Radiometric Cross-Calibration of Tiangong-2 MWI Visible/NIR Channels over Aquatic Environments using MODIS
Abstract
1. Introduction
2. Datasets
2.1. Study Area
2.2. MODIS and MWI Match-Ups
2.3. Major Differences between MWI and MODIS
3. Methodology
3.1. Spectral Adjustment
3.2. TOA Reflectance Calculation
3.3. Atmospheric Correction of MWI
3.3.1. Rayleigh Scattering of MWI
3.3.2. Aerosol Scattering of MWI
3.3.3. Water-Leaving Reflectance of MWI
4. Results and Discussion
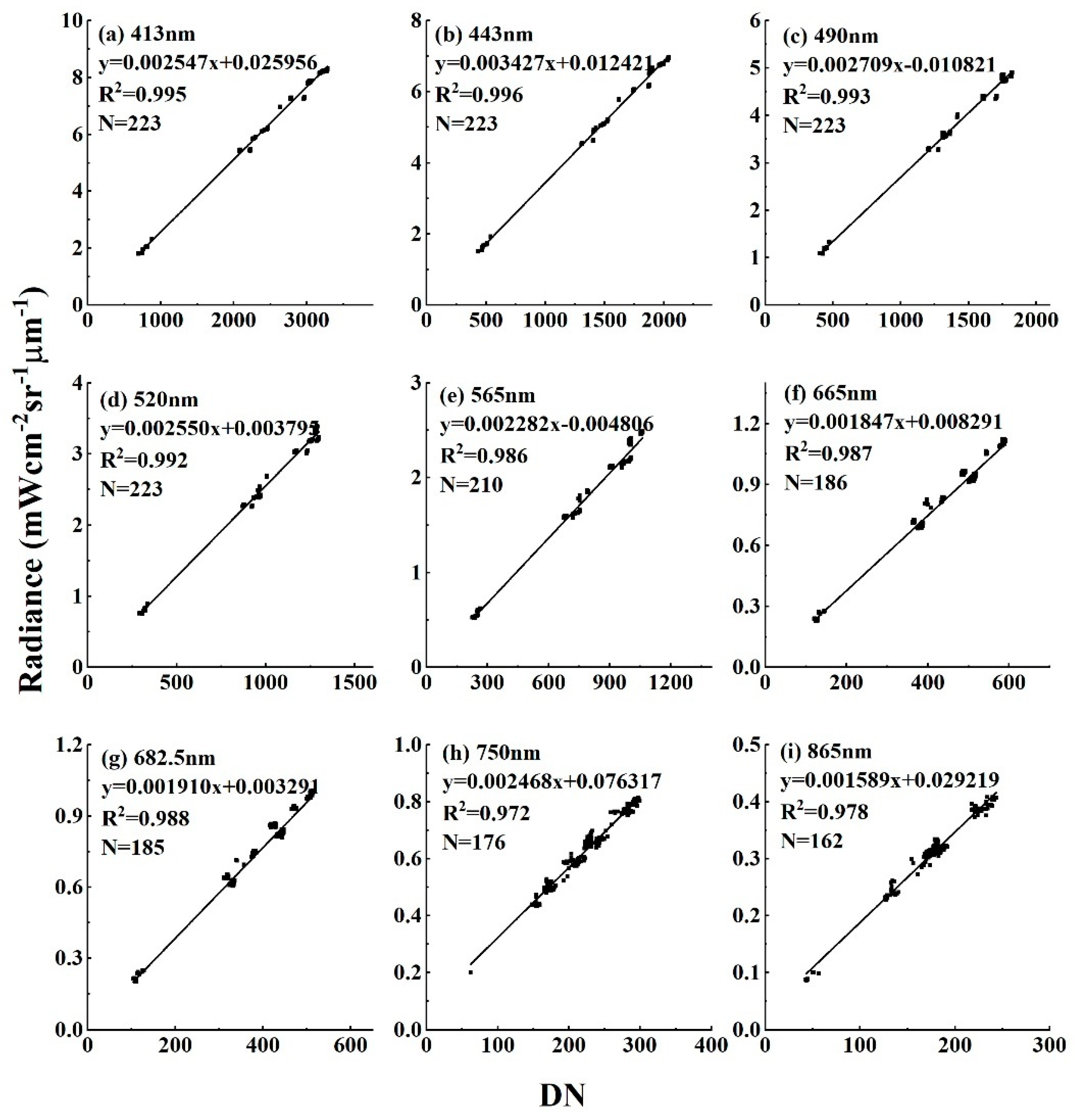
4.1. Cross-Calibration Results
4.2. Validation Results
5. Discussion
5.1. Comparisons of Rayleigh-Corrected Reflectance of MWI, MODIS and GOCI
5.2. Comparisons of Remote Sensing Reflectance of MWI, MODIS and GOCI
5.3. Comparisons of the TSM Retrieved by MWI, MODIS and GOCI
6. Conclusions and Future Work
Author Contributions
Funding
Acknowledgements
Conflicts of Interest
References
- Cao, Z.; Duan, H.; Song, Q.; Shen, M.; Ma, R.; Liu, D. Evaluation of the sensitivity of china’s next-generation ocean satellite sensor mwi onboard the tiangong-2 space lab over inland waters. Int. J. Appl. Earth Obs. Geoinf. 2018, 71, 109–120. [Google Scholar] [CrossRef]
- He, X.; Bai, Y.; Wei, J.; Ding, J.; Shanmugam, P.; Wang, D.; Song, Q.; Huang, X. Ocean color retrieval from mwi onboard the tiangong-2 space lab: Preliminary results. Opt. Express 2017, 25, 23955–23973. [Google Scholar] [CrossRef] [PubMed]
- Jun, W.; Xianqiang, H.; Mingsen, L.; Lei, D. Moderate-resolution ocean color and temperature imager on chinese tian-gong ii space lab. In Proceedings of the 2017 42nd International Conference on Infrared, Millimeter, and Terahertz Waves (IRMMW-THz), Cancun, Mexico, 27 August–1 September 2017; pp. 1–2. [Google Scholar]
- Mcclain, C.R. A decade of satellite ocean color observations. Annu. Rev. Mar. Sci. 2009, 1, 19–42. [Google Scholar] [CrossRef] [PubMed]
- He, X.; Pan, D.; Zhu, Q.; Hao, Z.; Gong, F. On-orbit assessment of the polarization response of cocts onboard hy-1b satellite. In Proceedings of the Earth Observing Missions and Sensors: Development, Implementation, and Characterization, Incheon, Korea, 27 October 2010. [Google Scholar]
- Goward, S.N.; Chander, G.; Pagnutti, M.; Marx, A.; Ryan, R.; Thomas, N.; Tetrault, R. Complementarity of resourcesat-1 awifs and landsat tm/etm+ sensors. Remote Sens. Environ. 2012, 123, 41–56. [Google Scholar] [CrossRef]
- Teillet, P.M.; Markham, B.L.; Irish, R.R. Landsat cross-calibration based on near simultaneous imaging of common ground targets. Remote Sens. Environ. 2006, 102, 264–270. [Google Scholar] [CrossRef]
- Jiang, G.M.; Li, Z.L. Cross-calibration of msg1-seviri infrared channels with terra-modis channels. Int. J. Remote Sens. 2009, 30, 753–769. [Google Scholar] [CrossRef]
- Gao, C.; Jiang, X.; Li, X.; Li, X. The cross-calibration of cbers-02b/ccd visible-near infrared channels with terra/modis channels. Int. J. Remote Sens. 2013, 34, 3688–3698. [Google Scholar] [CrossRef]
- Obata, K.; Miura, T.; Yoshioka, H.; Huete, A.; Vargas, M. Spectral cross-calibration of viirs enhanced vegetation index with modis: A case study using year-long global data. Remote Sens. 2016, 8, 34. [Google Scholar] [CrossRef]
- Gao, H.; Gu, X.; Yu, T.; Liu, L.; Sun, Y.; Xie, Y.; Liu, Q. Validation of the calibration coefficient of the gaofen-1 pms sensor using the landsat 8 oli. Remote Sens. 2016, 8, 132. [Google Scholar] [CrossRef]
- Feng, L.; Li, J.; Gong, W.; Zhao, X.; Chen, X.; Pang, X. Radiometric cross-calibration of gaofen-1 wfv cameras using landsat-8 oli images: A solution for large view angle associated problems. Remote Sens. Environ. 2016, 174, 56–68. [Google Scholar] [CrossRef]
- Gao, H.; Gu, X.; Yu, T.; Sun, Y.; Liu, Q. Cross-calibration of gf-1 pms sensor with landsat 8 oli and terra modis. IEEE Trans. Geosci. Remote Sens. 2016, 54, 4847–4854. [Google Scholar] [CrossRef]
- Chen, Y.; Sun, K.; Li, D.; Bai, T.; Huang, C. Radiometric cross-calibration of gf-4 pms sensor based on assimilation of landsat-8 oli images. Remote Sens. 2017, 9, 811. [Google Scholar] [CrossRef]
- Chander, G.; Meyer, D.J.; Helder, D.L. Cross calibration of the landsat-7 etm+ and eo-1 ali sensor. IEEE Trans. Geosci. Remote Sens. 2004, 42, 2821–2831. [Google Scholar] [CrossRef]
- Teillet, P.M.; Fedosejevs, G.; Thome, K.J.; Barker, J.L. Impacts of spectral band difference effects on radiometric cross-calibration between satellite sensors in the solar-reflective spectral domain. Remote Sens. Environ. 2007, 110, 393–409. [Google Scholar] [CrossRef]
- Yang, A.; Zhong, B.; Lv, W.; Wu, S.; Liu, Q. Cross-calibration of gf-1/wfv over a desert site using landsat-8/oli imagery and zy-3/tlc data. Remote Sens. 2015, 7, 10763–10787. [Google Scholar] [CrossRef]
- Sharma, S.; Sridhar, V.N.; Prajapati, R.P.; Rao, K.M.; Mathur, A.K. Absolute Vicarious Calibration of Landsat-8 Oli and Resourcesat-2 Awifs Sensors over Rann of Kutch Site in Gujarat. In Earth Observing Missions and Sensors: Development, Implementation, and Characterization IV; International Society for Optics and Photonics: San Diego, CA, USA, 2016; p. 98811J. [Google Scholar]
- Xu, W.; Gong, J.; Wang, M. Development, application, and prospects for chinese land observation satellites. Geo-Spat. Inf. Sci. 2014, 17, 102–109. [Google Scholar] [CrossRef]
- Li, J.; Feng, L.; Pang, X.; Gong, W.; Zhao, X. Radiometric cross calibration of gaofen-1 wfv cameras using landsat-8 oli images: A simple image-based method. Remote Sens. 2016, 8, 411. [Google Scholar] [CrossRef]
- Vermote, E.F.; Tanre, D.; Deuze, J.L.; Herman, M.; Morcette, J.J. Second simulation of the satellite signal in the solar spectrum, 6s: An overview. IEEE Trans. Geosci. Remote Sens. 2002, 35, 675–686. [Google Scholar] [CrossRef]
- Hu, C.; Muller-Karger, F.E.; Andrefouet, S.; Carder, K.L. Atmospheric correction and cross-calibration of landsat-7/etm+ imagery over aquatic environments: A multiplatform approach using seawifs/modis. Remote Sens. Environ. 2001, 78, 99–107. [Google Scholar] [CrossRef]
- Gordon, H.R.; Wang, M. Retrieval of water-leaving radiance and aerosol optical thickness over the oceans with seawifs: A preliminary algorithm. Appl. Opt. 1994, 33, 443–452. [Google Scholar] [CrossRef] [PubMed]
- Morel, A.; Prieur, L. Analysis of variations in ocean color. Limnol. Oceanogr. 1977, 22, 709–722. [Google Scholar] [CrossRef]
- Siegel, D.A.; Wang, M.; Maritorena, S.; Robinson, W. Atmospheric correction of satellite ocean color imagery: The black pixel assumption. Appl. Opt. 2000, 39, 3582–3591. [Google Scholar] [CrossRef] [PubMed]
- Wang, M. Remote sensing of the ocean contributions from ultraviolet to near-infrared using the shortwave infrared bands: Simulations. Appl. Opt. 2007, 46, 1535–1547. [Google Scholar] [CrossRef] [PubMed]
- Wang, M.; Shi, W. The nir-swir combined atmospheric correction approach for modis ocean color data processing. Opt. Express 2007, 15, 15722–15733. [Google Scholar] [CrossRef] [PubMed]
- Chen, X.; Xing, J.; Liu, L.; Li, Z.; Mei, X.; Fu, Q.; Xie, Y.; Ge, B.; Li, K.; Xu, H. In-flight calibration of gf-1/wfv visible channels using rayleigh scattering. Remote Sens. 2017, 9, 513. [Google Scholar] [CrossRef]
- He, X.; Pan, D.; Zhu, Q.; Gong, F. General exact rayleigh scattering look-up-table for ocean color remote sensing. Acta Oceanol. Sin. 2005, 25, 145–151. [Google Scholar]
- Cosnefroy, H.; Leroy, M.; Briottet, X. Selection and characterization of saharan and arabian desert sites for the calibration of optical satellite sensors. Remote Sens. Environ. 1996, 58, 101–114. [Google Scholar] [CrossRef]
- Kaufman, Y.J.; Sendra, C. Algorithm for automatic atmospheric corrections to visible and near-ir satellite imagery. Int. J. Remote Sens. 1988, 9, 1357–1381. [Google Scholar] [CrossRef]
- Angal, A.; Mishra, N.; Xiong, X.; Helder, D. Cross-Calibration of Landsat 5 tm and Landsat 8 Oli with Aqua Modis Using Pics. In Earth Observing Systems XIX; International Society for Optics and Photonics: San Diego, CA, USA, 2014; p. 92180K. [Google Scholar]
- Pan, D.; He, X.; Zhu, Q. On orbit cross-calibration of cocts onboard hy-1a satellite. Sci. Bull. 2004, 49, 2239–2244. [Google Scholar] [CrossRef]
- Otremba, Z.; Piskozub, J. Modelling the bidirectional reflectance distribution function (brdf) of seawater polluted by an oil film. Opt. Express 2004, 12, 1671. [Google Scholar] [CrossRef] [PubMed]
- Zhong, B.; Zhang, Y.; Du, T.; Yang, A.; Lv, W.; Liu, Q. Cross-calibration of hj-1/ccd over a desert site using landsat etm+ imagery and aster gdem product. IEEE Trans. Geosci. Remote Sens. 2014, 52, 7247–7263. [Google Scholar] [CrossRef]
- Chander, G.; Markham, B.L.; Helder, D.L. Summary of current radiometric calibration coefficients for landsat mss, tm, etm+, and eo-1 ali sensors. Remote Sens. Environ. 2009, 113, 893–903. [Google Scholar] [CrossRef]
- Thuillier, G.; Hersé, M.; Labs, D.; Foujols, T.; Peetermans, W.; Gillotay, D.; Simon, P.C.; Mandel, H. The solar spectral irradiance from 200 to 2400 nm as measured by the solspec spectrometer from the atlas and eureca missions. Sol. Phys. 2003, 214, 1–22. [Google Scholar] [CrossRef]
- Wang, M.; Bailey, S.W. Correction of sun glint contamination on the seawifs ocean and atmosphere products. Appl. Opt. 2001, 40, 4790–4798. [Google Scholar] [CrossRef] [PubMed]
- Gordon, H.R.; Wang, M. Influence of oceanic whitecaps on atmospheric correction of ocean-color sensors. Appl. Opt. 1994, 33, 7754–7763. [Google Scholar] [CrossRef] [PubMed]
- Antoine, D.; Morel, A. A multiple scattering algorithm for atmospheric correction of remotely sensed ocean colour (meris instrument): Principle and implementation for atmospheres carrying various aerosols including absorbing ones. Int. J. Remote Sens. 1999, 20, 1875–1916. [Google Scholar] [CrossRef]
- Gordon, H.R.; Brown, J.W.; Evans, R.H. Exact rayleigh scattering calculations for use with the nimbus-7 coastal zone color scanner. Appl. Opt. 1988, 27, 862–871. [Google Scholar] [CrossRef] [PubMed]
- Wang, M. A refinement for the rayleigh radiance computation with variation of the atmospheric pressure. Int. J. Remote Sens. 2005, 26, 5651–5663. [Google Scholar] [CrossRef]
- Eplee, R.E.; Robinson, W.D.; Bailey, S.W.; Clark, D.K.; Werdell, P.J.; Wang, M.; Barnes, R.A.; Mcclain, C.R. Calibration of seawifs. Ii. Vicarious techniques. Appl. Opt. 2001, 40, 6701. [Google Scholar] [CrossRef] [PubMed]
- Zhang, M.; Tang, J.; Dong, Q.; Duan, H.; Shen, Q. Atmospheric correction of hj-1 ccd imagery over turbid lake waters. Opt. Express 2014, 22, 7906–7924. [Google Scholar] [CrossRef] [PubMed]
- Gordon, H.R.; Castaño, D.J. Aerosol analysis with the coastal zone color scanner: A simple method for including multiple scattering effects. Appl. Opt. 1989, 28, 1320–1326. [Google Scholar] [CrossRef] [PubMed]
- Gordon, H.R. Remote sensing of ocean color: A methodology for dealing with broad spectral bands and significant out-of-band response. Appl. Opt. 1995, 34, 8363–8374. [Google Scholar] [CrossRef] [PubMed]
- Vermote, E.F.; Saleous, N.Z.E.; Justice, C.O. Atmospheric correction of modis data in the visible to middle infrared: First results. Remote Sens. Environ. 2002, 83, 97–111. [Google Scholar] [CrossRef]
- Zhang, H.; Liu, L.; Chen, J. The atmospheric correction of modis imagery for turbid coastal waters. In Geoinformatics 2006: Remotely Sensed Data and Information; International Society for Optics and Photonics: San Diego, CA, USA, 2006. [Google Scholar]
- Mcatee, B.; Maier, S. Improved Near-Real Time Atmospheric Correction of Modis Data for Earth Observation Applications; Springer: Berlin/Heidelberg, Germany, 2009; pp. 149–160. [Google Scholar]
- Meygret, A.; Briottet, X.; Henry, P.J.; Hagolle, O. Calibration of spot4 hrvir and vegetation cameras over rayleigh scattering. Proc. SPIE Int. Soc. Opt. Eng. 2000, 4135, 302–313. [Google Scholar]
- Hagolle, O.; Goloub, P.; Deschamps, P.Y.; Cosnefroy, H.; Briottet, X.; Bailleul, T.; Nicolas, J.M.; Parol, F.; Lafrance, B.; Herman, M. Results of polder in-flight calibration. IEEE Trans. Geosci. Remote Sens. 1999, 37, 1550–1566. [Google Scholar] [CrossRef]
- Briottet, X.; Dilligeard, E.; Santer, R.P.; Deuze, J.L. Vegetation calibration of blue and red channels using rayleigh scattering over open oceans. Proc. SPIE Int. Soc. Opt. Eng. 1997, 3221, 318–325. [Google Scholar]
- Xu, H.; Paerl, H.W.; Qin, B.; Zhu, G.; Gaoa, G. Nitrogen and phosphorus inputs control phytoplankton growth in eutrophic lake taihu, china. Limnol. Oceanogr. 2010, 55, 420–432. [Google Scholar] [CrossRef]
- Zhang, Y.; Liu, X.; Yin, Y.; Wang, M.; Qin, B. A simple optical model to estimate diffuse attenuation coefficient of photosynthetically active radiation in an extremely turbid lake from surface reflectance. Opt. Express 2012, 20, 20482–20493. [Google Scholar] [CrossRef] [PubMed]
- He, X.; Bai, Y.; Pan, D.; Tang, J.; Wang, D. Atmospheric correction of satellite ocean color imagery using the ultraviolet wavelength for highly turbid waters. Opt. Express 2012, 20, 20754–20770. [Google Scholar] [CrossRef] [PubMed]
- Evans, R.H.; Gordon, H.R. Coastal zone color scanner “system calibration”: A retrospective examination. J. Geophys. Res.Oceans 1994, 99, 7293–7307. [Google Scholar] [CrossRef]
- Zhang, M.W.; Tang, J.W.; Dong, Q.; Song, Q.T.; Ding, J. Retrieval of total suspended matter concentration in the yellow and east china seas from modis imagery. Remote Sens. Environ. 2010, 114, 392–403. [Google Scholar] [CrossRef]
- Kiselev, V.; Bulgarelli, B.; Heege, T. Sensor independent adjacency correction algorithm for coastal and inland water systems. Remote Sens. Environ. 2015, 157, 85–95. [Google Scholar] [CrossRef]













| TG-2/MWI | Aqua/MODIS | ||||||
|---|---|---|---|---|---|---|---|
| Band a | Center Wavelength b | Spectral Range b | SNR c | Band | Center Wavelength | Spectral Range b | SNR d |
| V1 | 413 | 403–423 | 390 | 8 | 413 | 405–420 | 880 |
| V2 | 443 | 433–453 | 515 | 9 | 443 | 438–448 | 838 |
| V3 | 490 | 480–500 | 557 | 10 | 488 | 483–493 | 802 |
| V4 | 520 | 510–530 | 556 | 11 | 531 | 526–536 | 754 |
| V5 | 565 | 555–575 | 555 | 12 | 551 | 546–556 | 750 |
| V7 | 665 | 655–675 | 399 | 13 | 667 | 662–672 | 910 |
| V8 | 682.5 | 677.5–687.5 | 273 | 14 | 678 | 673–683 | 1087 |
| V9 | 750 | 740–760 | 302 | 15 | 748 | 743–753 | 586 |
| V11 | 865 | 845–885 | 255 | 16 | 869 | 862–877 | 516 |
| Swath Width | 300 km | 2330 km | |||||
| Orbit Height | 386 km | 705 km | |||||
| Match-UPs Scenes | Acquisition Time (DD/MM/YYYY HH:MM) | Solar Zenith Angle (°) | Sensor Zenith Angle (°) | Time Difference (minute) | |
|---|---|---|---|---|---|
| Match-up 1 | MWI | 14/12/2016 01:25 a.m. | 39.08 | 22.05 | 70 |
| MODIS | 14/12/2016 02:35 a.m. | 23.59 | 39.72 | ||
| Match-up 2 | MWI | 16/12/2016 02:34 a.m. | 47.11 | 22.18 | 91 |
| MODIS | 16/12/2016 04:05 a.m. | 24.56 | 39.73 | ||
| Match-up 3 | MWI | 16/12/2016 14:50 p.m. | 45.08 | 22.12 | 45 |
| MODIS | 16/12/2016 15:35 p.m. | 23.42 | 39.66 | ||
| Match-up 4 | MWI | 16/12/2016 22:50 p.m. | 51.11 | 22.05 | 75 |
| MODIS | 16/12/2016 21:35 p.m. | 27.13 | 39.71 | ||
| Match-up 5 | MWI | 20/12/2016 21:55 p.m. | 44.06 | 22.06 | 45 |
| MODIS | 20/12/2016 21:10 p.m. | 26.95 | 39.74 | ||
| Match-up 6 | MWI | 20/12/2016 23:27 p.m. | 39.14 | 22.02 | 37 |
| MODIS | 20/12/2016 22:50 p.m. | 26.17 | 39.73 | ||
| Band. | V1 | V2 | V3 | V4 | V5 | V7 | V8 | V9 | V11 |
|---|---|---|---|---|---|---|---|---|---|
| SBAF MWI | 1.0103 | 1.007 | 0.9772 | 1.0483 | 0.9360 | 1.0002 | 0.9979 | 0.9985 | 0.9999 |
| Bands | Center Wavelength (nm) | Cross-Calibration Coefficients | Lab-Calibration Coefficients | R2 | N | ||
|---|---|---|---|---|---|---|---|
| Gains | Offsets | Gains | Offsets | ||||
| V1 | 413 | 0.002547 | 0.025956 | 0.002236 | −0.142702 | 0.995 | 223 |
| V2 | 443 | 0.003427 | 0.012421 | 0.003204 | −0.210375 | 0.996 | 223 |
| V3 | 490 | 0.002709 | −0.010821 | 0.002612 | −0.158392 | 0.993 | 223 |
| V4 | 520 | 0.002550 | 0.003795 | 0.002438 | −0.138600 | 0.992 | 223 |
| V5 | 565 | 0.002282 | −0.004806 | 0.002149 | −0.107429 | 0.986 | 210 |
| V7 | 665 | 0.001847 | 0.008291 | 0.001903 | −0.081544 | 0.987 | 186 |
| V8 | 682.5 | 0.001910 | 0.003291 | 0.001991 | −0.088102 | 0.988 | 185 |
| V9 | 750 | 0.002468 | 0.076317 | 0.002206 | −0.097527 | 0.972 | 176 |
| V11 | 865 | 0.001589 | 0.029219 | 0.001581 | −0.054165 | 0.978 | 162 |
| Match-Ups Scenes | Acquisition Time (DD/MM/YYYY HH:MM) | Solar Zenith Angle (°) | Sensor Zenith Angle (°) | Location (°N, °E) | Time Difference (minute) | |
|---|---|---|---|---|---|---|
| 1 | MWI | 13/10/2016 06:45 a.m. | 35.65 | 20.80 | (−19.03, 112.77) | 24 |
| MODIS | 13/10/2016 06:21 a.m. | 36.24 | 39.74 | |||
| 2 | MWI | 04/12/2016 21:10 p.m. | 46.13 | 21.01 | (−33.64, −107.76) | 74 |
| MODIS | 04/12/2016 22:24 p.m. | 28.85 | 39.74 | |||
| 3 | MWI | 14/12/2016 02:35 a.m. | 39.09 | 22.05 | (−16.99, 113.76) | 70 |
| MODIS | 14/12/2016 01:25 a.m. | 23.60 | 39.71 | |||
| 4 | MWI | 14/12/2016 20:07 p.m. | 46.12 | 21.81 | (−39.50, −73.93) | 102 |
| MODIS | 14/12/2016 18:25 p.m. | 34.82 | 39.79 | |||
| 5 | MWI | 15/12/2016 23:10 p.m. | 33.10 | 22.22 | (−29.92, 170.59) | 74 |
| MODIS | 15/12/2016 21:56 p.m. | 27.00 | 39.70 | |||
© 2018 by the authors. Licensee MDPI, Basel, Switzerland. This article is an open access article distributed under the terms and conditions of the Creative Commons Attribution (CC BY) license (http://creativecommons.org/licenses/by/4.0/).
Share and Cite
Zhou, Q.; Tian, L.; Li, J.; Song, Q.; Li, W. Radiometric Cross-Calibration of Tiangong-2 MWI Visible/NIR Channels over Aquatic Environments using MODIS. Remote Sens. 2018, 10, 1803. https://doi.org/10.3390/rs10111803
Zhou Q, Tian L, Li J, Song Q, Li W. Radiometric Cross-Calibration of Tiangong-2 MWI Visible/NIR Channels over Aquatic Environments using MODIS. Remote Sensing. 2018; 10(11):1803. https://doi.org/10.3390/rs10111803
Chicago/Turabian StyleZhou, Qu, Liqiao Tian, Jian Li, Qingjun Song, and Wenkai Li. 2018. "Radiometric Cross-Calibration of Tiangong-2 MWI Visible/NIR Channels over Aquatic Environments using MODIS" Remote Sensing 10, no. 11: 1803. https://doi.org/10.3390/rs10111803
APA StyleZhou, Q., Tian, L., Li, J., Song, Q., & Li, W. (2018). Radiometric Cross-Calibration of Tiangong-2 MWI Visible/NIR Channels over Aquatic Environments using MODIS. Remote Sensing, 10(11), 1803. https://doi.org/10.3390/rs10111803

