Time Series Analysis of Land Surface Temperatures in 20 Earthquake Cases Worldwide
Abstract
1. Introduction
2. Materials and Methods
2.1. Input Data
2.2. Earthquake Catalog
2.3. Methodology
2.3.1. Pre-Processing
2.3.2. Normalization
2.3.3. Anomaly Detection
2.3.4. Anomaly Density Calculations
2.3.5. Statistical Analysis
3. Results
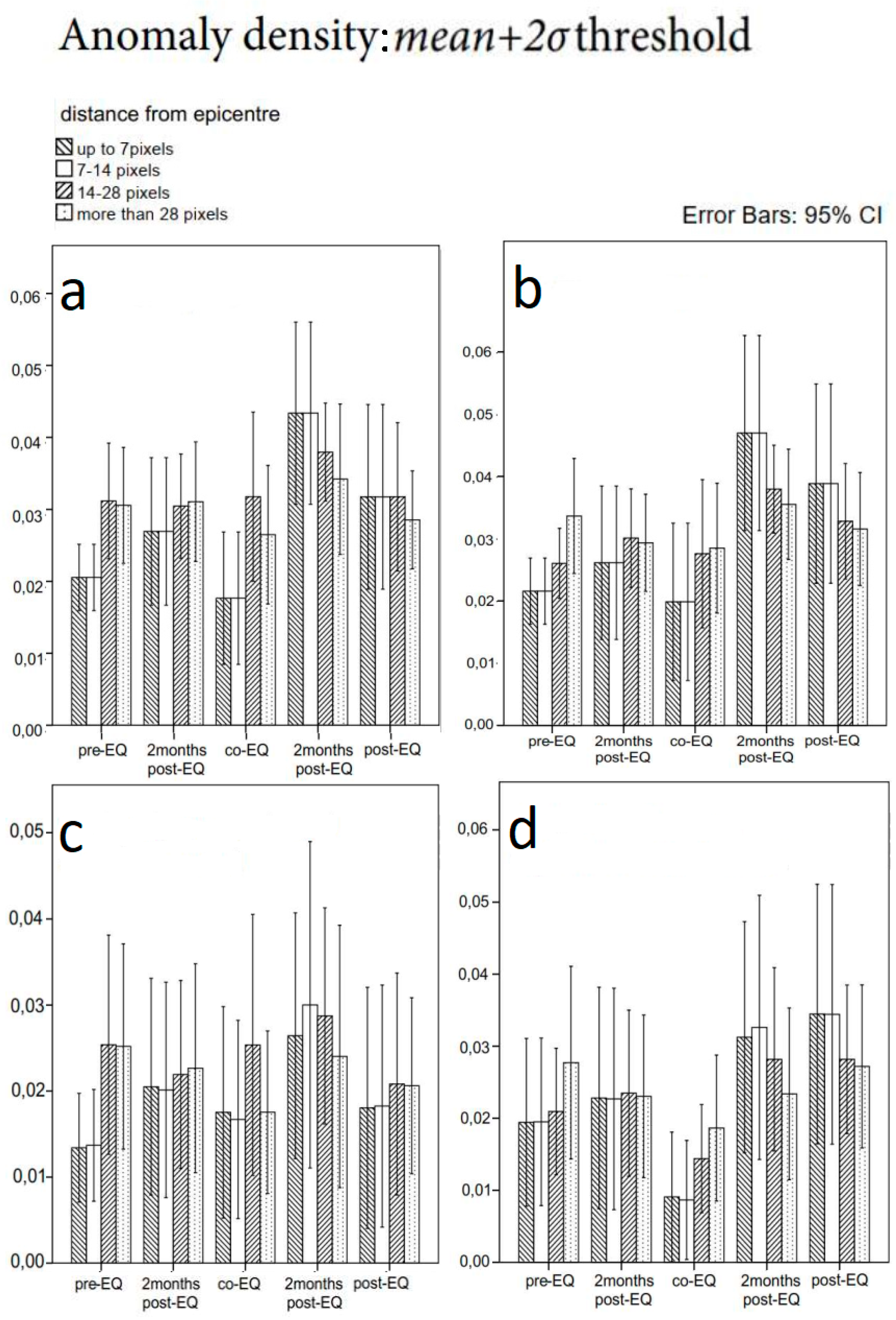
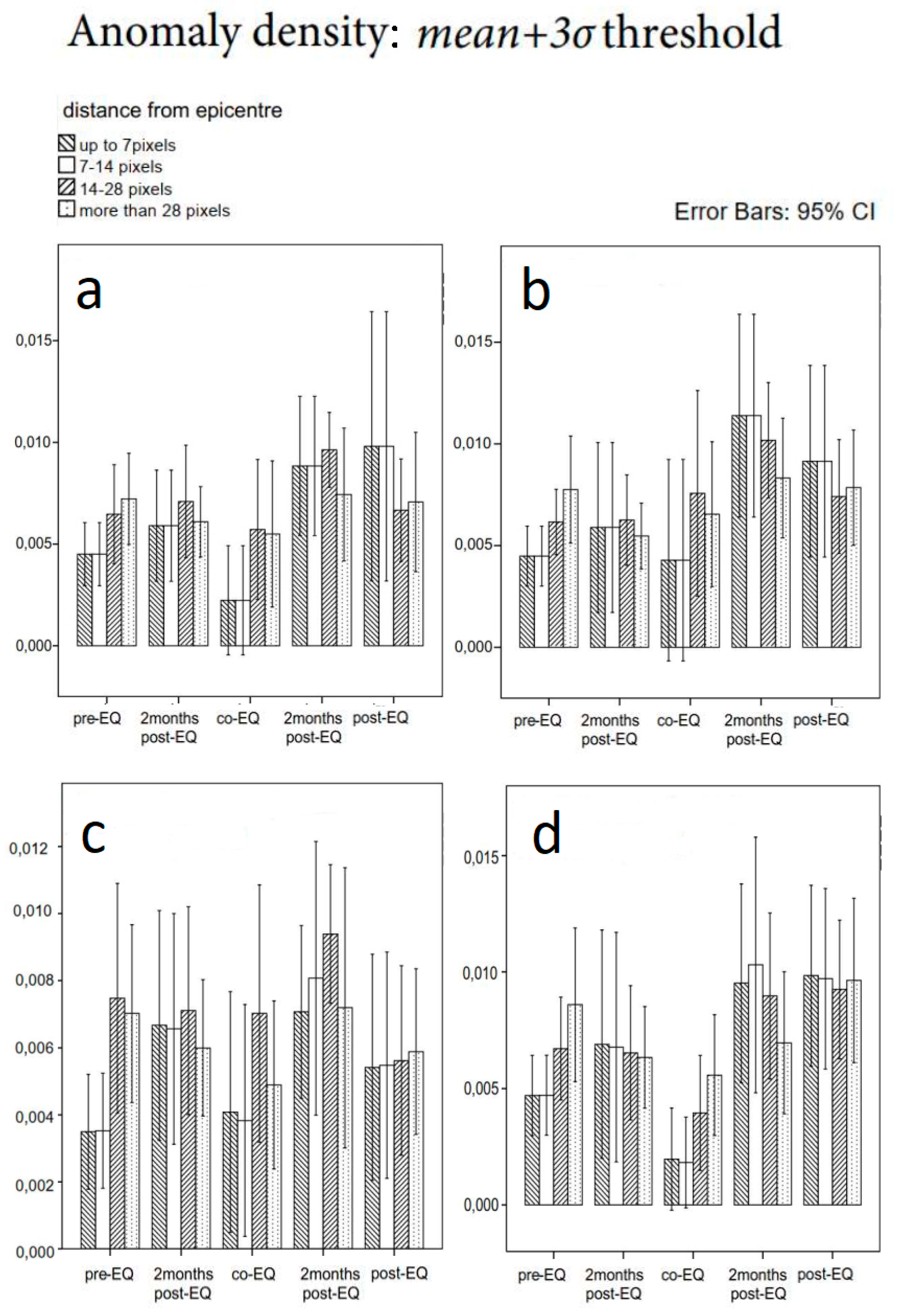
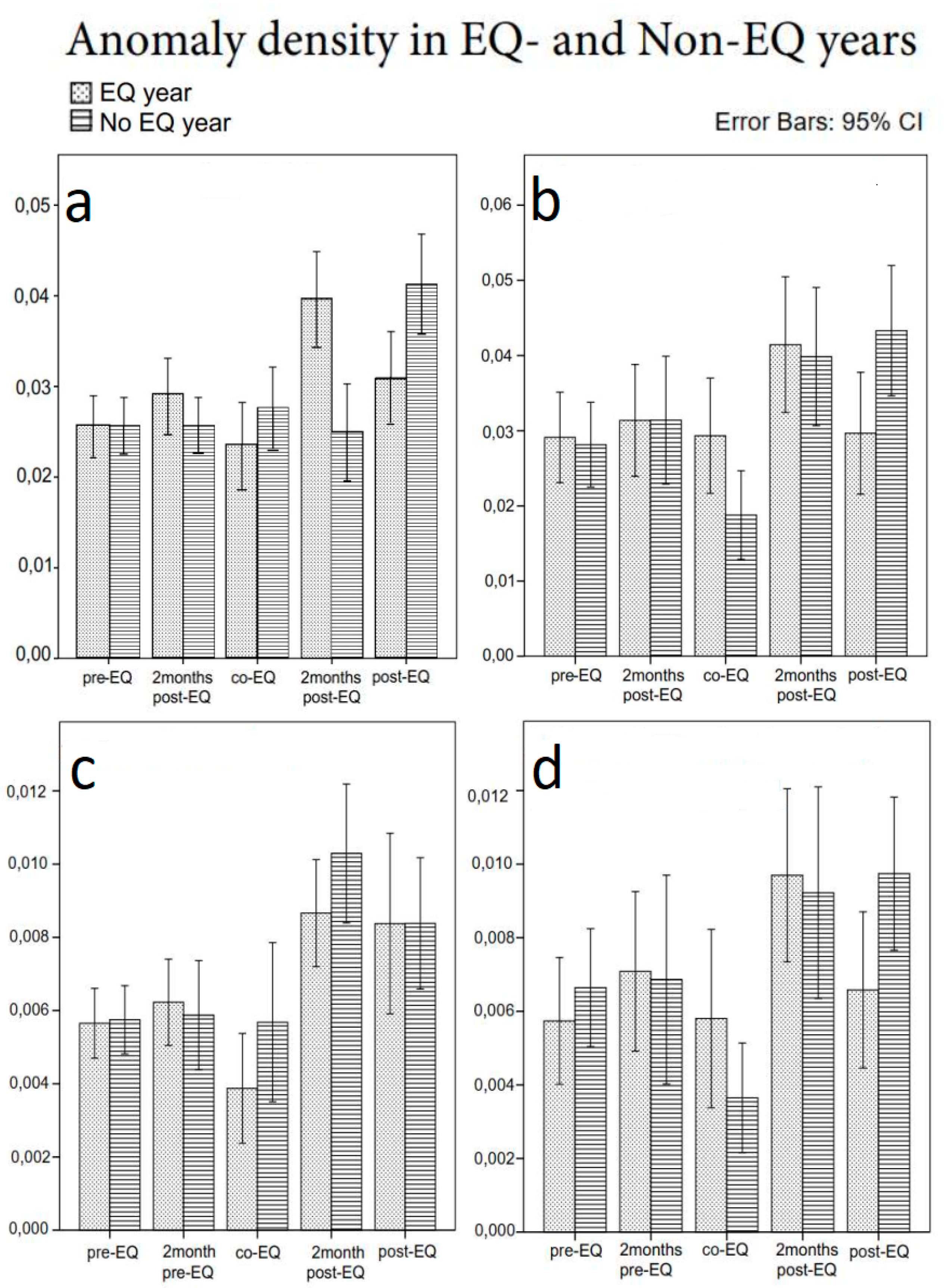
3.1. Anomaly Detection
3.2. Statistical Analysis
4. Discussion
4.1. Choice of Data Input
4.2. Spatial Extent of Anomalies
4.3. Distance between Anomalies and Earthquakes
4.4. Temporal Resolution
4.5. Temporal Coincidence with Earthquakes
4.6. Statistical Analysis
4.7. Potential Sources of Anomaly
4.8. Limitations
5. Conclusions
Supplementary Materials
Author Contributions
Funding
Acknowledgments
Conflicts of Interest
Appendix A
Appendix A1. Statistical Analysis of Anomaly Density Data, μ + 2σ Threshold, No Adjustment of the Co-Seismic Period
Appendix A2. Statistical Analysis of Anomaly Density Data, μ + 2σ Threshold, with Adjustment of the Co-Seismic Period

Appendix A3. Statistical Analysis of Anomaly Density Data, μ + 3σ Threshold, No Adjustment of the Co-Seismic Period
Appendix A4. Statistical Analysis of Anomaly Density Data, μ + 3σ Threshold, with Adjustment of the Co-Seismic Period

References
- Tramutoli, V.; Corrado, R.; Filizzola, C.; Genzano, N.; Lisi, M.; Pergola, N. From visual comparison to Robust Satellite Techniques: 30 years of thermal infrared satellite data analyses for the study of earthquake preparation phases. Boll. Geofis. Teor. Appl. 2015, 56, 167–202. [Google Scholar]
- Lisi, M.; Filizzola, C.; Genzano, N.; Grimaldi, C.; Lacava, T.; Marchese, F.; Mazzeo, G.; Pergola, N.; Tramutoli, V. A study on the Abruzzo 6 April 2009 earthquake by applying the RST approach to 15 years of AVHRR TIR observations. Nat. Hazards Earth Syst. Sci. 2010, 10, 395–406. [Google Scholar] [CrossRef]
- Ouzounov, D.; Bryant, N.; Logan, T.; Pulinets, S.; Taylor, P. Satellite thermal IR phenomena associated with some of the major earthquakes in 1999–2003. Phys. Chem. Earth Parts A/B/C 2006, 31, 154–163. [Google Scholar] [CrossRef]
- Tramutoli, V.; Di Bello, G.; Pergola, N.; Piscitelli, S. Robust satellite techniques for remote sensing of seismically active areas. Ann. Geofis. 2001, 44. [Google Scholar] [CrossRef]
- Baral, S.; Sharma, K.; Saraf, A.; Das, J.; Singh, G.; Borgohain, S.; Kar, E. Thermal anomaly from NOAA data for the Nepal earthquake. Curr. Sci. 2016, 110, 150. [Google Scholar]
- Lisi, M.; Filizzola, C.; Genzano, N.; Paciello, R.; Pergola, N.; Tramutoli, V. Reducing atmospheric noise in RST analysis of TIR satellite radiances for earthquakes prone areas satellite monitoring. Phys. Chem. Earth Parts A/B/C 2015, 85–86, 87–97. [Google Scholar] [CrossRef]
- Akhoondzadeh, M. A comparison of classical and intelligent methods to detect potential thermal anomalies before the 11 August 2012 Varzeghan, Iran, earthquake (Mw = 6.4). Nat. Hazards Earth Syst. Sci. 2013, 13, 1077. [Google Scholar] [CrossRef]
- Alvan, H.V.; Mansor, S.; Omar, H.; Azad, F.H. Precursory signals associated with the 2010 M8.8 Bio-Bio earthquake (Chile) and the 2010 M7.2 Baja California earthquake (Mexico). Arab. J. Geosci. 2014, 7, 4889–4897. [Google Scholar] [CrossRef]
- Qin, K.; Wu, L.; Santis, A.D.; Meng, J.; Ma, W.; Cianchini, G. Quasi-synchronous multi-parameter anomalies associated with the 2010–2011 New Zealand earthquake sequence. Nat. Hazards Earth Syst. Sci. 2012, 12, 1059–1072. [Google Scholar] [CrossRef]
- Pulinets, S.; Dunajecka, M. Specific variations of air temperature and relative humidity around the time of Michoacan earthquake M8. 1 Sept. 19, 1985 as a possible indicator of interaction between tectonic plates. Tectonophysics 2007, 431, 221–230. [Google Scholar] [CrossRef]
- Panda, S.; Choudhury, S.; Saraf, A.; Das, J. MODIS land surface temperature data detects thermal anomaly preceding 8 October 2005 Kashmir earthquake. Int. J. Remote Sens. 2007, 28, 4587–4596. [Google Scholar] [CrossRef]
- Lu, X.; Meng, Q.Y.; Gu, X.F.; Zhang, X.D.; Xie, T.; Geng, F. Thermal infrared anomalies associated with multi-year earthquakes in the Tibet region based on China’s FY-2E satellite data. Adv. Space Res. 2016, 58, 989–1001. [Google Scholar] [CrossRef]
- Ouzounov, D.; Liu, D.; Chunli, K.; Cervone, G.; Kafatos, M.; Taylor, P. Outgoing long wave radiation variability from IR satellite data prior to major earthquakes. Tectonophysics 2007, 431, 211–220. [Google Scholar] [CrossRef]
- Cervone, G.; Maekawa, S.; Singh, R.; Hayakawa, M.; Kafatos, M.; Shvets, A. Surface latent heat flux and nighttime LF anomalies prior to the Mw = 8.3 Tokachi-Oki earthquake. Nat. Hazards Earth Syst. Sci. 2006, 6, 109–114. [Google Scholar] [CrossRef]
- Dey, S.; Singh, R. Surface latent heat flux as an earthquake precursor. Nat. Hazards Earth Syst. Sci. 2003, 3, 749–755. [Google Scholar] [CrossRef]
- Rezapour, N.; Fattahi, M.; Bidokhti, A.A. Possible soil thermal response to seismic activities in Alborz region (Iran). Nat. Hazards Earth Syst. Sci. 2010, 10, 459–464. [Google Scholar] [CrossRef]
- Liu, D.-F.; Peng, K.-Y.; Liu, W.-H.; Li, L.-Y.; Hou, J.-S. Thermal omens before earthquakes. Acta Seismol. Sin. 1999, 12, 710–715. [Google Scholar] [CrossRef]
- Jordan, T.H.; Chen, Y.-T.; Gasparini, P.; Madariaga, R.; Main, I.; Marzocchi, W.; Papadopoulos, G.; Sobolev, G.; Yamaoka, K.; Zschau, J. Operational Earthquake Forecasting. State of Knowledge and Guidelines for Utilization. Ann. Geophys. 2011, 2011, 54. [Google Scholar] [CrossRef]
- Akhoondzadeh, M. An Adaptive Network-based Fuzzy Inference System for the detection of thermal and TEC anomalies around the time of the Varzeghan, Iran, (Mw = 6.4) earthquake of 11 August 2012. Adv. Space Res. 2013, 52, 837–852. [Google Scholar] [CrossRef]
- Yao, Q.-L.; Qiang, Z.-J. The elliptic stress thermal field prior to M S 7.3 Yutian, and M S 8.0 Wenchuan earthquakes in China in 2008. Nat. Hazards 2010, 54, 307–322. [Google Scholar] [CrossRef]
- Tronin, A. Thermal IR satellite sensor data application for earthquake research in China. Int. J. Remote Sens. 2000, 21, 3169–3177. [Google Scholar] [CrossRef]
- Jie, Y.; Guangmeng, G. Preliminary analysis of thermal anomalies before the 2010 Baja California M7.2 earthquake. Atmósfera 2013, 26, 473–477. [Google Scholar] [CrossRef]
- Singh, R.P.; Mehdi, W.; Gautam, R.; Senthil Kumar, J.; Zlotnicki, J.; Kafatos, M. Precursory signals using satellite and ground data associated with the Wenchuan Earthquake of 12 May 2008. Int. J. Remote Sens. 2010, 31, 3341–3354. [Google Scholar] [CrossRef]
- Ouzounov, D.; Freund, F. Mid-infrared emission prior to strong earthquakes analyzed by remote sensing data. Adv. Space Res. 2004, 33, 268–273. [Google Scholar] [CrossRef]
- Eneva, M.; Adams, D.; Wechsler, N.; Ben-Zion, Y.; Dor, O. Thermal Properties of Faults in Southern California from Remote Sensing Data; Imagair Inc. Contracted by NASA Goddard Space Flight Center, SAIC n.NNH05CC13C: San Diego, CA, USA, 2008. [Google Scholar]
- Blackett, M.; Wooster, M.J.; Malamud, B.D. Exploring land surface temperature earthquake precursors: A focus on the Gujarat (India) earthquake of 2001. Geophys. Res. Lett. 2011, 38. [Google Scholar] [CrossRef]
- Pavlidou, E.; van der Meijde, M.; van der Werff, H.; Hecker, C. Finding a needle by removing the haystack: A spatio-temporal normalization method for geophysical data. Comput. Geosci. 2016, 90, 78–86. [Google Scholar] [CrossRef]
- Tramutoli, V.; Cuomo, V.; Filizzola, C.; Pergola, N.; Pietrapertosa, C. Assessing the potential of thermal infrared satellite surveys for monitoring seismically active areas: The case of Kocaeli (Izmit) earthquake, August 17, 1999. Remote Sens. Environ. 2005, 96, 409–426. [Google Scholar] [CrossRef]
- Qu, C.Y.; Ma, J.; Shan, X.J. Counterevidence for an earthquake precursor of satellite thermal infrared anomalies. Chin. J. Geophys. 2006, 49, 426–431. [Google Scholar] [CrossRef]
- Xiong, P.; Shen, X.H. Outgoing longwave radiation anomalies analysis associated with different types of seismic activity. Adv. Space Res. 2017, 59, 1408–1415. [Google Scholar] [CrossRef]
- Jiao, Z.-H.; Zhao, J.; Shan, X. Pre-seismic anomalies from optical satellite observations: A review. Nat. Hazards Earth Syst. Sci. 2018. [Google Scholar] [CrossRef]
- Bhardwaj, A.; Singh, S.; Sam, L.; Joshi, P.K.; Bhardwaj, A.; Martín-Torres, F.J.; Kumar, R. A review on remotely sensed land surface temperature anomaly as an earthquake precursor. Int. J. Appl. Earth Obs. Geoinf. 2017, 63, 158–166. [Google Scholar] [CrossRef]
- Li, Z.-L.; Tang, B.-H.; Wu, H.; Ren, H.; Yan, G.; Wan, Z.; Trigo, I.F.; Sobrino, J.A. Satellite-derived land surface temperature: Current status and perspectives. Remote Sens. Environ. 2013, 131, 14–37. [Google Scholar] [CrossRef]
- Freitas, S.C.; Trigo, I.F.; Bioucas-Dias, J.M.; Gottsche, F.M. Quantifying the Uncertainty of Land Surface Temperature Retrievals From SEVIRI/Meteosat. IEEE Trans. Geosci. Remote Sens. 2010, 48, 523–534. [Google Scholar] [CrossRef]
- Freitas, S.C.; Trigo, I.F.; Macedo, J.; Barroso, C.; Silva, R.; Perdigão, R. Land surface temperature from multiple geostationary satellites. Int. J. Remote Sens. 2013, 34, 3051–3068. [Google Scholar] [CrossRef]
- Trigo, I.F.; Dacamara, C.C.; Viterbo, P.; Roujean, J.-L.; Olesen, F.; Barroso, C.; Camacho-de-Coca, F.; Carrer, D.; Freitas, S.C.; García-Haro, J.; et al. The Satellite Application Facility for Land Surface Analysis. Int. J. Remote Sens. 2011, 32, 2725–2744. [Google Scholar] [CrossRef]
- Wan, Z. New refinements and validation of the collection-6 MODIS land-surface temperature/emissivity product. Remote Sens. Environ. 2014, 140, 36–45. [Google Scholar] [CrossRef]
- Aliano, C.; Corrado, R.; Filizzola, C.; Genzano, N.; Pergola, N.; Tramutoli, V. Robust TIR satellite techniques for monitoring earthquake active regions: Limits, main achievements and perspectives. Ann. Geophys. 2008, 51, 303–317. [Google Scholar]
- Peel, M.C.; Finlayson, B.L.; McMahon, T.A. Updated world map of the Köppen-Geiger climate classification. EGU Hydrol. Earth Syst. Sci. Discuss. 2007, 4, 439–473. [Google Scholar] [CrossRef]
- Saradjian, M.; Akhoondzadeh, M. Prediction of the date, magnitude and affected area of impending strong earthquakes using integration of multi precursors earthquake parameters. Nat. Hazards Earth Syst. Sci. 2011, 11, 1109. [Google Scholar] [CrossRef]
- Dobrovolsky, I.P.; Gershenzon, N.I.; Gokhberg, M.B. Theory of electrokinetic effects occurring at the final stage in the preparation of a tectonic earthquake. Phys. Earth Planet. Inter. 1989, 57, 144–156. [Google Scholar] [CrossRef]
- Wells, D.L.; Coppersmith, K.J. New empirical relationships among magnitude, rupture length, rupture width, rupture area and surface displacement. Bull. Seismol. Soc. Am. 1994, 84, 974–1002. [Google Scholar]
- Shi, X.; Wang, Y.; Liu-Zeng, J.; Weldon, R.; Wei, S.; Wang, T.; Sieh, K. How complex is the 2016Mw 7.8 Kaikoura earthquake, South Island, New Zealand? Sci. Bull. 2017, 62, 309–311. [Google Scholar] [CrossRef]
- Daneshvar, M.R.M.; Tavousi, T.; Khosravi, M. Synoptic detection of the short-term atmospheric precursors prior to a major earthquake in the Middle East, North Saravan M 7.8 earthquake, SE Iran. Air Qual. Atmos. Health 2014, 7, 29–39. [Google Scholar] [CrossRef]
- Qin, K.; Guo, G.; Wu, L. Surface latent heat flux anomalies preceding inland earthquakes in China. Earthq. Sci. 2009, 22, 555–562. [Google Scholar] [CrossRef]
- Tronin, A.A.; Hayakawa, M.; Molchanov, O.A. Thermal IR satellite data application for earthquake research in Japan and China. J. Geodyn. 2002, 33, 519–534. [Google Scholar] [CrossRef]
- Barkat, A.; Ali, A.; Rehman, K.; Awais, M.; Riaz, M.S.; Iqbal, T. Thermal IR satellite data application for earthquake research in Pakistan. J. Geodyn. 2018, 116, 13–22. [Google Scholar] [CrossRef]
- Qin, K.; Wu, L.; Zheng, S.; Liu, S. A deviation-time-space-thermal (DTS-T) method for global earth observation system of systems (GEOSS)-based earthquake anomaly recognition: Criterions and quantify indices. Remote Sens. 2013, 5, 5143–5151. [Google Scholar] [CrossRef]
- Wei, L.; Guo, J.; Liu, J.; Lu, Z.; Li, H.; Cai, H. Satellite Thermal Infrared Earthquake Precursor to the Wenchuan Ms 8.0 Earthquake in Sichuan, China, and its Analysis on Geo-dynamics. Acta Geol. Sin. (Engl. Ed.) 2009, 83, 767–775. [Google Scholar] [CrossRef]
- Wu, L.; Liu, S.; Li, J.; Dong, Y.; Xu, X. Theoretical analysis to impending tectonic earthquake warning based on satellite infrared anomaly. In Proceedings of the Geoscience and Remote Sensing Symposium, IGARSS 2007, Barcelona, Spain, 23–28 July 2007; IEEE International: Piscataway, NJ, USA; pp. 3723–3727. [Google Scholar]
- Quigley, M.C.; Hughes, M.W.; Bradley, B.A.; van Ballegooy, S.; Reid, C.; Morgenroth, J.; Horton, T.; Duffy, B.; Pettinga, J.R. The 2010–2011 Canterbury Earthquake Sequence: Environmental effects, seismic triggering thresholds and geologic legacy. Tectonophysics 2016, 672, 228–274. [Google Scholar] [CrossRef]
- Hauksson, E.; Stock, J.; Hutton, K.; Yang, W.; Vidal-Villegas, J.A.; Kanamori, H. The 2010 M w 7.2 El Mayor-Cucapah Earthquake Sequence, Baja California, Mexico and Southernmost California, USA: Active Seismotectonics along the Mexican Pacific Margin. Pure Appl. Geophys. 2011, 168, 1255–1277. [Google Scholar] [CrossRef]
- Chiaraluce, L.; Di Stefano, R.; Tinti, E.; Scognamiglio, L.; Michele, M.; Casarotti, E.; Cattaneo, M.; De Gori, P.; Chiarabba, C.; Monachesi, G.; et al. The 2016 Central Italy Seismic Sequence: A First Look at the Mainshocks, Aftershocks, and Source Models. Seismol. Res. Lett. 2017. [Google Scholar] [CrossRef]
- Doğan, B.; Karakaş, A. Geometry of co-seismic surface ruptures and tectonic meaning of the 23 October 2011 Mw 7.1 Van earthquake (East Anatolian Region, Turkey). J. Struct. Geol. 2013, 46, 99–114. [Google Scholar] [CrossRef]
- Elliot, J.R.; Copley, A.C.; Holley, R.; Scharer, K.; Parsons, B. The 2011 Mw 7.1 Van (Eastern Turkey) earthquake. J. Geophy. Res. Solid Earth 2011, 118. [Google Scholar] [CrossRef]
- Govoni, A.; Marchetti, A.; De Gori, P.; Di Bona, M.; Lucente, F.P.; Improta, L.; Chiarabba, C.; Nardi, A.; Margheriti, L.; Agostinetti, N.P.; et al. The 2012 Emilia seismic sequence (Northern Italy): Imaging the thrust fault system by accurate aftershock location. Tectonophysics 2014, 622, 44–55. [Google Scholar] [CrossRef]
- Qin, K.; Wu, L.X.; De Santis, A.; Cianchini, G. Preliminary analysis of surface temperature anomalies that preceded the two major Emilia 2012 earthquakes (Italy). Ann. Geophys. 2012. [Google Scholar] [CrossRef]
- Maxwell, S.E.; Delaney, H.D.; Kelley, K. Designing Experiments and Analyzing Data: A Model Comparison Perspective, 3rd ed.; Routledge: New York, NY, USA, 2018. [Google Scholar]
- Pulinets, S.A.; Morozova, L.I.; Yudin, I.A. Synchronization of atmospheric indicators at the last stage of earthquake preparation cycle. Res. Geophys. 2014, 4. [Google Scholar] [CrossRef]
- Wu, L.-X.; Qin, K.; Liu, S.-J. GEOSS-based thermal parameters analysis for earthquake anomaly recognition. Proc. IEEE 2012, 100, 2891–2907. [Google Scholar] [CrossRef]
- Tronin, A.A. Thermal satellite data for earthquake research. In Proceedings of the Geoscience and Remote Sensing Symposium, IGARSS 2000, Honolulu, HI, USA, 24–28 July 2000; IEEE International: Piscataway, NJ, USA; pp. 2703–2705. [Google Scholar]
- Qiang, Z.-J.; Xu, X.-D.; Dian, C.-G. Case 27 thermal infrared anomaly precursor of impending earthquakes. Pure Appl. Geophys. 1997, 149, 159–171. [Google Scholar] [CrossRef]
- Piroddi, L.; Ranieri, G. Night thermal gradient: A new potential tool for earthquake precursors studies. An application to the seismic area of L’Aquila (central Italy). IEEE J. Sel. Top. Appl. Earth Obs. Remote Sens. 2012, 5, 307–312. [Google Scholar] [CrossRef]
- Zhang, Y.; Guo, X.; Zhong, M.; Shen, W.; Li, W.; He, B. Wenchuan earthquake: Brightness temperature changes from satellite infrared information. Chin. Sci. Bull. 2010, 55, 1917–1924. [Google Scholar] [CrossRef]
- Zhang, W.; Zhao, J.; Wang, W.; Huazhong, R.; Chen, L.; Yan, G. A Preliminary Evaluation of Surface Latent Heat Flux as an Earthquake Precursor. Nat. Hazards Earth Syst. Sci. 2013, 1, 2667–2693. [Google Scholar] [CrossRef]
- Eneva, M.; Coolbaugh, M. Importance of Elevation and Temperature Inversions for the Interpretation of Thermal Infrared Satellite Images used in Geothermal Exploration. Trans. Geotherm. Resour. Counc. 2009, 33, 467–470. [Google Scholar]
- Phelan, E.P.; Kaloush, K.; Miner, M.; Golden, J.; Phelan, B.; Silva, H.I.; Taylor, R.A. Urban Heat Island: Mechanisms, Implications, and Possible Remedies. Annu. Rev. Environ. Resour. 2015, 40, 285–307. [Google Scholar] [CrossRef]
- Sismanidis, P.; Bechtel, B.; Keramitsoglou, I.; Kiranoudis, C.T. Mapping the Spatiotemporal Dynamics of Europe’s Land Surface Temperatures. IEEE Geosci. Remote Sens. Lett. 2018, 15, 202–206. [Google Scholar] [CrossRef]
- Mira, M.; Valor, E.; Boluda, R.; Caselles, V.; Coll, C. Influence of soil water content on the thermal infrared emissivity of bare soils: Implication for land surface temperature determination. J. Geophys. Res. Earth Surf. 2007, 112. [Google Scholar] [CrossRef]
- Sobrino, J.A.; Jiménez-Muñoz, J.C. Minimum configuration of thermal infrared bands for land surface temperature and emissivity estimation in the context of potential future missions. Remote Sens. Environ. 2014, 148, 158–167. [Google Scholar] [CrossRef]





| Earthquake | Date | Mw | Epic. Depth (km) | Focal Mechanism | EQ Year | Control Year | Study Area (km2) | Climate |
|---|---|---|---|---|---|---|---|---|
| 1. Ahar, Iran | 11 August 2012 | 6.2 | 12 | strike-slip | 2012 | 2011 | 415 × 530 | Conti-nental |
| 2. Ahar, Iran | 11 August 2012 | 6.4 | 11 | strike-slip | 2012 | 2011 | 415 × 530 | Conti-nental |
| 3. Baja California, Mexico | 4 April 2010 | 7.2 | 10 | strike-slip | 2010 | 2016 | 1705 × 1665 | Arid |
| 4 April 2010 | 5.7 | 10 | thrust | 2010 | 2016 | |||
| 4. Ocotillo, Mexico | 15 June 2010 | 5.7 | 8.7 | strike-slip | 2010 | 2016 | 1705 × 1665 | Arid |
| 5. Yunnan, China | 10 March 2011 | 5.5 | 10 | strike-slip | 2011 | 2012 | 840 × 550 | Tempe-rate |
| 6. Shwebo, Myanmar | 11 November 2012 | 6.8 | 13.7 | strike-slip | 2011 | 2012 | 665 × 550 | Tropical |
| 11 November 2012 | 5.8 | 6 | strike-slip | 2011 | 2012 | |||
| 11 November 2012 | 5.5 | 28.4 | strike-slip | 2011 | 2012 | |||
| 7. Burma, Myanmar | 24 March 2011 | 6.9 | 8 | strike-slip | 2011 | 2012 | 1505 × 455 | Tropical |
| 23 March 2011 | 5.7 | 10 | strike-slip | 2011 | 2012 | |||
| 8. Christchurch,NZ | 14 February 2016 | 5.8 | 7.6 | thrust | 2016 | 2012 | 1350 × 1400 | Tempe-rate |
| 9. Kaikoura, NZ | 13 November 2016 | 7.8 | 15 | thrust | 2016 | 2012 | 1350 × 1400 | Tempe-rate |
| 13 November 2016 | 6.5 | 10 | thrust | 2016 | 2012 | |||
| 13 November 2016 | 6.2 | 10 | strike-slip | 2016 | 2012 | |||
| 13 November 2016 | 6.1 | 14 | strike-slip | 2016 | 2012 | |||
| 13 November 2016 | 5.5 | 10 | 2016 | 2012 | ||||
| 14 November 2016 | 6.5 | 9 | strike-slip | 2016 | 2012 | |||
| 10. Amberlay, NZ | 22 November 2016 | 5.5 | 10 | strike-slip | 2016 | 2012 | 1350 × 1400 | Tempe-rate |
| 11. Canterboury, NZ | 3 September 2010 | 7 | 12 | thrust/strike-slip | 2010 | 2012 | 1350 × 1400 | Tempe-rate |
| 12. Van, Turkey | 23 October 2011 | 7.1 | 18 | thrust | 2011 | 2012 | 465 × 530 | Conti-nental |
| 23 October 2011 | 5.9 | 5 | thrust | 2011 | 2012 | |||
| 23 October 2011 | 5.7 | 5 | 2011 | 2012 | ||||
| 23 October 2011 | 5.6 | 9 | 2011 | 2012 | ||||
| 23 October 2011 | 5.6 | 5 | 2011 | 2012 | ||||
| 13. Van, Turkey | 25 October 2011 | 5.6 | 14 | thrust | 2011 | 2012 | 465 × 530 | Conti-nental |
| 14. Emilia Romagna, Italy | 20 May 2012 | 6 | 6.3 | thrust | 2012 | 2011 | 655 × 655 | Tempe-rate |
| 15. Emilia Romagna, Italy | 29 May 2012 | 5.8 | 10.2 | thrust | 2012 | 2011 | 655 × 655 | Tempe-rate |
| 29 May 2012 | 5.5 | 6.8 | thrust | 2012 | 2011 | |||
| 16. Norcia/Amatrice, Italy | 24 August 2016 | 6.2 | 4.4 | normal | 2016 | 2011 | 655 × 655 | Tempe-rate |
| 24 August 2016 | 5.6 | 3.2 | normal | 2016 | 2011 | |||
| 17. Norcia/Visso, Italy | 26 October 2016 | 6.1 | 10 | normal | 2016 | 2011 | 655 × 655 | Tempe-rate |
| 26 October 2016 | 5.5 | 6 | normal | 2016 | 2011 | |||
| 18. Norcia, Italy | 30 October 2016 | 6.6 | 8 | normal | 2016 | 2011 | 655 × 655 | Tempe-rate |
| 19. Oklahoma, USA | 3 September 2016 | 5.8 | 5.6 | strike-slip | 2016 | 2012 | 1100 × 1100 | Tempe-rate |
| 20. Oklahoma, USA | 6 November 2011 | 5.7 | 5.2 | strike-slip | 2011 | 2012 | 1100 × 1100 | Tempe-rate |
| 21. Louisa, USA | 23 August 2011 | 5.8 | 0.02 | thrust | 2011 | 2012 | 1155 × 955 | Conti-nental |
| Spatial Zones | |
| Zone | Zone definition |
| Zone 1 | Within a radius of 7 pixels (35 km) from the epicenter (up to half the frame side) |
| Zone 2 | Between 7 and 14 pixels (35–70 km) from the epicenter (half the frame side until the edge of the frame side) |
| Zone 3 | Between 14 and 28 pixels (70–140 km) from the epicenter (between one and two times the frame side) |
| Zone 4 | Distances larger than 28 pixels (>140 km) from the epicenter (larger than twice the frame side) |
| Temporal periods | |
| Period | Period definition |
| Period 1 (pre-earthquake) | Beginning of the dataset until two months prior to the co-seismic period |
| Period 2 (two months pre-earthquake) | Two months before the co-seismic period |
| Period 3 (co-seismic) | 24 h before and 24 h after the earthquake |
| Period 4 (two months post-earthquake) | Two months after the co-seismic period |
| Period 5 (post-earthquake) | Two months after the co-seismic period until the end of the dataset |
| Extended co-seismic periods | |
| Earthquake sequence | Duration of adjusted co-seismic period |
| Canterbury, New Zealand [51] | 2 September 2010–31 December 2010 |
| Kaikoura, New Zealand [43] | 12 November 2016–31 December 2016 |
| Baja California, Mexico [52] | 3 April 2010–16 June 2010 |
| Italian sequence of 2016 [53] | 23 August 2016–31 October 2016 |
| Van, Turkey [54,55] | 22 October 2011–10 November 2011 |
| Emilia-Romagna, Italy [56] | 19 May 2012–30 May 2012 |
| μ + 2σ Threshold | μ + 3σ Threshold | ||||
|---|---|---|---|---|---|
| 48-h co-Seismic Period | Adjusted Co-Seismic Period | 48-h co-Seismic Period | Adjusted Co-Seismic Period | ||
| 1 | Effect of the earthquake across distance zones and periods | NONE F(6.094, 134.060) = 0.162, p = 0.987, partial η2 = 0.007 | NONE F(6.767, 121.798) = 0.596, p = 0.753, partial η2 = 0.032 | NONE F(5.210, 116.355) = 0.148, p = 0.983, partial η2 = 0.007 | NONE F(8.507, 155.958) = 0.422, p = 0.915, partial η2 = 0.022 |
| 2 | Interaction effect between period and distance, regardless of year | NONE F(8.914, 196.116) = 1.645, p = 0.106, partial η2 = 0.070 | NONE F(6.832, 122.971) = 0.574, p = 0.772, partial η2 = 0.031 | NONE F(8.905, 198.888) = 1.224, p = 0.282, partial η2 = 0.052 | NONE F(7.604, 139.413) = 0.788, p = 0.608, partial η2 = 0.041 |
| 3 | Interaction effect between period and year, regardless of distance | NONE F(2.031, 66) = 0.959, p = 0.387, partial η2 = 0.014 | YES ** F(2.256, 54) = 6.954, p = 0.001, partial η2 = 0.114 | NONE F(1.737, 67) = 0.934, p = 0.384, partial η2 = 0.014 | YES ** F(2.836, 55) = 6.485, p < 0.001, partial η2 = 0.105 |
| 4 | Interaction effect between year and distance, regardless of period | NONE F(3,66) = 0.844, p = 0.475, partial η2 = 0.037 | NONE F(3, 54) = 2.279, p = 0.090, partial η2 = 0.112 | NONE F(3, 67) = 0.008, p = 0.999, partial η2 < 0.001 | NONE F(3, 55) = 0.626, p = 0.601, partial η2 = 0.033 |
| 5 | Simple effect of period | YES ** F(2.971, 196.116) = 11.738, p < 0.001, partial η2 = 0.151 | YES * F(2.277, 122.971) = 4.787, p = 0.007, partial η2 = 0.081 | YES ** F(2.968, 116.355) = 9.927, p < 0.001,partial η2 = 0.129 | NONE F(2.535, 139.413) = 6.631, p < 0.001, partial η2 = 0.108 |
| 6 | Simple effect of distance | NONE F(3, 66) = 0.333, p = 0.801, partial η2 = 0.015 | NONE F(3, 54) = 0.060, p = 0.980, partial η2 = 0.003 | NONE F(3, 67) = 0.084, p = 0.969, partial η2 = 0.004 | NONE F(3, 55) = 0.468, p = 0.706, partial η2 = 0.025 |
| 7 | Simple effect of year | NONE F(1, 66) = 0.284, p = 0.596, partial η2 = 0.004 | NONE F(1, 54) = 1.967, p = 0.167, partial η2 = 0.035 | NONE F(1, 67) = 1.834, p = 0.180, partial η2 = 0.027 | YES ** F(1, 55) = 14.914, p < 0.001, partial η2 = 0.213 |
© 2018 by the authors. Licensee MDPI, Basel, Switzerland. This article is an open access article distributed under the terms and conditions of the Creative Commons Attribution (CC BY) license (http://creativecommons.org/licenses/by/4.0/).
Share and Cite
Pavlidou, E.; Van der Meijde, M.; Van der Werff, H.; Hecker, C. Time Series Analysis of Land Surface Temperatures in 20 Earthquake Cases Worldwide. Remote Sens. 2019, 11, 61. https://doi.org/10.3390/rs11010061
Pavlidou E, Van der Meijde M, Van der Werff H, Hecker C. Time Series Analysis of Land Surface Temperatures in 20 Earthquake Cases Worldwide. Remote Sensing. 2019; 11(1):61. https://doi.org/10.3390/rs11010061
Chicago/Turabian StylePavlidou, Efthymia, Mark Van der Meijde, Harald Van der Werff, and Christoph Hecker. 2019. "Time Series Analysis of Land Surface Temperatures in 20 Earthquake Cases Worldwide" Remote Sensing 11, no. 1: 61. https://doi.org/10.3390/rs11010061
APA StylePavlidou, E., Van der Meijde, M., Van der Werff, H., & Hecker, C. (2019). Time Series Analysis of Land Surface Temperatures in 20 Earthquake Cases Worldwide. Remote Sensing, 11(1), 61. https://doi.org/10.3390/rs11010061

