mitigation and emergency response in urban watersheds 1. JAWRA J. Am. Water Resour. Assoc. 2007, 43, 346–358. [Google Scholar] [CrossRef]
- Lee, J.-M.; Hyun, K.-H.; Choi, J.-S.; Yoon, Y.-J.; Geronimo, F.K.F. Flood reduction analysis on watershed of lid design demonstration district using swmm5. Desalin. Water Treat. 2012, 38, 255–261. [Google Scholar] [CrossRef]
- Oh, H.-J.; Pradhan, B. Application of a neuro-fuzzy model to landslide-susceptibility mapping for shallow landslides in a tropical hilly area. Comput. Geosci. 2011, 37, 1264–1276. [Google Scholar] [CrossRef]
- Tien Bui, D.; Shahabi, H.; Shirzadi, A.; Chapi, K.; Alizadeh, M.; Chen, W.; Mohammadi, A.; Ahmad, B.; Panahi, M.; Hong, H. Landslide detection and susceptibility mapping by AIRSAR data using support vector machine and index of entropy models in Cameron Highlands, Malaysia. Remote Sens. 2018, 10, 1527. [Google Scholar] [CrossRef]
- Tehrany, M.S.; Pradhan, B.; Jebur, M.N. Spatial prediction of flood susceptible areas using rule based decision tree (dt) and a novel ensemble bivariate and multivariate statistical models in GIS. J. Hydrol. 2013, 504, 69–79. [Google Scholar] [CrossRef]
- Tehrany, M.S.; Pradhan, B.; Mansor, S.; Ahmad, N. Flood susceptibility assessment using GIS-based support vector machine model with different kernel types. Catena 2015, 125, 91–101. [Google Scholar] [CrossRef]
- Tehrany, M.S.; Pradhan, B.; Jebur, M.N. Flood susceptibility analysis and its verification using a novel ensemble support vector machine and frequency ratio method. Stoch. Environ. Res. Risk Assess. 2015, 29, 1149–1165. [Google Scholar] [CrossRef]
- Khosravi, K.; Nohani, E.; Maroufinia, E.; Pourghasemi, H.R. A gis-based flood susceptibility assessment and its mapping in Iran: A comparison between frequency ratio and weights-of-evidence bivariate statistical models with multi-criteria decision-making technique. Nat. Hazards 2016, 83, 947–987. [Google Scholar] [CrossRef]
- Rahmati, O.; Pourghasemi, H.R.; Zeinivand, H. Flood susceptibility mapping using frequency ratio and weights-of-evidence models in the Golastan Province, Iran. Geocarto Int. 2016, 31, 42–70. [Google Scholar] [CrossRef]
- Althuwaynee, O.F.; Pradhan, B.; Lee, S. Application of an evidential belief function model in landslide susceptibility mapping. Comput. Geosci. 2012, 44, 120–135. [Google Scholar] [CrossRef]
- Nampak, H.; Pradhan, B.; Manap, M.A. Application of GIS based data driven evidential belief function model to predict groundwater potential zonation. J. Hydrol. 2014, 513, 283–300. [Google Scholar] [CrossRef]
- Tien Bui, D.; Shahabi, H.; Shirzadi, A.; Chapi, K.; Hoang, N.-D.; Pham, B.; Bui, Q.-T.; Tran, C.-T.; Panahi, M.; Bin Ahamd, B. A novel integrated approach of relevance vector machine optimized by imperialist competitive algorithm for spatial modeling of shallow landslides. Remote Sens. 2018, 10, 1538. [Google Scholar] [CrossRef]
- Althuwaynee, O.F.; Pradhan, B.; Park, H.-J.; Lee, J.H. A novel ensemble bivariate statistical evidential belief function with knowledge-based analytical hierarchy process and multivariate statistical logistic regression for landslide susceptibility mapping. Catena 2014, 114, 21–36. [Google Scholar] [CrossRef]
- Pradhan, B. Flood susceptible mapping and risk area delineation using logistic regression, GIS and remote sensing. J. Spat. Hydrol. 2009, 9, 1–18. [Google Scholar]
- Haghizadeh, A.; Siahkamari, S.; Haghiabi, A.H.; Rahmati, O. Forecasting flood-prone areas using shannon’s entropy model. J. Earth Syst. Sci. 2017, 126, 39. [Google Scholar] [CrossRef]
- Rahmati, O.; Zeinivand, H.; Besharat, M. Flood hazard zoning in Yasooj region, Iran, using GIS and multi-criteria decision analysis. Geomat. Nat. Hazards Risk 2016, 7, 1000–1017. [Google Scholar] [CrossRef]
- Termeh, S.V.R.; Kornejady, A.; Pourghasemi, H.R.; Keesstra, S. Flood susceptibility mapping using novel ensembles of adaptive neuro fuzzy inference system and metaheuristic algorithms. Sci. Total Environ. 2018, 615, 438–451. [Google Scholar] [CrossRef] [PubMed]
- Ahmadlou, M.; Karimi, M.; Alizadeh, S.; Shirzadi, A.; Parvinnejhad, D.; Shahabi, H.; Panahi, M. Flood susceptibility assessment using integration of adaptive network-based fuzzy inference system (ANFIS) and biogeography-based optimization (BBO) and bat algorithms (BA). Geocarto Int. 2018, 1–21. [Google Scholar] [CrossRef]
- Khosravi, K.; Shahabi, H.; Pham, B.T.; Adamawoski, J.; Shirzadi, A.; Pradhan, B.; Dou, J.; Ly, H.-B.; Gróf, G.; Ho, H.L.; et al. A comparative assessment of flood susceptibility modeling using multi-criteria decision-making analysis and machine learning methods. J. Hydrol. 2019, 573, 311–323. [Google Scholar] [CrossRef]
- Arabameri, A.; Rezaei, K.; Cerdà, A.; Conoscenti, C.; Kalantari, Z. A comparison of statistical methods and multi-criteria decision making to map flood Hazard susceptibility in Northern Iran. Sci. Total Environ. 2019, 660, 443–458. [Google Scholar] [CrossRef]
- Chen, W.; Shirzadi, A.; Shahabi, H.; Ahmad, B.B.; Zhang, S.; Hong, H.; Zhang, N. A novel hybrid artificial intelligence approach based on the rotation forest ensemble and naïve bayes tree classifiers for a landslide susceptibility assessment in Langao County, China. Geomat. Nat. Hazards Risk 2017, 8, 1955–1977. [Google Scholar] [CrossRef]
- Chen, W.; Shahabi, H.; Shirzadi, A.; Li, T.; Guo, C.; Hong, H.; Li, W.; Pan, D.; Hui, J.; Ma, M. A novel ensemble approach of bivariate statistical-based logistic model tree classifier for landslide susceptibility assessment. Geocarto Int. 2018, 33, 1398–1420. [Google Scholar] [CrossRef]
- Pham, B.T.; Shirzadi, A.; Bui, D.T.; Prakash, I.; Dholakia, M. A hybrid machine learning ensemble approach based on a radial basis function neural network and rotation forest for landslide susceptibility modeling: A case study in the Himalayan area, India. Int. J. Sediment. Res. 2018, 33, 157–170. [Google Scholar] [CrossRef]
- Abedini, M.; Ghasemian, B.; Shirzadi, A.; Shahabi, H.; Chapi, K.; Pham, B.T.; Bin Ahmad, B.; Tien Bui, D. A novel hybrid approach of bayesian logistic regression and its ensembles for landslide susceptibility assessment. Geocarto Int. 2018, 1–31. [Google Scholar] [CrossRef]
- Jaafari, A.; Panahi, M.; Pham, B.T.; Shahabi, H.; Bui, D.T.; Rezaie, F.; Lee, S. Meta optimization of an adaptive neuro-fuzzy inference system with grey wolf optimizer and biogeography-based optimization algorithms for spatial prediction of landslide susceptibility. Catena 2019, 175, 430–445. [Google Scholar] [CrossRef]
- Nguyen, V.V.; Pham, B.T.; Vu, B.T.; Prakash, I.; Jha, S.; Shahabi, H.; Shirzadi, A.; Ba, D.N.; Kumar, R.; Chatterjee, J.M. Hybrid machine learning approaches for landslide susceptibility modeling. Forests 2019, 10, 157. [Google Scholar] [CrossRef]
- Tien Bui, D.; Shahabi, H.; Omidvar, E.; Shirzadi, A.; Geertsema, M.; Clague, J.J.; Khosravi, K.; Pradhan, B.; Pham, B.T.; Chapi, K. Shallow landslide prediction using a novel hybrid functional machine learning algorithm. Remote Sens. 2019, 11, 931. [Google Scholar] [CrossRef]
- Zhang, T.; Han, L.; Chen, W.; Shahabi, H. Hybrid integration approach of entropy with logistic regression and support vector machine for landslide susceptibility modeling. Entropy 2018, 20, 884. [Google Scholar] [CrossRef]
- Chen, W.; Shahabi, H.; Zhang, S.; Khosravi, K.; Shirzadi, A.; Chapi, K.; Pham, B.; Zhang, T.; Zhang, L.; Chai, H. Landslide susceptibility modeling based on GIS and novel bagging-based kernel logistic regression. Appl. Sci. 2018, 8, 2540. [Google Scholar] [CrossRef]
- Chen, W.; Peng, J.; Hong, H.; Shahabi, H.; Pradhan, B.; Liu, J.; Zhu, A.-X.; Pei, X.; Duan, Z. Landslide susceptibility modelling using GIS-based machine learning techniques for Chongren County, Jiangxi province, China. Sci. Total Environ. 2018, 626, 1121–1135. [Google Scholar] [CrossRef] [PubMed]
- Chen, W.; Shahabi, H.; Shirzadi, A.; Hong, H.; Akgun, A.; Tian, Y.; Liu, J.; Zhu, A.-X.; Li, S. Novel hybrid artificial intelligence approach of bivariate statistical-methods-based kernel logistic regression classifier for landslide susceptibility modeling. Bull. Eng. Geol. Environ. 2018, 1–23. [Google Scholar] [CrossRef]
- Shadman Roodposhti, M.; Aryal, J.; Shahabi, H.; Safarrad, T. Fuzzy shannon entropy: A hybrid GIS-based landslide susceptibility mapping method. Entropy 2016, 18, 343. [Google Scholar] [CrossRef]
- Pham, B.T.; Prakash, I.; Khosravi, K.; Chapi, K.; Trinh, P.T.; Ngo, T.Q.; Hosseini, S.V.; Bui, D.T. A comparison of support vector machines and bayesian algorithms for landslide susceptibility modelling. Geocarto Int. 2018, 1–23. [Google Scholar] [CrossRef]
- Shirzadi, A.; Solaimani, K.; Roshan, M.H.; Kavian, A.; Chapi, K.; Shahabi, H.; Keesstra, S.; Ahmad, B.B.; Bui, D.T. Uncertainties of prediction accuracy in shallow landslide modeling: Sample size and raster resolution. Catena 2019, 178, 172–188. [Google Scholar] [CrossRef]
- He, Q.; Shahabi, H.; Shirzadi, A.; Li, S.; Chen, W.; Wang, N.; Chai, H.; Bian, H.; Ma, J.; Chen, Y. Landslide spatial modelling using novel bivariate statistical based naïve bayes, RBF classifier, and RBF network machine learning algorithms. Sci. Total Environ. 2019, 663, 1–15. [Google Scholar] [CrossRef]
- Hong, H.; Shahabi, H.; Shirzadi, A.; Chen, W.; Chapi, K.; Ahmad, B.B.; Roodposhti, M.S.; Hesar, A.Y.; Tian, Y.; Bui, D.T. Landslide susceptibility assessment at the Wuning area, China: A comparison between multi-criteria decision making, bivariate statistical and machine learning methods. Nat. Hazards 2019, 96, 173–212. [Google Scholar] [CrossRef]
- Chen, W.; Panahi, M.; Tsangaratos, P.; Shahabi, H.; Ilia, I.; Panahi, S.; Li, S.; Jaafari, A.; Ahmad, B.B. Applying population-based evolutionary algorithms and a neuro-fuzzy system for modeling landslide susceptibility. Catena 2019, 172, 212–231. [Google Scholar] [CrossRef]
- Chen, W.; Zhang, S.; Li, R.; Shahabi, H. Performance evaluation of the GIS-based data mining techniques of best-first decision tree, random forest, and naïve bayes tree for landslide susceptibility modeling. Sci. Total Environ. 2018, 644, 1006–1018. [Google Scholar] [CrossRef] [PubMed]
- Shirzadi, A.; Soliamani, K.; Habibnejhad, M.; Kavian, A.; Chapi, K.; Shahabi, H.; Chen, W.; Khosravi, K.; Thai Pham, B.; Pradhan, B. Novel GIS based machine learning algorithms for shallow landslide susceptibility mapping. Sensors 2018, 18, 3777. [Google Scholar] [CrossRef]
- Shirzadi, A.; Shahabi, H.; Chapi, K.; Bui, D.T.; Pham, B.T.; Shahedi, K.; Ahmad, B.B. A comparative study between popular statistical and machine learning methods for simulating volume of landslides. Catena 2017, 157, 213–226. [Google Scholar] [CrossRef]
- Shahabi, H.; Hashim, M. Landslide susceptibility mapping using GIS-based statistical models and remote sensing data in tropical environment. Sci. Rep. 2015, 5, 9899. [Google Scholar] [CrossRef]
- Jaafari, A.; Zenner, E.K.; Panahi, M.; Shahabi, H. Hybrid artificial intelligence models based on a neuro-fuzzy system and metaheuristic optimization algorithms for spatial prediction of wildfire probability. Agric. Meteorol. 2019, 266, 198–207. [Google Scholar] [CrossRef]
- Taheri, K.; Shahabi, H.; Chapi, K.; Shirzadi, A.; Gutiérrez, F.; Khosravi, K. Sinkhole susceptibility mapping: A comparison between bayes-based machine learning algorithms. Land Degrad. Dev. 2019, 30, 730–745. [Google Scholar] [CrossRef]
- Roodposhti, M.S.; Safarrad, T.; Shahabi, H. Drought sensitivity mapping using two one-class support vector machine algorithms. Atmos. Res. 2017, 193, 73–82. [Google Scholar] [CrossRef]
- Azareh, A.; Rahmati, O.; Rafiei-Sardooi, E.; Sankey, J.B.; Lee, S.; Shahabi, H.; Ahmad, B.B. Modelling gully-erosion susceptibility in a semi-arid region, Iran: Investigation of applicability of certainty factor and maximum entropy models. Sci. Total Environ. 2019, 655, 684–696. [Google Scholar] [CrossRef] [PubMed]
- Tien Bui, D.; Shirzadi, A.; Shahabi, H.; Chapi, K.; Omidavr, E.; Pham, B.T.; Talebpour Asl, D.; Khaledian, H.; Pradhan, B.; Panahi, M. A novel ensemble artificial intelligence approach for gully erosion mapping in a semi-arid watershed (Iran). Sensors 2019, 19, 2444. [Google Scholar] [CrossRef] [PubMed]
- Miraki, S.; Zanganeh, S.H.; Chapi, K.; Singh, V.P.; Shirzadi, A.; Shahabi, H.; Pham, B.T. Mapping groundwater potential using a novel hybrid intelligence approach. Water Resour. Manag. 2019, 33, 281–302. [Google Scholar] [CrossRef]
- Rahmati, O.; Naghibi, S.A.; Shahabi, H.; Bui, D.T.; Pradhan, B.; Azareh, A.; Rafiei-Sardooi, E.; Samani, A.N.; Melesse, A.M. Groundwater spring potential modelling: Comprising the capability and robustness of three different modeling approaches. J. Hydrol. 2018, 565, 248–261. [Google Scholar] [CrossRef]
- Khosravi, K.; Panahi, M.; Tien Bui, D. Spatial prediction of groundwater spring potential mapping based on adaptive neuro-fuzzy inference system and metaheuristic optimization. Hydrol. Earth Syst. Sci. 2018, 22, 4771–4792. [Google Scholar] [CrossRef]
- Pham, B.T.; Prakash, I.; Singh, S.K.; Shirzadi, A.; Shahabi, H.; Bui, D.T. Landslide susceptibility modeling using reduced error pruning trees and different ensemble techniques: Hybrid machine learning approaches. CATENA 2019, 175, 203–218. [Google Scholar] [CrossRef]
- Pradhan, B.; Abokharima, M.H.; Jebur, M.N.; Tehrany, M.S. Land subsidence susceptibility mapping at Kinta valley (Malaysia) using the evidential belief function model in GIS. Nat. Hazards 2014, 73, 1019–1042. [Google Scholar] [CrossRef]
- Chen, W.; Pradhan, B.; Li, S.; Shahabi, H.; Rizeei, H.M.; Hou, E.; Wang, S. Novel hybrid integration approach of bagging-based fisher’s linear discriminant function for groundwater potential analysis. Nat. Resour. Res. 2019, 1–20. [Google Scholar] [CrossRef]
- Sadeghi-Pouya, A.; Nouri, J.; Mansouri, N.; Kia-Lashaki, A. An indexing approach to assess flood vulnerability in the western coastal cities of Mazandaran, Iran. Int. J. Disaster Risk Reduct. 2017, 22, 304–316. [Google Scholar] [CrossRef]
- Manandhar, B.; Balla, M.K.; Awal, R.; Pradhan, B.M. Floodplain Analysis and Risk Assessment of Lothar Khola (Stream). In Proceedings of the 11th ESRI India User Conference, Noida, India, 21–22 April 2010. [Google Scholar]
- Merz, B.; Thieken, A.; Gocht, M. Flood Risk Mapping at the Local Scale: Concepts and Challenges. In Flood Risk Management in Europe; Springer: Dordrecht, The Netherlands, 2007; pp. 231–251. [Google Scholar]
- Tehrany, M.S.; Pradhan, B.; Jebur, M.N. Flood susceptibility mapping using a novel ensemble weights-of-evidence and support vector machine models in GIS. J. Hydrol. 2014, 512, 332–343. [Google Scholar] [CrossRef]
- Pourghasemi, H.R.; Beheshtirad, M. Assessment of a data-driven evidential belief function model and GIS for groundwater potential mapping in the Koohrang watershed, Iran. Geocarto Int. 2015, 30, 662–685. [Google Scholar] [CrossRef]
- O’brien, R.M. A caution regarding rules of thumb for variance inflation factors. Qual. Quant. 2007, 41, 673–690. [Google Scholar] [CrossRef]
- Yalcin, A.; Reis, S.; Aydinoglu, A.; Yomralioglu, T. A GIS-based comparative study of frequency ratio, analytical hierarchy process, bivariate statistics and logistics regression methods for landslide susceptibility mapping in Trabzon, NE Turkey. Catena 2011, 85, 274–287. [Google Scholar] [CrossRef]
- Bednarik, M.; Magulová, B.; Matys, M.; Marschalko, M. Landslide susceptibility assessment of the Kraľovany–liptovský Mikuláš railway case study. Phys. Chem. Earthparts A/B/C 2010, 35, 162–171. [Google Scholar] [CrossRef]
- Gokceoglu, C.; Sonmez, H.; Nefeslioglu, H.A.; Duman, T.Y.; Can, T. The 17 march 2005 kuzulu landslide (Sivas, Turkey) and landslide-susceptibility map of its near vicinity. Eng. Geol. 2005, 81, 65–83. [Google Scholar] [CrossRef]
- Moore, I.D.; Grayson, R.; Ladson, A. Digital terrain modelling: A review of hydrological, geomorphological, and biological applications. Hydrol. Process. 1991, 5, 3–30. [Google Scholar] [CrossRef]
- Glenn, E.P.; Morino, K.; Nagler, P.L.; Murray, R.S.; Pearlstein, S.; Hultine, K.R. Roles of saltcedar (tamarix spp.) and capillary rise in salinizing a non-flooding terrace on a flow-regulated desert river. J. Arid Environ. 2012, 79, 56–65. [Google Scholar] [CrossRef]
- Kia, M.B.; Pirasteh, S.; Pradhan, B.; Mahmud, A.R.; Sulaiman, W.N.A.; Moradi, A. An artificial neural network model for flood simulation using GIS: Johor river Basin, Malaysia. Environ. Earth Sci. 2012, 67, 251–264. [Google Scholar] [CrossRef]
- Tehrany, M.S.; Lee, M.-J.; Pradhan, B.; Jebur, M.N.; Lee, S. Flood susceptibility mapping using integrated bivariate and multivariate statistical models. Environ. Earth Sci. 2014, 72, 4001–4015. [Google Scholar] [CrossRef]
- Çelik, H.E.; Coskun, G.; Cigizoglu, H.K.; Ağıralioğlu, N.; Aydın, A.; Esin, A.I. The analysis of 2004 flood on Kozdere stream in Istanbul. Nat. Hazards 2012, 63, 461–477. [Google Scholar] [CrossRef]
- Srivastava, O.S.; Denis, D.; Srivastava, S.K.; Kumar, M.; Kumar, N. Morphometric analysis of a semi urban watershed, Trans Yamuna, draining at allahabad using cartosat (DEM) data and GIS. Int. J. Eng. Sci. (Ijes) 2014, 3, 71–79. [Google Scholar]
- Mongelli, G.; Salvemini, A. Caratterizzazione Geolitologica e Carta della Permeabilità Della Puglia Settentrionale; Dipartimento di Ingegneria e Fisica Dell’Ambiente e Gruppo Nazionale per la Difesa dalle Catastrofi Idrogeologiche, Univ. della Basilicata, Potenza: Sicily, Italy, 14 October 1994. [Google Scholar]
- Bui, D.T.; Panahi, M.; Shahabi, H.; Singh, V.P.; Shirzadi, A.; Chapi, K.; Khosravi, K.; Chen, W.; Panahi, S.; Li, S. Novel hybrid evolutionary algorithms for spatial prediction of floods. Sci. Rep. 2018, 8, 15364. [Google Scholar] [CrossRef] [PubMed]
- Shahabi, H.; Ahmad, B.B.; Mokhtari, M.H.; Zadeh, M.A. Detection of urban irregular development and green space destruction using normalized difference vegetation index (NDVI), principal component analysis (PCA) and post classification methods: A case study of Saqqez city. Int. J. Phys. Sci. 2012, 7, 2587–2595. [Google Scholar]
- Tien Bui, D.; Khosravi, K.; Li, S.; Shahabi, H.; Panahi, M.; Singh, V.; Chapi, K.; Shirzadi, A.; Panahi, S.; Chen, W. New hybrids of anfis with several optimization algorithms for flood susceptibility modeling. Water 2018, 10, 1210. [Google Scholar] [CrossRef]
- Dempster, A.P. Upper and lower probability inferences for families of hypotheses with monotone density ratios. Ann. Math. Stat. 1969, 40, 953–969. [Google Scholar] [CrossRef]
- Shafer, G. A Mathematical Theory of Evidence; Princeton University Press: Princeton, NJ, USA, 1976; Volume 42. [Google Scholar]
- Park, N.-W. Application of dempster-shafer theory of evidence to GIS-based landslide susceptibility analysis. Environ. Earth Sci. 2011, 62, 367–376. [Google Scholar] [CrossRef]
- Carranza, E.J.M.; Hale, M. Evidential belief functions for data-driven geologically constrained mapping of gold potential, Pbaguio district, Philippines. Ore Geol. Rev. 2003, 22, 117–132. [Google Scholar] [CrossRef]
- Chen, W.; Zhao, X.; Shahabi, H.; Shirzadi, A.; Khosravi, K.; Chai, H.; Zhang, S.; Zhang, L.; Ma, J.; Chen, Y. Spatial prediction of landslide susceptibility by combining evidential belief function, logistic regression and logistic model tree. Geocarto Int. 2019, 1–25. [Google Scholar] [CrossRef]
- Shirzadi, A.; Saro, L.; Joo, O.H.; Chapi, K. A GIS-based logistic regression model in rock-fall susceptibility mapping along a mountainous road: Salavat Abad case study, Kurdistan, Iran. Nat. Hazards 2012, 64, 1639–1656. [Google Scholar] [CrossRef]
- Shahabi, H.; Khezri, S.; Ahmad, B.B.; Hashim, M. Landslide susceptibility mapping at central zab basin, Iran: A comparison between analytical hierarchy process, frequency ratio and logistic regression models. Catena 2014, 115, 55–70. [Google Scholar] [CrossRef]
- Umar, Z.; Pradhan, B.; Ahmad, A.; Jebur, M.N.; Tehrany, M.S. Earthquake induced landslide susceptibility mapping using an integrated ensemble frequency ratio and logistic regression models in west Sumatera province, Indonesia. Catena 2014, 118, 124–135. [Google Scholar] [CrossRef]
- Hosmer, D.W.; Lemeshow, S. Applied Logistic Regression.(sl); Wiley: Hoboken, NJ, USA, 2000. [Google Scholar]
- Papadopoulou-Vrynioti, K.; Bathrellos, G.D.; Skilodimou, H.D.; Kaviris, G.; Makropoulos, K. Karst collapse susceptibility mapping considering peak ground acceleration in a rapidly growing urban area. Eng. Geol. 2013, 158, 77–88. [Google Scholar] [CrossRef]
- Pourghasemi, H.R.; Mohammady, M.; Pradhan, B. Landslide susceptibility mapping using index of entropy and conditional probability models in GIS: Safarood basin, Iran. Catena 2012, 97, 71–84. [Google Scholar] [CrossRef]
- Chung, C.-J.F.; Fabbri, A.G. Validation of spatial prediction models for landslide hazard mapping. Nat. Hazards 2003, 30, 451–472. [Google Scholar] [CrossRef]
- Bui, D.T.; Pradhan, B.; Lofman, O.; Revhaug, I.; Dick, O.B. Landslide susceptibility mapping at Hoa Binh province (Vietnam) using an adaptive neuro-fuzzy inference system and gis. Comput. Geosci. 2012, 45, 199–211. [Google Scholar]
- Pradhan, B. A comparative study on the predictive ability of the decision tree, support vector machine and neuro-fuzzy models in landslide susceptibility mapping using GIS. Comput. Geosci. 2013, 51, 350–365. [Google Scholar] [CrossRef]
- Brenning, A. Spatial prediction models for landslide hazards: Review, comparison and evaluation. Nat. Hazards Earth Syst. Sci. 2005, 5, 853–862. [Google Scholar] [CrossRef]
- Bui, D.T.; Lofman, O.; Revhaug, I.; Dick, O. Landslide susceptibility analysis in the Hoa Binh province of Vietnam using statistical index and logistic regression. Nat. Hazards 2011, 59, 1413. [Google Scholar] [CrossRef]
- Maier, H.R.; Dandy, G.C. Neural networks for the prediction and forecasting of water resources variables: A review of modelling issues and applications. Environ. Model. Softw. 2000, 15, 101–124. [Google Scholar] [CrossRef]
- Chen, W.; Hong, H.; Li, S.; Shahabi, H.; Wang, Y.; Wang, X.; Ahmad, B.B. Flood susceptibility modelling using novel hybrid approach of reduced-error pruning trees with bagging and random subspace ensembles. J. Hydrol. 2019, 575, 864–873. [Google Scholar] [CrossRef]
- Walley, P. Belief function representations of statistical evidence. Ann. Stat. 1987, 15, 1439–1465. [Google Scholar] [CrossRef]
- Carranza, E.J.M.; Van Ruitenbeek, F.; Hecker, C.; van der Meijde, M.; van der Meer, F.D. Knowledge-guided data-driven evidential belief modeling of mineral prospectivity in Cabo De Gata, SE Spain. Int. J. Appl. Earth Obs. Geoinf. 2008, 10, 374–387. [Google Scholar] [CrossRef]
- Bui, D.T.; Pradhan, B.; Lofman, O.; Revhaug, I.; Dick, O.B. Spatial prediction of landslide hazards in Hoa Binh province (Vietnam): A comparative assessment of the efficacy of evidential belief functions and fuzzy logic models. Catena 2012, 96, 28–40. [Google Scholar]
- Razavi Termeh, V.; Malek, M. Flood susceptibility mapping using ensemble of evidential belief (EBF) function with analytical hierarchy process (AHP) (Case study: Jhrom township). Geospat. Eng. J. 2017, 8, 1–15. [Google Scholar]
- Tehrany, M.S.; Kumar, L. The application of a dempster–shafer-based evidential belief function in flood susceptibility mapping and comparison with frequency ratio and logistic regression methods. Environ. Earth Sci. 2018, 77, 490. [Google Scholar] [CrossRef]
- Donati, L.; Turrini, M. An objective method to rank the importance of the factors predisposing to landslides with the GIS methodology: Application to an area of the Apennines (Valnerina; Perugia, Italy). Eng. Geol. 2002, 63, 277–289. [Google Scholar] [CrossRef]








| Classification | Sub-Classification | Source of Data | GIS Data Type | Derived Map | Scale or Resolution |
|---|---|---|---|---|---|
| Flood inventory map | Flood inventory | Mazandaran Regional Water Authority Field surveys | Polygon coverage | Seed cells | 28 m × 28 m |
| ASTER GDEM * | Slope angle | DEM * | GRID * | Slope angle | 28 m × 28 m |
| Altitude | DEM | GRID | Elevation | 28 m × 28 m | |
| Plan curvature | DEM | GRID | Curvature | 28 m × 28 m | |
| SPI * | DEM | GRID | Sediment transport index | 28 m × 28 m | |
| TWI * | DEM | GRID | Topographic wetness index | 28 m × 28 m | |
| Distance from river | DEM | Line coverage | Distance to river | 28 m × 28 m | |
| Geology Map | Geology | Geological map | GRID | Lithology | 1:100,000 |
| Land use type | Land use | OLI * of Landsat 8 image | GRID | Land use | 30 m × 30 m |
| NDVI * | OLI of Landsat 8 image | GRID | NDVI | 30 m × 30 m | |
| Precipitation | Rainfall | 20 years (1991–2011) from 17 rain gauges (IDW) * | GRID | Rainfall | 28 m × 28 m |
| Lithology | Formation | Code | Permeability |
|---|---|---|---|
| Rockfall | - | Qf | Low |
| Basic flow, pyroclastics | - | Pv | Low |
| Rocks, marl, conglomerate, Paleocene | Dorud | Pd | Low |
| Rocks, marl, conglomerate, Paleocene | Fajan | Pecf | Low |
| Thick dolomite to form massive, limestone | Elika | TRe2 | Low |
| Mafic volcanic rocks | - | TRv3 | Low |
| Gabbro | - | Tgb | Low |
| Basalt | - | Kv | Low |
| Basalt, diabase, pyroclastic rocks and pyroclastic volcanic rocks | - | Kv1 | Low |
| Tuff, basaltic andesite pyroclastic | - | Kv2 | Low |
| Cut from multiple sources, Paland formation | Paland | TRb | Low |
| Basalt and olivine | - | Qv1 | Low |
| Agglomerate and andesite tuff | - | Qv2 | Low |
| Damavand magma, Andesite trachyte | - | Qv3 | Low |
| Quartz-Diorite | - | Qd | Low |
| Rhyolite | - | Rh | Low |
| Trachyte | Eilka | TR | Low |
| Dacite | - | da | Low |
| Middle tuff member: pyroclastics | Karaj | Ekt2 | Low |
| Trachyandesite, trachybasalt, basanite | Karaj | Evkt2 | Low |
| Pyroclastic and andesite | Karaj | EA | Low |
| Dacite, pyroclastic | - | Ezt2 | Low |
| Tuff, volcanic rock | Karaj | Ek | Low |
| Scree, talus fans | - | Qs | Moderate |
| Scree | - | Qsc | Moderate |
| Marine conglomeratic terraces | - | Qt | Moderate |
| A thin layer of cream limestone, shale, limestone, Elika formation | Elika | TRe1 | Moderate |
| Sandstone, shale, limestone, quartzite, make peace | Fajan | Pefvmc | Moderate |
| Limestone, marly and sandy shales | Nesen | Pn | Moderate |
| Fusulina limestone, dolomitic limestone | Ruteh | Pr | Moderate |
| Santonian limestone | - | K2l | Moderate |
| Limestone, marl, limestone, silty marl | - | K2plm | Moderate |
| Cast locally with the layers of dolomitic limestone and shale | - | Kgl | Moderate |
| Limestone and marl | - | Kl-m | Moderate |
| Orbitolina Limestone | Tiz Kuh | Klt | Moderate |
| Nummulitic limestone | Ziarat | Ez | Moderate |
| Conglomerate | Fajan | Ef | Moderate |
| Old terraces | - | Qt1 | High |
| Undifferentiated Quaternary deposits | - | Q | High |
| Loose alluvium in the river channels | - | Qal | High |
| Landslide | - | Qlan | High |
| Moraines (glacial deposits) | - | Qm | High |
| Calcareous and siliceous shales | Karaj | Eksl | High |
| Younger gravel fans and terraces | - | Qt2 | High |
| Loess | - | Qt2c | High |
| Sinter deposits | - | Qtr | High |
| Marl | Mila | E-m | High |
| Gypsum | Kand | Eg | High |
| Factor | Class | No. of Pixels in Domain | Percentage of Domain | No. of Floods | Percentage of Floods | Bel | Dis | Unc | Pls |
|---|---|---|---|---|---|---|---|---|---|
| Altitude (m) | 328–350 | 112 | 0.02 | 0 | 0.00 | 0.000 | 0.108 | 0.892 | 0.892 |
| 350–400 | 242 | 0.04 | 0 | 0.00 | 0.000 | 0.108 | 0.892 | 0.892 | |
| 400–450 | 466 | 0.08 | 2 | 1.32 | 0.255 | 0.107 | 0.638 | 0.893 | |
| 450–500 | 651 | 0.11 | 5 | 3.31 | 0.458 | 0.104 | 0.438 | 0.896 | |
| 500–1000 | 11,230 | 1.98 | 46 | 30.46 | 0.243 | 0.077 | 0.680 | 0.923 | |
| 1000–2000 | 78,535 | 13.82 | 43 | 28.48 | 0.032 | 0.090 | 0.878 | 0.910 | |
| 2000–3000 | 282,516 | 49.70 | 55 | 36.42 | 0.012 | 0.136 | 0.852 | 0.864 | |
| 3000–4000 | 188,954 | 33.24 | 0 | 0.00 | 0.000 | 0.162 | 0.838 | 0.838 | |
| >4000 | 5722 | 1.01 | 0 | 0.00 | 0.000 | 0.109 | 0.891 | 0.891 | |
| Slope angle (in Degrees) | 0–5 | 21,626 | 3.80 | 45 | 29.80 | 0.577 | 0.138 | 0.285 | 0.862 |
| 5–10 | 43,417 | 7.63 | 45 | 29.80 | 0.287 | 0.144 | 0.569 | 0.856 | |
| 10–15 | 73,134 | 12.86 | 23 | 15.23 | 0.087 | 0.184 | 0.729 | 0.816 | |
| 15–25 | 203,899 | 35.87 | 25 | 16.55 | 0.034 | 0.246 | 0.720 | 0.754 | |
| >25 | 226,352 | 39.82 | 13 | 8.60 | 0.016 | 0.288 | 0.696 | 0.712 | |
| Plan Curvature (100/m) | Convex | 231,228 | 40.67 | 23 | 15.23 | 0.116 | 0.469 | 0.414 | 0.531 |
| Flat | 118,098 | 20.77 | 44 | 29.13 | 0.436 | 0.294 | 0.271 | 0.706 | |
| Concave | 219,102 | 38.54 | 84 | 55.62 | 0.448 | 0.237 | 0.315 | 0.763 | |
| TWI | 1.8–2 | 72,186 | 12.70 | 3 | 1.99 | 0.007 | 0.123 | 0.869 | 0.877 |
| 2–3 | 143,920 | 25.32 | 4 | 2.65 | 0.005 | 0.143 | 0.852 | 0.857 | |
| 3–4 | 135,369 | 23.81 | 9 | 5.96 | 0.012 | 0.136 | 0.853 | 0.864 | |
| 4–5 | 95,640 | 16.83 | 28 | 18.54 | 0.051 | 0.108 | 0.841 | 0.892 | |
| 5–6 | 60,717 | 10.68 | 40 | 26.49 | 0.115 | 0.090 | 0.794 | 0.910 | |
| 6–7 | 36,029 | 6.34 | 39 | 25.83 | 0.189 | 0.087 | 0.724 | 0.913 | |
| 7–8 | 17,387 | 3.06 | 18 | 11.92 | 0.181 | 0.100 | 0.719 | 0.900 | |
| 8–10 | 4945 | 0.87 | 8 | 5.30 | 0.283 | 0.105 | 0.612 | 0.895 | |
| 10–12 | 2235 | 0.39 | 2 | 1.32 | 0.156 | 0.109 | 0.735 | 0.891 | |
| SPI | 0–10 | 24 | 0.00 | 0 | 0.00 | 0.000 | 0.115 | 0.885 | 0.885 |
| 1–50 | 84 | 0.01 | 0 | 0.00 | 0.000 | 0.115 | 0.885 | 0.885 | |
| 50–100 | 293 | 0.05 | 0 | 0.00 | 0.000 | 0.115 | 0.885 | 0.885 | |
| 100–500 | 3330 | 0.59 | 0 | 0.00 | 0.000 | 0.116 | 0.884 | 0.884 | |
| 500–1000 | 5494 | 0.97 | 3 | 1.99 | 0.462 | 0.114 | 0.424 | 0.886 | |
| 1000–2000 | 15,970 | 2.81 | 1 | 0.66 | 0.053 | 0.118 | 0.829 | 0.882 | |
| 2000–5000 | 63,050 | 11.09 | 8 | 5.30 | 0.107 | 0.123 | 0.770 | 0.877 | |
| 5000–10,000 | 101,088 | 17.78 | 11 | 7.28 | 0.092 | 0.130 | 0.778 | 0.870 | |
| >10,000 | 379,095 | 66.69 | 128 | 84.77 | 0.286 | 0.053 | 0.662 | 0.947 | |
| Distance from river (m) | 0–500 | 53,685 | 9.44 | 128 | 84.76 | 0.869 | 0.025 | 0.106 | 0.975 |
| 500–1000 | 50,645 | 8.90 | 9 | 5.96 | 0.065 | 0.156 | 0.779 | 0.844 | |
| 1000–1500 | 49,097 | 8.63 | 5 | 3.31 | 0.037 | 0.160 | 0.803 | 0.840 | |
| 1500–2000 | 47,719 | 8.39 | 2 | 1.32 | 0.015 | 0.163 | 0.822 | 0.837 | |
| 2000–2500 | 48,645 | 8.55 | 1 | 0.66 | 0.007 | 0.164 | 0.828 | 0.836 | |
| >2500 | 318,637 | 56.05 | 6 | 3.97 | 0.007 | 0.331 | 0.662 | 0.669 | |
| Rainfall (mm) | 183–267 | 2193 | 0.39 | 4 | 2.65 | 0.339 | 0.108 | 0.553 | 0.892 |
| 267–329 | 9739 | 1.71 | 26 | 17.22 | 0.497 | 0.093 | 0.410 | 0.907 | |
| 329–375 | 91,375 | 16.08 | 35 | 23.18 | 0.071 | 0.101 | 0.828 | 0.899 | |
| 375–409 | 190,890 | 33.58 | 62 | 41.06 | 0.060 | 0.098 | 0.842 | 0.902 | |
| 409–434 | 170,953 | 30.07 | 19 | 12.58 | 0.021 | 0.138 | 0.841 | 0.862 | |
| 434–468 | 72,862 | 12.82 | 5 | 3.31 | 0.013 | 0.123 | 0.865 | 0.877 | |
| 468–514 | 11,300 | 1.99 | 0 | 0.00 | 0.000 | 0.113 | 0.887 | 0.887 | |
| 514–576 | 12,721 | 2.24 | 0 | 0.00 | 0.000 | 0.113 | 0.887 | 0.887 | |
| >576 | 6395 | 1.13 | 0 | 0.00 | 0.000 | 0.112 | 0.888 | 0.888 | |
| Lithology | Cenozoic | 218,690 | 38.47 | 55 | 36.42 | 0.200 | 0.173 | 0.627 | 0.827 |
| Mesozoic | 317,901 | 55.93 | 87 | 57.62 | 0.218 | 0.161 | 0.621 | 0.839 | |
| Paleozoic | 26,641 | 4.69 | 9 | 5.96 | 0.269 | 0.165 | 0.566 | 0.835 | |
| Land use | Rangeland | 52 | 2.40 | 132 | 87.42 | 0.016 | 0.210 | 0.773 | 0.790 |
| Bare land | 526,843 | 92.68 | 9 | 5.96 | 0.144 | 0.116 | 0.740 | 0.884 | |
| forest | 4043 | 0.71 | 5 | 3.31 | 0.010 | 0.126 | 0.865 | 0.874 | |
| Garden | 33,421 | 5.88 | 0 | 0.00 | 0.138 | 0.122 | 0.739 | 0.878 | |
| residential | 759 | 0.13 | 1 | 0.66 | 0.049 | 0.122 | 0.829 | 0.878 | |
| irrigation | 1312 | 0.23 | 0 | 0.00 | 0.000 | 0.123 | 0.877 | 0.877 | |
| water body | 2004 | 0.35 | 4 | 2.65 | 0.664 | 0.119 | 0.216 | 0.881 | |
| NDVI | −0.69–−0.35 | 5057 | 0.89 | 5 | 3.31 | 0.199 | 0.096 | 0.705 | 0.904 |
| −0.34–−0.18 | 11,625 | 2.05 | 7 | 4.64 | 0.121 | 0.096 | 0.783 | 0.904 | |
| −0.17–−0.13 | 28,452 | 5.01 | 17 | 11.26 | 0.120 | 0.092 | 0.788 | 0.908 | |
| −0.12–−0.08 | 188,356 | 33.14 | 15 | 9.93 | 0.016 | 0.133 | 0.851 | 0.867 | |
| −0.07–−0.03 | 177,441 | 31.22 | 32 | 21.19 | 0.036 | 0.113 | 0.851 | 0.887 | |
| −0.02–0.05 | 27,652 | 4.86 | 22 | 14.57 | 0.160 | 0.089 | 0.751 | 0.911 | |
| 0.06–0.18 | 26,985 | 4.75 | 15 | 9.93 | 0.112 | 0.093 | 0.795 | 0.907 | |
| 0.19–0.33 | 28,897 | 5.08 | 20 | 13.25 | 0.139 | 0.090 | 0.770 | 0.910 | |
| 0.34–0.47 | 38,542 | 6.78 | 16 | 10.60 | 0.084 | 0.095 | 0.822 | 0.905 | |
| 0.48–0.73 | 35,421 | 6.23 | 2 | 1.32 | 0.011 | 0.104 | 0.885 | 0.896 |
| Model | Unstandardized Coefficients | Standardized Coefficients | t | Sig. | Collinearity Statistics | ||
|---|---|---|---|---|---|---|---|
| B | SE | Beta | Tolerance | VIF | |||
| Constant | 0.130 | 0.191 | 0.679 | 0.489 | |||
| Altitude (m) | 0.00 | 0.00 | −0.300 | −6.030 | 0.00 | 0.300 | 3.331 |
| Slope angle (in Degrees) | −0.005 | 0.002 | −0.125 | −2.731 | 0.007 | 0.353 | 2.833 |
| Plan curvature (100/m) | −0.074 | 0.028 | −0.082 | −2.691 | 0.008 | 0.806 | 1.240 |
| TWI | 0.191 | 0.026 | 0.346 | 7.324 | 0.00 | 0.332 | 3.016 |
| SPI | −5.612 × 10−8 | 0.00 | −0.025 | −0.799 | 0.425 | 0.774 | 1.293 |
| Distance from river (m) | 0.00 | 0.00 | −0.321 | −7.228 | 0.00 | 0.377 | 2.656 |
| Rainfall (mm) | 0.00 | 0.00 | 0.023 | 0.716 | 0.474 | 0.714 | 1.401 |
| Lithology | 0.002 | 0.01 | 0.047 | 1.612 | 0.108 | 0.876 | 1.142 |
| Land use | −0.004 | 0.012 | −0.011 | −0.349 | 0.727 | 0.784 | 1.275 |
| NDVI | 0.105 | 0.086 | 0.038 | 1.218 | 0.224 | 0.779 | 1.284 |
| Method | Factors | B |
|---|---|---|
| Enter | Altitude (m) | −0.004 |
| Slope angle | −0.162 | |
| Plan curvature (100/m) | −0.638 | |
| TWI | 3.320 | |
| SPI | 0.00 | |
| Distance from river(m) | 0.002 | |
| Rainfall (mm) | −0.003 | |
| Lithology | 0.10 | |
| Land use | −0.362 | |
| NDVI | −0.453 | |
| Constant | 1.025 | |
| Forward (Stepwise) | Altitude (m) | −0.004 |
| Slope | −0.141 | |
| TWI | 3.402 | |
| Distance from river (m) | −0.002 | |
| Constant | −2.196 |
| Methods | Step | −2 Log Likelihood | Cox and Snell’s R Squared | Nagelkerke’s R Squared |
|---|---|---|---|---|
| Enter | 1 | 42.604a1 | 0.712 | 0.949 |
| Forward (Stepwise) | 1 | 198.454a2 | 0.518 | 0.690 |
| 2 | 83.501b | 0.670 | 0.894 | |
| 3 | 53.481c | 0.702 | 0.935 | |
| 4 | 47.401c | 0.708 | 0.943 |
© 2019 by the authors. Licensee MDPI, Basel, Switzerland. This article is an open access article distributed under the terms and conditions of the Creative Commons Attribution (CC BY) license (http://creativecommons.org/licenses/by/4.0/).
Share and Cite
Tien Bui, D.; Khosravi, K.; Shahabi, H.; Daggupati, P.; Adamowski, J.F.; Melesse, A.M.; Thai Pham, B.; Pourghasemi, H.R.; Mahmoudi, M.; Bahrami, S.; et al. Flood Spatial Modeling in Northern Iran Using Remote Sensing and GIS: A Comparison between Evidential Belief Functions and Its Ensemble with a Multivariate Logistic Regression Model. Remote Sens. 2019, 11, 1589. https://doi.org/10.3390/rs11131589
Tien Bui D, Khosravi K, Shahabi H, Daggupati P, Adamowski JF, Melesse AM, Thai Pham B, Pourghasemi HR, Mahmoudi M, Bahrami S, et al. Flood Spatial Modeling in Northern Iran Using Remote Sensing and GIS: A Comparison between Evidential Belief Functions and Its Ensemble with a Multivariate Logistic Regression Model. Remote Sensing. 2019; 11(13):1589. https://doi.org/10.3390/rs11131589
Chicago/Turabian StyleTien Bui, Duie, Khabat Khosravi, Himan Shahabi, Prasad Daggupati, Jan F. Adamowski, Assefa M. Melesse, Binh Thai Pham, Hamid Reza Pourghasemi, Mehrnoosh Mahmoudi, Sepideh Bahrami, and et al. 2019. "Flood Spatial Modeling in Northern Iran Using Remote Sensing and GIS: A Comparison between Evidential Belief Functions and Its Ensemble with a Multivariate Logistic Regression Model" Remote Sensing 11, no. 13: 1589. https://doi.org/10.3390/rs11131589
APA StyleTien Bui, D., Khosravi, K., Shahabi, H., Daggupati, P., Adamowski, J. F., Melesse, A. M., Thai Pham, B., Pourghasemi, H. R., Mahmoudi, M., Bahrami, S., Pradhan, B., Shirzadi, A., Chapi, K., & Lee, S. (2019). Flood Spatial Modeling in Northern Iran Using Remote Sensing and GIS: A Comparison between Evidential Belief Functions and Its Ensemble with a Multivariate Logistic Regression Model. Remote Sensing, 11(13), 1589. https://doi.org/10.3390/rs11131589

