An Improved Approach Considering Intraclass Variability for Mapping Winter Wheat Using Multitemporal MODIS EVI Images
Abstract
:1. Introduction
2. Study Area and Datasets
2.1. Study Area
2.2. Datasets
2.2.1. Remote Sensing Data
2.2.2. Crop Distribution Data
2.2.3. Statistical Data and Agrometeorological Stations Data
3. Methods
3.1. Winter Wheat Crop Calendars
3.2. Data Preprocessing
3.3. EVI Time Series Reconstruction by a Savitzky–Golay Filter
3.4. Extracting Training Samples Considering Intraclass Differences
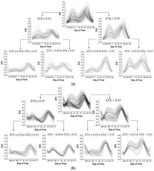
3.4.1. Generating Subclasses for the Two Study Areas
3.4.2. Calculating the Separability of Subclasses Using Jeffries–Matusita (JM) Distance
3.5. The Improved Approach to Winter Wheat Detection
3.5.1. Calculating Standard Vectors for Two Study Areas
3.5.2. Calculating Two Parameters
3.5.3. The Sensitivity Tests to Thresholds of Parameters
3.5.4. The Algorithm to Extract Winter Wheat Mapping
3.6. Statistical Analysis
3.7. Landscape Metrics Analysis
3.8. Other Methods without Intraclass Variability
3.8.1. The Approach Integrated the Angles and Distances without Considering Intraclass Variability
3.8.2. The Traditional Classification Methods without Considering Intraclass Variability
4. Results
4.1. Separability Comparisons Based on the Jeffries–Matusita (JM) Distance
4.2. Sensitivity Study for Testing Thresholds of Parameters
4.3. Winter Wheat Distribution Mapping for Kansas and the NCP
4.4. Evaluation of Winter Wheat Maps at the State/Regional Level
4.5. Evaluation of Winter Wheat Maps at the County Level
4.6. Evaluation of Winter Wheat Maps at the Site Level
4.7. Correlation between Landscape Metrics and Winter Wheat Mapping Accuracy
4.8. Comparisons with Other Methods without Considering Intraclass Variability
5. Discussion
5.1. Winter Wheat Mapping Approach Considering Intraclass Variability
5.2. Factors Influencing the Accuracy of Winter Wheat Maps
5.3. Comparison with Other Studies
5.4. Uncertainty Analysis and Future Needs
6. Conclusions
Author Contributions
Funding
Acknowledgments
Conflicts of Interest
References
- Yearbook, F.S. Asia and the Pacific, Food and Agriculture; FAO: Budapest, Hungary, 2014. [Google Scholar]
 - Lobell, D.B.; Sibley, A.; Ortiz-Monasterio, J.I. Extreme heat effects on wheat senescence in India. Nat. Clim. Chang. 2012, 2, 186. [Google Scholar] [CrossRef]
 - Ortiz, R.; Sayre, K.D.; Govaerts, B.; Gupta, R.; Subbarao, G.V.; Ban, T.; Hodson, D.; Dixon, J.; Ortiz-Monasterio, J.I.; Reynolds, M. Climate change: Can wheat beat the heat? Agric. Ecosyst. Environ. 2008, 126, 46–58. [Google Scholar] [CrossRef]
 - Becker-Reshef, I.; Vermote, E.; Lindeman, M.; Justice, C. A generalized regression-based model for forecasting winter wheat yields in Kansas and Ukraine using MODIS data. Remote Sens. Environ. 2010, 114, 1312–1323. [Google Scholar] [CrossRef]
 - Lobell, D.B.; Field, C.B. Global scale climate–crop yield relationships and the impacts of recent warming. Environ. Res. Lett. 2007, 2, 014002. [Google Scholar] [CrossRef]
 - Tilman, D.; Balzer, C.; Hill, J.; Befort, B.L. Global food demand and the sustainable intensification. Proc. Natl. Acad. Sci. USA 2011, 108, 20260–20264. [Google Scholar] [CrossRef]
 - Godfray, H.C.J.; Beddington, J.R.; Crute, I.R.; Haddad, L.; Lawrence, D.; Muir, J.F.; Toulmin, C. Food security: The challenge of feeding 9 billion people. Science 2010, 327, 812–818. [Google Scholar] [CrossRef] [PubMed]
 - Qiu, B.; Luo, Y.; Tang, H.; Chen, C.; Lu, D.; Huang, H.; Chen, Y.; Chen, N.; Xu, W. Winter wheat mapping combining variations before and after estimated heading dates. ISPRS J. Photogramm. 2017, 123, 35–46. [Google Scholar] [CrossRef]
 - Zheng, Y.; Zhang, M.; Zhang, X.; Zeng, H.; Wu, B. Mapping winter wheat biomass and yield using Time series data blended from PROBA-V 100- and 300-m S1 products. Remote Sens. 2016, 8, 824. [Google Scholar] [CrossRef]
 - Wu, D.; Yu, Q.; Lu, C.; Hengsdijk, H. Quantifying production potentials of winter wheat in the North China Plain. Eur. J. Agron. 2006, 24, 226–235. [Google Scholar] [CrossRef]
 - Siachalou, S.; Mallinis, G.; Tsakiri-Strati, M. A Hidden Markov Models Approach for Crop Classification: Linking Crop Phenology to Time Series of MultiSensor Remote Sensing Data. Remote Sens. 2015, 7, 3633–3650. [Google Scholar] [CrossRef]
 - Atzberger, C. Advances in Remote Sensing of Agriculture: Context Description, Existing Operational Monitoring Systems and Major Information Needs. Remote Sens. 2013, 5, 949–981. [Google Scholar] [CrossRef]
 - Xiao, X.; Boles, S.; Liu, J.; Zhuang, D.; Frolking, S.; Li, C.; Salas, W.; Moore, B., III. Mapping paddy rice agriculture in southern China using multitemporal MODIS images. Remote Sens. Environ. 2005, 95, 480–492. [Google Scholar] [CrossRef]
 - Wardlow, B.; Egbert, S.; Kastens, J. Analysis of time-series MODIS 250 m vegetation index data for crop classification in the U.S. Central Great Plains. Remote Sens. Environ. 2007, 108, 290–310. [Google Scholar]
 - Potgieter, A.B.; Apan, A.; Hammer, G.; Dunn, P. Early-season crop area estimates for winter crops in NE Australia using MODIS satellite imagery. ISPRS J. Photogramm. Remote Sens. 2010, 65, 380–387. [Google Scholar] [CrossRef]
 - Justice, C.O.; Vermote, E.; Townshend, J.R.; Defries, R.; Roy, D.P.; Hall, D.K.; Lucht, W. The Moderate Resolution Imaging Spectroradiometer (MODIS): Land remote sensing for global change research. IEEE Trans. Geosci. Remote Sens. 1998, 36, 1228–1249. [Google Scholar] [CrossRef]
 - Lunetta, R.S.; Shao, Y.; Ediriwickrema, J.; Lyon, J.G. Monitoring agricultural cropping patterns across the Laurentian Great Lakes Basin using MODIS-NDVI data. Int. J. Appl. Earth Obs. 2010, 12, 81–88. [Google Scholar] [CrossRef]
 - Wardlow, B.D.; Egbert, S.L. Large-area crop mapping using time-series MODIS 250 m NDVI data: An assessment for the U.S. Central Great Plains. Remote Sens. Environ. 2008, 112, 1096–1116. [Google Scholar] [CrossRef]
 - Sun, H.; Xu, A.; Lin, H.; Zhang, L.; Mei, Y. Winter wheat mapping using temporal signatures of MODIS vegetation index data. Int. J. Remote Sens. 2012, 33, 5026–5042. [Google Scholar] [CrossRef]
 - Pan, Y.; Li, L.; Zhang, J.; Liang, S.; Zhu, X.; Sulla-Menashe, D. Winter wheat area estimation from MODIS-EVI time series data using the Crop Proportion Phenology Index. Remote Sens. Environ. 2012, 119, 232–242. [Google Scholar] [CrossRef]
 - Song, Y.; Wang, J. Mapping Winter Wheat Planting Area and Monitoring Its Phenology Using Sentinel-1 Backscatter Time Series. Remote Sens. 2019, 11, 449. [Google Scholar] [CrossRef]
 - Yang, C.; Everitt, J.H.; Murden, D. Evaluating high resolution SPOT 5 satellite imagery for crop identification. Compt. Electron. Agric. 2011, 75, 347–354. [Google Scholar] [CrossRef]
 - Booth, D.J.; Oldfield, R.B. A comparison of classification algorithms in terms of speed and accuracy after the application of a post-classification modal filter. Int. J. Remote Sens. 2007, 10, 1271–1276. [Google Scholar] [CrossRef]
 - Kumar, P.; Gupta, D.K.; Mishra, V.N.; Prasad, R. Comparison of support vector machine, artificial neural network, and spectral angle mapper algorithms for crop classification using LISS IV data. Int. J. Remote Sens. 2015, 36, 1604–1617. [Google Scholar] [CrossRef]
 - Foody, G.M.; Mathur, A. A relative evaluation of multiclass image classification by support vector machines. IEEE Trans. Geosci. Remote Sens. 2004, 42, 1335–1343. [Google Scholar] [CrossRef]
 - Foody, G.M.; Mathur, A. Toward intelligent training of supervised image classifications: directing training data acquisition for SVM classification. Remote Sens. Environ. 2004, 93, 107–117. [Google Scholar] [CrossRef]
 - Pal, M.; Maxwell, A.E.; Warner, T.A. Kernel-based extreme learning machine for remote-sensing image classification. Remote Sens. Lett. 2013, 4, 853–862. [Google Scholar] [CrossRef]
 - Conrad, C.; Colditz, R.R.; Dech, S.; Klein, D.; Vlek, P.L.G. Temporal segmentation of MODIS time series for improving crop classification in Central Asian irrigation systems. Int. J. Remote Sens. 2011, 32, 8763–8778. [Google Scholar] [CrossRef]
 - Campbell, J.B. Introduction to Remote Sensing, 3rd ed.; Taylor and Francis: London, UK, 2003. [Google Scholar]
 - Hixson, M.; Schols, D.; Fuhs, N. Evaluation of several schemes for classification of remotely sensed data. Photogram. Eng. Remote Sen. 1980, 46, 1547–1553. [Google Scholar]
 - Yang, X.; Lo, C. Using a time series of satellite imagery to detect land use and land cover changes in the Atlanta, Georgia metropolitan area. Int. J Remote Sens. 2002, 23, 1775–1798. [Google Scholar] [CrossRef]
 - Teluguntla, P.; Thenkhbail, P.S.; Oliphant, A.; Xiong, J.; Gumma, M.K.; Gongalton, R.G.; Yadav, K.; Huete, A. A 30-m landsat-derived cropland extent product of Australia and China using random forest machine learning algorithm on Google Earth Engine cloud computing platform. ISPRS J. Photogramm. 2018, 144, 325–340. [Google Scholar] [CrossRef]
 - Massey, R.; Sankey, T.T.; Congalton, R.G.; Yadav, K.; Thenkabail, P.S.; Ozdogan, M.; Meador, A.J.S. MODIS phenology-derived, multiyear distribution of conterminous US crop types. Remote Sens. Environ. 2017, 198, 490–503. [Google Scholar] [CrossRef]
 - Yuping, M.; Shili, W.; Li, Z.; Yingyu, H.; Liwei, Z.; Yanbo, H.; Futang, W. Monitoring winter wheat growth in North China by combining a crop model and remote sensing data. Int. J. Appl. Earth Obs. 2008, 10, 426–437. [Google Scholar] [CrossRef]
 - Donmez, E.; Sears, R.G.; Shroyer, J.P.; Paulsen, G.M. Genetic gain in yield attributes of winter wheat in the Great Plains. Crop Sci. 2001, 41, 1412–1419. [Google Scholar] [CrossRef]
 - Lu, L.; Wang, C.; Guo, H.; Li, Q. Detecting winter wheat phenology with SPOT-VEGETATION data in the North China Plain. Geocarto. Int. 2014, 29, 244–255. [Google Scholar] [CrossRef]
 - Changming, L.; Jingjie, Y.; Kendy, E. Groundwater exploitation and its impact on the environment in the North China Plain. Water Int. 2001, 26, 265–272. [Google Scholar] [CrossRef]
 - Sun, H.-Y.; Liu, C.-M.; Zhang, X.-Y.; Shen, Y.-J.; Zhang, Y.-Q. Effects of irrigation on water balance, yield and WUE of winter wheat in the North China Plain. Agr. Water Manag. 2006, 85, 211–218. [Google Scholar] [CrossRef]
 - Chen, C.; Wang, E.; Yu, Q. Modeling Wheat and Maize Productivity as Affected by Climate Variation and Irrigation Supply in North China Plain. Agronomy J. 2010, 102, 1037. [Google Scholar] [CrossRef]
 - Zhu, J.-g.; Li, E.-l.; Li, X.-j.; Hai, B.-b.; Zhou, C. Agricultural Efficiency and Its Decomposition Based on DEA in the Huang-Huai-Hai Plain. Sci. Geogr. Sinica 2013, 33, 1458–1466. [Google Scholar]
 - Ren, J.; Chen, Z.; Zhou, Q.; Tang, H. Regional yield estimation for winter wheat with MODIS-NDVI data in Shandong, China. Int. J. Appl. Earth Obs. 2008, 10, 403–413. [Google Scholar] [CrossRef]
 - Huete, A.; Didan, K.; Miura, T.; Rodriguez, E.P.; Gao, X.; Ferreira, L.G. Overview of the radiometric and biophysical performance of the MODIS vegetation indices. Remote Sens. Environ. 2002, 83, 195–213. [Google Scholar] [CrossRef]
 - Justice, C.O.; Townshend, J.R.G.; Vermote, E.F.; Masuoka, E.; Wolfe, R.E.; Saleous, N.; Morisette, J.T. An overview of MODIS Land data processing and product status. Remote Sens. Environ. 2002, 83, 3–15. [Google Scholar] [CrossRef]
 - Shao, Y.; Lunetta, R.S.; Wheeler, B.; Iiames, J.S.; Campbell, J.B. An evaluation of time-series smoothing algorithms for land-cover classifications using MODIS-NDVI multitemporal data. Remote Sens. Environ. 2016, 174, 258–265. [Google Scholar] [CrossRef]
 - Foody, G.M.; Mathur, A.; Sanchez-Hernandez, C.; Boyd, D.S. Training set size requirements for the classification of a specific class. Remote Sens. Environ. 2006, 104, 1–14. [Google Scholar] [CrossRef]
 - Liu, J.; Zhu, W.; Atzberger, C.; Zhao, A.; Pan, Y.; Huang, X. A Phenology-Based Method to Map Cropping Patterns under a Wheat-Maize Rotation Using Remotely Sensed Time-Series Data. Remote Sens. 2018, 10, 1203. [Google Scholar] [CrossRef]
 - Pan, Z.; Huang, J.; Zhou, Q.; Wang, L.; Cheng, Y.; Zhang, H.; Liu, J. Mapping crop phenology using NDVI time-series derived from HJ-1 A/B data. Int. J. Appl. Earth Obs. 2015, 34, 188–197. [Google Scholar] [CrossRef]
 - Savitzky, A.; Golay, M.J. Smoothing and differentiation of data by simplified least squares procedures. Anal. Chem. 1964, 36, 1627–1639. [Google Scholar] [CrossRef]
 - Teukolsky, S.A.; Press, W.H.; Vetterling, W.T. Numerical Recipes in C: The Art of Scientific Computing, 2nd ed.; Cambridge University Press: Cambridge, UK, 1994. [Google Scholar]
 - Cong, N.; Piao, S.; Chen, A.; Wang, X.; Lin, X.; Chen, S.; Zhang, X. Spring vegetation green-up date in China inferred from SPOT NDVI data: A multiple model analysis. Agric. For. Meteorol. 2012, 165, 104–113. [Google Scholar] [CrossRef]
 - Doraiswamy, P.C.; Stern, A.J.; Akhmedov, B. Crop classification in the US Corn Belt using MODIS imagery. In Proceedings of the 2007 IEEE International Geoscience and Remote Sensing Symposium, Barcelona, Spain, 23–27 July 2007. [Google Scholar]
 - Li, L.; Friedl, M.A.; Xin, Q.; Gray, J.; Pan, Y.; Frolking, S. Mapping crop cycles in China using MODIS-EVI time series. Remote Sens. 2014, 6, 2473–2493. [Google Scholar] [CrossRef]
 - Richards, J.A.; Richards, J. Remote Sensing Digital Image Analysis; Springer: Berlin, Germany, 1999; Volume 3. [Google Scholar]
 - Van Niel, T.G.; McVicar, T.R.; Datt, B. On the relationship between training sample size and data dimensionality: Monte Carlo analysis of broadband multitemporal classification. Remote Sens. Environ. 2005, 98, 468–480. [Google Scholar] [CrossRef]
 - Loncan, L.; de Almeida, L.; Bioucas-Dias, J.M.; Briottet, X.; Chanussot, J.; Dobigeon, N.; Fabre, S.; Liao, W.; Licciardi, G.A.; Simoes, M.; et al. Hyperspectral pansharpening: A review. IEEE Geosci. Remote Sens. 2015, 3, 27–46. [Google Scholar] [CrossRef]
 - De Castro, A.I.; Jurado-Expósito, M.; Peña-Barragán, J.M.; López-Granados, F. Airborne multispectral imagery for mapping cruciferous weeds in cereal and legume crops. Precis Agric. 2012, 13, 302–321. [Google Scholar] [CrossRef]
 - Harken, J.; Sugumaran, R. Classification of Iowa wetlands using an airborne hyperspectral image: A comparison of the spectral angle mapper classifier and an object-oriented approach. Can. J. Remote Sens. 2005, 31, 167–174. [Google Scholar] [CrossRef]
 - Rembold, F.; Maselli, F. Estimation of inter-annual crop area variation by the application of spectral angle mapping to low resolution multitemporal NDVI images. Photogram. Eng. Rem S. 2006, 72, 55–62. [Google Scholar] [CrossRef]
 - Yan, H.; Xiao, X.; Huang, H.; Liu, J.; Chen, J.; Bai, X. Multiple cropping intensity in China derived from agro-meteorological observations and MODIS data. Chin. Geogr. Sci. 2013, 24, 205–219. [Google Scholar] [CrossRef]
 - Shang, R.; Liu, R.; Xu, M.; Liu, Y.; Zuo, L.; Ge, Q. The relationship between threshold-based and inflexion-based approaches for extraction of land surface phenology. Remote Sens. Environ. 2017, 199, 167–170. [Google Scholar] [CrossRef]
 - Hubert-Moy, L.; Cottonec, A.; Le Du, L.; Chardin, A.; Perez, P. A comparison of parametric classification procedures of remotely sensed data applied on different landscape units. Remote Sens. Environ. 2001, 75, 174–187. [Google Scholar] [CrossRef]
 - Congalton, R.G. A review of assessing the accuracy of classifications of remotely sensed data. Remote Sens. Environ. 1991, 37, 35–46. [Google Scholar] [CrossRef]
 - Monmonier, M.S. Measures of Pattern Complexity for Choroplethic Maps. Am. Cartographer. 1974, 1, 159–169. [Google Scholar] [CrossRef]
 - Gasparri, N.I.; Grau, H.R. Deforestation and fragmentation of Chaco dry forest in NW Argentina (1972–2007). For. Ecol. Manag. 2009, 258, 913–921. [Google Scholar] [CrossRef]
 - Jia, K.; Wu, B.; Li, Q. Crop classification using HJ satellite multispectral data in the North China Plain. J. Appl. Remote Sens. 2013, 7, 073576. [Google Scholar] [CrossRef]
 - Boryan, C.; Yang, Z.; Mueller, R.; Craig, M. Monitoring US agriculture: the US department of agriculture, national agricultural statistics service, cropland data layer program. Geocarto Int. 2011, 26, 341–358. [Google Scholar] [CrossRef]
 - Han, W.; Yang, Z.; Di, L.; Yagci, A.L.; Han, S. Making Cropland Data Layer Data Accessible and Actionable in GIS Education. J. Geogr. 2014, 113, 129–138. [Google Scholar] [CrossRef]
 - Congalton, R.G.; Green, K. Assessing the Accuracy of Remotely Sensed Data: Principles and Practices; CRC Press: Boca Raton, FL, USA, 2008. [Google Scholar]
 - Friedl, M.A.; McIver, D.K.; Hodges, J.C.; Zhang, X.Y. Global land cover mapping from MODIS algorithms and early results. Remote Sens. Environ. 2002, 83, 287–302. [Google Scholar] [CrossRef]
 - Lunetta, R.S.; Knight, J.F.; Ediriwickrema, J.; Lyon, J.G.; Worthy, L.D. Land-cover change detection using multitemporal MODIS NDVI data. Remote Sens. Environ. 2006, 105, 142–154. [Google Scholar] [CrossRef]
 - Son, N.-T.; Chen, C.-F.; Chen, C.-R.; Duc, H.-N.; Chang, L.-Y. A Phenology-Based Classification of Time-Series MODIS Data for Rice Crop Monitoring in Mekong Delta, Vietnam. Remote Sens. 2013, 6, 135–156. [Google Scholar] [CrossRef]
 - Tao, J.-b.; Wu, W.-b.; Zhou, Y.; Wang, Y.; Jiang, Y. Mapping winter wheat using phenological feature of peak before winter on the North China Plain based on time-series MODIS data. J. Integr. Agric. 2017, 16, 348–359. [Google Scholar] [CrossRef]
 - Song, X.; Duan, Z.; Jiang, X. Comparison of artificial neural networks and support vector machine classifiers for land cover classification in Northern China using a SPOT-5 HRG image. Int. J. Remote Sens. 2011, 33, 3301–3320. [Google Scholar] [CrossRef]
 








| Month | Sep | Oct | Nov | Dec | Jan | Feb | Mar | Apr | May | Jun | Jul | ||||||||||||||||||||||
|---|---|---|---|---|---|---|---|---|---|---|---|---|---|---|---|---|---|---|---|---|---|---|---|---|---|---|---|---|---|---|---|---|---|
| Ten-day | E M L | E M L | E M L | E M L | E M L | E M L | E M L | E M L | E M L | E M L | E M L | ||||||||||||||||||||||
| Kansas | |||||||||||||||||||||||||||||||||
| NCP | |||||||||||||||||||||||||||||||||
| Training Samples | Validation Samples | Total | ||
|---|---|---|---|---|
| Winter Wheat | Winter Wheat | No-Winter Wheat | ||
| Kansas | 100 | 300 | 300 | 600 | 
| NCP | 145 | 250 | 250 | 745 | 
| Subclasses of Training Samples | First Peak | Second Peak | Numbers of Training Samples | |
|---|---|---|---|---|
| Kansas | NCP | |||
| I | EVIi ≤ 0.30 | EVIj ≤ 0.53 | 27 | 36 | 
| II | EVIi > 0.30 | EVIj ≤ 0.53 | 23 | 35 | 
| III | EVIi ≤ 0.35 | EVIj > 0.53 | 22 | 38 | 
| IV | EVIi > 0.35 | EVIj > 0.53 | 28 | 36 | 
| Total | 100 | 145 | ||
| Types | Kansas (Numbers of Training Samples)  | Types | NCP (Numbers of Training Samples)  | 
|---|---|---|---|
| Architecture | 45 | Architecture | 45 | 
| Corn | 45 | Other crops | 70 | 
| soybean | 45 | Forest | 27 | 
| Forest | 45 | Grass | 50 | 
| Grass/pasture | 45 | Water | 35 | 
| Water | 45 | 
| Kansas | Range of Parameters | Test 1 | Test 2 | Test 3 | Test 4 | Test 5 | Test 6 | Test 7 | Test 8 | 
| (0.95, 1.00) | 0.950 | 0.960 | 0.962 | 0.965 | 0.968 | 0.970 | 0.972 | 0.975 | |
| (0.96, 1.00) | 0.940 | 0.950 | 0.952 | 0.955 | 0.958 | 0.960 | 0.962 | 0.965 | |
| (0.94, 1.00) | 0.940 | 0.950 | 0.952 | 0.955 | 0.958 | 0.960 | 0.962 | 0.965 | |
| (0.95, 1.00) | 0.935 | 0.945 | 0.948 | 0.950 | 0.954 | 0.955 | 0.960 | 0.965 | |
| (1200, 4200) | 3500 | 3400 | 3350 | 3300 | 3250 | 3200 | 3100 | 2800 | |
| (1300, 5500) | 4800 | 4700 | 4650 | 4600 | 4550 | 4500 | 4200 | 4000 | |
| (1600, 5500) | 4800 | 4700 | 4650 | 4600 | 4550 | 4500 | 4200 | 4000 | |
| (1300, 7500) | 6800 | 6700 | 6650 | 6600 | 6550 | 6500 | 6200 | 6000 | |
| NCP | Range of Parameters | Test 1 | Test 2 | Test 3 | Test 4 | Test 5 | Test 6 | Test 7 | Test 8 | 
| (0.98, 1.00) | 0.975 | 0.978 | 0.980 | 0.982 | 0.984 | 0.985 | 0.990 | 0.990 | |
| (0.93, 1.00) | 0.965 | 0.968 | 0.970 | 0.972 | 0.974 | 0.975 | 0.980 | 0.980 | |
| (0.95, 1.00) | 0.975 | 0.978 | 0.980 | 0.985 | 0.986 | 0.988 | 0.990 | 0.990 | |
| (1000, 3700) | 3500 | 3450 | 3400 | 3350 | 3320 | 3300 | 3250 | 3200 | |
| (650, 3100) | 3800 | 3750 | 3700 | 3650 | 3620 | 3600 | 3550 | 3500 | |
| (800, 5000) | 3000 | 2950 | 2900 | 2850 | 2820 | 2800 | 2750 | 2700 | |
| (900, 5900) | 2900 | 2850 | 2800 | 2750 | 2720 | 2700 | 2650 | 2600 | 
| Kansas | Subclass 2 | Subclass 3 | Subclass 4 | Corn | Soybean | Forest | Grass/Pasture | Architecture | Water | 
| Subclass 1 | 1.9999 | 2.0000 | 2.0000 | 2.0000 | 2.0000 | 2.0000 | 2.0000 | 2.0000 | 2.0000 | 
| Subclass 2 | 2.0000 | 1.9999 | 2.0000 | 2.0000 | 2.0000 | 2.0000 | 2.0000 | 2.0000 | |
| Subclass 3 | 2.0000 | 2.0000 | 2.0000 | 2.0000 | 2.0000 | 2.0000 | 2.0000 | ||
| Subclass 4 | 2.0000 | 2.0000 | 2.0000 | 2.0000 | 2.0000 | 2.0000 | |||
| Corn | 1.9966 | 2.0000 | 2.0000 | 2.0000 | 2.0000 | ||||
| Soybean | 1.9999 | 2.0000 | 2.0000 | ||||||
| Forest | 1.9999 | 1.9999 | 2.0000 | ||||||
| Grass/Pasture | 2.0000 | 2.0000 | |||||||
| Architecture | 2.0000 | ||||||||
| NCP | Subclass 2 | Subclass 3 | Subclass 4 | Other Crops | Forest | Grass | Architecture | Water | |
| Subclass 1 | 1.9762 | 1.9687 | 1.9911 | 1.9285 | 2.0000 | 2.0000 | 2.0000 | 2.0000 | |
| Subclass 2 | 1.9962 | 1.9952 | 1.9940 | 2.0000 | 2.0000 | 2.0000 | 2.0000 | ||
| Subclass 3 | 1.9837 | 1.9816 | 2.0000 | 2.0000 | 2.0000 | 2.0000 | |||
| Subclass 4 | 1.9982 | 2.0000 | 2.0000 | 2.0000 | 2.0000 | ||||
| Other crops | 1.9994 | 1.9973 | 1.9988 | 1.9999 | |||||
| Forest | 1.9997 | 2.0000 | 2.0000 | ||||||
| Grass | 1.9745 | 2.0000 | |||||||
| Architecture | 2.0000 | 
| Test | Kansas | NCP | 
|---|---|---|
| Test 1 | 76.72% | 71.45% | 
| Test 2 | 86.40% | 76.59% | 
| Test 3 | 89.14% | 81.13% | 
| Test 4 | 92.73% | 86.13% | 
| Test 5 | 96.56% | 90.96% | 
| Test 6 | 99.18% | 92.88% | 
| Test 7 | 96.78% | 90.00% | 
| Test 8 | 90.51% | 88.05% | 
| Area (Acres) | Area (Acres) | PE | 1 − PE | |||
|---|---|---|---|---|---|---|
| Kansas | USDA | 6,950,000 | Results | 7,291,287 | 4.91% | 95.09% | 
| CDL | 7,231,855 | 0.82% | 99.18% | |||
| NCP | Statistics | 30,468,975 | 32,638,646 | 7.12% | 92.88% | |
| Kansas | Wheat | No-Wheat | UA | NCP | Wheat | No-Wheat | UA | 
|---|---|---|---|---|---|---|---|
| Wheat | 261 | 19 | 93.21% | Wheat | 207 | 32 | 86.61% | 
| No-wheat | 39 | 281 | 87.81% | No-wheat | 43 | 218 | 83.52% | 
| PA | 87.00% | 93.67% | PA | 82.80% | 87.20% | ||
| OA | 90.33% | OA | 85.00% | ||||
| KAPPA | 0.81 | KAPPA | 0.70 | ||||
| FRG (Winter Wheat) | <0.001 | 0.0001–0.0015 | 0.0015–0.0020 | 0.0020–0.0040 | >0.0040 | 
| Average FRG | 0.0008 | 0.0012 | 0.0018 | 0.0030 | 0.0054 | 
| Average percentage errors | 11.59% | 14.12% | 15.54% | 36.01% | 69.47% | 
| Number of counties | 18 | 19 | 15 | 13 | 10 | 
| r | 0.99 * | ||||
| PLAND (Winter Wheat) | <1% | 1–10% | 10–20% | 20–30% | >30% | 
| Average PLAND | 0.54% | 3.70% | 14.57% | 24.14% | 34.77% | 
| Average percentage errors | 59.40% | 22.53% | 17.70% | 9.89% | 7.73% | 
| Number of counties | 16 | 13 | 24 | 16 | 6 | 
| r | −0.79 | ||||
| Methods | Kansas | NCP | ||
|---|---|---|---|---|
| OA | Kappa | OA | Kappa | |
| MLC | 73.00% | 0.46 | 69.60% | 0.39 | 
| SVM | 87.83% | 0.76 | 84.40% | 0.69 | 
| ANN | 87.66% | 0.75 | 83.80% | 0.68 | 
| Approach (without intraclass) | 81.83% | 0.64 | 66.20% | 0.32 | 
| Improved approach | 90.33% | 0.81 | 85.00% | 0.70 | 
© 2019 by the authors. Licensee MDPI, Basel, Switzerland. This article is an open access article distributed under the terms and conditions of the Creative Commons Attribution (CC BY) license (http://creativecommons.org/licenses/by/4.0/).
Share and Cite
Yang, Y.; Tao, B.; Ren, W.; Zourarakis, D.P.; Masri, B.E.; Sun, Z.; Tian, Q. An Improved Approach Considering Intraclass Variability for Mapping Winter Wheat Using Multitemporal MODIS EVI Images. Remote Sens. 2019, 11, 1191. https://doi.org/10.3390/rs11101191
Yang Y, Tao B, Ren W, Zourarakis DP, Masri BE, Sun Z, Tian Q. An Improved Approach Considering Intraclass Variability for Mapping Winter Wheat Using Multitemporal MODIS EVI Images. Remote Sensing. 2019; 11(10):1191. https://doi.org/10.3390/rs11101191
Chicago/Turabian StyleYang, Yanjun, Bo Tao, Wei Ren, Demetrio P. Zourarakis, Bassil El Masri, Zhigang Sun, and Qingjiu Tian. 2019. "An Improved Approach Considering Intraclass Variability for Mapping Winter Wheat Using Multitemporal MODIS EVI Images" Remote Sensing 11, no. 10: 1191. https://doi.org/10.3390/rs11101191
APA StyleYang, Y., Tao, B., Ren, W., Zourarakis, D. P., Masri, B. E., Sun, Z., & Tian, Q. (2019). An Improved Approach Considering Intraclass Variability for Mapping Winter Wheat Using Multitemporal MODIS EVI Images. Remote Sensing, 11(10), 1191. https://doi.org/10.3390/rs11101191
        
