Estimation and Mapping of Forest Structure Parameters from Open Access Satellite Images: Development of a Generic Method with a Study Case on Coniferous Plantation
Abstract
1. Introduction
2. Materials
2.1. Study Site
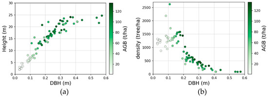
2.2. In Situ Data
2.3. Remote Sensing Data
2.3.1. Optical Data
2.3.2. SAR Data
2.3.3. Textural Metrics
2.3.4. Selection of Remote Sensing Features
3. Methods and Analysis
3.1. Relationships Between Remote Sensing Features and Forest Structure Parameters
3.2. Choice of Regression Algorithms and Parametrization
3.3. Feature Selection Process (Dimensionality Reduction)
3.4. Validation
4. Results
4.1. Method Selection
4.1.1. Machine Learning Algorithm
4.1.2. Feature Selection Approaches
4.2. Forest Parameters Estimation
4.2.1. Estimation of Aboveground Biomass (AGB)
4.2.2. Estimation of Basal Area (BA)
4.2.3. Estimation of Diameter at Breast Height (DBH)
4.2.4. Stand Age Estimation
4.2.5. Tree Density Estimation
4.2.6. Dominant Height Estimation
4.3. Mapping
4.4. Other Feature Types and Combination Analysis
4.4.1. Best Single Feature Type
4.4.2. Best Combination of Two Feature Types (Results of the Best Pairs)
4.4.3. Addition of Spot-6 Textural Metrics
5. Discussion
6. Conclusions
Author Contributions
Funding
Acknowledgments
Conflicts of Interest
Appendix A. Supplementary Scatterplot Results


Appendix B. Analysis on the Sentinel-1 Temporal Information

Appendix C. Analysis on the Sentinel-2 Temporal Information

References
- Food and Agriculture Organization of the United Nations. Global Forest Resources Assessment; FAO: Rome, Italy, 2015; ISBN 978-92-5-108826-5. [Google Scholar]
- Dixon, R.K.; Brown, S.; Houghton, R.A.; Solomon, A.M.; Trexler, M.C.; Wisniewski, J. Carbon Pools and Flux of Global Forest Ecosystems. Sci. New Ser. 1994, 263, 185–190. [Google Scholar] [CrossRef] [PubMed]
- Jochem, A.; Hollaus, M.; Rutzinger, M.; Höfle, B. Estimation of Aboveground Biomass in Alpine Forests: A Semi-Empirical Approach Considering Canopy Transparency Derived from Airborne LiDAR Data. Sensors 2010, 11, 278–295. [Google Scholar] [CrossRef] [PubMed]
- Gobakken, T.; Næsset, E.; Nelson, R.; Bollandsås, O.M.; Gregoire, T.G.; Ståhl, G.; Holm, S.; Ørka, H.O.; Astrup, R. Estimating biomass in Hedmark County, Norway using national forest inventory field plots and airborne laser scanning. Remote Sens. Environ. 2012, 123, 443–456. [Google Scholar] [CrossRef]
- D’Oliveira, M.V.N.; Reutebuch, S.E.; McGaughey, R.J.; Andersen, H.-E. Estimating forest biomass and identifying low-intensity logging areas using airborne scanning lidar in Antimary State Forest, Acre State, Western Brazilian Amazon. Remote Sens. Environ. 2012, 124, 479–491. [Google Scholar] [CrossRef]
- Bouvier, M.; Durrieu, S.; Fournier, R.A.; Renaud, J.-P. Generalizing predictive models of forest inventory attributes using an area-based approach with airborne LiDAR data. Remote Sens. Environ. 2015, 156, 322–334. [Google Scholar] [CrossRef]
- Ho Tong Minh, D.; Le Toan, T.; Rocca, F.; Tebaldini, S.; Villard, L.; Réjou-Méchain, M.; Phillips, O.L.; Feldpausch, T.R.; Dubois-Fernandez, P.; Scipal, K.; et al. SAR tomography for the retrieval of forest biomass and height: Cross-validation at two tropical forest sites in French Guiana. Remote Sens. Environ. 2016, 175, 138–147. [Google Scholar] [CrossRef]
- Wulder, M.A.; White, J.C.; Nelson, R.F.; Næsset, E.; Ørka, H.O.; Coops, N.C.; Hilker, T.; Bater, C.W.; Gobakken, T. Lidar sampling for large-area forest characterization: A review. Remote Sens. Environ. 2012, 121, 196–209. [Google Scholar] [CrossRef]
- Tomppo, E. Using coarse scale forest variables as ancillary information and weighting of variables in k-NN estimation: A genetic algorithm approach. Remote Sens. Environ. 2004, 92, 1–20. [Google Scholar] [CrossRef]
- Mcroberts, R.; Tomppo, E. Remote sensing support for national forest inventories. Remote Sens. Environ. 2007, 110, 412–419. [Google Scholar] [CrossRef]
- Koch, B. Remote Sensing Supporting National Forest Inventories; NFA: Chicago, IL, USA, 2013; p. 15. [Google Scholar]
- Fernandez-Ordonez, Y.; Soria-Ruiz, J.; Leblon, B. Forest Inventory using Optical and Radar Remote Sensing. Adv. Geosci. Remote Sens. 2009. [Google Scholar] [CrossRef]
- Goetz, S.J.; Baccini, A.; Laporte, N.T.; Johns, T.; Walker, W.; Kellndorfer, J.; Houghton, R.A.; Sun, M. Mapping and monitoring carbon stocks with satellite observations: A comparison of methods. Carbon Balance Manag. 2009, 4. [Google Scholar] [CrossRef] [PubMed]
- Dittmann, S.; Thiessen, E.; Hartung, E. Applicability of different non-invasive methods for tree mass estimation: A review. For. Ecol. Manag. 2017, 398, 208–215. [Google Scholar] [CrossRef]
- Hansen, M.C.; Potapov, P.V.; Goetz, S.J.; Turubanova, S.; Tyukavina, A.; Krylov, A.; Kommareddy, A.; Egorov, A. Mapping tree height distributions in Sub-Saharan Africa using Landsat 7 and 8 data. Remote Sens. Environ. 2016, 185, 221–232. [Google Scholar] [CrossRef]
- Chi, H.; Sun, G.; Huang, J.; Li, R.; Ren, X.; Ni, W.; Fu, A. Estimation of Forest Aboveground Biomass in Changbai Mountain Region Using ICESat/GLAS and Landsat/TM Data. Remote Sens. 2017, 9, 707. [Google Scholar] [CrossRef]
- Deo, R.; Russell, M.; Domke, G.; Andersen, H.-E.; Cohen, W.; Woodall, C. Evaluating Site-Specific and Generic Spatial Models of Aboveground Forest Biomass Based on Landsat Time-Series and LiDAR Strip Samples in the Eastern USA. Remote Sens. 2017, 9, 598. [Google Scholar] [CrossRef]
- Liu, K.; Wang, J.; Zeng, W.; Song, J. Comparison and Evaluation of Three Methods for Estimating Forest above Ground Biomass Using TM and GLAS Data. Remote Sens. 2017, 9, 341. [Google Scholar] [CrossRef]
- Bolton, D.K.; White, J.C.; Wulder, M.A.; Coops, N.C.; Hermosilla, T.; Yuan, X. Updating stand-level forest inventories using airborne laser scanning and Landsat time series data. Int. J. Appl. Earth Obs. Geoinf. 2018, 66, 174–183. [Google Scholar] [CrossRef]
- Luckman, A.; Baker, J.; Honzák, M.; Lucas, R. Tropical Forest Biomass Density Estimation Using JERS-1 SAR: Seasonal Variation, Confidence Limits, and Application to Image Mosaics. Remote Sens. Environ. 1998, 63, 126–139. [Google Scholar] [CrossRef]
- Castel, T. Retrieval biomass of a large Venezuelan pine plantation using JERS-1 SAR data. Analysis of forest structure impact on radar signature. Remote Sens. Environ. 2002, 79, 30–41. [Google Scholar] [CrossRef]
- Mitchard, E.T.A.; Saatchi, S.S.; Lewis, S.L.; Feldpausch, T.R.; Woodhouse, I.H.; Sonké, B.; Rowland, C.; Meir, P. Measuring biomass changes due to woody encroachment and deforestation/degradation in a forest–savanna boundary region of central Africa using multi-temporal L-band radar backscatter. Remote Sens. Environ. 2011, 115, 2861–2873. [Google Scholar] [CrossRef]
- Carreiras, J.M.B.; Vasconcelos, M.J.; Lucas, R.M. Understanding the relationship between aboveground biomass and ALOS PALSAR data in the forests of Guinea-Bissau (West Africa). Remote Sens. Environ. 2012, 121, 426–442. [Google Scholar] [CrossRef]
- Austin, J.M.; Mackey, B.G.; Van Niel, K.P. Estimating forest biomass using satellite radar: An exploratory study in a temperate Australian Eucalyptus forest. For. Ecol. Manag. 2003, 176, 575–583. [Google Scholar] [CrossRef]
- Mermoz, S.; Le Toan, T.; Villard, L.; Réjou-Méchain, M.; Seifert-Granzin, J. Biomass assessment in the Cameroon savanna using ALOS PALSAR data. Remote Sens. Environ. 2014, 155, 109–119. [Google Scholar] [CrossRef]
- Joshi, N.; Mitchard, E.; Schumacher, J.; Johannsen, V.; Saatchi, S.; Fensholt, R. L-Band SAR Backscatter Related to Forest Cover, Height and Aboveground Biomass at Multiple Spatial Scales across Denmark. Remote Sens. 2015, 7, 4442–4472. [Google Scholar] [CrossRef]
- Wijaya, A.; Liesenberg, V.; Susanti, A.; Karyanto, O.; Verchot, L.V. Estimation of Biomass Carbon Stocks over Peat Swamp Forests using Multi-Temporal and Multi-Polratizations SAR Data. Int. Arch. Photogramm. Remote Sens. Spat. Inf. Sci. 2015, XL-7/W3, 551–556. [Google Scholar] [CrossRef]
- Urbazaev, M.; Cremer, F.; Migliavacca, M.; Reichstein, M.; Schmullius, C.; Thiel, C. Potential of Multi-Temporal ALOS-2 PALSAR-2 ScanSAR Data for Vegetation Height Estimation in Tropical Forests of Mexico. Remote Sens. 2018, 10, 1277. [Google Scholar] [CrossRef]
- Bouvet, A.; Mermoz, S.; Le Toan, T.; Villard, L.; Mathieu, R.; Naidoo, L.; Asner, G.P. An above-ground biomass map of African savannahs and woodlands at 25 m resolution derived from ALOS PALSAR. Remote Sens. Environ. 2018, 206, 156–173. [Google Scholar] [CrossRef]
- Dobson, M.C.; Ulaby, F.T.; Pierce, L.E.; Sharik, T.L.; Lin, C.; Sarabandi, K. Estimation of Forest Biophysical Characteristics in Northem Michigan with SIR-C/X-SAR. IEEE Trans. Geosci. Remote Sens. 1995, 33, 19. [Google Scholar] [CrossRef]
- Harrell, P.A.; Kasischke, E.S.; Bourgeau-Chavez, L.L.; Haney, E.M.; Christensen, N.L. Evaluation of approaches to estimating aboveground biomass in Southern pine forests using SIR-C data. Remote Sens. Environ. 1997, 59, 223–233. [Google Scholar] [CrossRef]
- Berninger, A.; Lohberger, S.; Stängel, M.; Siegert, F. SAR-Based Estimation of Above-Ground Biomass and Its Changes in Tropical Forests of Kalimantan Using L- and C-Band. Remote Sens. 2018, 10, 831. [Google Scholar] [CrossRef]
- Baghdadi, N.; Maire, G.L.; Bailly, J.; Osé, K.; Nouvellon, Y.; Zribi, M.; Lemos, C.; Hakamada, R. Evaluation of ALOS/PALSAR L-Band Data for the Estimation ofEucalyptusPlantations Aboveground Biomass in Brazil. IEEE J. Sel. Top. Appl. Earth Obs. Remote Sens. 2015, 8, 3802–3811. [Google Scholar] [CrossRef]
- Le Toan, T.; Beaudoin, A.; Riom, J.; Guyon, D. Relating forest biomass to SAR data. IEEE Trans. Geosci. Remote Sens. 1992, 30, 403–411. [Google Scholar] [CrossRef]
- Le Toan, T.; Quegan, S.; Davidson, M.W.J.; Balzter, H.; Paillou, P.; Papathanassiou, K.; Plummer, S.; Rocca, F.; Saatchi, S.; Shugart, H.; et al. The BIOMASS mission: Mapping global forest biomass to better understand the terrestrial carbon cycle. Remote Sens. Environ. 2011, 115, 2850–2860. [Google Scholar] [CrossRef]
- Freitas, S.R.; Mello, M.C.S.; Cruz, C.B.M. Relationships between forest structure and vegetation indices in Atlantic Rainforest. For. Ecol. Manag. 2005, 218, 353–362. [Google Scholar] [CrossRef]
- Dube, T.; Mutanga, O. Evaluating the utility of the medium-spatial resolution Landsat 8 multispectral sensor in quantifying aboveground biomass in uMgeni catchment, South Africa. ISPRS J. Photogramm. Remote Sens. 2015, 101, 36–46. [Google Scholar] [CrossRef]
- Zhu, X.; Liu, D. Improving forest aboveground biomass estimation using seasonal Landsat NDVI time-series. ISPRS J. Photogramm. Remote Sens. 2015, 102, 222–231. [Google Scholar] [CrossRef]
- Proisy, C.; Couteron, P.; Fromard, F. Predicting and mapping mangrove biomass from canopy grain analysis using Fourier-based textural ordination of IKONOS images. Remote Sens. Environ. 2007, 109, 379–392. [Google Scholar] [CrossRef]
- Singh, M.; Evans, D.; Friess, D.; Tan, B.; Nin, C. Mapping Above-Ground Biomass in a Tropical Forest in Cambodia Using Canopy Textures Derived from Google Earth. Remote Sens. 2015, 7, 5057–5076. [Google Scholar] [CrossRef]
- Beguet, B.; Guyon, D.; Boukir, S.; Chehata, N. Automated retrieval of forest structure variables based on multi-scale texture analysis of VHR satellite imagery. ISPRS J. Photogramm. Remote Sens. 2014, 96, 164–178. [Google Scholar] [CrossRef]
- Meng, S.; Pang, Y.; Zhang, Z.; Jia, W.; Li, Z. Mapping Aboveground Biomass using Texture Indices from Aerial Photos in a Temperate Forest of Northeastern China. Remote Sens. 2016, 8, 230. [Google Scholar] [CrossRef]
- Sarker, L.R.; Nichol, J.E. Improved forest biomass estimates using ALOS AVNIR-2 texture indices. Remote Sens. Environ. 2011, 115, 968–977. [Google Scholar] [CrossRef]
- Sarker, M.L.R.; Nichol, J.; Ahmad, B.; Busu, I.; Rahman, A.A. Potential of texture measurements of two-date dual polarization PALSAR data for the improvement of forest biomass estimation. ISPRS J. Photogramm. Remote Sens. 2012, 69, 146–166. [Google Scholar] [CrossRef]
- Dube, T.; Mutanga, O. Investigating the robustness of the new Landsat-8 Operational Land Imager derived texture metrics in estimating plantation forest aboveground biomass in resource constrained areas. ISPRS J. Photogramm. Remote Sens. 2015, 108, 12–32. [Google Scholar] [CrossRef]
- Attarchi, S.; Gloaguen, R. Improving the Estimation of Above Ground Biomass Using Dual Polarimetric PALSAR and ETM+ Data in the Hyrcanian Mountain Forest (Iran). Remote Sens. 2014, 6, 3693–3715. [Google Scholar] [CrossRef]
- Sheeren, D.; Fauvel, M.; Josipović, V.; Lopes, M.; Planque, C.; Willm, J.; Dejoux, J.-F. Tree Species Classification in Temperate Forests Using Formosat-2 Satellite Image Time Series. Remote Sens. 2016, 8, 734. [Google Scholar] [CrossRef]
- Laurin, G.V.; Balling, J.; Corona, P.; Mattioli, W.; Papale, D.; Puletti, N.; Rizzo, M.; Truckenbrodt, J.; Urban, M. Above-ground biomass prediction by Sentinel-1 multitemporal data in central Italy with integration of ALOS2 and Sentinel-2 data. J. Appl. Remote Sens. 2018, 12, 1. [Google Scholar] [CrossRef]
- Santoro, M.; Cartus, O. Research Pathways of Forest Above-Ground Biomass Estimation Based on SAR Backscatter and Interferometric SAR Observations. Remote Sens. 2018, 10, 608. [Google Scholar] [CrossRef]
- Castillo, J.A.A.; Apan, A.A.; Maraseni, T.N.; Salmo, S.G. Estimation and mapping of above-ground biomass of mangrove forests and their replacement land uses in the Philippines using Sentinel imagery. ISPRS J. Photogramm. Remote Sens. 2017, 134, 70–85. [Google Scholar] [CrossRef]
- Gao, T.; Zhu, J.; Deng, S.; Zheng, X.; Zhang, J.; Shang, G.; Huang, L. Timber production assessment of a plantation forest: An integrated framework with field-based inventory, multi-source remote sensing data and forest management history. Int. J. Appl. Earth Obs. Geoinf. 2016, 52, 155–165. [Google Scholar] [CrossRef]
- Vafaei, S.; Soosani, J.; Adeli, K.; Fadaei, H.; Naghavi, H.; Pham, T.; Tien Bui, D. Improving Accuracy Estimation of Forest Aboveground Biomass Based on Incorporation of ALOS-2 PALSAR-2 and Sentinel-2A Imagery and Machine Learning: A Case Study of the Hyrcanian Forest Area (Iran). Remote Sens. 2018, 10, 172. [Google Scholar] [CrossRef]
- Motte, E.; Zribi, M.; Fanise, P.; Egido, A.; Darrozes, J.; Al-Yaari, A.; Baghdadi, N.; Baup, F.; Dayau, S.; Fieuzal, R.; et al. GLORI: A GNSS-R Dual Polarization Airborne Instrument for Land Surface Monitoring. Sensors 2016, 16, 732. [Google Scholar] [CrossRef]
- Zribi, M.; Guyon, D.; Motte, E.; Dayau, S.; Wigneron, J.P.; Baghdadi, N.; Pierdicca, N. Performance of GNSS-R GLORI data for biomass estimation over the Landes forest. Int. J. Appl. Earth Obs. Geoinformation 2019, 74, 150–158. [Google Scholar] [CrossRef]
- Shaiek, O.; Loustau, D.; Trichet, P.; Meredieu, C.; Bachtobji, B.; Garchi, S.; EL Aouni, M.H. Generalized biomass equations for the main aboveground biomass components of maritime pine across contrasting environments. Ann. For. Sci. 2011, 68, 443–452. [Google Scholar] [CrossRef]
- Hagolle, O.; Huc, M.; Pascual, D.V.; Dedieu, G. A multi-temporal method for cloud detection, applied to FORMOSAT-2, VENµS, LANDSAT and SENTINEL-2 images. Remote Sens. Environ. 2010, 114, 1747–1755. [Google Scholar] [CrossRef]
- Hagolle, O.; Huc, M.; Villa Pascual, D.; Dedieu, G. A Multi-Temporal and Multi-Spectral Method to Estimate Aerosol Optical Thickness over Land, for the Atmospheric Correction of FormoSat-2, LandSat, VENμS and Sentinel-2 Images. Remote Sens. 2015, 7, 2668–2691. [Google Scholar] [CrossRef]
- Shimada, M.; Ohtaki, T. Generating Large-Scale High-Quality SAR Mosaic Datasets: Application to PALSAR Data for Global Monitoring. IEEE J. Sel. Top. Appl. Earth Obs. Remote Sens. 2010, 3, 637–656. [Google Scholar] [CrossRef]
- Bruniquel, J.; Lopes, A. Multi-variate optimal speckle reduction in SAR imagery. Int. J. Remote Sens. 1997, 18, 603–627. [Google Scholar] [CrossRef]
- Quegan, S.; Yu, J.J. Filtering of multichannel SAR images. IEEE Trans. Geosci. Remote Sens. 2001, 39, 2373–2379. [Google Scholar] [CrossRef]
- Haralick, R.M.; Shanmugam, K.; Dinstein, I. Textural Features for Image Classification. IEEE Trans. Syst. Man Cybern. 1973, 3, 610–621. [Google Scholar] [CrossRef]
- Grizonnet, M.; Michel, J.; Poughon, V.; Inglada, J.; Savinaud, M.; Cresson, R. Orfeo ToolBox: Open source processing of remote sensing images. Open Geospatial Data Softw. Stand. 2017, 2. [Google Scholar] [CrossRef]
- Mountrakis, G.; Im, J.; Ogole, C. Support vector machines in remote sensing: A review. ISPRS J. Photogramm. Remote Sens. 2011, 66, 247–259. [Google Scholar] [CrossRef]
- Pal, M.; Mather, P.M. Support vector machines for classification in remote sensing. Int. J. Remote Sens. 2005, 26, 1007–1011. [Google Scholar] [CrossRef]
- Belgiu, M.; Drăguţ, L. Random forest in remote sensing: A review of applications and future directions. ISPRS J. Photogramm. Remote Sens. 2016, 114, 24–31. [Google Scholar] [CrossRef]
- Pedregosa, F.; Varoquaux, G.; Gramfort, A.; Michel, V.; Thirion, B.; Grisel, O.; Blondel, M.; Prettenhofer, P.; Weiss, R.; Dubourg, V.; et al. Scikit-learn: Machine Learning in Python. J. Mach. Learn. Res. 2011, 12, 2825–2830. [Google Scholar]
- Inglada, J.; Vincent, A.; Arias, M.; Tardy, B.; Morin, D.; Rodes, I. Operational High Resolution Land Cover Map Production at the Country Scale Using Satellite Image Time Series. Remote Sens. 2017, 9, 95. [Google Scholar] [CrossRef]
- Vastaranta, M.; Wulder, M.A.; White, J.C.; Pekkarinen, A.; Tuominen, S.; Ginzler, C.; Kankare, V.; Holopainen, M.; Hyyppä, J.; Hyyppä, H. Airborne laser scanning and digital stereo imagery measures of forest structure: Comparative results and implications to forest mapping and inventory update. Can. J. Remote Sens. 2013, 39, 382–395. [Google Scholar] [CrossRef]
- Vastaranta, M.; Holopainen, M.; Karjalainen, M.; Kankare, V.; Hyyppa, J.; Kaasalainen, S. TerraSAR-X Stereo Radargrammetry and Airborne Scanning LiDAR Height Metrics in Imputation of Forest Aboveground Biomass and Stem Volume. IEEE Trans. Geosci. Remote Sens. 2014, 52, 1197–1204. [Google Scholar] [CrossRef]











| Minimum | Maximum | Mean | |
|---|---|---|---|
| AGB (tons/ha) | 1 | 136 | 70 |
| BA (m2/ha) | 0.8 | 44.1 | 21.2 |
| Mean tree height (m) | 2 | 24.7 | 14.4 |
| Mean DBH (m) | 0.03 | 0.57 | 0.22 |
| Density (tree/ha) | 87 | 2622 | 835 |
| Age (year) | 3 | 72 | 22.6 |
| r2 | ||||||
|---|---|---|---|---|---|---|
| AGB | BA | Height | DBH | Density | Age | |
| AGB | 1 | - | - | - | - | - |
| BA | 0.90 | 1 | - | - | - | - |
| Mean tree height | 0.71 | 0.46 | 1 | - | - | - |
| Mean DBH | 0.49 | 0.24 | 0.83 | 1 | - | - |
| Density | 0.19 | 0.04 | 0.55 | 0.64 | 1 | - |
| Age | 0.40 | 0.17 | 0.74 | 0.90 | 0.53 | 1 |
| Sensors | Feature Types | Features | Abbreviation | |
|---|---|---|---|---|
| ALOS-PALSAR-2 | L-band backscatter (L-band) | L-band HV | L-HV | |
| L-band HH | L-HH | |||
| L-band HV/HH | L-Ratio | |||
| Sentinel-1 | C-band backscatter (C-band) DES-33°IA orbit, annual mean values | C-band VH | C-VH | |
| C-band VV | C-VV | |||
| C-band VH/VV | C-Ratio | |||
| C-band textural indexes (C-TI) DES-33°IA orbit, annual mean values | VH-homogeneity | C-VH-hom | ||
| VH-cluster shade | C-VH-clu | |||
| VV-homogeneity | C-VV-hom | |||
| VV-cluster shade | C-VV-clu | |||
| VH-correlation | C-VH-cor | |||
| VV-correlation | C-VV-cor | |||
| VH-Haralick correlation | C-VH-Hcor | |||
| VV-Haralick correlation | C-VV-Hcor | |||
| Sentinel-2 | Spectral indexes (S2-SI) | NDVI July | S2-NDVI-sum | |
| NDVI December | S2-NDVI-win | |||
| BI July | S2-BI-sum | |||
| BI December | S2-BI-win | |||
| NDWI July | S2-NDWI-sum | |||
| NDWI December | S2-NDWI-win | |||
| S2 textural indexes (S2-BI-TI) | Summer image | BI-homogeneity | S2-BI-sum-hom | |
| BI-cluster shade | S2-BI-sum-clu | |||
| BI-correlation | S2-BI-sum-cor | |||
| BI-Haralick correlation | S2-BI-sum-Hcor | |||
| Winter image | BI-homogeneity | S2-BI-win-hom | ||
| BI-cluster shade | S2-BI-win-clu | |||
| BI-correlation | S2-BI-win-cor | |||
| BI-Haralick correlation | S2-BI-win-Hcor | |||
| Spot-6 | Spot-XS textural indexes (Spot-BI-TI) | BI-homogeneity | Spot-BI-hom | |
| BI-cluster shade | Spot-BI-clu | |||
| BI-correlation | Spot-BI-cor | |||
| BI-Haralick correlation | Spot-BI-Hcor | |||
| Spot-PAN textural indexes (Spot-PAN-TI) | PAN-homogeneity | Spot-PAN-hom | ||
| PAN-cluster shade | Spot-PAN-clu | |||
| PAN-correlation | Spot-PAN-cor | |||
| PAN-Haralick correlation | Spot-PAN-Hcor | |||
| L | C | C-TI | S2-SI | S2-BI-TI | r2 and RMSE | |
|---|---|---|---|---|---|---|
| AGB | L-HV (1) L-HH (5) L-Ratio (9) | C-VH-clu (8) | S2-NDVI-sum (2) S2-BI-sum (3) S2-NDWI-sum (4) S2-BI-win (7) | S2-BI-win-hom (6) | r2 = 0.76 19.5 tons/ha (28.0%) | |
| BA | L-HV (1) L-HH (2) | C-VH-cor (5) C-VH-Hcor (6) | S2-BI-sum (3) | S2-BI-sum-hom (4) S2-BI-sum-Hcor (7) | r2 = 0.73 5.7 m2/ha (26.9%) | |
| DBH | L-HV (2) | C-Ratio (6) | C-VV-cor (1) C-VH-clu (4) C-VH-cor (5) | S2-BI-sum-cor (3) | r2 = 0.88 0.04 m (19.8%) | |
| Age | L-HV (2) L-HH (5) | C-VV-hom (1) C-VH-Hcor (3) C-VV-cor (4) C-VH-clu (8) | S2-BI-win (9) S2-BI-sum (10) | S2-BI-sum-hom (6) S2-BI-sum-Hcor (7) S2-BI-win-cor (11) | r2 = 0.93 3.95 years (17.4%) | |
| Density | L-HV (2) | C-Ratio (5) | C-VV-Hcor (1) C-VH-hom (4) C-VH-Hcor (6) | S2-BI-sum (7) | S2-BI-sum-hom (3) | r2 = 0.86 204 trees/ha (24.4%) |
| Height | L-HV (4) L-HH (10) | C-VH (9) | C-VH-Hcor (1) C-VV-clu (8) C-VH-clu (11) C-VV-cor (12) C-VH-cor (13) C-VV-hom (14) | S2-NDWI-win (2) | S2-BI-sum-cor (3) S2-BI-sum-hom (5) S2-BI-win-hom (6) S2-BI-sum-Hcor (7) | r2 = 0.93 1.75 m (13.2%) |
| AGB | BA | DBH | Age | Density | Height | |
|---|---|---|---|---|---|---|
| Best feature type | L-band 32% | L-band 29% | C-TI 26% | C-TI 27% | C-band 37% | C-TI 18% |
| Best two types combination | L + S2-BI-TI | L + C | C-TI + S2-BI-TI | L + C-TI | L + S2-BI-TI | C-TI + S2-BI-TI |
| 28.0% | 27.1% | 21.2% | 18.6% | 30.7% | 14.3% | |
| Five types open access images | 28.0% | 26.9% | 19.8% | 17.4% | 24.4% | 13.2% |
| Seven types (Spot-6 included) | 27.9% | 27.0% | 19.3% | 18.6% | 23.3% | 13.7% |
© 2019 by the authors. Licensee MDPI, Basel, Switzerland. This article is an open access article distributed under the terms and conditions of the Creative Commons Attribution (CC BY) license (http://creativecommons.org/licenses/by/4.0/).
Share and Cite
Morin, D.; Planells, M.; Guyon, D.; Villard, L.; Mermoz, S.; Bouvet, A.; Thevenon, H.; Dejoux, J.-F.; Le Toan, T.; Dedieu, G. Estimation and Mapping of Forest Structure Parameters from Open Access Satellite Images: Development of a Generic Method with a Study Case on Coniferous Plantation. Remote Sens. 2019, 11, 1275. https://doi.org/10.3390/rs11111275
Morin D, Planells M, Guyon D, Villard L, Mermoz S, Bouvet A, Thevenon H, Dejoux J-F, Le Toan T, Dedieu G. Estimation and Mapping of Forest Structure Parameters from Open Access Satellite Images: Development of a Generic Method with a Study Case on Coniferous Plantation. Remote Sensing. 2019; 11(11):1275. https://doi.org/10.3390/rs11111275
Chicago/Turabian StyleMorin, David, Milena Planells, Dominique Guyon, Ludovic Villard, Stéphane Mermoz, Alexandre Bouvet, Hervé Thevenon, Jean-François Dejoux, Thuy Le Toan, and Gérard Dedieu. 2019. "Estimation and Mapping of Forest Structure Parameters from Open Access Satellite Images: Development of a Generic Method with a Study Case on Coniferous Plantation" Remote Sensing 11, no. 11: 1275. https://doi.org/10.3390/rs11111275
APA StyleMorin, D., Planells, M., Guyon, D., Villard, L., Mermoz, S., Bouvet, A., Thevenon, H., Dejoux, J.-F., Le Toan, T., & Dedieu, G. (2019). Estimation and Mapping of Forest Structure Parameters from Open Access Satellite Images: Development of a Generic Method with a Study Case on Coniferous Plantation. Remote Sensing, 11(11), 1275. https://doi.org/10.3390/rs11111275

