Interaction of Seasonal Sun-Angle and Savanna Phenology Observed and Modelled using MODIS
Abstract
1. Introduction
2. Materials and Methods
2.1. Study Area and Local Sites
2.2. BRDF Model
2.3. Vegetation Indices
2.4. MOD09A1
2.5. MCD43A1
2.6. The Phenological Metrics Extraction Method
2.7. Statistics
3. Results
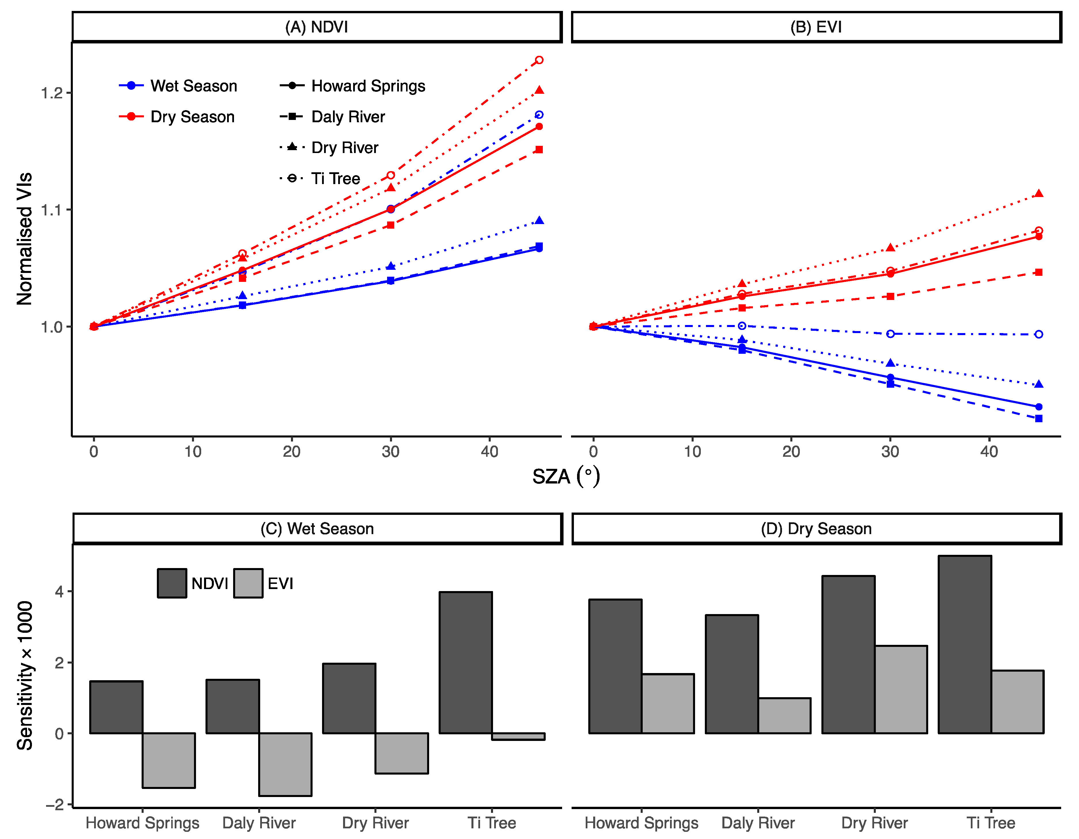
3.1. Seasonal Profiles of NDVI and EVI Normalised to Different Sun-Angles
3.2. Variations in the Sensitivity of NDVI and EVI to Sun-Angle across Sites and Phenophases
3.3. Impacts of the Sun-Angle on Phenological Metrics Derived from Time Series of VIs
4. Discussion
5. Conclusions
Author Contributions
Funding
Acknowledgments
Conflicts of Interest
References
- White, M.; Thornton, P. A continental phenology model for monitoring vegetation responses to interannual climatic variability. Glob. Biogeochem. Cycles 1997, 11, 217–234. [Google Scholar] [CrossRef]
- Running, S.; Hunt, E. Generalization of a forest ecosystem process model for other biomes, BIOME-BGC, and an application for global-scale models. In Scaling Physiological Processes from Leaf to Globe; Ehleringer, J., Field, C., Eds.; Academic Press: San Diego, CA, USA, 1993; pp. 141–158. [Google Scholar]
- Piao, S.; Fang, J.; Zhou, L.; Ciais, P.; Zhu, B. Variations in satellite-derived phenology in China’s temperate vegetation. Glob. Chang. Biol. 2006, 12, 672–685. [Google Scholar] [CrossRef]
- Richardson, A.; Anderson, R.; Altaf, A.; Barr, A.; Bohrer, B.; Chen, G.; Chen, J.M.; Ciais, P.; Davis, K.J.; Desai, A.R.; et al. Terrestrial biosphere models need better representation of vegetation phenology: Results from the North American Carbon Program Site Synthesis. Glob. Chang. Biol. 2012, 18, 566–584. [Google Scholar] [CrossRef]
- Zhang, X.; Friedl, M.; Schaaf, C.; Strahler, A.; Hodges, H.; Gao, F.; Reed, B.; Huete, A. Monitoring vegetation phenology using MODIS. Remote Sens. Environ. 2003, 84, 471–475. [Google Scholar] [CrossRef]
- Huete, A.; Didan, K.; Miura, T.; Rodriguez, E.; Gao, X.; Ferreira, L. Overview of the radiometric and biophysical performance of the MODIS vegetation indices. Remote Sens. Environ. 2002, 83, 195–213. [Google Scholar] [CrossRef]
- Pinter, P.; Zipoli, G.; Maracchi, G.; Reginato, R. Influence of topography and sensor view angles on NIR red ratio and greenness vegetation indices of wheat. Int. J. Remote Sens. 1987, 8, 953–957. [Google Scholar] [CrossRef]
- Moura, Y.; Galvão, L.; Santos dos, J.; Roberts, D.; Breuning, F. Use of MISR/Terra data to study intra- and inter-annual EVI variations in the dry season of tropical forest. Remote Sens. Environ. 2012, 127, 260–270. [Google Scholar] [CrossRef]
- Bhandari, S.; Phinn, S.; Gill, T. Assessing viewing and illumination geometry effects on the MODIS vegetation index (MOD13Q1) time series: Implication for monitoring phenology and disturbances in forest communities in Queensland, Australia. Int. J. Remote Sens. 2011, 32, 7513–7538. [Google Scholar] [CrossRef]
- Sims, D.; Rahman, A.; Vermote, E.; Jiang, Z. Seasonal and inter-annual variation in view angle effects on MODIS vegetation indices at three forest sites. Remote Sens. Environ. 2011, 115, 3112–3120. [Google Scholar] [CrossRef]
- Maignan, F.; Breon, F.; Lacaze, R. Bidirectional reflectance of Earth targets: Evaluation of analytical models using a large set of spaceborne measurements with emphasis on the Hot Spot. Remote Sens. Environ. 2004, 90, 210–220. [Google Scholar] [CrossRef]
- Reed, B.; Brown, J.; VanderZee, D.; Loveland, T.; Merchant, J.; Ohlen, D. Measuring phenological variability from satellite imagery. J. Veg. Sci. 1994, 5, 703–714. [Google Scholar] [CrossRef]
- Beck, P.; Atzberger, C.; Høgda, K.; Johansen, B.; Skidmore, A. Improved monitoring of vegetation dynamics at very high latitudes: A new method using MODIS NDVI. Remote Sens. Environ. 2006, 100, 321–334. [Google Scholar] [CrossRef]
- Ma, X.; Huete, A.; Yu, Q.; Restrepo-Coupe, N.; Davies, K.; Broich, M.; Ratana, P.; Beringer, J.; Hutley, L.B.; Cleverly, J.; et al. Spatial patterns and temporal dynamics in savanna vegetation phenology across the North Australian Tropical Transect. Remote Sens. Environ. 2013, 139, 97–115. [Google Scholar] [CrossRef]
- Schaaf, C.; Gao, F.; Strahler, A.; Lucht, W.; Li, X.; Tsang, T.; Strugnell, N.C.; Zhang, X.; Jin, Y.; Muller, J.; et al. First operational BRDF, albedo nadir reflectance products from MODIS. Remote Sens. Environ. 2002, 83, 135–148. [Google Scholar] [CrossRef]
- Wang, Z.; Schaaf, C.; Sun, Q.; Shuai, Y.; Román, M. Capturing rapid land surface dynamics within collection V006 MODIS BRDF/NBAR/Albedo (MCD43) products. Remote Sens. Environ. 2018, 207, 50–64. [Google Scholar] [CrossRef]
- Huete, A. Soil and sun angle interactions on partial canopy spectra. Int. J. Remote Sens. 1987, 8, 1307–1317. [Google Scholar] [CrossRef]
- Middleton, E. Quantifying reflectance anisotropy of photosynthetically active radiation in grasslands. J. Geophys. Res. Biogeosci. 1992, 97, 18935–18946. [Google Scholar] [CrossRef]
- Morton, D.; Nagol, J.; Carabajal, C.; Rosette, J.; Palace, M.; Cook, B.; Vermote, E.F.; Harding, D.J.; North, P.R.J. Amazon forests maintain consistent canopy structure and greenness during the dry season. Nature 2014, 506, 221–224. [Google Scholar] [CrossRef]
- Gutman, G. On the use of long-term global data of land reflectances and vegetation indices derived from the advanced very high resolution radiometer. J. Geophys. Res. Biogeosci. 1999, 104, 6241–6255. [Google Scholar] [CrossRef]
- Pinter, P. Solar angle independence in the relationship between absorbed PAR and remotely sensed data for alfalfa. Remote Sens. Environ. 1993, 46, 19–25. [Google Scholar] [CrossRef]
- Los, S.; North, P.; Grey, W.; Barnsley, M. A method to convert AVHRR Normalized Difference Vegetation Index time series to a standard viewing and illumination geometry. Remote Sens. Environ. 2005, 99, 400–411. [Google Scholar] [CrossRef]
- Nagol, J.; Vermote, E.; Prince, S. Quantification of impact of orbital drift on inter-annual trends in AVHRR NDVI data. Remote Sens. 2014, 6, 6680–6687. [Google Scholar] [CrossRef]
- Koch, G.; Vitousek, P.; Steffen, W.; Walker, B. Terrestrial transects for global change research. Vegetatio 1995, 121, 53–65. [Google Scholar] [CrossRef]
- Beringer, J.; Hutley, L.; Hacker, J.; Neininger, B.; Paw, U. Patterns and processes of carbon, water and energy cycles across northern Australian landscapes: From point to region. Agric. For. Meteorol. 2011, 151, 1409–1416. [Google Scholar] [CrossRef]
- Walker, B.; Steffen, W.; Canadell, J.; Ingram, J. The Terrestrial Biosphere and Global Change: Implications for Natural and Managed Ecosystems Synthesis Volume; IGBP Book Series No. 4; Cambridge University Press: Cambridge, UK, 1999. [Google Scholar]
- Moore, C.; Beringer, J.; Evans, B.; Hutley, L.; McHugh, I.; Tapper, N. The contribution of trees and grasses to productivity of an Australian tropical savannas. Biogeosciences 2016, 13, 2387–2403. [Google Scholar] [CrossRef]
- Wang, C.; Beringer, J.; Hutley, L.; Cleverly, J.; Li, J.; Liu, Q.; Sun, Y. Phenology dynamics of dryland ecosystems along North Australian Tropical Transect revealed by satellite solar-induced chlorophyll fluorescence. Geophys. Res. Lett. 2019. [Google Scholar] [CrossRef]
- Eamus, D.; Cleverly, J.; Boulain, N.; Grant, N.; Faux, R.; Villalobos-Vega, R. Carbon and water fluxes in an arid-zone Acacia savanna woodland: An analyses of seasonal patterns and responses to rainfall events. Agric. For. Meteorol. 2013, 182–183, 225–238. [Google Scholar] [CrossRef]
- Cleverly, J.; Boulain, N.; Villalobos-Vega, R.; Grant, N.; Faux, R.; Wood, C.; Cook, P.G.; Yu, Q.; Leigh, A.; Eamus, D. Dynamics of component carbon fluxes in a semi-arid Acacia woodland, central Australia. J. Geophys. Res. Biogeosci. 2013, 118, 1168–1185. [Google Scholar] [CrossRef]
- Roujean, J.; Leroy, M.; Deschamps, P. A bidirectional reflectance model of the Earth’s surface for the correction of remote sensing data. J. Geophys. Res. Biogeosci. 1992, 97, 20455–20468. [Google Scholar] [CrossRef]
- Vermote, E.; Justice, C.; Breon, F. Towards a generalized approach for correction of the BRDF effect in MODIS directional reflectance. IEEE Trans. Geosci. Remote Sens. 2009, 47, 898–908. [Google Scholar] [CrossRef]
- Lucht, W.; Schaaf, C.; Strahler, A. An algorithm for the retrieval of albedo from space using semiempirical BRDF models. IEEE Trans. Geosci. Remote Sens. 2000, 38, 977–998. [Google Scholar] [CrossRef]
- Strahler, A.; Muller, J.; Lucht, W.; Schaaf, C. MODIS BRDF/albedo Product: Algorithm Theoretical Basis Document Version 5.0. Available online: https://modis.gsfc.nasa.gov/data/atbd/atbd_mod09.pdf (accessed on 10 June 2019).
- Li, X.; Strahler, A. geometric-optical bidirectional reflectance modeling of the discrete crown vegetation canopy. IEEE Trans. Geosci. Remote Sens. 1992, 30, 276–292. [Google Scholar] [CrossRef]
- Myneni, R.; Hall, F.; Sellers, P.; Marshak, A. The interpretation of spectral vegetation indices. IEEE Trans. Geosci. Remote Sens. 1995, 33, 481–486. [Google Scholar] [CrossRef]
- De Beurs, K.; Henebry, G. Land surface phenology and temperature variation in the International Geosphere-Biosphere Program high-latitude transects. Glob. Chang. Biol. 2005, 11, 779–790. [Google Scholar] [CrossRef]
- Jeganathan, C.; Dash, J.; Atkinson, P. Remote sensed trends in the phenology of northern high latitude terrestrial vegetation, controlling for land cover change and vegetation type. Remote Sens. Environ. 2014, 143, 154–170. [Google Scholar] [CrossRef]
- Broich, M.; Huete, A.; Paget, M.; Ma, X.; Tulbure, M.; Restrepo-Coupe, N.; Evans, B.; Beringer, J.; Devadas, R.; Davies, K.; et al. A spatially explicit land surface phenology data product for science, monitoring and natural resources management applications. Environ. Model. Softw. 2015, 64, 191–204. [Google Scholar] [CrossRef]
- Zhang, X.; Liu, L.; Jayavelu, S.; Wang, J.; Moon, M.; Moon, M.; Henebry, G.M.; Friedl, M.A.; Schaaf, C.B. Generation and evaluation of the VIIRS land surface phenology product. Remote Sens. Environ. 2018, 216, 212–229. [Google Scholar] [CrossRef]
- Huete, A.; Glenn, E. Remote sensing of ecosystem structure and function. In Advances in Environmental Remote Sensing: Sensors, Algorithms, and Applications; Taylor and Francis Gropu: Boca Raton, FL, USA, 2011; pp. 291–320. [Google Scholar]
- Rouse, J.; Haas, R.; Schell, J.; Deering, D. Monitoring vegetation systems in the Great Plains with ERTS. In Third Earth Resources Technology Satellite-1 Symposium. Technical Presentations, Section A, Vol. I; Freden, S.C., Mercanti, E.P., Becker, M., Eds.; NASA SP-351; National Aeronautics and Space Administration: Washington, DC, USA, 1973; pp. 309–317. [Google Scholar]
- Ma, X.; Huete, A.; Moran, M.; Ponce-Campos, G.; Eamus, D. Abrupt shifts in phenology and vegetation productivity under climate extremes. J. Geophys. Res. Biogeosci. 2015, 120, 2036–2052. [Google Scholar] [CrossRef]
- R Core Team. R: A Language and Environment for Statistical Computing; R Foundation for Statistical Computing: Vienna, Austria, 2017. [Google Scholar]
- Walter-Shea, E.; Privette, J.; Cornell, D. Relations between directional spectral vegetation indices and leaf area and absorbed radiation in alfalfa. Remote Sens. Environ. 1997, 61, 162–177. [Google Scholar] [CrossRef]
- Galvão, L.; Ponzoni, F.; Epiphanio, J.; Rudorff, B.; Formaggio, A. Sun and view angle effects on NDVI determination of land cover types in the Brazilian Amazon region with hyperspectral data. Int. J. Remote Sens. 2004, 25, 1861–1879. [Google Scholar] [CrossRef]
- Huete, A.; Liu, H.; van Leeuwen, W. The use of vegetation indices in forested regions: Issues of linearity and saturation. In Proceedings of the 1997 IEEE International Geoscience and Remote Sensing Symposium, Singapore, 3–8 August 1997; pp. 1966–1968. [Google Scholar] [CrossRef]
- Liu, G.; Liu, H.; Yin, Y. Global patterns of NDVI-indicated vegetation extremes and their sensitivity to climate extremes. Environ. Res. Lett. 2013, 8, 025009. [Google Scholar] [CrossRef]
- De Beurs, K.; Wright, C.; Henebry, G. Dual scale trend analysis for evaluating climatic and anthropogenic effects on the vegetated land surface in Russia and Kazakhstan. Environ. Res. Lett. 2009, 4, 045012. [Google Scholar] [CrossRef]
- Bréon, F.; Vermote, E. Correction of MODIS surface reflectance time series for BRDF effects. Remote Sens. Environ. 2012, 125, 1–9. [Google Scholar] [CrossRef]











| Site | Longitude (°E) | Latitude (°S) | Elevation (m) | MVG | Overstorey | Understorey | Canopy Height (m) a | Soil a | MAP ± σ (mm) b |
|---|---|---|---|---|---|---|---|---|---|
| Howard Springs | 131.150 | 12.495 | 64 | Eucalypt Woodlands | Eucalyptus miniata, Erythrophleum chlorostachys, Terminalia ferdinandiana | Sorghum spp. | 18.9 | red kandosol | 1722 ± 341 |
| Daly River | 131.383 | 14.159 | 52 | Eucalypt Woodlands | T. grandiflora, E. tetrodonta, E. latifolia | Sorghum spp., Heteropogon triticeus | 16.4 | red kandosol | 1295 ± 334 |
| Dry River | 132.371 | 15.259 | 175 | Eucalypt Open Forests | E. tetrodonta, E. dichromophloia, Corymbia terminalis | Sorghum. spp., Themeda triandra, Chrysopogon fallax | 12.3 | red kandosol | 1063 ± 277 |
| Ti Tree | 133.249 | 22.283 | 606 | Acacia Woodlands | C. opaca, E. victrix, Acacia aneura | Psydrax latifolia, Thyridolepsis michelliana, Eragrostis eriopoda, Eriachne pulchella | 6.5 | red kandosol | 443 ± 222 |
© 2019 by the authors. Licensee MDPI, Basel, Switzerland. This article is an open access article distributed under the terms and conditions of the Creative Commons Attribution (CC BY) license (http://creativecommons.org/licenses/by/4.0/).
Share and Cite
Ma, X.; Huete, A.; Tran, N.N. Interaction of Seasonal Sun-Angle and Savanna Phenology Observed and Modelled using MODIS. Remote Sens. 2019, 11, 1398. https://doi.org/10.3390/rs11121398
Ma X, Huete A, Tran NN. Interaction of Seasonal Sun-Angle and Savanna Phenology Observed and Modelled using MODIS. Remote Sensing. 2019; 11(12):1398. https://doi.org/10.3390/rs11121398
Chicago/Turabian StyleMa, Xuanlong, Alfredo Huete, and Ngoc Nguyen Tran. 2019. "Interaction of Seasonal Sun-Angle and Savanna Phenology Observed and Modelled using MODIS" Remote Sensing 11, no. 12: 1398. https://doi.org/10.3390/rs11121398
APA StyleMa, X., Huete, A., & Tran, N. N. (2019). Interaction of Seasonal Sun-Angle and Savanna Phenology Observed and Modelled using MODIS. Remote Sensing, 11(12), 1398. https://doi.org/10.3390/rs11121398

