The Impact of Hurricane Maria on the Vegetation of Dominica and Puerto Rico Using Multispectral Remote Sensing
Abstract
:1. Introduction
2. Background
2.1. Hurricane Maria Descriptions
2.2. Study Area
2.3. Datasets
3. Methods
3.1. Cloud Detection and Atmosphere Correction
3.2. Land Cover Classification
3.3. Vegetation Indices Calculation
3.4. Elevation and Distance Map Produced
3.5. Correlation Analysis
4. Results
4.1. Vegetation Indices Results
4.2. Land Cover Spatial Distribution of Dominica and Puerto Rico
4.3. Elevation and Distance Maps
5. Discussion
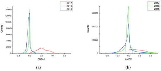
5.1. The Changes in NDVI
5.1.1. Short-Term Impacts to Vegetation and Recovery
5.1.2. Comparing to Reference Years: 2015 and 2016
5.2. Effects of Hurricane Maria on Different Land Cover Types
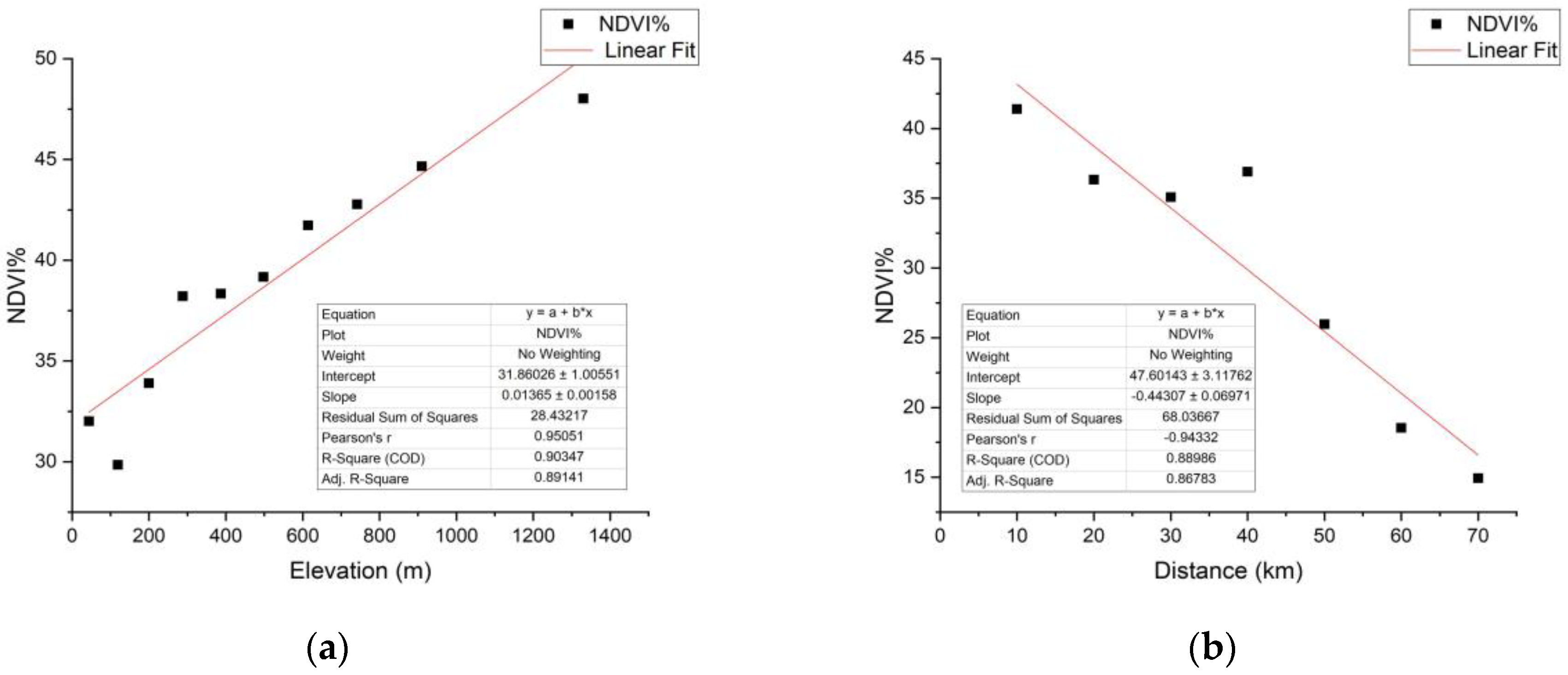
5.3. Influence of Terrain Elevation on Damage
5.4. Influence of Distance on Damage
6. Conclusions
Author Contributions
Funding
Acknowledgments
Conflicts of Interest
References
- Blackwell, C. Power law or lognormal? Distribution of normalized hurricane damages in the United States, 1900–2005. Nat. Hazards Rev. 2015, 16, 04014024. [Google Scholar] [CrossRef]
- Brun, J.; Barros, A.P. Vegetation activity monitoring as an indicator of eco-hydrological impacts of extreme events in the southeastern USA. Int. J. Remote Sens. 2013, 34, 519–544. [Google Scholar] [CrossRef]
- Zhang, D.R.; Zhang, Y.Z.; Hu, T.G.; Xie, B.; Xu, J.F. A comparison of HY-2 and QuikSCAT vector wind products for tropical cyclone track and intensity development monitoring. IEEE Geosci. Remote Sens. 2014, 11, 1365–1369. [Google Scholar] [CrossRef]
- Hu, T.; Wang, X.; Zhang, D.; Zheng, G.; Zhang, Y.; Wu, Y.; Xie, B. Study on typhoon center monitoring based on HY-2 and FY-2 data. IEEE Geosci. Remote Sens. 2017, 14, 2350–2354. [Google Scholar] [CrossRef]
- Shuckburgh, E.; Mitchell, D.; Stott, P. Hurricanes Harvey, Irma and Maria: How natural were these ‘natural disasters? Weather 2017, 72, 353–354. [Google Scholar] [CrossRef]
- Hurricane Maria. Available online: https://en.wikipedia.org/wiki/Hurricane_Maria (accessed on 9 January 2018).
- Rodgers, J.C.; Murrah, A.W.; Cooke, W.H. The impact of Hurricane Katrina on the coastal vegetation of the Weeks Bay Reserve, Alabama from NDVI data. Estuar. Coasts 2009, 32, 496–507. [Google Scholar] [CrossRef]
- Hoque, M.A.-A.; Phinn, S.; Roelfsema, C.; Childs, I. Assessing tropical cyclone impacts using object-based moderate spatial resolution image analysis: A case study in Bangladesh. Int. J. Remote Sens. 2016, 37, 5320–5343. [Google Scholar] [CrossRef]
- Zhang, X.; Wang, Y.; Jiang, H.; Wang, X. Remote-sensing assessment of forest damage by Typhoon Saomai and its related factors at landscape scale. Int. J. Remote Sens. 2013, 34, 7874–7886. [Google Scholar] [CrossRef]
- Klemas, V.V. The role of remote sensing in predicting and determining coastal storm impacts. J. Coast. Res. 2009, 25, 1264–1275. [Google Scholar] [CrossRef]
- Horner, M.W.; Widener, M.J. The effects of transportation network failure on people’s accessibility to hurricane disaster relief goods: A modeling approach and application to a Florida case study. Nat. Hazards 2011, 59, 1619–1634. [Google Scholar] [CrossRef]
- Bhowmik, A.K.; Cabral, P. Cyclone Sidr impacts on the Sundarbans floristic diversity. Earth Sci. Res. 2013, 2, 62–79. [Google Scholar] [CrossRef]
- Ramsey, E.W.; Hodgson, M.E.; Sapkota, S.K.; Nelson, G.A. Forest impact estimated with NOAA AVHRR and Landsat TM data related to an empirical hurricane wind-field distribution. Remote Sens. Environ. 2001, 77, 279–292. [Google Scholar] [CrossRef]
- Staben, G.W.; Evans, K.G. Estimates of tree canopy loss as a result of Cyclone Monica, in the Magela Creek catchment northern Australia. Aust. Ecol. 2008, 33, 562–569. [Google Scholar] [CrossRef]
- Villa, P.; Boschetti, M.; Morse, J.L.; Politte, N. A multitemporal analysis of tsunami impact on coastal vegetation using remote sensing: A case study on Koh Phra Thong Island, Thailand. Nat. Hazards 2012, 64, 667–689. [Google Scholar] [CrossRef]
- Negron-Juarez, R.; Baker, D.B.; Chambers, J.Q.; Hurtt, G.C.; Goosem, S. Multi-scale sensitivity of Landsat and MODIS to forest disturbance associated with tropical cyclones. Remote Sens. Environ. 2014, 140, 679–689. [Google Scholar] [CrossRef]
- Feng, Y.L.; Negron-Juarez, N.I.; Patricola, C.M.; Collins, W.D.; Uriarte, M.; Hall, J.S.; Clinton, N.; Chambers, J.Q. Rapid remote sensing assessment of impacts from Hurricane Maria on forests of Puerto Rico. PeerJ Preprints 2018, 6, 1–13. [Google Scholar] [CrossRef]
- Ayala-Silva, T.; Twumasi, Y.A. Hurricane Georges and vegetation change in Puerto Rico using AVHRR satellite data. Int. J. Remote Sens. 2004, 25, 1629–1640. [Google Scholar] [CrossRef]
- Rogan, J.; Schneider, L.; Christman, Z.; Millones, M.; Lawrence, D.; Schmook, B. Hurricane disturbance mapping using MODIS EVI data in the southeastern Yucatán, Mexico. Remote Sens. Lett. 2010, 2, 259–267. [Google Scholar] [CrossRef]
- Liu, Y.; Liu, R.; Ge, Q. Evaluating the vegetation destruction and recovery of Wenchuan earthquake using MODIS data. Nat. Hazards 2010, 54, 851–862. [Google Scholar] [CrossRef]
- Martinez, J.M.; Toan, T.L. Mapping of flood dynamics and spatial distribution of vegetation in the Amazon floodplain using multitemporal SAR data. Remote Sens. Environ. 2007, 108, 209–223. [Google Scholar] [CrossRef]
- Teillet, P.M.; Staenz, K.; Williams, D.J. Effects of spectral, spatial, and radiometric characteristics on remote sensing vegetation indices of forested regions. Remote Sens. Environ. 1997, 61, 139–149. [Google Scholar] [CrossRef]
- Oindo, B.O.; Skidmore, A.K. Interannual variability of NDVI and species richness in Kenya. Int. J. Remote Sens. 2002, 23, 285–298. [Google Scholar] [CrossRef]
- Ramsey, E.W.; Chappell, D.K.; Baldwin, D.G. AVHRR imagery used to identify hurricane damage in a forested wetland of Louisiana. Photogramm. Eng. Remote Sens. 1997, 63, 293–297. [Google Scholar]
- Hurricane MARIA Advisory Archive. Available online: http://www.nhc.noaa.gov/archive/2017/MARIA.shtml? (accessed on 9 January 2018).
- Pasch, R.J.; Penny, A.B.; Berg, R. Tropical Cyclone Report Hurricane Maria (AL152017); National Hurricane Center: Miami, FL, USA, 2018. [Google Scholar]
- Smith, R.B.; Minder, J.R.; Nugent, A.D.; Storelvmo, T.; Kirshbaum, D.J.; Warren, R.; Lareau, N.; Palany, P.; James, A.; French, J. Orographic precipitation in the tropics the Dominica experiment. Bull. Am. Meteorol. Soc. 2012, 93, 1567–1579. [Google Scholar] [CrossRef]
- Smith, R.B.; Schafer, P.; Kirshbaum, D.J.; Regina, E. Orographic precipitation in the tropics: Experiments in Dominica. J. Atmos. Sci. 2009, 66, 1698–1716. [Google Scholar] [CrossRef]
- Minder, J.R.; Smith, R.B.; Nugent, A.D. The dynamics of ascent-forced orographic convection in the tropics: Results from Dominica. J. Atmos. Sci. 2013, 70, 4067–4088. [Google Scholar] [CrossRef]
- Smith, R.B.; Schafer, P.; Kirshbaum, D. Orographic enhancement of precipitation inside Hurricane Dean. J. Hydrometeorol. 2009, 10, 820–831. [Google Scholar] [CrossRef]
- Nugent, A.; Rios-Berrios, R. Factors leading to extreme precipitation on Dominica from Tropical Storm Erika (2015). Mon. Weather Rev. 2018. [Google Scholar] [CrossRef]
- Wang, C.; Yu, M.; Gao, Q. Continued reforestation and urban expansion in the new century of a tropical island in the Caribbean. Remote Sens. 2017, 9, 731. [Google Scholar] [CrossRef]
- Zhu, Z.; Woodcock, C.E. Object-based cloud and cloud shadow detection in Landsat imagery. Remote Sens. Environ. 2012, 118, 83–94. [Google Scholar] [CrossRef]
- Zhu, Z.; Wang, S.X.; Woodcock, C.E. Improvement and expansion of the Fmask algorithm: Cloud, cloud shadow, and snow detection for Landsats 4–7, 8, and Sentinel 2 images. Remote Sens. Environ. 2015, 159, 269–277. [Google Scholar] [CrossRef]
- Ghulam, A. Monitoring tropical forest degradation in Betampona Nature Reserve, Madagascar using multisource remote sensing data fusion. IEEE J. Sel. Top. Appl. Earth Obs. Remote Sens. 2014, 7, 4960–4971. [Google Scholar] [CrossRef]
- Bernstein, L.S.; Adler-Golden, S.M.; Sundberg, R.L.; Levine, R.Y.; Perkins, T.C.; Berk, A.; Ratkowski, A.J.; Felde, G.; Hoke, M.L. A new method for atmospheric correction and aerosol optical property retrieval for VIS-SWIR multi- and hyperspectral imaging sensors: QUAC (QUick Atmospheric Correction). In Proceedings of the 25th IEEE International Geoscience and Remote Sensing Symposium, Seoul, Korea, 25–29 July 2005. [Google Scholar]
- Li, A.N.; Wang, Q.F.; Bian, J.H.; Lei, G.B. An improved physics-based model for topographic correction of Landsat TM images. Remote Sens. 2015, 7, 6296–6319. [Google Scholar] [CrossRef]
- Helmer, E.H.; Ramos, O.; Lopez, T.D.M.; Quinones, M.; Diaz, W. Mapping the forest type and land cover of Puerto Rico, a component of the Caribbean bodiversity hotspot. Caribb. J. Sci. 2002, 38, 165–183. [Google Scholar]
- Caribbean Land Cover Analyses. Available online: https://lca.usgs.gov/carland/approach.php (accessed on 9 January 2018).
- Mui, A.; He, Y.H.; Weng, Q.H. An object-based approach to delineate wetlands across landscapes of varied disturbance with high spatial resolution satellite imagery. ISPRS J. Photogramm. Remote Sens. 2015, 109, 30–46. [Google Scholar] [CrossRef]
- Cakir, H.I.; Khorram, S.; Nelson, S.A.C. Correspondence analysis for detecting land cover change. Remote Sens. Environ. 2006, 102, 306–317. [Google Scholar] [CrossRef]
- Goto, K.; Goto, T.; Nmor, J.C.; Minematsu, K.; Gotoh, K. Evaluating salinity damage to crops through satellite data analysis: Application to typhoon affected areas of southern Japan. Nat. Hazards 2015, 75, 2815–2828. [Google Scholar] [CrossRef]
- Jenks Natural Breaks Optimization. Available online: https://en.wikipedia.org/wiki/Jenks_natural_breaks_optimization (accessed on 9 January 2018).
- Multiple Ring Buffer. Available online: http://pro.arcgis.com/en/pro-app/tool-reference/analysis/multiple-ring-buffer.htm (accessed on 9 January 2018).
- Helmer, E.H.; Kennaway, T. The forest types and ages cleared for land development in Puerto Rico. GIsci. Remote Sens. 2007, 44, 356–382. [Google Scholar] [CrossRef]
- Lajoie, F.; Walsh, K. A technique to determine the radius of maximum wind of a tropical cyclone. Weather Forecast. 2008, 23, 1007–1015. [Google Scholar] [CrossRef]










| Region | Total Deaths (Unit: Person) | Total Affected (Unit: Person) | Total Damage (Unit: US $) | Insured Losses (Unit: US $) |
|---|---|---|---|---|
| Dominica | 64 | 71,393 | 380,490 | 0 |
| Puerto Rico | 44 | 5700 | 68,000,000 | 30,000,000 |
| Date | Sensor | Resolution (m) | Sun Elevation (Degree) | Cloud Cover (Percent) | Region |
|---|---|---|---|---|---|
| 14:26 08/15/2015 | Landsat 8 OLI | 30 | 65.07 | 42.14 | Dominica |
| 14:26 09/16/2015 | Landsat 8 OLI | 30 | 63.49 | 24.92 | Dominica |
| 14:26 10/18/2015 | Landsat 8 OLI | 30 | 57.17 | 16.77 | Dominica |
| 14:26 11/03/2015 | Landsat 8 OLI | 30 | 53.03 | 6.69 | Dominica |
| 14:47 08/15/2016 | Sentinel-2 | 10 | 70.06 | 6.86 | Dominica |
| 14:26 09/18/2016 | Landsat 8 OLI | 30 | 63.19 | 24.36 | Dominica |
| 14:26 10/20/2016 | Landsat 8 OLI | 30 | 56.51 | 12.53 | Dominica |
| 14:26 12/07/2016 | Landsat 8 OLI | 30 | 45.61 | 15.46 | Dominica |
| 14:26 08/20/2017 | Landsat 8 OLI | 30 | 65.14 | 18.30 | Dominica |
| 14:47 09/09/2017 | Sentinel-2 | 10 | 68.70 | 5.75 | Dominica |
| 14:26 09/21/2017 | Landsat 8 OLI | 30 | 62.77 | 10.55 | Dominica |
| 14:26 10/23/2017 | Landsat 8 OLI | 30 | 55.78 | 38.72 | Dominica |
| 14:26 11/08/2017 | Landsat 8 OLI | 30 | 51.64 | 16.79 | Dominica |
| 14:26 11/24/2017 | Landsat 8 OLI | 30 | 47.93 | 5.97 | Dominica |
| 14:50 09/28/2015 | Landsat 8 OLI | 30 | 60.12 | 6.81 | Puerto Rico |
| 14:50 10/14/2015 | Landsat 8 OLI | 30 | 56.24 | 9.95 | Puerto Rico |
| 14:50 11/15/2015 | Landsat 8 OLI | 30 | 47.76 | 5.62 | Puerto Rico |
| 14:50 09/14/2016 | Landsat 8 OLI | 30 | 62.66 | 5.04 | Puerto Rico |
| 14:50 10/16/2016 | Landsat 8 OLI | 30 | 55.55 | 4.22 | Puerto Rico |
| 14:50 12/03/2016 | Landsat 8 OLI | 30 | 47.13 | 12.81 | Puerto Rico |
| 14:50 09/01/2017 | Landsat 8 OLI | 30 | 64.31 | 14.64 | Puerto Rico |
| 14:50 09/17/2017 | Landsat 8 OLI | 30 | 62.19 | 8.08 | Puerto Rico |
| 14:50 10/03/2017 | Landsat 8 OLI | 30 | 58.90 | 6.71 | Puerto Rico |
| 14:50 10/19/2017 | Landsat 8 OLI | 30 | 54.79 | 8.28 | Puerto Rico |
| 14:50 11/04/2017 | Landsat 8 OLI | 30 | 50.45 | 8.98 | Puerto Rico |
| 14:50 12/06/2017 | Landsat 8 OLI | 30 | 43.47 | 29.04 | Puerto Rico |
| ID | Land Cover Types | Description |
|---|---|---|
| 1 | Urban or built-up land | High-medium density urban or low-medium density built-up land (rural or residential). |
| 2 | Agricultural land | Sugar cane, fruits, active sun coffee, mixed woody agriculture, pasture, hay, other crops, and grassy areas. |
| 3 | Natural grassland, natural shrubland | Drought deciduous open woodland or short/medium/tail grassland |
| 4 | Deciduous forest | Broadleaf drought deciduous or semi-deciduous forest, lowland or submontane (dry, dry-moist) |
| 5 | Evergreen forest | Broadleaf seasonal evergreen and evergreen forest, lowland or submontane (moist, wet, rain) |
| 6 | Cloud forest | Broadleaf evergreen cloud forest, submontane or lower montane (wet, rain) |
| 7 | Wetland | Non-forested wetland (emergent wetland and salt or mudflat) and forested wetland (mangrove, Pterocarpus swamp) |
| 8 | Barren land | Quarry, coastal sand, rock and bare soil |
| 9 | Water | Water—permanent |
| 2015 | 2016 | 2017 | ||||||
|---|---|---|---|---|---|---|---|---|
| Date | Mean NDVI | Counts (Pixels) | Date | Mean NDVI | Counts (Pixels) | Date | Mean NDVI | Counts (Pixels) |
| 08/15/2015 | 0.89 | 141,441 | 08/15/2016 | 0.91 | 207,615 | 08/20/2017 | 0.91 | 130,993 |
| 09/16/2015 | 0.91 | 141,441 | 09/18/2016 | 0.91 | 207,615 | 09/09/2017 | 0.91 | 130,993 |
| 10/18/2015 | 0.88 | 141,441 | 10/20/2016 | 0.91 | 207,615 | 09/21/2017 | 0.69 | 130,993 |
| 11/03/2015 | 0.90 | 141,441 | 12/07/2016 | 0.91 | 207,615 | 10/23/2017 | 0.68 | 130,993 |
| 11/08/2017 | 0.78 | 130,993 | ||||||
| 11/24/2017 | 0.83 | 130,993 | ||||||
| 2015 | 2016 | 2017 | ||||||
|---|---|---|---|---|---|---|---|---|
| Date | Mean NDVI | Counts (Pixels) | Date | Mean NDVI | Counts (Pixels) | Date | Mean NDVI | Counts (Pixels) |
| 09/28/2015 | 0.72 | 4,994,576 | 09/14/2016 | 0.76 | 4,425,283 | 09/01/2017 | 0.70 | 3,642,897 |
| 10/14/2015 | 0.73 | 4,994,576 | 10/16/2016 | 0.74 | 4,425,283 | 09/17/2017 | 0.75 | 3,642,897 |
| 11/15/2015 | 0.79 | 4,994,576 | 12/03/2016 | 0.78 | 4,425,283 | 10/03/2017 | 0.56 | 3,642,897 |
| 10/19/2017 | 0.58 | 3,642,897 | ||||||
| 11/04/2017 | 0.72 | 3,642,897 | ||||||
| 12/06/2017 | 0.72 | 3,642,897 | ||||||
| Land Cover Types | Dominica | Puerto Rico | ||||
|---|---|---|---|---|---|---|
| Counts (Pixels) | Mean ΔNDVI | Mean NDVI% | Counts (Pixels) | Mean ΔNDVI | Mean NDVI% | |
| Built-up land | 918 | 0.21 | 23.84 | 414,430 | 0.21 | 34.26 |
| Agricultural land | 55,314 | 0.21 | 22.94 | 1,424,071 | 0.23 | 29.92 |
| Natural grassland | 1882 | 0.17 | 18.72 | 28,407 | 0.19 | 25.16 |
| Deciduous forest | 18,817 | 0.20 | 21.87 | 344,688 | 0.25 | 28.95 |
| Evergreen forest | 52,911 | 0.23 | 25.83 | 1,300,332 | 0.37 | 42.43 |
| Cloud forest | 413 | 0.24 | 27.36 | 54,564 | 0.40 | 48.40 |
| Wetland | 738 | 0.23 | 24.93 | 51,807 | 0.31 | 44.16 |
| Barren land | - | - | - | 24,598 | 0.21 | 33.11 |
| Dominica | Puerto Rico | ||||||
|---|---|---|---|---|---|---|---|
| Elevation (m) | Count (Pixels) | Mean ΔNDVI | Mean NDVI% | Elevation (m) | Count (Pixels) | Mean ΔNDVI | Mean NDVI% |
| <86 | 24,867 | 0.19 | 21.01 | <44 | 735,044 | 0.23 | 32.01 |
| 86–181 | 36,095 | 0.21 | 23.43 | 44–119 | 712,529 | 0.23 | 29.85 |
| 181–275 | 25,885 | 0.23 | 25.37 | 119–200 | 614,978 | 0.28 | 33.90 |
| 275–371 | 19,598 | 0.23 | 25.63 | 200–288 | 464,776 | 0.33 | 38.22 |
| 371–471 | 14,193 | 0.23 | 25.37 | 288–387 | 404,579 | 0.33 | 38.34 |
| 471–578 | 7302 | 0.21 | 23.78 | 387–498 | 273,367 | 0.33 | 39.17 |
| 578–703 | 2292 | 0.21 | 24.29 | 498–614 | 189,079 | 0.34 | 41.73 |
| 703–860 | 593 | 0.18 | 21.49 | 614–742 | 140,231 | 0.35 | 42.77 |
| 860–1082 | 160 | 0.25 | 29.00 | 742–910 | 97,888 | 0.36 | 44.66 |
| >1082 | 9 | 0.09 | 11.90 | >910 | 24,586 | 0.39 | 48.02 |
| Dominica | Puerto Rico | ||||||
|---|---|---|---|---|---|---|---|
| Distance (km) | Count (Pixels) | Mean ΔNDVI | Mean NDVI% | Distance (km) | Count (Pixels) | Mean ΔNDVI | Mean NDVI% |
| 2 | 10,796 | 0.27 | 29.56 | 10 | 883,313 | 0.33 | 41.39 |
| 4 | 7698 | 0.27 | 29.94 | 20 | 798,768 | 0.29 | 36.33 |
| 6 | 10,779 | 0.22 | 23.86 | 30 | 833,555 | 0.29 | 35.08 |
| 8 | 23,863 | 0.23 | 25.60 | 40 | 566,369 | 0.30 | 36.90 |
| 10 | 30,337 | 0.21 | 23.07 | 50 | 371,491 | 0.20 | 25.98 |
| 12 | 27,195 | 0.18 | 19.42 | 60 | 181,916 | 0.14 | 18.54 |
| 14 | 12,330 | 0.20 | 22.49 | 70 | 21,645 | 0.11 | 14.93 |
| 16 | 3481 | 0.23 | 25.00 | - | - | - | - |
| 18 | 4515 | 0.26 | 27.45 | - | - | - | - |
© 2018 by the authors. Licensee MDPI, Basel, Switzerland. This article is an open access article distributed under the terms and conditions of the Creative Commons Attribution (CC BY) license (http://creativecommons.org/licenses/by/4.0/).
Share and Cite
Hu, T.; Smith, R.B. The Impact of Hurricane Maria on the Vegetation of Dominica and Puerto Rico Using Multispectral Remote Sensing. Remote Sens. 2018, 10, 827. https://doi.org/10.3390/rs10060827
Hu T, Smith RB. The Impact of Hurricane Maria on the Vegetation of Dominica and Puerto Rico Using Multispectral Remote Sensing. Remote Sensing. 2018; 10(6):827. https://doi.org/10.3390/rs10060827
Chicago/Turabian StyleHu, Tangao, and Ronald B. Smith. 2018. "The Impact of Hurricane Maria on the Vegetation of Dominica and Puerto Rico Using Multispectral Remote Sensing" Remote Sensing 10, no. 6: 827. https://doi.org/10.3390/rs10060827
APA StyleHu, T., & Smith, R. B. (2018). The Impact of Hurricane Maria on the Vegetation of Dominica and Puerto Rico Using Multispectral Remote Sensing. Remote Sensing, 10(6), 827. https://doi.org/10.3390/rs10060827

